INTRODUCCIÓN
Existen pocos testimonios documentales de las “enfermedades” que se atendían en los hospitales establecidos en la Nueva España, por ello, esta investigación se centrará en el análisis de los registros de un hospital de la orden de San Juan de Dios, pues son una fuente inédita sobre los “padecimientos” que tenían los indios, los españoles y los mestizos durante el siglo XVIII. Se estudiarán principalmente las epidemias del matlazahuatl de 1737, de “la bola” de 1784 y de las “fiebres misteriosas” en 1813. La primera y la tercera epidemia fueron por el tifus o tifo, el cual se origina en la pulga de las ratas. Según Elsa Malvido y América Molina del Villar, dicha enfermedad era conocida por los mesoamericanos, pero se intensificó con la llegada de los españoles.1 Es importante mencionar como punto principal que la orden de San Juan de Dios se estableció en la Nueva España en 1604 y sigue activa hasta la actualidad.
En este tiempo de la pandemia por COVID-19, se han generado estudios y reflexiones sobre las enfermedades, epidemias y pandemias que ha vivido la población en México y el mundo. Hasta el momento, existen pocos trabajos del periodo de la Monarquía española (1521-1821) en la Nueva España que se basen en el análisis de las “partidas” (registros) de enfermos de un hospital, pues es poco común que se localicen en los archivos. En tal sentido, solo existen algunos estudios generales de la orden hospitalaria de los juaninos realizados por Josefina Muriel,2 Solange Alberro3 y Ana Ortiz Islas,4 pues la mayoría de sus archivos se han perdido. Para enriquecer los trabajos historiográficos de esta orden hospitalaria, la presente investigación analizará los registros de enfermos del Hospital de Nuestra Señora de los Dolores de la orden hospitalaria de San Juan de Dios establecido en Tezcoco en 1698. El trabajo se dividirá en tres apartados: el primero discutirá los alcances y las desventajas de los libros que aquí se estudian; el segundo, mostrará un panorama general de la información concentrada en las 3 732 partidas de enfermos capturadas; y, por último, se analizará la atención médica que tuvieron los indios, los mestizos y los españoles en las epidemias de 1737, 1784 y 1813.
FUENTES PARA EL ANÁLISIS DE LAS “ENFERMEDADES” EN LA CIUDAD DE TEZCOCO
Existen distintas fuentes históricas que permiten analizar una epidemia en la Nueva España o México; por un lado, la demografía histórica se basa principalmente en los libros sacramentales o informes de las autoridades civiles y eclesiásticas. Por el otro, disponemos de los libros de los hospitales, son registros de las personas que recurrían a sus puertas para ser atendidos. Como bien lo señala América Molina del Villar, para el siglo XVIII se puede encontrar una gran diversidad de fuentes históricas, las cuales permiten trazar estudios epidémicos, pues existen manuscritos, periódicos y una mayor cantidad de informes administrativos; a estos deberían sumarse, como una fuente poco explorada, los libros de enfermos de los hospitales novohispanos.5
Por lo tanto, la base central de esta investigación serán los libros de enfermos y enfermas, es decir los registros hospitalarios de los pacientes que fueron atendidos por los frailes juaninos. Es así como estos manuscritos son esenciales, además de ser una fuente inédita para estudiar los padecimientos señalados como enfermedades de la sociedad novohispana de una ciudad de indios de Tezcoco durante el siglo XVIII. En este sentido, se conocen pocos datos históricos y económicos del hospital juanino de Tezcoco, pero varias de las autoras antes mencionadas han referido que el archivo de los juaninos se perdió y, además, le cambiaron la advocación al nombrarlo Hospital de Nuestra Señora de los Desamparados.
Fue así como las autoras retomaron la información recopilada por fray Pedro Rendón Caballero —visitador y reformador de la Provincia del Espíritu Santo de la Nueva España a los hospitales juaninos (1772-1774)—, en la cual se daba referencia de la cantidad de enfermos y de enfermas atendidos en el recinto tezcocano, de las finanzas, así como de los manuscritos existentes en el archivo; no obstante, en la visita se hacía referencia a que la advocación del lugar era a Nuestra Señora de los Desamparados, cuando era a la de los Dolores. Este error se ha repetido en la historiografía.6 Lamentablemente, no se conserva en la actualidad todo el acervo documental, pero por referencias en algunos inventarios se sabe que el archivo estaba compuesto por 24 manuscritos que cubrían los años de 1699 a 1878, aunque de la mayoría se desconoce su paradero. En 2013 se descubrieron los libros de enfermos del Hospital de Nuestra Señora de los Dolores de la orden de San Juan de Dios, los cuales estaban en un armario de la Sacristía de la Catedral de la Inmaculada Concepción de Texcoco, y son la base del presente estudio (Imagen 1).
Quien suscribe estas líneas, fue el encargado de catalogar los ocho manuscritos:7 los libros de enfermos cubren la temporalidad de 1724 a 1755 y de 1778 a 1817; mientras que los registros de enfermas abarcan los años de 1725 a 1730 y de 1796 a 1821.8 Estos manuscritos fueron digitalizados mediante el patrocinio de la Biblioteca Británica dentro de su Programa de Archivos en Peligro (EAP1147). En este sentido, más que enfermedades, los registros del hospital muestran los síntomas o padecimientos de las personas, por ejemplo: “dolor de costado”, “dolor de cabeza”, mal del corazón y una gran variedad de fiebres. Si bien, en algunos casos son muy claros, pues refieren la presencia del tabardillo, conocido como matlazahuatl, 9 y refieren a un caso de “cáncer” en el pie.

Imagen 1. Portada de un libro de enfermos del hospital juanino. Archivo Histórico de la Diócesis de Texcoco.
Esta información, recabada en los libros de enfermos y de enfermas, es una fuente protoestadística de la atención médica en una ciudad de indios.10 Por un lado, la documentación tiene varias limitantes. En primer lugar, pocas personas asistieron al hospital porque no todos tenían la economía suficiente para sufragar los gastos. En segundo lugar, gran parte de los enfermos eran forasteros, es decir, iban de paso por Tezcoco. El tercer punto es que no se cuenta con un estudio demográfico de la ciudad, por lo cual no pueden generalizarse los padecimientos que se atendían a la población local, ni la mortandad que resultaba de la atención médica por las epidemias. Por otro lado, la riqueza de información registrada en los libros es diversa, pues se asentaba el nombre del paciente, estado “civil”, nombre de los padres (estos datos permiten realizar reconstrucción de familias), lugar de donde provenía, edad, padecimiento, tiempo que duró en el hospital y si vivió o murió.
Esta información es inusual para el periodo de la Monarquía española (1521-1821) en la Nueva España; unos registros similares son los del Hospital Real de Naturales de la Ciudad de México que cubre el periodo de 1775 a 1802. Los libros de dicho hospital se localizan en los estantes del Archivo del Sagrario Metropolitano y fueron estudiados desde una perspectiva antropológica por David López Romero, quien contrastó los datos recabados en los libros de enfermos, con estudios demográficos de la población indígena de la Ciudad de México.11 Estos libros de enfermos mantienen una semejanza en cuanto a la estructura e información con los que aquí se estudian. Aunado a esto, los libros del Hospital de San Juan de Dios de Toluca, Atlixco,12 Zacatecas y Celaya, tienen la misma estructura que los manuscritos antes mencionados, lo que hace suponer que existía un modelo de registro que tenían los hospitales novohispanos.
Hasta el momento, los hospitales juaninos de San Juan Bautista de Zacatecas,13 de Nuestra Señora de Guadalupe de Toluca, de Nuestra Señora de la Concepción de la villa de Celaya14 y el Real Hospital de Naturales de la Ciudad de México,15 son los que poseen varios manuscritos administrativos que permiten trazar un panorama general de la organización del recinto, de la vida religiosa y cotidiana entre los frailes, de los precios para mantener al día la botica y de las donaciones que recibieron para atender a la población local.
EL DON DE CURAR: LA POBLACIÓN ATENDIDA EN EL HOSPITAL DE NUESTRA SEÑORA DE LOS DOLORES DE TEZCOCO
El análisis de los libros de enfermos permite argumentar que los juaninos atendían en su hospital, principalmente, tres calidades: españoles, indios y mestizos. Lamentablemente, no se tienen todos los libros de enfermos, los cuales debieron empezar en 1699 cuando el hospital obtuvo las licencias eclesiásticas para comenzar a dar servicio. Aunado a esto, el religioso que registraba la entrada de los enfermos no siempre era tan detallado para marcar si eran originarios de otro lugar y si estaban “avecinados” en Tezcoco.
Para esta investigación, la variable de “procedencia” —también señalada como su “lugar de origen”— se agrupó en tres secciones para simplificar la cantidad de lugares. Debido a que el hospital y la iglesia no tienen una jurisdicción eclesiástica, entendida esta como determinadas manzanas, barrios o pueblos como feligresía, los resultados se agruparon de la siguiente manera: primero, bajo el término de “Tezcoco” que incluye a todos los pueblos y barrios de la Alcaldía mayor; segundo, como “España”, el cual corresponde a todos los españoles que referían su poblado en Europa y no informaron dónde estaban avecindados; y tercero, bajo el término de “Forastero”, que incluye a todos los lugares que no son de la región de Tezcoco, por ejemplo: Manila, Potosí, Teotihuacan, Aguascalientes, Chalco, Jamaica, Puebla y Ciudad de México (Gráfica 1).

Gráfica 1. Población atendida en el Hospital de Nuestra Señora de los Dolores de Tezcoco en el siglo XVIII.
Como se observa en la gráfica, en el hospital fueron atendidos principalmente los tezcocanos (2 110), seguido de los forasteros (1 472). Esto se puede explicar porque Tezcoco era parte de uno de los caminos que conectaban a la Ciudad de México con Veracruz. Como ya se dijo, de los ocho manuscritos, seis son registros de enfermos con una temporalidad de 1724 a 1755 y de 1778 a 1817; mientras que en los otros dos restantes se asentaron las partidas de enfermas durante los años de 1725 a 1730 y de 1796 a 1821. En el marco temporal que compete a estos manuscritos, se pueden ubicar cuatro importantes epidemias que tuvo el Valle de México: la primera del Huey matlazahuatl de 1735 a 1737; la de “la bola” de 1784; la de la viruela de 1796; y la de las “fiebres misteriosas” entre 1812 y 1814.
Para trabajar estos libros de enfermos se realizó una base de datos en Excel y posteriormente se analizaron en el programa SPSS. De los ocho manuscritos analizados se tienen capturados 3 732 registros, de los cuales, 2 704 corresponden a los enfermos y 1 028 a las enfermas (Gráfica 2). En este sentido, resulta llamativa la presencia femenina y se puede suponer que en tan solo en los 30 años de registros, era la población más atendida en el hospital. El promedio de atención médica por año es de 38.62 hombres y 34.26 mujeres. Es decir, el hospital juanino atendía anualmente cerca de 73 personas, cada una con “padecimientos” o “síntomas” diferentes. Si se toma en cuenta que la población de la ciudad era de 3 351 indios para la década de 1770, es posible presuponer que menos del uno por ciento de la población indígena era la que asistía al hospital para ser atendido.
Con respecto a las edades que eran atendidas en el hospital, se tienen registros de párvulos de 2 años y con un máximo de 97 años (Gráfica 3). En esta sintonía, estos libros permiten tener una visión de la concepción de las etapas de la vida, pues en el caso de los niños, estos se registraban como solteros sin importar la edad. En cambio, en las mujeres, se registraban como doncellas desde los 6 años hasta la “edad adulta”. Entre los 6 y 15 años fueron atendidas en el hospital 25 doncellas y fueron recibidas 31 doncellas con una edad de 16 a 20 años. En este sentido, la edad de la población que recurría al hospital era principalmente de 16 a 20 (606), 25 a 30 (670) y 21 a 25 (480).
Aunado a esto, el religioso juanino registró en los libros de enfermos la “calidad” de la persona que era atendida, para lo cual predominan tres casos: españoles, indios y mestizos. En el caso de las mujeres, principalmente se tienen datos de atención médica a indias. También eran atendidas personas de otras calidades como negros, lobos, mulatos y moriscos (Gráfica 4). Por último, la partida refiere el estado “civil” que tenía la persona; por lo cual se puede conocer que el sector principal de atención médica era soltero, le seguían los casados y, por último, los viudos (Gráfica 5).
En la captura de las 3 732 partidas se encontró una gran variedad de padecimientos que eran atendidos por los frailes juaninos, entre los que destacan: fiebre, diarrea e hidropesía. La muestra recabada en los libros de enfermos permite tener un panorama general de los padecimientos que eran frecuentes en la población de Tezcoco. Por un lado, en el caso de los hombres durante el periodo de 1724 a 1817, se encontró que 17 eran los padecimientos más frecuentes (Gráfica 6), siendo el principal la “fiebre” con 723 registros. Es decir, cerca del 32.08 por ciento de los registros capturados tuvieron este padecimiento. En segundo lugar, estuvo la hidropesía con 164 casos; en tercer lugar, las diarreas con 134 registros; y la cuarta con 123 partidas fue la sífilis, conocida en la época como “mal gálico”.
Por otro lado, en el caso de las mujeres, el padecimiento más recurrente en la base de datos fue la fiebre con 185 registros; en segundo lugar, las diarreas con 95 registros; mientras que en el tercer lugar estuvo la hidropesía con 62 casos (Gráfica 7). Hasta el momento se desconoce si los religiosos atendían directamente a las mujeres, pero lo más probable es que tuvieran ayuda femenina para inspeccionarlas o revisarlas. Además, como ya se mencionó, el hospital estaba dividido en dos áreas, una para atención médica de los hombres y otra para las mujeres, ambas con seis camas y, en ocasiones, cuando estas eran insuficientes los “acomodaban” en el suelo o cerca de alguna ventana.
Dentro de las calidades que eran atendidas en el hospital, resulta llamativa la referencia a “mulatos esclavos”; un ejemplo singular es el de Petrona Güemes, de 12 años, quien era “mulata esclava” de doña Micaela Güemes. Lo poco que se sabe de la dueña de la esclava es que estaba casada con Antonio García de la Mora16 y eran miembros de una familia de comerciantes muy importantes de la ciudad que se dedicaba, entre otras cosas, al comercio de esclavos. Es posible que la esclava, a raíz de poseer el apellido de la familia, fuera del servicio personal de doña Micaela y por su estima la haya llevado al hospital a curarse en dos ocasiones de viruela en 1727; aunado a esto, los Güemes eran propietarios de una casa que se encontraba ubicada enfrente del recinto juanino.17
LAS EPIDEMIAS DE 1737, 1784 Y 1813 ATENDIDAS EN EL HOSPITAL JUANINO DE TEZCOCO
En el Hospital de Nuestra Señora de los Dolores de Tezcoco de la orden de San Juan de Dios se atendieron principalmente “fiebres”, según el resultado del análisis de los registros de enfermos de las 3 732 partidas se tienen: 908 casos entre hombres y mujeres, es decir, el 24.33 por ciento. Resultado del análisis de los libros de enfermos y enfermas se localizaron tres importantes picos de atención médica por “fiebres” (Gráfica 8): el primero en 1737 cuando fue época del matlazahuatl; el siguiente corresponde a 1784 con la epidemia de “la bola”; y por último, en la epidemia del tifo o las “fiebres misteriosas” de los años de 1812-1814, siendo el pico en Tezcoco en 1813.
Sobre el matlazahuatl se sabe que el agente de transmisión era la “picadura de la pulga de la rata al hombre o bien mediante transpiración”.18 En este sentido, como bien lo enfatizan Molina del Villar y Castillo Palma, el matlazahuatl tuvo gran repercusión en la población tezcocana porque esta pulga (piojo) se podía encontrar en la lana de los borregos y tuvo muy buena recepción en los distintos obrajes que había en la ciudad. En Tezcoco existían poco más de cinco obrajes, un tercio de los fundados en el siglo XVI, 19 pues al establecerse los obrajes más grandes en Querétaro varios obrajeros de Tezcoco se fueron de la ciudad para empezar un nuevo proyecto económico. Además, las pocas condiciones de salubridad de la ciudad ayudaron a que la población indígena se contagiara. Fue así como el matlazahuatl se propagó en Tezcoco en junio de 1737 y se mantuvo por siete meses, lo cual explica el pico de atención médica en el hospital.20
Según los registros del hospital, los juaninos atendieron 21 casos de “tabardillo” entre 1724 y 1729, de los cuales 18 eran casos de tezcocanos que tenían un rango de edad de 16 a 20 años, y eran principalmente españoles y mestizos. Como bien lo señalan Castillo Palma y Molina del Villar, el tabardillo era una forma de referirse al matlazahuatl, y esta enfermedad debió de ser tifo.21 Una partida del libro de enfermas del hospital juanino de este periodo es de singular importancia, pues el 20 de julio de 1727 ingresó al hospital por tabardillo doña Ana de Alvarado, viuda de Cristóbal Valentín de la Parra, mestiza de 69 años y a quien le dieron de alta el 30 de dicho mes. En este caso es importante señalar que lo interesante es que proporcionó como referencia que era hija de don Tomás de Alvarado y de Catalina Espinosa: don Tomás fue el primer cacique mestizo que fungió como gobernador de Tezcoco en 1676; contrajo nupcias en dos ocasiones, la primera con la madre de doña Ana de Alvarado y la segunda con María de la O, con quien tuvo a doña Marcela de Ugarte que se casó con el español José Uribe de los Bolaños (Imagen 2).22 Sobre el padre de esta enferma también se sabe que al morir y no dejar testamento, se emprendió un litigio en la Real Audiencia de México por el cacicazgo principal de Tezcoco, fue así como dicha institución dictó la sentencia de que el cacicazgo fuera dividido en dos partes.
En 1728 doña Ana de Alvarado recurrió nuevamente al hospital en dos ocasiones: la primera el 7 de junio, permaneciendo ingresada una semana por dolor de estómago; y la segunda el 11 de julio por hidropesía, si bien la situación se complicó y murió al día siguiente en el suelo porque todas las camas estaban ocupadas.
Como se señaló al inicio del artículo, los frailes juaninos generalmente anotaban los síntomas, por ello, en los registros de enfermos que comprenden el periodo de 1736 a 1739, se encuentra que atendieron a 187 hombres, de los cuales 119 tenían fiebres y el resto padecimientos como dolor de cabeza, diarreas, calenturas y dolor de costado, pero en ninguna partida se hacen mención del tabardillo o matlazahuatl (Gráfica 9). Como puede verse en el gráfico, la fiebre es el padecimiento más frecuente y es uno de los síntomas del tifo, es por ello que, posiblemente, ese pico epidemiológico con 90 casos para 1737, se refiera al matlazahuatl que estaba azotando a la población local de Tezcoco. Si bien señala Molina del Villar que el matlazahuatl llegó en junio de 1737 a Tezcoco, en los registros de enfermos se observa que fueron al hospital por fiebre más personas en los meses de marzo a julio (Gráfica 10).
A partir de los registros de enfermos que se tienen para esta epidemia —que duró siete meses— se logró calcular que 46 mestizos fueron atendidos en el hospital, siendo el segmento de la población que principalmente solicitó atención médica; en segundo lugar, los indios con 37 registros; después 30 españoles y solo seis mulatos (Gráfica 11).

Gráfica 11. Calidad de los enfermos atendidos en el hospital juanino en la epidemia del matlazahuatl (1736-1739).
Como resultado de algún tratamiento que dieron los juaninos —el cual se desconoce— sobrevivió la mayoría de los enfermos que asistieron al hospital por atención médica. De las 187 personas que recibieron atención hospitalaria, 148 sobrevivieron y solo 38 murieron, estos últimos fueron principalmente indios y mestizos (Gráfica 12). Con respecto a los 119 casos de “fiebre” que fueron recibidos, solo murieron 31 personas; concretamente, en el año 1737, de los 90 casos de fiebre 63 sobrevivieron y 27 murieron, es decir, el 30 por ciento. Con respecto a las edades más frecuentes, para el caso de los españoles, fueron entre 16 y 20 años; en cambio, los indios y los mestizos oscilaban entre los 10 y los 15 años (Gráfica 13). Estas edades, tal vez correspondan a que los jóvenes estaban en constante trabajo en los obrajes.
Un ejemplo de la gran mortandad que tuvo el matlazahuatl se observa en la doctrina franciscana de Huexotla, donde murieron 197 personas (entre párvulos y adultos).23 Esto ocasionó que los pobladores de Tequexquinahuac, pueblo sujeto a la doctrina de Huexotla, se quejaran en 1738 ante el Juzgado eclesiástico del arzobispado de México porque fray Luis de Guevara, su doctrinero, les quería cobrar 463 pesos de los entierros que ocasionó la epidemia del matlazahuatl. El resultado de la queja fue que se les dio la razón a los indios de Tequexquinahuac, pues ya habían vendido algunos terrenos, casas y pertenencias de los difuntos para poder pagar la cantidad que solicitaba el religioso. El acuerdo fue que solo debían de cubrir el monto de 100 pesos, de los cuales ya habían abonado 37 pesos cuando inició el proceso y con trabajos pagaron el resto.
Posteriormente, en el auto de visita al hospital juanino en octubre de 1762, fray Leoncio Arlanzon refirió que desde 1760 y hasta 1762, se había atendido a 245 hombres, de los cuales 48 murieron; asimismo, se atendió a 188 mujeres, de las cuales fallecieron 45, e incluyó una importante nota: “en su tiempo, pues ocurrieron las dos epidemias de viruela y matlasagual [sic]”. Se debe recordar que entre 1761 y 1763 ocurrieron estas dos grandes epidemias.24 Estos datos son de gran interés, ya que no se conservan los registros de enfermos correspondientes a esos años. Por la cantidad de personas que fueron atendidas en el hospital, podemos inferir que estas dos epidemias tuvieron un gran impacto en la población local, pues se duplicó en esos años la atención médica anual en el hospital.
Los picos epidemiológicos que fueron atendidos en el hospital, de los que se tienen datos en los libros de enfermos hacen referencia a los años 1784 y 1786 (con 111 enfermos cada uno). En esta sintonía, el recinto juanino atendió entre 1782 y 1789 a 558 hombres; este periodo corresponde a la epidemia de “la bola”,25 mejor conocida como “la gran hambre”.26 A diferencia del matlazahuatl, el cual ocasionó la llegada al hospital principalmente de mestizos en 1737, para la epidemia de “la bola” concurrieron más españoles al hospital para ser atendidos en 1784 (Gráfica 14). En este periodo de 1782 a 1789, se atendieron 219 casos de fiebre y una variedad de padecimientos, entre los más llamativos están 32 casos de diarrea y 43 de hidropesía (Gráfica 15).
La historiografía ha enfatizado que la epidemia de la “gran hambre” comenzó en 1785 como consecuencia de las malas cosechas que hubo, fue así como se extendió en toda la Nueva España con una duración de dos años. En el caso de los registros del hospital juanino de Tezcoco, se puede observar que el padecimiento más atendido fue la “fiebre” y tuvo su pico en 1784 con 72 casos (Gráfica 16), un año antes de lo que sería la “gran hambre”.
Esto se debe, posiblemente, a las rutas de contagio que se crearon, tomando en cuenta las propuestas referentes al marco geográfico del centro y su diseminación en la periferia. Para esta epidemia de “la bola”, los hombres de 16 a 20 años (18 personas) y de 21 a 25 años (13 personas) fueron los que más asistieron al hospital (Gráfica 17).
El año 1784 estuvo marcado por distintas epidemias en el centro de la Nueva España, lo cual ocasionó que hubiera hambruna, según lo registran Virginia García Acosta, Molina del Villar y Juan Manuel Pérez Zevallos. Se debe recordar que en 1780 hubo una epidemia de viruela que repercutió en gran medida en la población infantil,27 y después de cinco años llegó la epidemia de “la bola”. Esta epidemia no es consecuencia de alguna hambruna, aunque ese año se caracterizó por distintas heladas que acabaron con las cosechas de la región de Tezcoco y del centro de la Nueva España.28 Una de las propuestas más recientes sobre la epidemia de 1785-1786, es que no fue resultado de la falta de comida, sino de la “influenza”,29 ya que los síntomas que registran las fuentes novohispanas son fiebre, dolor de costado, alfombrilla y pulmonía.
En este sentido, en el hospital juanino de Tezcoco se atendieron 72 casos de hombres con fiebre para 1784, siendo este el pico epidemiológico en los registros, pues en los años subsecuentes hubo de 21 a 37 casos por año. Por referencias de los tributarios de Huexotla, jurisdicción de la alcaldía mayor de Tezcoco, se sabe que en febrero de dicho año “comenzó la peste de sarampión, alfombrilla y escarlatina, dolores de costado y pulmonía”.30 Los registros estudiados del hospital solo refieren a un caso de sarampión para 1784 y corresponde al indio Juan Manuel Tapia, párvulo de 10 años, originario de San Juan Teotihuacan, quien salió vivo del hospital.
Según los informes administrativos analizados por García Acosta, Pérez Zevallos y Molina del Villar, el año 1784 estuvo marcado por una gran cantidad de heladas. Es posible en este estudio marcar el pico epidemiológico de 1784, posiblemente por “influenza”, con su síntoma principal: la fiebre. En este sentido, aún está en discusión qué tipo de “influenza” pudo ser. Fue así como esas heladas ocasionaron que se perdieran algunas cosechas de la región tezcocana, pero no todas, ya que para 1785 la ciudad de Tezcoco vendió a la Ciudad de México importantes cantidades de maíz para abastecer a su población “pobre”.31
De los 72 casos de fiebres atendidos en 1784 en el Hospital de Nuestra Señora de los Dolores de Tezcoco, 25 fueron indios, 27 españoles, 13 mestizos, seis castizos y un mulato. En cambio, para 1786 recibieron atención médica 37 casos por fiebre, de los cuales 16 eran indios, 12 españoles, siete mestizos, un mulato y un castizo (Gráfica 18). A diferencia de la epidemia de 1737, en la de 1784 se registraron menos casos de mortalidad por fiebre, pues de los 72 casos solo cuatro murieron, es decir, el cinco por ciento (Gráfica 19). Aunado a esto, la mayor cantidad de casos con fiebre ocurrieron en los meses de enero, marzo, abril, mayo y noviembre (Gráfica 20).
La epidemia conocida como la “gran hambre” empezó en 1785, pero fue hasta 1786 cuando comenzaron los problemas agrícolas en Tezcoco y sus cosechas se vieron mermadas. Fue así como se paralizó el comercio de maíz entre Tezcoco y la Ciudad de México; no obstante, en dicho año llegaron al hospital 37 hombres para ser atendidos por fiebre. Esto hace presuponer que la epidemia por “influenza” de 1784 ocasionó, principalmente, la atención médica de españoles, tal vez por las condiciones de vida que tenían.
Entre 1813 y 1815 comenzó cerca de la Ciudad de México un padecimiento común: la “fiebre”, y ella trajo una considerable mortandad en la población india. En esta época comenzaron las discusiones sobre el origen de la “fiebre”, a tal grado que se llegó a considerar que era “fiebre amarilla”. Fue hasta abril de 1813 cuando comenzó el despunte de los enfermos y las muertes por “fiebre”; debido a que se desconocía el origen, se le denominó “fiebres misteriosas”.32 No obstante, diversos estudios han mostrado que esta epidemia fue en realidad tifo.33
Esta epidemia comenzó a raíz de los problemas sanitarios ocasionados por el movimiento insurgente, pues en 1812, en Cuautla, comenzaron algunos casos de esta fiebre y debido a las malas condiciones, la falta de alimento y de agua, crecieron de manera exponencial los contagios. El hecho de que gran parte de las zonas cercanas a la Ciudad de México estaban rodeadas de insurgentes ocasionó que el resto de la población se contagiara.34 Fue así, resultado del movimiento de las huestes insurgentes por el territorio de la Nueva España, que se propagó el “tifo”. En el caso del hospital juanino de Tezcoco, se atendieron a 370 hombres entre 1813 y 1815. A diferencia de las epidemias de 1737 y 1784, donde se tienen todos los datos mensuales, lamentablemente de los enfermos de 1813 no se dispone de todos los registros, puesto que el libro empieza en mayo, pero se registró que recibieron atención médica 81 personas por fiebre. En el comportamiento estacional de la epidemia se puede observar que el repunte comenzó en julio con 13 hombres y su punto máximo fue en septiembre y diciembre con 22 casos (Gráfica 21).
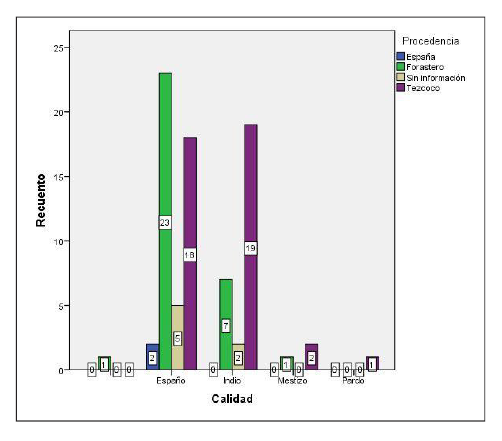
Sobre la calidad de las personas que fueron recibidas con fiebre en 1813, se nota que fueron atendidos principalmente españoles, pero la mayoría —23 casos— eran forasteros y 18 españoles avecinados en Tezcoco (Gráfica 22). Esto resulta peculiar, ya que, tal vez huyendo de la crisis en la capital de la Nueva España, los españoles salieron y propagaron el tifo en la zona circundante, pues la mayoría eran solteros (Gráfica 23). Aunque de manera general, 40 hombres que fueron atendidos en el hospital eran de Tezcoco y 32 forasteros.
Por lo tanto, es posible que esta epidemia de “fiebre” haya sido muy fuerte en la población local, puesto que hacen falta registros de cinco meses. Con respecto a la población que fue atendida por fiebre en 1813, se sabe lo siguiente: los hombres que asistieron con más frecuencia al hospital juanino en este periodo tenían de 26 a 30 años, y en segundo lugar de 21 a 25 años (Gráfica 24); de los 81 casos atendidos, solo 19 murieron, es decir, el 12.34 por ciento (Gráfica 25).
CONCLUSIONES
Es posible que los españoles hayan influenciado para que las autoridades virreinales fundaran el Hospital de Nuestra Señora de los Dolores de la Orden de San Juan de Dios, puesto que ellos tenían una “congregación” en el hospital que funcionaba como una especie de cofradía. En este sentido, fue en la década de 1680 cuando en el convento franciscano se empezó un libro de registro sacramental especial para los españoles, tal vez cuando su presencia se hizo más estable y para 1690 se fundó este hospital, aunado a esto, en las mismas fechas se realizó una ampliación a la construcción de la Tercera Orden Franciscana. Esto permite suponer que la fundación del hospital de los juaninos en Tezcoco se debe a que la población española estaba en aumento por lo que solicitaron el establecimiento de dicho recinto. Sin embargo, el hospital era mixto, siendo los españoles quienes más acudían, seguidos por los indios, algo diferente a lo registrado en el hospital juanino del Valle de Atlixco, donde recibieron más mestizos que indios.
Los libros de enfermas y enfermos del Convento Hospital de Nuestra Señora de los Dolores son registros protoestadísticos que no demuestran la realidad de la mortandad de la población durante las tres epidemias, pues en esta época pocas personas tenían el recurso económico para ser atendidas en el hospital, por lo que es posible que solo el uno por ciento de las personas que vivían en la ciudad de Tezcoco pudieran acceder al hospital. Cuando se producían las grandes epidemias, la mayoría de los indígenas moría en su casa, en ocasiones familias completas o grupos domésticos corrieron con la misma suerte. A raíz del estudio de las 3 732 partidas, se puede observar el segmento de la población que más sufrió en las epidemias. Por ejemplo, en 1737 durante el Matlazahuatl asistieron al hospital más mestizos, en cambio, en la epidemia de “la bola” y de las “fiebres misteriosas”, la mayor afluencia fue la de españoles.
Es así como los registros de enfermos permiten trazar la vida cotidiana de las personas que vivían en Tezcoco, pues al referir el nombre de los padres, esposos o esposas, se logra conocer qué segmento de la población tenía acceso al hospital, ya fueran españoles o indios, ricos o pobres. Hay que destacar asimismo la presencia en los registros tanto de esclavos como de caciques indígenas que recibían atención médica.










nueva página del texto (beta)


























