INTRODUCCIÓN
El programa especial de energía para el campo en materia de energía eléctrica de uso agrícola (PEUA), tiene como objetivo, impulsar la productividad y el desarrollo de actividades agropecuarias de manera sustentable con el ambiente, a fin de contribuir a que éstas, sean más rentables, al dar acceso a los productores agrícolas a la energía eléctrica (DOF, 2005). En este sentido, el Programa se enfoca en apoyar actividades de bombeo y rebombeo de agua, mediante una tarifa de estímulo denominada cuota energética.
Lograr un equilibrio entre la cuota energética asignada y el volumen de extracción de agua autorizado para cada productor, resulta desafiante, debido a la influencia de diversos factores en la energía final requerida para la extracción.
Entre estos factores, se encuentran el factor de potencia, la eficiencia del equipo de bombeo y las cargas dinámicas, las cuales, están determinadas por la profundidad y el diámetro de la perforación, el sistema de riego empleado, la superficie de riego y su distribución, entre otros aspectos.
Inicialmente, para calcular la cuota energética, se consideraba el Límite de Energía Anual (LEA), en donde se tomaba en cuenta el volumen concesionado, la profundidad de la perforación y una eficiencia electromecánica mínima del equipo de bombeo. Sin embargo, al aplicar el LEA como cuota energética, se consideró que era insuficiente para atender las demandas de los sujetos productivos, ya que no reflejaba las condiciones reales en las que operaban los sistemas de bombeo, lo que resultaba en un aumento de los costos de producción y afectaba la competitividad de los usuarios. En respuesta a esta problemática, en 2005 se publicó un acuerdo de modificación que estableció una nueva fórmula, actualmente vigente, la cual se centra exclusivamente, en la potencia del equipo de bombeo, eliminando el volumen concesionado como variable del cálculo y delegando la responsabilidad de medir el volumen de agua extraída al concesionario, conforme a lo estipulado en la Ley de Aguas Nacionales y su reglamento (DOF, 2005).
Uno de los problemas en la fórmula actual de la cuota energética, es que el subsidio permite una excesiva extracción de agua y el dispendio del recurso, el uso de equipo ineficiente y el establecimiento de cultivos no rentables (Olavarrieta et al., 2010). Para contextualizar esta problemática, es relevante mencionar algunos datos del consumo nacional y regional del agua en México. De acuerdo con la CONAGUA (2022), el uso agrícola representó 76.29% del total nacional, con 68,515.7 hm³ destinados al riego de cultivos. En este mismo año, se utilizaron en Nuevo León, un total de 1,914 hm³. La distribución de este volumen de agua fue la siguiente: 65.99% fue para uso agrícola (605 hm3 de fuentes superficiales y 658 hm3 de fuentes subterráneas), 29.36% para consumo de agua potable (406 hm³ de fuentes superficiales y 156 hm3 de fuentes subterráneas) y 4.5% para la industria (87.6 hm³ de fuentes subterráneas).
A pesar de que la agricultura es el sector con mayor agua asignada, existe un profundo desconocimiento del uso del agua en este sector (González-Sánchez et al., 2017), derivado de la falta de medición de los usuarios, la falta de instrumentación para la medición del consumo volumétrico, la escasez de personal para hacer las lecturas y la falta de aplicación del marco normativo por parte de la CONAGUA. Crespo y Ramírez (2018), afirman que no se sabe con exactitud, cuánta agua realmente se aprovecha para los fines que fueron asignados, en general, la información que se tiene consiste en las concesiones que otorga la autoridad de agua, mismas que están registradas en el Registro Público de Derechos de Agua (REPDA).
El objetivo de este estudio, es evaluar el aprovechamiento de agua asociado a la cuota energética en casos extremos de consumo energético, verificar el volumen de estas extracciones, comparar la energía proporcionada por la cuota energética con los requerimientos energéticos de los productores en el área de estudio y proponer una metodología que limite los apoyos otorgados para la extracción, basada en los volúmenes de agua concesionados. La metodología propuesta, tiene como finalidad, garantizar las demandas energéticas de los distintos sistemas productivos agrícolas, evitando subsidiar consumos que potencialmente, estarían excediendo las extracciones permitidas por la CONAGUA. Su implementación se analiza de manera preliminar, debido a la limitada disponibilidad de datos sobre mediciones volumétricas de las extracciones en la región.
MARCO TEÓRICO
Las aguas subterráneas, son esenciales para la producción agrícola (Richter & Ho, 2022) y los ecosistemas dependientes de estas aguas, son vitales para mantener los flujos de arroyos y ríos, proporcionando hábitats, apoyando la biodiversidad y protegiendo los acuíferos de la contaminación (Eamus et al., 2015; Poeter et al. 2020). Además del valor socioeconómico asociado a la extracción productiva del agua subterránea, este recurso, aporta importantes servicios ambientales como la mitigación de sequías, la protección contra la intrusión de agua salada, principalmente, en acuíferos costeros y la subsidencia del suelo (Grundmann et al., 2016; Alcalá et al., 2023).
La agricultura de riego, desempeña un papel fundamental en la producción mundial de alimentos, contribuyendo con más de 40% de la misma (Hamidov y Helming, 2020). Sin embargo, la escasez de agua, agravada por el agotamiento de las cuencas hidrográficas y la contaminación urbana e industrial, deteriora las tierras destinadas al riego. Problemas como anegamientos, salinización y erosión, son frecuentes debido a prácticas deficientes en el manejo del agua para riego (Magdoff y Van Es, 2021). Además, los elevados costos de tecnificación, mantenimiento y reparación de los sistemas de riego y drenaje, junto con la escasez de recursos económicos entre los agricultores, representan un desafío considerable para los gobiernos, que deben decidir cómo asignar recursos para enfrentar estos problemas sin transferir completamente esos costos a los usuarios finales (Zúniga y Mendoza, 2021).
La política agrícola, es un factor importante que se debe de considerar en el manejo del agua subterránea. En particular, los subsidios de energía para los costos de riego agrícola, pueden incentivar una extracción excesiva de agua, debido a ineficiencias en su uso, como la implementación de cultivos de baja productividad o la adopción de sistemas de riego ineficientes, lo que lleva a que los usuarios obtengan beneficios pero que solo asuman una fracción de los costos reales, mientras que el resto, es asumido por la sociedad (Srivastava et al., 2017), sin considerar impactos socioeconómicos más amplios derivados del agotamiento y la contaminación de los acuíferos.
Por otra parte, la imposición de tarifas eléctricas, puede ser utilizada como una herramienta para inducir a los agricultores a usar la energía de manera más eficiente, mediante mejoras en las prácticas de riego que conduzcan a una mayor producción por unidad de energía, además de influir en la extracción y el uso de las aguas subterráneas. Sin embargo, es importante considerar que, en la medida en que la productividad marginal de la energía utilizada en el bombeo siga siendo mayor que el costo total de la misma, el aumento de la tarifa, podría no ser tan eficiente para controlar el consumo de energía y, por lo tanto, la extracción de agua subterránea. Además, si esta estrategia deja de ser rentable para los productores, estos podrían optar por alternativas energéticas como las bombas solares o de diésel (Saleth, 1997). Asimismo, es necesario abordar la contaminación agrícola y promover prácticas agrícolas más sostenibles para proteger este recurso a largo plazo, reconsiderando los subsidios a fertilizantes y pesticidas que pueden dañar la calidad del agua subterránea si se usan de manera indiscriminada (UICN, 2016).
La productividad total de los cultivos, debe integrarse en la planificación agrícola y en la gestión sostenible de los recursos hídricos a largo plazo, ya que un enfoque basado en la productividad, puede optimizar el uso del agua y fomentar el ahorro en sistemas de alto consumo (Villa-Camacho et al., 2021). Para lograrlo, se deben identificar los requisitos hídricos de los cultivos y optimizar la eficiencia del sistema de riego, especialmente, en zonas áridas y semiáridas (Ávila-Dávila et al., 2021). En algunos casos, la productividad se puede mejorar con el uso de técnicas como acolchado de suelos (Escobosa-García et al., 2022) y la selección de variedades resistentes a la sequía, en combinación con diferentes tratamientos de fertilización y densidades de cultivo (Alonso-Sánchez et al., 2023). El-Beltagi et al. (2022), señalan que el acolchado plástico, incrementa la eficiencia del uso del agua en 31% y mejora el rendimiento del trigo hasta 50%, mientras que el acolchado de paja, reduce la evaporación en un 35%. Además, combinaciones de acolchado y riego por goteo, producen mejoras en la eficiencia del uso del agua y reducciones en el consumo de agua de 40 a 50% (Bwire et al., 2024).
Con la finalidad de crear políticas efectivas que promuevan la sostenibilidad de los aprovechamientos de agua y la productividad en el sector agrícola, es necesario conocer con precisión los niveles de extracción. No obstante, en muchas regiones, estas estimaciones son difíciles de obtener, debido a barreras físicas, regulatorias y sociales (Brookfield et al., 2023).
Un aspecto importante para tener en consideración al estimar extracciones de volúmenes de agua, es el uso consuntivo. Hanson et al. (2014), señalan que el uso consuntivo del agua en los cultivos, se divide en seis componentes específicos. Estos elementos incluyen: transpiración por absorción de agua subterránea a través de las raíces, transpiración derivada de la precipitación, transpiración del agua aplicada por riego, evaporación del agua de riego, evaporación generada por la precipitación y evaporación de agua subterránea. La suma de estos componentes, representa el uso consuntivo final (CU) de los cultivos y el agua restante, se convierte en escorrentía superficial o se filtra a través de la zona de las raíces hasta las aguas subterráneas como filtración profunda. En general, se estima que más de 60% de todas las extracciones de agua, vuelve a los sistemas hidrológicos locales, a través del caudal de retorno a los ríos o aguas subterráneas, la parte restante se considera un uso consuntivo debido a la evaporación y a la transpiración de las plantas (FAO, 2011).
El consumo de energía en la agricultura, puede utilizarse como un indicador de la cantidad de agua extraída para el riego. Según Espino et al. (2011), este consumo se ve influenciado por varios factores clave, entre los que se incluyen la profundidad del pozo, el transporte del agua a través de tuberías y el método de riego utilizado (inundación, aspersión, goteo, entre otros). Las etapas de un sistema de riego típico, abarcan desde la captación y el acondicionamiento hasta la conducción, distribución y finalmente el riego mismo. Cada etapa del proceso de riego, tiene un impacto energético significativo: desde la extracción del agua del pozo (que puede consumir entre 40% y 80% de la energía), hasta la conducción y distribución (0% - 50%) y el riego propiamente dicho (10% -30%). La optimización de los esquemas de distribución de agua, no siempre se alinea con la optimización del recurso energético. En general, a mayor tecnificación de los riegos, mayor consumo energético y menor consumo de agua para obtener el mismo efecto en el cultivo, ya que los sistemas de riego tecnificados, comúnmente basados en conducción por tuberías, enfrentan desafíos adicionales como la calidad de la energía eléctrica, la eficiencia de motores y bombas, así como pérdidas por la antigüedad y el diseño de las líneas de distribución (Espino et al., 2011).
Martindill et al. (2021), señalan que el volumen de agua subterránea bombeada, está directamente relacionado con la potencia requerida para extraer el agua. En su investigación, emplearon el método de elevación de eficiencia (Efficiency Lift Method, ELM, por sus siglas en inglés), el cual aprovecha esta relación para estimar el volumen de agua bombeada, a partir de tres datos principales: el consumo energético de la bomba (kWh), la eficiencia electromecánica del equipo de bombeo (relación entre la potencia mecánica de salida de la bomba y la potencia eléctrica de entrada, expresada en porcentaje) y la altura dinámica total (Total Dynamic Head, TDH), que corresponde a la distancia vertical equivalente total que la bomba mueve el agua, expresada en metros. Para obtener estos datos, los autores indican que el uso de informes de pruebas de eficiencia de las bombas, representó el enfoque más efectivo para minimizar errores de cálculo, logrando una tasa de error de 13.5%, que podría reducirse a 5%, al considerar las variaciones en la eficiencia a lo largo del año. En contraste, el uso de datos basados en promedios regionales, incrementó la tasa de error a 19.9%.
González-Sánchez et al. (2017), propusieron utilizar un índice energético para estimar el volumen de agua extraído en función del consumo de energía eléctrica en unidades de riego en Zacatecas. En su investigación, calcularon el índice de forma puntual, utilizando el gasto instantáneo y la potencia activa obtenidos en pruebas de eficiencia electromecánica del equipo de bombeo. Señalan que los equipos de bombeo, pueden experimentar deterioro en algunos componentes en un corto periodo, lo que puede alterar el gasto y producir diferencias en los índices energéticos en años consecutivos. Los resultados muestran que los índices energéticos, calculados en kWh/m³, generalmente, disminuyen a medida que aumentan tanto el gasto de agua como la eficiencia electromecánica. Sin embargo, al calcular el índice energético a partir del gasto de agua por segundo y la potencia activa de manera puntual, no se consideran ni la energía inicial o de arranque del sistema de bombeo y riego, ni los cambios de presión en el sistema de conducción que se producen con el aumento del caudal. Esto podría impactar en el valor del índice energético y en el cálculo final del volumen extraído.
Monteagudo-Yanes y Gaitan (2005) e Ibarguen-Valverde et al. (2017), utilizaron una fórmula para determinar la función de un índice de consumo energético. Esta fórmula, se basa en el cálculo de la pendiente de la regresión lineal, entre el consumo energético y la producción, que representa la energía asociada a la producción y en el valor de la intersección, que indica la energía no asociada a la producción. Este indicador, se ve impactado de acuerdo con los cambios en el volumen de producción. Por ejemplo, en el contexto de una extracción volumétrica de agua, a medida que la extracción de agua disminuye, es probable que se observe un aumento en el valor del índice. Esto se debe a la necesidad de una energía inicial no vinculada con la extracción de agua, lo que resulta en un incremento del peso relativo de esta energía en el total de energía consumida. Por el contrario, cuando el volumen de extracción aumenta, es probable que el valor del índice tienda a disminuir.
METODOLOGÍA
El área de estudio, se encuentra dentro de la región hidrológica administrativa VI Río Bravo, específicamente, en el acuífero Citrícola Sur 1914, el cual se localiza en la porción sur del Estado de Nuevo León, en el límite con el Estado de Tamaulipas, entre los paralelos 24° 32’ y 24° 55’ de latitud norte y entre los meridianos 99° 04’ y 100° 14’ de longitud oeste (Figura 1). De acuerdo con información publicada en el DOF (2013), este acuífero se encuentra en condición de veda desde abril de 2013. El acuífero Citrícola Sur, tiene una recarga media anual de 75.1 hm3, que corresponde a la suma de todos los volúmenes que ingresan al acuífero al año (CONAGUA, 2024).
Se utilizaron datos de 195 servicios activos en el Programa de Energía para el Campo, registrados dentro del área de estudio de los municipios de Linares y Hualahuises, Nuevo León. Se trabajó con los consumos energéticos anuales, que fueron recopilados a partir de los recibos de la Comisión Federal de Electricidad (CFE), durante noviembre de 2023, proporcionados por productores beneficiarios del programa.
También, se consideraron dos variables de consumo de agua: el volumen de agua concesionado, que se calculó a partir de la suma de los volúmenes concesionados de cada servicio y el consumo volumétrico de agua anual, que se calculó solamente en tres huertos de cítricos, con sistema de riego rodado a partir de los registros de los medidores volumétricos observados en campo, durante tres verificaciones realizadas en noviembre de 2022. Estos tres servicios, fueron seleccionados utilizando dos criterios: el alto consumo energético anual, la facilidad de acceso y medición.
Se utilizó la prueba de Kolmogorov-Smirnov (KS), para evaluar la normalidad de los datos de consumo energético anual y cuota energética. Posteriormente, se aplicó la prueba U de Mann-Whitney, para comparar estos datos. El objetivo fue determinar si la cuota energética, subsidia consumos energéticos potencialmente superiores a los actuales.
Se propone utilizar dos indicadores, que proporcionan una idea inicial sobre la cantidad de energía requerida para el riego en el área de estudio. El primer indicador, el Potencial de Extracción (PE), representa la energía necesaria para extraer y distribuir un metro cúbico de agua, en un sistema productivo.
dónde PE: Potencial de extracción (kWh/m3); C: Consumo energético en kilowatts-hora (kWh); V: Volumen anual de agua utilizado en metros cúbicos (m3).
El segundo indicador, es el Potencial de Extracción hipotético (PEh) y se refiere a la cantidad de energía necesaria para extraer y distribuir un metro cúbico de agua, en el caso hipotético de que el productor hubiera consumido la totalidad de la dotación de agua concesionada en el año. La fórmula es la siguiente.
PEh: Potencial de Extracción hipotético (kWh/m3); C: Consumo energético anual en kilowatts-hora (kWh); VC: Volumen anual de agua concesionado en metros cúbicos (m3).
Se evaluaron las relaciones entre las variables PEh, consumo energético y volumen concesionado, mediante el coeficiente de correlación de Spearman, para comprender el comportamiento de los indicadores propuestos en este estudio y asegurar su uso efectivo en una propuesta para calcular la cuota energética. Además, se evaluó la función del índice de consumo energético propuesto por Monteagudo-Yanes y Gaitan (2005), mediante la siguiente ecuación:
dónde PE: Potencial de extracción kWh/m3; m: Pendiente de la regresión lineal de consumo energético y volumen extraído; b: Intersección de la regresión lineal de consumo energético y volumen extraído; V: Volumen extraído en metros cúbicos (m3).
Dado que solo se cuenta con tres pares de datos, se empleó la regresión Theil-Sen para estimar la pendiente y el punto de intersección en la relación lineal entre el consumo energético y el volumen extraído. Debido a las limitaciones de extrapolar esta relación lineal a los 195 servicios evaluados con tan pocos datos, se calcularon intervalos de confianza a 95% para la pendiente y el punto de intersección.
Con estos valores, se calcularon las funciones para predecir el potencial de extracción considerando los límites del intervalo de confianza. Esto incluyó el cálculo utilizando la combinación de la pendiente y el punto de intersección mínimos, así como la pendiente y el punto de intersección máximos.
Se propone modificar la función del potencial de extracción, a una función de tipo potencial que se aproxime a los valores del PE en cada servicio. Esta función, denominada función del límite de extracción f(Le), deberá ser distinta en diferentes regiones y sistemas productivos del país, se ajustará después de realizar verificaciones de campo y posteriormente, servirá para el cálculo de la cuota energética.
Se puede definir f(Le), como la curva basada en una regresión potencial de los valores de PE verificados, que luego se ajusta según el requisito energético más alejado y superior a este. Esta función, permite calcular el valor máximo de PE en diferentes volúmenes de agua extraídos y sigue la siguiente fórmula:
dónde Le: Límite de extracción (kWh / m3); V: Volumen extraído; a: Exponente de la función; c: Constante de la función.
Suponiendo que el productor extrae la totalidad de su volumen concesionado, este volumen, puede reemplazarse en la fórmula para calcular el valor máximo de PE que el productor puede generar en su aprovechamiento. Posteriormente, el valor de PE, puede usarse para establecer un límite claro de la energía que el productor puede consumir.
Para calcular el coeficiente a, que representaría el exponente de la función del límite de extracción, y el coeficiente c, que es la constante, es necesario realizar una regresión sobre las variables: Potencial de extracción y volumen extraído. En primer lugar, se determina el logaritmo natural de la variable independiente, volumen extraído (x), y de la variable dependiente, Potencial de Extracción (y). Luego, se aplica una regresión lineal sobre los datos transformados [ln(x), ln(y)], obteniendo así, la ecuación de la recta que mejor se ajusta a los datos.
Con el propósito de transformar esta recta en una curva de regresión de tipo potencial, el coeficiente a, se determinará como el valor de la pendiente de la recta de regresión lineal de los datos transformados, mientras que el coeficiente c, se calcularía como c=eb, donde b, es la intersección en el eje y de la recta de regresión que se calcula con la siguiente fórmula:
dónde b: Punto de intersección;
Para ajustar la curva de modo que todos los valores verificados queden por debajo de ella y pueda servir como un límite, se puede calcular el coeficiente c, a partir de b’ definida como:
dónde b’: Punto de intersección ajustado; yi: Datos transformados a logaritmo natural de volumen extraído; xi: Datos transformados a logaritmo natural de consumo energético; m: Pendiente de la recta de regresión de los datos transformados; n: Número de datos transformados.
De esta forma, el cálculo de la constante c en la función del límite de extracción, estaría definida por c=eb’.
Con la finalidad de concretar una solución que ayude limitar la energía subsidiada, basándose en volúmenes concesionados, se puede partir de la fórmula actual de la cuota energética, que se simplifica de la siguiente manera:
dónde HP: Potencia del equipo de bombeo expresado en caballos de fuerza; 0.746: Constante para convertir los HP en KW; 365: El tiempo máximo en días del año que podría operar el equipo; 24: El tiempo máximo en horas del día que podría trabajar el equipo; 0.75: Proporción del tiempo estimado de la operación del equipo; 438: Constante que representa el consumo promedio anual del alumbrado local; 4901.22: Constante para convertir la potencia en Kwh durante 75% de un año.
Ya que el potencial de extracción, es una medida de la relación entre el consumo energético entre volumen, una vez que se conoce el valor de PE, es posible usarlo para calcular la energía necesaria para extraer un determinado volumen de agua concesionado mediante la siguiente ecuación:
dónde E: Energía requerida en kWh; PE: Potencial de extracción en kWh/m3; V: Volumen de agua en m3.
Sustituyendo PE por la función del límite de extracción que calcula valores máximos de PE en distintos puntos de acuerdo con el volumen extraído, la formula resultante es la siguiente:
Que se puede simplificar a:
La nueva fórmula propuesta, no reemplazaría por completo el cálculo actual, sino que establecería un límite basado en los potenciales de extracción observados en el campo. Si la cuota energética no excede este límite, puede calcularse de la misma manera que actualmente. Por lo tanto, la nueva fórmula, se define como el mínimo entre la fórmula actual y el límite permitido para una región y sistema productivo específico:
dónde HP: Potencia del equipo de bombeo expresado en caballos de fuerza; 4901.22: Constante para convertir la potencia en Kwh durante 75% de un año; 438: Constante que representa el consumo promedio anual del alumbrado local; V: Volumen concesionado en m3; c: Constante de la función límite; a: Exponente de la función límite.
RESULTADOS
Los tres servicios evaluados en campo, corresponden a cultivos de cítricos con sistema de riego rodado en la zona de Linares-Hualahuises, Nuevo León. En todos los casos, el volumen de agua consumido, excedió el volumen concesionado. En el primer servicio, el volumen consumido fue 36 veces mayor que el concesionado, mientras que en los servicios 2 y 3, el exceso fue 11 veces mayor (Cuadro 1).
Cuadro 1 Datos de consumo de los 3 servicios verificados en noviembre 2022.
| # | Cuota energética (kWh) |
Consumo anual (kWh) |
Volumen concedido (m3/año) |
Volumen consumido (m3/año) |
Volumen excedente (m3/año) |
PE (kWh/m3) |
PEh (kWh/m3) |
| 1 | 637,596 | 189,600 | 39,840 | 1,464,980 | 1,425,140 | 0.1294 | 4.7590 |
| 2 | 355,776 | 209,310 | 117,000 | 1,304,608 | 1,187,608 | 0.1604 | 1.7890 |
| 3 | 622,892 | 711,069 | 1,044,520 | 11,479,722 | 10,435,202 | 0.0619 | 0.6807 |
Fuente: elaboración propia.
El consumo energético anual, no superó la cuota asignada en los servicios 1 y 2, mientras que en el servicio 3, se excedió en 14%. También se aprecia que el servicio que desperdicia más agua, es aquel con un menor valor de PE (0.0619 kWh/m3).
Del total del volumen extraído en los huertos verificados, solo el 8.4%, corresponde a volumen concesionado, el resto, es volumen excedente. Resulta significativo comparar visualmente este excedente, con un volumen de referencia como la recarga media anual del acuífero Citrícola Sur estimada por CONAGUA (Figura 2).

Fuente: elaboración propia
Figura 2 Relación entre volumen concesionado, volumen excedente en los 3 servicios verificados y recarga del acuífero Citrícola Sur.
Se observó que, tanto los valores de consumo energético anual (D=0.28817, p=1.721e-14) como los valores de la cuota energética (D=0.18651, p=2.565e-06), no presentan una distribución normal. Además, los valores de consumo energético anual, fueron considerablemente menores (W=33193, p<2.2e-16) en comparación con los valores de la cuota energética actual, lo que implica que la energía subsidiada por la actual cuota energética, excede significativamente los requerimientos energéticos de los productores en el área de estudio (Figura 3).

Fuente: elaboración propia
Figura 3 Comparación de las cuotas energéticas asignadas frente a los consumos anuales en el área de estudio.
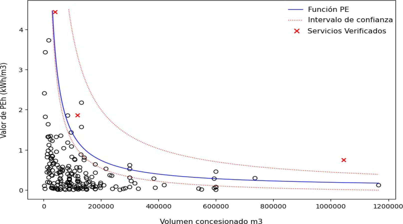
A partir de los coeficientes obtenidos mediante la regresión Theil-Sen, entre el consumo energético y el volumen extraído de los tres servicios verificados en campo, se estimó una pendiente de 0.0493, con un intervalo de confianza del 95% de [-0.1229, 0.0520] y un punto de intersección de 137,068, con un intervalo de confianza de [133028, 389358].
Con estos valores, se calculó la función para predecir el potencial de extracción y su intervalo de confianza, y se comparó con los datos de dispersión del volumen concesionado y el valor de PEh de los 195 servicios evaluados, con el objetivo de analizar su comportamiento. Se observa que los valores de los servicios seleccionados no coinciden con la mayoría de los servicios evaluados, lo que podría explicarse por haber sido elegidos debido a su alto consumo energético anual (Figura 4).

Fuente: elaboración propia.
Figura 4 Dispersión de volumen concesionado y valores de PEh, curvas de PE=(137068/V)+0.0493, PEmin=(133028/V)-0.1229, PEmax=(389358/V)+0.0520.
Se identificó una correlación positiva significativa entre el consumo energético anual y el volumen concesionado (R=0.3061, p=1.35e-05, n=195). No obstante, el coeficiente de determinación (R2=0.0937), indica que el volumen concesionado, ejerce una influencia limitada en el consumo energético final de los usuarios. Asimismo, se identificó una correlación negativa significativa entre el volumen concesionado y los valores de PEh (R=-0.4019, p=5.75e-09, R2=0.1615), lo que indica que, a mayores valores de volumen concesionado, se esperan valores menores de PEh.
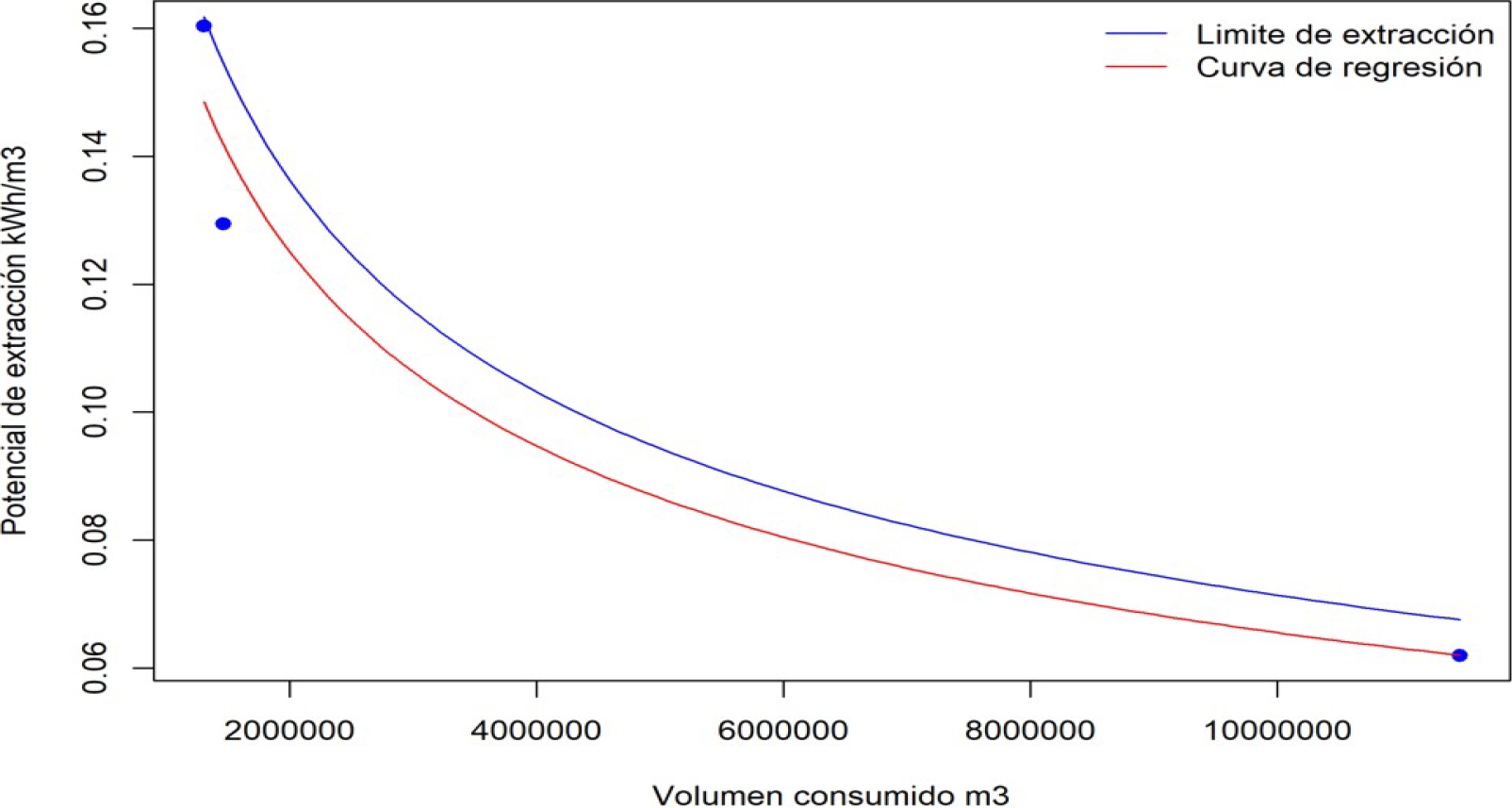
Al implementar la metodología propuesta para calcular el límite de extracción, se observa que la curva de regresión potencial generada a partir de los datos de consumo energético y volumen extraído de los tres servicios verificados, presenta un comportamiento similar a la curva modificada para el límite de extracción (Figura 5). Sin embargo, dado el tamaño reducido de la muestra, los resultados podrían no reflejar con precisión la relación real entre las variables en la población. A pesar de ello, estos resultados constituyen un buen punto de partida para continuar verificando y ajustando las curvas.

Fuente: elaboración propia.
Figura 5 Regresión potencial y límite de extracción calculados a partir de los 3 pares de datos verificados en campo. La ecuación de la regresión es 42.689x-0.402, la ecuación del límite de extracción es 46.325x-0.402.
Al analizar el gráfico de dispersión de los valores de PEh, frente a los valores de volumen concesionado y trazar la curva del límite de extracción calculada a partir de los datos verificados en campo, se observa que todos los servicios cuyo valor de PEh está por encima de la curva, podrían estar consumiendo más agua de la que tienen concesionada. Este, es un indicador que podría utilizarse para dirigir las verificaciones en campo hacia servicios, cuyo valor de PEh esté por encima del límite de extracción (Figura 6).
DISCUSIÓN
Una de las razones para reducir el uso de agua en la agricultura, es la creciente demanda provocada por el crecimiento de la población mundial (El-Beltagi et al., 2022). Según datos de CONAGUA (2024), la disponibilidad media anual del agua subterránea en el acuífero Citrícola Sur, presenta un déficit de -88.86 hm³/año, ya que la suma de las descargas naturales y el volumen total de extracción subterránea (calculado a partir de concesiones, registros en proceso y programación hídrica hasta diciembre de 2022) excede la recarga natural del acuífero.
El déficit estimado por CONAGUA, podría ser aún mayor puesto que, en los tres huertos verificados, el volumen total de extracción fue de 14.25 hm³/año, de los cuales, solo 1.2 hm³/año correspondió a volumen concesionado. Esto aumenta la presión sobre la disponibilidad de agua, lo que podría provocar en el futuro, una disminución de los rendimientos agrícolas y pérdidas significativas en las cosechas, obligando a la adopción de métodos más eficientes y sostenibles de producción de alimentos (Dinar et al., 2019).
Al establecer la energía subsidiada para la agricultura, es fundamental considerar diversos aspectos, entre los que destacan, la disponibilidad de datos precisos, las particularidades de los sistemas agrícolas, las necesidades de competitividad del sector y la sostenibilidad de los aprovechamientos. Un aspecto clave, es la prioridad asignada a la competitividad de los usuarios. En las últimas décadas, la política agrícola, ha puesto énfasis en la rentabilidad económica del sector, lo que llevó a la eliminación del límite anual de energía en la ecuación original.
Otro factor relevante, es la precisión de los datos utilizados en los cálculos. La ecuación original de la cuota energética, se fundamentaba en el método de elevación de eficiencia, que permitía determinar el límite de energía. Segun Martindill et al. (2021), las tasas de error asociadas a este método, pueden reducirse significativamente, si se cuenta con información detallada sobre la eficiencia de los equipos de bombeo y sus variaciones a lo largo del año, así como con datos precisos sobre la altura dinámica total. No obstante, obtener esta información, representa un desafío considerable, debido a la heterogeneidad de los sistemas productivos en el campo mexicano, lo que dificulta la recopilación y estandarización de los datos requeridos.
El uso de índices, permite aprovechar los datos precisos disponibles y facilita la realización de estimaciones sobre las extracciones de agua. Sin embargo, Es importante tener en cuenta, que no es correcto restringir la cuota energética a un solo valor de Potencial de Extracción (PE) para todos los servicios, ya que es probable que los valores de PE, cambien significativamente a medida que aumenta o disminuye el volumen de extracción. En otras palabras, un mismo servicio que utilice menos agua, puede requerir más energía por metro cúbico extraído, que cuando extrae mayores volúmenes. Del mismo modo, un servicio con un alto volumen de agua aprovechado, podría presentar valores relativamente bajos de PE. Lo mencionado anteriormente, puede atribuirse a la energía no relacionada a la extracción de agua, la cual se manifiesta como un costo fijo energético.
Al tratar de establecer una función que prediga el valor de PE utilizando la fórmula propuesta en el trabajo de Monteagudo-Yanes y Gaitan (2005), se observó un inconveniente significativo para nuestro caso específico. En esta fórmula, la energía no asociada a la extracción, permanece constante tanto en servicios grandes como en servicios pequeños, lo que puede conducir en algunos casos, a una sobreestimación del valor de PE. De acuerdo con los resultados obtenidos, se observa que el valor de b, o punto de intersección obtenido a partir de la regresión de consumo energético y volumen total extraído en los servicios evaluados en campo, representa 137,068 kWh de energía no asociada a la extracción de agua. Este valor, considerablemente elevado, influiría significativamente en el cálculo de PE en servicios pequeños (o con menor volumen de extracción).
En el contexto de la energía utilizada para riego agrícola, es razonable anticipar que la energía no asociada a la extracción de agua sea menor en los servicios más pequeños, que tienen una extracción volumétrica reducida en comparación con los servicios más grandes. Esto se debe a que suelen emplear sistemas de riego menos complejos. Por ejemplo, al comparar la energía necesaria para el arranque del equipo de bombeo y la distribución inicial del agua en un huerto de dos hectáreas con la de un huerto de 100 hectáreas, es muy probable que la energía de arranque y distribución inicial sea mayor en el segundo caso.
La propuesta para establecer un límite en la fórmula de la cuota energética, se sustenta en dos supuestos principales. En primer lugar, se considera que la cuota energética actual, permite consumos energéticos significativamente mayores a los necesarios por los productores. En segundo lugar, se asume que los valores de PE, tienen un comportamiento descendente conforme aumenta el volumen extraído.
La curva obtenida a través de esta metodología, podría representar solamente los requerimientos energéticos de la zona de estudio y del sistema de riego evaluado, que, en este caso, fue el riego rodado con rebombeo. Por este motivo, se debería considerar calcular distintas curvas del límite de extracción, de acuerdo con la región y el sistema de riego, lo que permitiría gestionar diferentes funciones de f(Le) por zona.
Una vez que se establezca el límite máximo de la cuota energética, se generará una presión significativa sobre los productores, con un consumo más elevado de energía para que reduzcan sus niveles de consumo. Ávila et al. (2005), sostienen que el incremento en las tarifas de energía eléctrica, actúa como un estímulo gradual para la adopción de tecnologías de riego más eficientes. Esto no solo resulta en beneficios directos al reducir el consumo de electricidad, sino que también impulsa la modernización y optimización de los sistemas de riego, contribuyendo así, a una gestión más sostenible de los recursos hídricos y energéticos.
La nueva cuota energética propuesta en esta investigación, es un instrumento que podría complementar las políticas ya establecidas para el control del aprovechamiento de agua y energía para el campo. Es fundamental continuar aplicando la Ley de Energía para el Campo (DOF, 2002) y la Ley de Aguas Nacionales (DOF, 1992), para verificar y sancionar el correcto aprovechamiento y uso racional del agua para fines agrícolas, así como el cumplimiento de los permisos y volúmenes de extracción del agua. Incluso, si no se modifica la cuota energética, los resultados del presente estudio, proporcionan una orientación sobre los servicios que podrían estar aprovechando el agua en volúmenes superiores a los autorizados.
La muestra evaluada en esta investigación, representa una fracción mínima de los servicios con cuotas energéticas en el Estado de Nuevo León y a nivel nacional. Por este motivo, es necesario investigar la distribución de los valores del Potencial de Extracción en diversas regiones del país. Además, se deben seguir explorando diferentes metodologías, con el fin de abordar el problema del consumo excesivo de agua. También, es importante que las autoridades responsables de la vigilancia del programa, mantengan un registro de los datos de consumo energético, volumen de extracción concesionado y sistemas de riego de los productores beneficiados, como parte de la preparación para una posible aplicación de futuras estimaciones.
CONCLUSIONES
Con base en los resultados obtenidos, se observa que las cuotas calculadas con la formula actual, están significativamente por encima de los requerimientos energéticos de los productores. Además, se encontró evidencia de un exceso considerable en la extracción de agua, derivado de los elevados consumos energéticos que son subsidiados por la tarifa agrícola actual, en los 3 huertos verificados.










texto en 




