Introduction
While policymakers have been concerned with the financial exclusion of indigenous peoples, little is known about its magnitude and determinants. Indeed, for Latin America, we found scant and mostly descriptive literature on the topic. In this preliminary attempt to characterize the policy challenges faced, we explore only one dimension of the many barriers encountered: the comparatively limited extent of the financial infrastructure available in areas with high incidence of indigenous peoples, for the cases of Colombia, Ecuador, and Peru1.
To accomplish this narrow objective, we first report the extent of the disparities in the financial infrastructure available to indigenous peoples namely, we describe the facts about uneven outreach. Next, we explore how much explanatory value can be added in the assessment and interpretation, by three types of quantitative analyses: a descriptive study, an econometric evaluation, and an exploration of potential linear and nonlinear relationships with machine learning (ML) tools. This allows us to highlight the diverse impact that these methodological choices have on the results. Our aim is to identify relationships that might not be recognized by traditional methods. Our findings suggest the presence of interesting and significant associations and correlations, with actionable policy implications, but they do not necessarily affirm any specific causation.
As starting points, we adopt the notions that access to finance is important (Shaw, 1973; Levine, 1997; Cermeño, Roa Garcia & Gonzalez-Vega, 2016; Demirgüç-Kunt, Klapper, & Singer, 2017; Popov, 2017), and that it matters the most for poor and vulnerable populations (Collins et al., 2009; Soria, Hernandez & Ciacci, 2020). Moreover, while the emergence of financial transactions is always difficult, it is particularly challenging in the case of these populations. Both parties incur high costs and face significant risks, which prevent many financial transactions from emerging, leading to exclusion (Jaffee & Stiglitz, 1990; Armendariz & Murdock, 2010; Hartarska & Cull, 2023).
Diverse informal financial arrangements and some community-based initiatives are available to indigenous peoples in the three countries (Gomez-Soto et al., 2023). While valuable, they nevertheless offer a limited range of services and do not lead to transformative outcomes (Maldonado et al., 2023). At the same time, indigenous peoples enjoy notably limited access to institutional financial services, including deposit facilities, diverse types of loans, insurance, and efficient tools for payments and transfers. Even when these services are available, frequently these peoples do not use them (Davis & Partridge, 1994; Hall & Patrinos, 2005). This exclusion from formal financial markets limits their capacity to deal with risks -including their vulnerability to climate change— and constrains their ability to take advantage of income—enhancing opportunities, which would allow higher productivity and living standards, financial health, and resilience (Klapper & Kajag, 2022; Niño Zarazua, Larquemin & Castellani, 2024).
Our purpose here is not to fully evaluate the determinants of the financial exclusion/inclusion of indigenous peoples. Rather, based on the premises listed above, we attempt to highlight existing disparities in the financial infrastructure available to these peoples, suggest why this matters, and illustrate key associations with population density and other regional distinctions, while using a small number of census and financial infrastructure data.
Financial exclusion/inclusion are market outcomes (Heimann et al., 2009). Access to, the use of, and the cost and quality of financial services result from the convergence of supply and demand, given specific market environments and regulatory frameworks. Moreover, for access to emerge and for use to materialize, the parties in financial contracts must meet and interact. This required meeting place is provided by the availability of an appropriate -physical, institutional, and digital- infrastructure. This infrastructure is more valuable, the lower the resulting transaction costs.
The key idea is that a financial infrastructure that offers an affordable and convenient meeting place is a precondition for any financial inclusion to emerge and be sustainable over time. Thus, the adequacy of this infrastructure is a necessary but not a sufficient condition for inclusion. There are many other determinants of inclusion, which we do not address here. The nature and extent of this infrastructure matters because it influences the country’s financial inclusion profile and evolution. This intimate relationship between such meeting places and financial inclusion, through its dimensions of access, use, and cost, has not being explicitly studied.
Such meeting places traditionally arose from the development -by financial intermediaries- of a system of branches, with the eventual addition and growing importance of a network of correspondent agents (Boada Serret, & Rodríguez Ferrari, 2015; Faz & Garcia Arabéhéty, 2015). With the increasing availability of on-line services, digital meeting places have rapidly expanded. Here, we explore the presence of an infrastructure of branches and correspondent agents, in territorial units of different administrative levels (ATUs), such as counties and municipalities, for which census and financial outreach data are available in the three countries.
Digital banking offers new and attractive opportunities for increased financial inclusion, particularly for populations in remote areas and with limited access to physical infrastructures (Khera et al., 2021; Demirgüç-Kunt et al. (2022); Brogeras et al., 2023; Dias et al., 2023). However, several distortions and unanticipated adverse effects have emerged in some of these efforts (Siwale & Godfroid, 2021; Kandie & Islam, 2022). It may be too early to assess the nature and extent of the potential contributions of digital infrastructures to the specific inclusion of indigenous peoples. To achieve this, numerous barriers must be overcome, including connectivity shortcomings, illiteracy, limited affordability, lack of trust and cultural factors, which may create additional disparities for indigenous peoples in their financial access (Castells, Corvalan & Rattel, 2023; Gomez-Soto et al., 2023).
Even with the growing use of digital wallets and internet banking, a physical infrastructure will continue to be needed. In Africa, for example, digital wallets have achieved some success precisely because there is a digital correspondent agent in each corner (Suri, 2017; Van Hove & Dubus (2019). If, in effect, the rate of participation in digital banking by the non-indigenous population becomes higher than the adoption rate for indigenous peoples, this will increase the gaps observed in the financial inclusion of the two groups. Specially targeted interventions may be needed to avoid these potential additional gaps. Unfortunately, given scant information, we have had to ignore this new channel for outreach in the exercises undertaken here.
Financial exclusion is the outcome of insufficient convergence of supply and demand. It reflects both universal and idiosyncratic barriers to the emergence of financial transactions. Universal barriers restrict access for all types of vulnerable populations, and are related to various dimensions of distance, poverty, lack of knowledge, risks, incomplete institutions, and small market size, among others. Idiosyncratic barriers reflect restrictions based on ethnic identities, cultural practices, and cognitive biases.
In the three countries, indigenous peoples frequently live in remote, sparsely populated areas. Although their territory is often rich in biodiversity, it is endowed with limited education, health and sanitation services, fragmented roads, and poor communications. Investment opportunities are scarce, and universal barriers to financial inclusion dominate, but they cannot be removed merely by financial interventions (Von Pischke & Adams, 1980; Gonzalez-Vega, 1998). Identifying the extent to which idiosyncratic barriers are present and how to overcome them is a pending research task.
In conclusion, if a convenient meeting place does not exist or if access to existing points of service is prohibitively expensive (given the transaction costs incurred by either party in the contract), the resulting exclusion will reflect a missing market. Any financial inclusion intervention must start, therefore, from an assessment of the existing infrastructure and a plan to strengthen it. Additional types of infrastructure may be desirable, as the emergence of digital meeting places seems to offer other opportunities for demand and supply to converge.
There is considerable heterogeneity across and within indigenous peoples, such that the extent and determinants of exclusion show substantial disparities (Gomez-Soto et al., 2023). Broad distinctions separate the peasant indigenous populations of the Andean regions, from those that inhabit the tropical forests of the Amazon and similar areas (Hartl, 2019). We also find substantial heterogeneity among the financial infrastructure available to these peoples and reasons for differentiated and tailored strategies to reduce the gaps.
We undertake a preliminary investigation to show three categories of results to address different dimensions of the problem. Descriptive analyses illustrate features of the distributions of financial outreach and of the incidence of indigenous populations and their correlations, laying the groundwork for the other approaches. Econometric analyses include models with various covariates and adjusted inference. Visual inspections using machine learning techniques -such as regression tree analyses- feature importance plots and dependency plots. These visualizations utilize a new explainability tool called SHAP values, which helps to understand the association between different variables. This comprehensive combination of methodological approaches allows us a more robust cross-validation of results, enables us to discern the degree of heterogeneity found across countries, and helps us illustrate the pronounced financial exclusion observed in regions with higher incidence of indigenous populations. This integration ensures robust and relevant analysis.
The rest of the paper is structured as follows. In Methods outlines the methods used. In Data describes the data sources and variables. In Results presents the results and discussion, divided into descriptive statistics analysis, econometric results, and machine learning outputs. It focuses on the Amazon region and on territorial units where most of the population is indigenous. Finally, conclusions and additional offers reflections.
Methods
In the prior belief that universal barriers might be reflected by population density, as high concentrations lead to a greater availability of public services and the creation of trading opportunities, markets, and the exploitation of economies of scale, scope, and agglomeration, we attempted to use this variable to capture their influence. Thus, we looked for associations among population density (PD), the incidence (%) of indigenous population (IIP), and the extent of the financial infrastructure in the various ATUs. We assessed the latter by the degree of financial outreach (FO), measured by the number of financial service points per 10,000 inhabitants in the ATU.
Our initial failure to identify significant correlations posed two issues. First, it questioned the value of census data on population density in answering these kinds of enquiries, since density figures are averages for the ATU and (implicitly) assume that the population is evenly distributed in the territory, when clearly neither the population nor FO are. Second, traditional analytical tools may fail in identifying the underlying complex and non-linear relationships, since FO is characterized by heterogeneity and complexity (Vivalt, 2015; Bamberger, 2016; Gonzalez-Vega, Mo & Di Placido, 2023).
We study both country-level and Amazon-region data (site of the highest share of indigenous population, difficult access, and limited government presence). When the data are available, in addition to PD, other covariates are used (per capita incomes), and some segmentations are examined (by degrees of rurality). While further segmentation would be useful, given the wide-ranging heterogeneity of the indigenous peoples, we keep the modelling simple, and focus on some key questions for policymakers and lessons for researchers.
First, for the descriptive analysis, we examine the distributions and percentile features of the target variable, in comparison to potential covariates, accompanied by inferential tests. We look at the extent and potential regressiveness of the financial infrastructure in the three countries.
Second, for the econometric analysis, we estimate regression models via ordinary least squares (OLS), to evaluate the statistical significance of the indigenous incidence and population density variables. Seeking to improve model specification, we study the importance of other variables, when data were available for a particular country. We examine the fit of the models by correcting for selection bias, by using the two-stage Heckman approach whereas, in the first stage, the selection process is based on a probit model (for municipalities with indigenous population). For the first selection stage, we use PD as a variable. For this, we utilize the developments of Toomet and Henningsen (2008) with their R sample Selection package: (https://cran.r-project.org/web/packages/sampleSelection/index.html).
Third, for the ML alternatives, we use complementary post hoc explanatory graphical tools for the decision tree techniques (Lundberg & Lee, 2017; Lundberg et al., 2020), developed in the rpart library in R by Therneau and Atkinson (2022), based on the work of Breiman (2017). Also, the eXtreme Gradient Boosting (XGBoost) model is used for its predictive capacity (Chen & Guestrin, 2016). Chen et al. (2024) developed this in the XGBoost library in R.
To provide explainability to the models and identify possible nonlinear relationships, we use tools -to recognize the importance of the variables- developed by Greenwell and Boehmke (2020). We also use SHAP values, which are based on the definition of shapley values developed in game theory (Shapley, 1953). SHAP values allow us to estimate the contribution of each variable and its importance, to identify monotonicity and relatedness, and even to recognize nonlinear relationships derived from ML proposals. We use SHAP values mainly to identify how IIP is related to FO, in the presence of other variables. For their application, we use the libraries developed by Mayer and Watson (2023), Kernel SHAP, and the shapviz library (Mayer, 2024).
In summary, we present three classes of results. First, we show a table with descriptive analyses, highlighting the main findings related to the distributions of FO, PD, IIP, and their relationships. Second, we discuss the results of the econometric analyses, including coefficients and inferences from the proposed models. We designate OLS1 as the model involving PD and IIP in the ATUs. For the case of Colombia, OLS2 includes control covariates, such as dummy variables for ATUs with a majority (over 50%) of indigenous population (mpi), ATUs in the Amazon region, and gross domestic product per capita. We also include a Heckman selection bias adjustment (OLS3), with a probit model for the presence of indigenous population per ATU. Finally, we build a model (OLS4) regarding FO, incorporating covariates specific to each country but excluding the incidence of indigenous population, and instead utilizing a dummy variable indicating a dominant presence of indigenous population (above 50%) per ATU.
Third, using ML models, we include visual analyses, comprising graphs resulting from regression tree scrutiny on the FO variable, and we feature importance plots and dependency plots (using SHAP values). Negative SHAP values are associated with low FO, and high values with high FO. These analyses allow visualization of monotonic relationships and potential non-linear relationships, focusing primarily on the association between FO and IIP per ATU.
Data
Our data come from official sources within each country2. Information on the indigenous population per ATU was extracted from population censuses. Financial outreach statistics were obtained from the regulatory authorities. In Colombia, however, Banca de las Oportunidades provided the data. Each dataset includes usual core variables: total and indigenous population numbers, financial service points, and ATU area, in square kilometers (km2). The Colombia data include an estimated per capita gross domestic product, and a classification of ATUs based on degrees of rurality (National Planning Department). All datasets contain a variable identifying territories within the Amazon region. We have data for 1,118 municipalities in Colombia, 224 counties in Ecuador, and 1,872 municipalities in Peru. The Annex shows maps simultaneously reporting the extent of financial outreach and the incidence of indigenous population in each country. This visualization offers an attractive way of showing the spatial distribution of the variables.
Results
We now present the main results and discussion of the three types of analysis: descriptive, econometric, and machine learning visualization tools.
Descriptive Statistics
As a first step, we use descriptive statistics to examine features of the distributions of key variables, quantify degrees of exclusion of indigenous peoples, and search for correlation patterns among FO, IIP, and PD indicators. Figure 1 shows cumulative distributions of the incidence of indigenous peoples per ATU in each country (percentiles). Substantial differences across countries emerge, reflecting diverse degrees of presence of indigenous peoples in their territories. In Colombia, the presence of indigenous peoples is practically nonexistent in over one-half of the ATUs (in 68% of the ATUs there is less than 1% representation of indigenous peoples). At the same time, there is a very high IIP in those few ATUs where indigenous peoples are present. Only 4.3% of Colombia´s population identify themselves as indigenous.

Source: own estimates.
Figure 1 Cumulative distributions of the incidence of indigenous peoples in the territorial units, by country (% of the total population).
In Ecuador, there is practically no indigenous presence in almost one-half of the ATUs. For the rest, this presence grows more rapidly than in Colombia. This reflects a country divided into two, according to the prevalence of indigenous peoples or not. Most of the Ecuadoran ATUs without indigenous presence are in the Pacific coast, where population of African descend lives. Their access to the financial infrastructure may be limited, as well. In Peru, with some 5.9 million indigenous peoples (18.4% of the population), their incidence is almost universal, and it gradually grows from ATUs with low to ATUs with high presence3.
Figure 1 reflects much heterogeneity across and within countries. The concentration of the distribution of IIP is more pronounced in Colombia. This is reflected by a Gini coefficient of 0.87, compared to 0.77 for Ecuador, and 0.52 in Peru, a country with a more widespread presence of indigenous peoples. In consequence, in Colombia, a financial inclusion initiative should have a strong regional focus, while in Peru it could have a national treatment.
Figure 2 shows the dispersion of the financial outreach indicator. Peru displays a broader range of variation of FO, with a median of 27 and a maximum -which is 27 times the median- of 728 service points per 10,000 inhabitants. In Colombia, a maximum of 145 is 4.5 times a median of 32 service points. In Ecuador (where the ATUs are counties rather than municipalities), a maximum of 62 is only 3.6 times a median of 17 service points per 10,000 inhabitants. The distribution of ATUs according to the number of service points reveals, particularly in Peru, a large concentration of the total in the ATUs with the highest number of points per location.

Source: own estimates
Figure 2 Distribution and range of variation of the number of financial service points per 10,000 inhabitants, from lower to higher for territorial units, by country.
The signs of exclusion show up in the distributions. In Colombia, the ATUs corresponding to the three deciles with the lowest FO (up to 25 service points per 10,000 inhabitants) are home to 19% of the total population and 73% of the indigenous population. At the other extreme, 30% of the total population lives in ATUs with over 55 service points per 10,000 inhabitants, compared to only 4% of the indigenous peoples. As a strong indicator of financial exclusion, four out of ten indigenous people live in the ATU decile with the lowest financial outreach (up to 16 service points per 10,000 inhabitants), compared to 4.7% of the total population. ATUs with less than 50% of indigenous peoples show an average of 35 financial service points per 10,000 inhabitants and population density of 157 inhabitants per km2, while ATUs with more than 50% of indigenous peoples exhibit an average of only 10 service points per 10,000 people and a density of 28 inhabitants per km2.
In Ecuador, differences in FO exist between the Pacific coast, Andean, and Amazon regions. The coast shows the lowest FO, while there the IIP is close to zero. In the Andean and Amazon areas, a lower FO is found in ATUs with an indigenous incidence greater than 50%. These ATUs are extensive areas with low population density, mainly in the Amazon region. If the coastal counties are excluded, a significant negative correlation between IIP and FO is found (-0.23).
In Peru, ATUs with a higher IIP show a lower FO. In addition, there is statistical evidence of greater FO in territories with higher PD, where generally the incidence of indigenous peoples is lower. In 12% of ATUs, FO is zero. These are, however, sparsely populated municipalities, where only about 1.5% of the country's population lives. One-half of the ATUs house 14% of the country's population, with a FO of up to 27 service points, while the top 20% of the ATUs (where 41% of the population lives) enjoy more than 94 service points per 10,000 inhabitants.
Further, in Peru, the top three ATU deciles with higher FO (over 65 service points), where 70% of the population lives, are characterized by high PD and a low IIP. A significant and positive relationship is observed between FO and PD (correlation 0.16). This is relevant since the indigenous peoples live in territories with lower PD (correlation -0.1). As an indicator of financial exclusion, ATUs with a majority (over 50%) of indigenous peoples show the lowest FO, and the differences are significant. These ATUs are characterized by a PD seven times lower than for the rest of the country (70, compared to 534 inhabitants per km2).
Generalizations are difficult, given the diversity of circumstances across and within these countries. Once idiosyncrasies are considered, Peru seems to have developed a more inclusive financial infrastructure. Some have attributed this to the quality of its microfinance prudential regulation (The Economist Intelligence Unit, several years; Rojas & Ruesta, 2019). This is shown by the FO means at the ATU level: 52.1 service points per 10,000 people in Peru, 34.1 in Colombia (a country that has caught up rapidly in recent years), and 18.6 in Ecuador, despite the strong presence of cooperatives in this country (Table 1). It is interesting that the cooperative system in Ecuador has not developed a network of correspondent agents.
Table 1 Population and financial outreach statistics for territorial units, by country.
| Country | Moments | Population | Indigenous population | % Indigenous population | Financial service points | Financial outreach | Area (kmsg) | Population desity |
|---|---|---|---|---|---|---|---|---|
| Total | 43757831 | 1861190 | 166208 | 1140476 | ||||
| Mean | 39139 | 1665 | 7.6 | 149 | 34.1 | 1020 | 149.9 | |
| Colombia | Median | 11123 | 26 | 0.1 | 33 | 32.2 | 292 | 38.2 |
| Std Deviation | 241722622 | 7028 | 20 | 1246 | 16.8 | 3305 | 667 | |
| Coeff Variation | 618 | 422 | 263.4 | 838 | 0.5 | 324 | 4.5 | |
| Total | 14483499 | 1018176 | 0 | 27774 | 256423 | |||
| Mean | 64658 | 4545 | 12.2 | 124 | 18.6 | 1145 | 108.1 | |
| Ecuador | Median | 23338 | 384 | 1.3 | 36 | 17.1 | 584 | 42.4 |
| Std Deviation | 221736664 | 11284062 | 21.6 | 433 | 8.8 | 1894 | 289.9 | |
| Coeff Variation | 343 | 248 | 177.5 | 349 | 0.5 | 165 | 2.7 | |
| Total | 32405489 | 5949385 | 0 | 296046 | 1280850 | |||
| Mean | 17311 | 3178 | 26.7 | 158 | 52.1 | 684 | 431.1 | |
| Peru | Median | 4637 | 819 | 20.3 | 12 | 27.1 | 206 | 21.1 |
| Std Deviation | 55220 | 9673 | 24.2 | 567 | 63.5 | 1900 | 2315 | |
| Coeff Variation | 319 | 304 | 90.7 | 358 | 1.2 | 278 | 5.4 |
Source: own estimates.
There is pronounced concentration of the financial infrastructure in these countries, in large part reflecting the concentration of the total population in a few large urban centers. This concentration is shown by the high Gini coefficients for the distribution of each country’s stock of points of service across the ATUs: 0.58 in Colombia, 0.59 in Ecuador, and 0.79 in Peru (the latter in reflection of the heavy weight of Lima). Moreover, these Gini coefficients are higher than those corresponding to the distribution of the total population, particularly in the case of Peru (0.79 versus 0.62). This suggests that potential economies of scale and agglomeration, among other factors, influence the concentration of FO.
This concentration depicts a regressive nature of the supply of financial infrastructure. This hints, in turn, at the potential of financial inclusion as a tool for reducing relative inequalities of the indigenous versus the overall population. Figure 3, Figure 4 and Figure 5 show the cumulative distributions of the total population, of the stock of points of attention, and of FO. In the case of the distribution of FO, however, these features are not immediately evident (except in the case of Peru). This may be an indication that other key factors influence FO and of a greater complexity of the relationships involved. These issues are addressed below.

Source: own estimates
Figure 3 Cumulative distribution of the number of financial service points across territorial units, per country.

Source: own estimates
Figure 4 Cumulative distribution of the overall population across territorial units, per country.

Source: own estimates
Figure 5 Cumulative distribution of the number of financial service points per 10,000 inhabitants, across territorial units, per country.
Peru exhibits the lowest population density (25.3 people per km2), followed by Colombia (38.4) and Ecuador (56.3). The coexistence of a lower PD and a higher FO in Peru -compared to the other countries- seemed to contradict our initial presumption of a direct relationship between these two variables. As suggested. this mostly reflects the huge differences across (and within) countries, given the multitude of idiosyncratic determinants of FO in each one.
Again, there are major country differences and much dispersion of PD, as shown in Table 1. In Peru, a mean density of 431 persons per km2 -across ATUs- differs sharply from a median density of 21. In turn, the mean is 150 for Colombia and 108 for Ecuador, countries that show less left asymmetry than Peru. These differences are in part due to the administrative processes of defining the size and borders of ATUs in each country, but they also reflect actual differences among them with respect to PD.
Moreover, in ATUs with widespread areas and uneven distribution of the population, while average density may be low, the population may be concentrated in a small number of highly populated centers, while the larger non-urban areas are empty. Financial points of service are located in those centers. In this case, the expected correlation of PD with FO would not be observed. Several of these feATUres thus limit the value of census data on population density in predicting outcomes (such as FO) that depend on economies of agglomeration.
Econometric results
Results from the OLS models and Heckman selection-bias adjustment are shown in Table 2. There is a consistently inverse and statistically significant relationship between IIP and FO, when controlling for covariates such as PD, Amazon ATUs, or GDP per capita, particularly evident in Colombia and Ecuador. However, a significant relationship is not revealed with PD by itself, particularly in Colombia and Ecuador, while in Peru, a direct relationship does emerge, suggesting that higher PD correlates with higher FO, as expected. As in all cases, these relationships reflect associations and not necessarily any specific causality.
Table 2 Econometric models: coefficients on the financial outreach variable
| DV:FO | |||||
|---|---|---|---|---|---|
| Heckman selection model | |||||
| Variables by Country | OLS1 | OLS2 | OLS 3 | Aux. Probit (DV:ATU with Indigenous population) | OLS 4 |
| Colombia | |||||
| Intercept | 36.60684*** | 46.53791*** | 46.98260*** | 0.84264*** | 46.72392*** |
| % indigenous | -32.80640*** | -21.86722*** | -21.00671*** | ||
| Density | -0.00008 | -0.00077 | -0.00098 | 0.00453*** | -0.00073 |
| mpi>50%: YES | -15.32708*** | ||||
| Amazonic ATU: Yes | -2.07119 | -0.888 | -4.74001** | ||
| GDP per capita | -0.11901*** | -0.10888*** | -0.12869*** | ||
| Ecuador | |||||
| Intercept | 19.08970*** | 18.67130*** | 21.6595 | 2.30125*** | 18.36426*** |
| % indigenous | -3.85326 | -8.76417** | -8.45711*** | ||
| Density | 0.00026 | 0.00094 | -0.00058 | 0.00088 | 0.00101 |
| mpi>50%: YES | -8.59819*** | ||||
| Amazonic ATU: Yes | 5.14890** | 5.60943*** | 4.32385** | ||
| Peru | |||||
| Intercept | 54.78639*** | 57.03701*** | 96.86291*** | 2.12587*** | 54.84781*** |
| % indigenous | -16.82639*** | -20.96404*** | -12.31081a | ||
| Density | 0.00428 | 0.00415*** | 0.0011 | 0.00662* | 0.00416*** |
| mpi>50%: YES | -15.65285*** | ||||
| Amazonic ATU: Yes | -24.25181*** | -14.44724a | -22.96058*** | ||
Source: own estimates.***p<0,01; **p<0,05; *p<0,1; a. value for inference not computed
The relationship between IIP and FO is further brought out when employing the mpi dummy variable in the OLS4 regression. There seems to be a kink, however. For ATUs with a dominance of indigenous population (over 50%), FO markedly declines as this proportion increases. This effect is especially pronounced in Colombia and Peru. However, this inverse relationship is not observed in scenarios with indigenous minorities, where their presence seems not to influence FO significantly, one way or the other.
Additionally, the model underscores other associations, such as the lower FO in the Amazon region of Colombia and even more so in Peru, contrasting with Ecuador, where the Amazon region appears to enjoy a higher FO than other regions. Further, underlying relationships include the inverse correlation of GDP per capita with FO in Colombia. This finding indicates a potentially lower FO in ATUs with high aggregate income from extensive agricultural, mining, or other resource exploitation activities, which generate modest employment and where the indigenous population may not benefit significantly.
In the Heckman selection-bias correction first-stage model, higher PD is correlated with IIP, possibly associated with displacement processes. In Peru, increased PD not only correlates with a higher likelihood of indigenous presence but also with lower FO.
Machine Learning Results
In this section, we use machine learning tools that, when combined, validate the econometric findings and uncover additional complexities and actionable insights for financial inclusion. Decision trees highlight threshold-based segmentation and its policy relevance. XGBoost utilizes SHAP values to quantify the relative importance and monotonic effects of variables, offering a granular view of their interactions
Decision trees, such as those depicted in Figure 6, represent the hierarchical segmentation of the data, based on decision rules that maximize predictive accuracy at each node. Each node corresponds to a split determined by a specific variable, while the branches represent different outcomes based on the value of that variable. Terminal nodes (leaves) summarize the predicted values or categories for subgroups. Thus, for example, Figure 6 shows how PD and IIP segment municipalities into groups with varying levels of FO. Each split highlights a significant condition, such as a particular range of IIP or PD, that helps explain the observed disparities in FO. This stepwise segmentation reveals patterns of exclusion or inclusion and provides a clear structure for understanding how the variables interact to influence outcomes. Decision trees are especially valuable for identifying straightforward, interpretable decision rules that can inform targeted policy interventions.
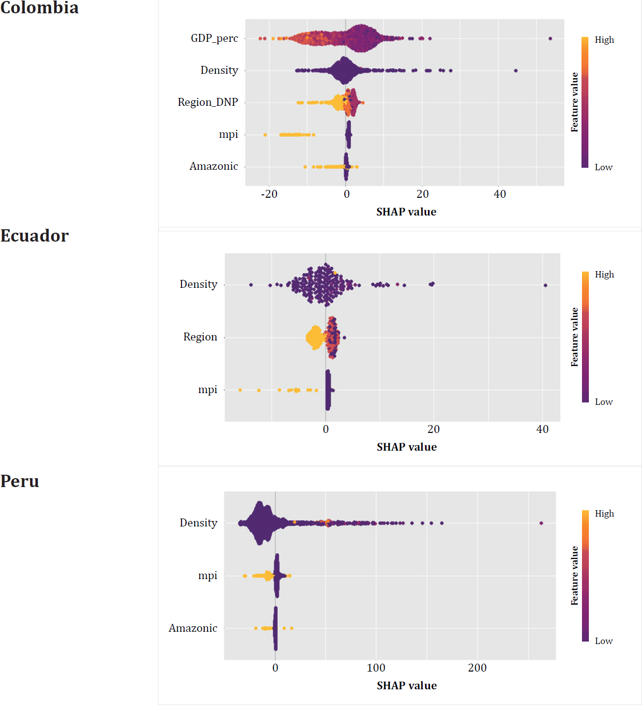
XGBoost is a machine learning algorithm that builds ensembles of decision trees to optimize predictive accuracy. Unlike single decision trees, XGBoost combines multiple weak learners into a robust model, capturing complex, nonlinear relationships among variables. To make the model's predictions explainable, SHAP (SHapley Additive exPlanations) values are used. These values decompose each prediction into contributions from individual variables, allowing for a detailed understanding of their relative importance and interaction effects. Figure 7, for example, visualizes SHAP values to represent the impact of categorical and numerical variables on financial outreach. For numerical variables, the figure uses a color gradient (e.g., yellow for high values and purple for low values) to indicate how different levels of the variable contribute to the outcome. Thus, higher values of IIP (in yellow) correspond to lower FO, illustrating a negative association. Meanwhile, PD exhibits a less clear association, where changes in density correspond to varying levels of outreach. These visualizations make it possible to identify monotonic relationships, and other types of relations, even in cases where the interactions are complex or nonlinear.
The ML analysis confirms several of the results featured in Table 2, and it also highlights other results that are not evident or noticeable from the econometric models. In Figure 6, we observe how IIP is pivotal in branch segmentation for the decision trees, across the three countries, albeit serving as the first segmentation variable solely in Ecuador. In this country, a higher IIP, combined with lower PD, identify the ATUs with lower FO.
In Colombia, per capita GDP emerges as the determining variable for initial segmentation, in correlation with lower FO in ATUs exhibiting either a higher IIP (>52%) or showing any level of IIP coupled with minimal PD. We find the highest FO values in ATUs with moderately high per capita GDP, minimal IIP, and moderate PD (between 5.5 and 7.8 persons per Km2). In Ecuador, notably, higher IIP is associated with lower FO, while we also observe low FO in ATUs with low PD. In Peru, PD serves as the primary determinant for segmentation, with areas of very low PD exhibiting the lowest FO. While FO decreases in ATUs with higher IIP, it never reaches the low levels observed in ATUs with low PD (<33 per km2).
When we use the XGBoost model, to corroborate the earlier results, by looking at its feature importance and dependency analysis (with SHAP values). Per capita GDP and PD primarily drive the relative weight in explaining FO in Colombia, with IIP not far behind, and distantly followed by the type of region (rural), as shown in Figure 7. The Amazonian ATU variable does not show a significant importance. These results for Colombia are corroborated by the SHAP dependency plots, which show the relationship between a high IIP and a low FO, in ATUs with medium to high per capita GDP, characterized by low PD, primarily under the category of dispersed rural areas, denoted in yellow.
In the case of Ecuador, the IIP variable exhibits greater relevance, showing once again that higher values of IPP are associated with lower SHAP values, which indicate lower FO. Although PD shows relevance in the feature importance analysis, we do not observe a clear monotonic relationship. We do find that ATUs with low density of population exhibit lower FO. Additionally, the lowest SHAP values are observed for ATUs on the Pacific coast, indicating lower FO compared to the Andean or Amazonian regions, possibly reflecting a lack of financial outreach for other vulnerable or disadvantaged populations, such as African descendants.
In Peru, PD is reaffirmed as a relevant variable, showing low values for ATUs with low FO. We also observe that ATUs with a higher IIP are associated with lower FO. Still, there are also some ATUs where the proportion of indigenous population is not low, that exhibit similar FO characteristics. The Amazonian region does not show a clear relationship with FO, but we observe that the low level of outreach is more pronounced in this region.
Amazon Region
Focusing on the Amazon region, Figure 8 shows that IIP has become even more significant, especially in Colombia and Ecuador. This highlights the meagre financial infrastructure available for indigenous peoples in those countries. However, IIP is not a clear determinant in characterizing a low FO in Peru. In Colombia, a high IIP associated with limited FO is accompanied by ATUs with low PD while, in Peru, low FO occurs in ATUs primarily characterized by low PD.
In Figure 9, the associations we found in Colombia are reaffirmed by the SHAP values analysis, showing low FO for ATUs with high dispersed rurality and considerable values of per capital GDP, an unexpected result that possibly reflects the presence of low labor-intensive extractive activities.
Territorial units where most of the population (above 50%) are indigenous
In the models where the mpi dummy variable replaces IIP, Figure 10 and Figure 11 show that an ATU characterized by a dominant indigenous population is consistently associated with lower FO values in Colombia and Ecuador. However, in Peru, this characteristic appears to be vaguely related to a lower FO. Additionally, in Colombia, where there is a minority indigenous population, PD and per capita GDP predominantly influence the strength of FO. In Ecuador, PD and region type play significant roles, with the coast showing the least FO. In Peru, there are cases of ATUs with high PD, majority of indigenous population, and not low FO values. Once again, the Amazon region exhibits lower FO in Colombia and Ecuador.
Conclusions and additional reflections
To further specify the context in which our results emerge and to highlight potential policy implications, here we complement the conclusions with several reflections, not necessarily derived from the exercises but relevant for the interpretation. First, our results show considerable dispersion and heterogeneity, across and within countries. Despite common historical roots and shared cultural practices, the financial infrastructures developed in Colombia, Ecuador and Peru exhibit important differences in extent and location across the space. Because the range and types of financial services supplied also differ, the dissimilar evolution of the financial infrastructures has had consequences on levels of financial outreach, financial inclusion, and financial health, in general and for the indigenous peoples in particular.
Further, these heterogeneity and location-specific results justify the selection of three countries for our research. Because these three Andean countries share several common features, this may make it easier to look for other determinants of the observed disparities. We have not found equivalent studies for other countries with similar presence of indigenous peoples (Bolivia, Guatemala), that would help in confirming our results.
Some observers have attributed a strong influence on these results to the diverse evolution of the regulatory frameworks (The Economist Intelligence Unit, several years; Rojas & Ruesta, 2019). Indigenous peoples have been reached mostly by state-owned banks and private microfinance banks in Colombia, by cooperatives in Ecuador, and by a broad range of private microfinance banks, financial companies, and NGOs in Peru. Both diverse initial conditions and path dependency have resulted in the dissimilar set of experiences reflected in our results (Quirós, González-Vega and Fardella, 2019).
Second, our analysis reveals profound regional disparities in financial outreach within each country, particularly pronounced in Colombia and Ecuador, where the incidence of the indigenous population emerges as a critical potential determinant of differences in financial outreach. These disparities are reflected in the maps that combine incidence of indigenous population and financial outreach, presented in the Annex. These maps are borrowed from a research activity at Fundación Capital, in which some of us participated (Gomez-Soto et al., 2023).
Third, on the one hand, the data suggest that the indigenous peoples often reside in territories characterized by socio-economic conditions that do not facilitate financial inclusion, such as high poverty rates, limited literacy and educational achievements, a precarious infrastructure, long distances from major urban centers and limited market access, and inadequate connectivity. Given the importance of the universal barriers resulting from these circumstances, there is a major role for the supply of the required public goods to overcome those barriers as well as for comprehensive financial inclusion efforts.
On the other hand, the data underscore the desirability of complementing broad financial inclusion policies with interventions that address idiosyncratic barriers and are tailored to the unique socio-economic challenges faced by indigenous communities in these regions. When these communities are concentrated in specific areas, as in Colombia, regional efforts may be sufficient. When the indigenous population is present throughout the country, as in Peru, a national approach will be needed.
In effect, the lower levels of financial infrastructure associated with a higher incidence of indigenous population might reflect cognitive and cultural biases that constrain both the demand and supply of financial services. While our research elsewhere found that the indigenous worldview (cosmovision) does not significantly constrain the demand for financial services, current and potential indigenous clients show little trust in government programs and financial institutions, possibly in reflection of adverse experiences in the past (Maldonado et al. (2023). At the same time, staff members of financial institutions reveal both prejudice and insufficient knowledge about the potential indigenous clientele. Financial education efforts and culturally aware communications may help increase the trust of indigenous households in financial institutions, while efforts directed at increasing the sensitivity and knowledge of their staff about the circumstances of the indigenous peoples will strengthen both trust and information.
Fourth, Maldonado et al. (2023) and Gomez-Soto et al. (2023) also found considerable heterogeneity, within indigenous communities, among individual households, including specific demographic dimensions (gender, age) as well as resource endowments and productive opportunities. Such heterogeneity suggests the importance of using segmentation as a critical tool of a financial technology that attempts to reach these populations (Gonzalez-Vega, Mo and Di Placido, 2023).
Fifth, the linkages and associations among the variables considered here do not necessarily imply a causal relationship. Most likely, both financial outreach and the socioeconomic circumstances associated with the universal and idiosyncratic barriers that constrain it have been determined by underlying factors, such as natural resource endowments, geography, and historical shocks (Hartl, 2019).
We now focus on the results from our current exercises. In general, territories with a higher incidence of indigenous population are associated with lower financial outreach. In Colombia, other circumstances, such as belonging to the dispersed rural segment, are associated with lower financial outreach (in part due to the absence of economies of agglomeration). In Ecuador, this is the case for territories located on the coast, most likely related to other types of vulnerability experienced by different ethnic groups, such as people of African descent.
Regions with low population density are consistently associated with lower financial outreach. This suggests that sparsely populated areas face additional challenges in facilitating access to financial services, possibly due to dimensions of physical, social, and cultural distance from financial institutions and a lack of basic infrastructure, which increases transaction costs for all parties. Also, a lower density of community support networks reduces the ability to cope with risk. Financial policies should address the specific needs of these areas, implementing strategies that consider geographic features and local socio-economic conditions, to ensure inclusive access to financial services and foster economic empowerment and social inclusion.
The consistently lower financial outreach observed in the Amazon region, across these countries, underscores the need for targeted policies to bolster financial access and inclusion in these marginalized areas. While this feature is evident across Colombia and Peru, it is worth noting that the Amazon barrier is less pronounced in Ecuador, where important cooperatives are found in this region. The indigenous communities residing in the Amazon face additional challenges from limited access to a financial infrastructure, linguistic and cultural barriers, and environmental vulnerabilities.
The analysis highlights three key contributions. First, descriptive and econometric analyses identify regional priorities, such as Amazonian municipalities with high indigenous incidence and low population density. Second, ML tools, such as SHAP scores, provide actionable insights by identifying critical thresholds. Finally, the consistency between econometric and ML results enhances confidence in policy findings and recommendations. Future research could incorporate spatial autocorrelation analysis to further strengthen the findings. While regional controls address potential spatial dependencies, explicitly modelling spatial effects using spatial econometrics or geospatial machine learning could reveal localized interactions and spillover effects. This approach would validate the robustness of the results and uncover new patterns, enhancing the design of geographically targeted financial inclusion.
Despite the valuable insights gained from our research (enhanced with the use of machine learning tools), it is important to acknowledge several limitations. First, the analysis relied on secondary data sources, which may have limitations in accuracy and completeness. However, a national census is subject to strict review and the financial data reflect prudential regulation requirements. Second, the scope of our study was limited to specific countries in Latin America, potentially reducing the ability to generalize our findings to other contexts.
Third, the multifaceted nature of financial inclusion involves numerous influencing factors (complexity), beyond those considered in our analysis, such as cultural norms, government policies, and historical context, which we still need to explore more fully. Fourth, while our study identified associations between various factors and financial outreach, it is crucial to recognize that correlation and association, even monotonic relationships, do not imply causality. Further research is needed to elucidate causal relationships.
Fifth, our study did not incorporate qualitative data or perspectives from indigenous communities, which could provide valuable insights into their unique experiences and challenges related to financial inclusion. These limitations highlight the need for continued research, to deepen our understanding of financial outreach complexities and inform more targeted and effective policy interventions.










nueva página del texto (beta)










