Introducción
Las cabras son un importante elemento en la economía y la cultura de diferentes grupos sociales marginales de muchas zonas semiáridas del mundo. Un ejemplo de ellos es el caso de la región Mixteca de México (Baraza et al., 2010). La región Mixteca es la principal productora de cabras para carne de México, abarca los estados de Puebla, Guerrero y Oaxaca (Jiménez et al., 2013). Las cabras en esta región tienen un mercado bien desarrollado y para los productores las cabras tienen un valor similar al dinero en efectivo (García-Barrio y García-Barrios, 1990). Por su tradición chivera, desde la época colonial (Revista Geografía Agrícola, 2009) la Mixteca tiene cabras locales que fueron seleccionadas por su adaptación al ambiente, como es el caso del Mosaico Mixteco (SAGARPA, 2002), la cabra Pastoreña (Sierra et al., 1997) y otros genotipos desarrollados por procesos de cruzamiento con cabras introducidas (Vargas et al., 2007). La producción caprina en la región Mixteca es simple; utiliza la vegetación natural para el pastoreo (Parkinbine, 1909; Franco-Guerra et al., 2008; Baraza y Estrella-Ruiz, 2008), mano de obra familiar, medicinas y animales introducidos (Vargas et al., 2007).
Desde el punto de vista económico, social y cultural, las cabras contribuyen a mejorar la calidad de vida de los productores (De Lucas y Arbiza, 2010; Devendra y Liang, 2012). La edad del productor, tipo de propiedad, nivel de educación, años de experiencia, cantidad de mano de obra, número de cabras, costos de alimentación y el tipo de sistema agrícola afectan la eficiencia económica (Cruz et al., 2010; Bhatta y Dopler, 2010; Peacock y Sherman, 2010).
Los avances del conocimiento en la cría de cabras en la región Mixteca los resumen Barraza y Estrella-Ruiz (2008: p. 7) de la siguiente manera: “los datos obtenidos hasta el momento no solo muestran que el pastoreo extensivo de cabras no es tan dañino para la vegetación como se piensa……sino que además aporta iniciativas para un mejor manejo del ganado que disminuya el efecto nocivo en la época de sequía…..cuyos planes de gestión del ganado caprino han de tener en cuenta no solo su efecto en la vegetación sino también su importancia social y económica”.
En la Montaña de Guerrero, como parte de la región Mixteca, la cría de cabras es un modo de vida de las familias. Desde la época colonial se les concedió a los indígenas el derecho de establecer estancias de ganado menor en sus tierras comunales (López, 2011). Las haciendas volantes, que era una forma de pastoreo libre itinerante durante la época colonial en la región, estaban compuestas por grandes hatos de ganado caprino trashumante, criados por sus propietarios o comprados a los campesinos, y arrendaban pastos o usaban en forma estacional las tierras comunales (López, 2011; Dehouve et al., 2004). Después de la independencia de México los indígenas sufrieron despojos de sus tierras con la ley de desamortización y fue hasta la revolución mexicana cuando se les reasignó nuevamente la tierra (Sánchez, 2003).
Actualmente, con la incorporación del tema ambiental, la producción con base en el territorio y la valorización de los recursos locales, se requiere de un nuevo esquema de producción que considere la conservación del medio ambiente, así como los objetivos económicos y sociales (Angeon et al., 2010). La presente investigación explora la forma de producción de caprinos en el contexto del productor actual, uso de recursos, la percepción de la conservación de las áreas de pastoreo, los procesos de hibridación de las poblaciones de cabras locales, el mercado y la comercialización. El trabajo tuvo como objetivo analizar las formas de producir, manejar y comercializar los caprinos entre productores de la Montaña de Guerrero, para establecer tipologías de productores e identificar los conocimientos en el manejo de los recursos y de las cabras criollas para su posterior aplicación en el desarrollo de la actividad caprina.
Metodología
Área de estudio
La Montaña del estado de Guerrero es una de las zonas más pobres de México que forma parte de la depresión del río Balsas y el Océano Pacífico (Martínez, 2008). El estudio se realizó en la zona tropical seca de la Montaña de Guerrero y se localiza en las coordenadas 17° 20’ 25” y 17° 42’ 29” de latitud norte y 98°o26’o48” y 98° 48’ 37” de longitud oeste. La vegetación es selva baja caducifolia y bosques de pino-encino (Gobierno del estado de Guerrero, 2012).
Los municipios en los que se llevó a cabo el trabajo fueron: Alpoyeca, Atlixtac, Cualác, Huamuxtitlán, Tlalixtaquilla, Tlapa y Xochihuehuetlán (Figura 1).
Registro de información
La caprinocultura es parte del modo de vida de las familias de la región, descrita como una actividad generadora de ingresos, ahorro y fuente de proteína (Bustamante et al., 2011). Para promover el desarrollo de la producción de caprinos, en 2010, el personal del Consejo Regional de la Montaña y el Colegio de Postgraduados-Campus Puebla fundó la Asociación de Criadores de Caprinos de la Montaña de Guerrero. Como parte del plan de trabajo se propuso registrar la información productiva, socioeconómica y de acceso al mercado de los productores de cabras para caracterizar el sistema de producción e identificar el potencial de la producción de cabras. La población de estudio fueron 112 productores de caprinos de la organización. La técnica empleada para el acopio de la información fue la encuesta directa al productor con el apoyo de técnicos de la región para el registro de los datos en un cuestionario.
Variables evaluadas
En los productores se registró la experiencia, edad, jornales, escolaridad, integrantes de la familia, tenencia y tipo de tierra (Perevolotsky, 1990). En la parte productiva se obtuvo información del rebaño, el manejo del pastoreo, la sanidad y la reproducción. En lo económico se registraron los costos de alimentación, mano de obra, medicinas, el tipo de caprino vendido y el precio de venta (Somda et al., 2005; Gaspar et al., 2011). El cuestionario incluyó además 48 variables de tipo cualitativo para registrar la percepción de los productores en el manejo de agostaderos, mejoramiento genético, mercado y comercialización, como lo indicaron Perevolotsky (1990), Wurzinger et al. (2008) y Budisatria y Udo (2013).
Análisis estadístico
La información de los cuestionarios se capturó en una hoja de Excel. Las variables cuantitativas se analizaron con estadística descriptiva con los procedimientos PROC UNIVARIATE y PROC MEANS del paquete estadístico SAS®, versión 9.4, para ambiente Windows. La tipificación de las unidades de producción se realizó con análisis multivariado (PROC CLUSTER) y el método de agrupación de Ward (Ward, 1963), con el paquete estadístico SAS (SAS, 2003), el cual permitió de manera jerárquica formar grupos de unidades de producción homogéneas; para estos análisis se siguió la metodología propuesta por Paz et al. (2008). La caracterización de las agrupaciones con variables cuantitativas se realizó siguiendo la metodología de Somda et al. (2005) y se utilizó el procedimiento GLM y la comparación de medias con la prueba de Tukey ajustada para determinar las características de las agrupaciones de productores. Las variables cualitativas se analizaron con el procedimiento X 2 (chi-cuadrado) para construir tablas de contingencia con las agrupaciones de productores, como lo realizó Gaspar et al. (2011). Además, para el idioma de las familias el tipo de propiedad de la tierra, la forma de selección de los caprinos, el conocimiento del deterioro de agostaderos y los problemas de la producción de cabras se realizó un análisis de correspondencia simple con las agrupaciones de productores, con el procedimiento CORRESP (SAS, 2003).
Resultados y Discusión
Con el análisis de clasificación se identificaron tres tipos de unidades de producción de cabras: a) los productores orientados a caprinos (Grupo 1) corresponde a 9.8 % de las unidades de producción; b) los productores agropecuarios (Grupo 2) incluyen 25.9o% de las unidades de producción con actividades agrícolas y crianza de caprinos; y c) los productores de subsistencia tienen la menor cantidad de recursos y cabras (Grupo 3) y agrupan a 64.3 % de los rebaños. En el análisis de agrupación los productores orientados a caprinos tienen la mayor distancia del cuadrado de la raíz media entre observaciones (1.79); en tanto, los conglomerados 2 y 3 se encuentran unidos y tienen la menor distancia del cuadrado de la raíz media entre observaciones (1.129). La tipología de productores indica que en la Montaña de Guerrero la producción de cabras no es especializada, sino que combinan la siembra de cultivos de maíz y frijol, y la cría de cerdos, equinos, bovinos, aves y ovinos, como fue señalado para otras regiones (Alexandre et al., 2010; Gaspar et al., 2011). Al respecto, Dobi et al. (2011) mencionan que los productores con más diversificación de especies animales son menos especializados, y Perevolotsky (1990) señaló que cuando los productores combinan la producción de cultivos básicos con la crianza de cabras consideran a estas últimas como una fuente adicional de alimentos y generadora de ingresos.
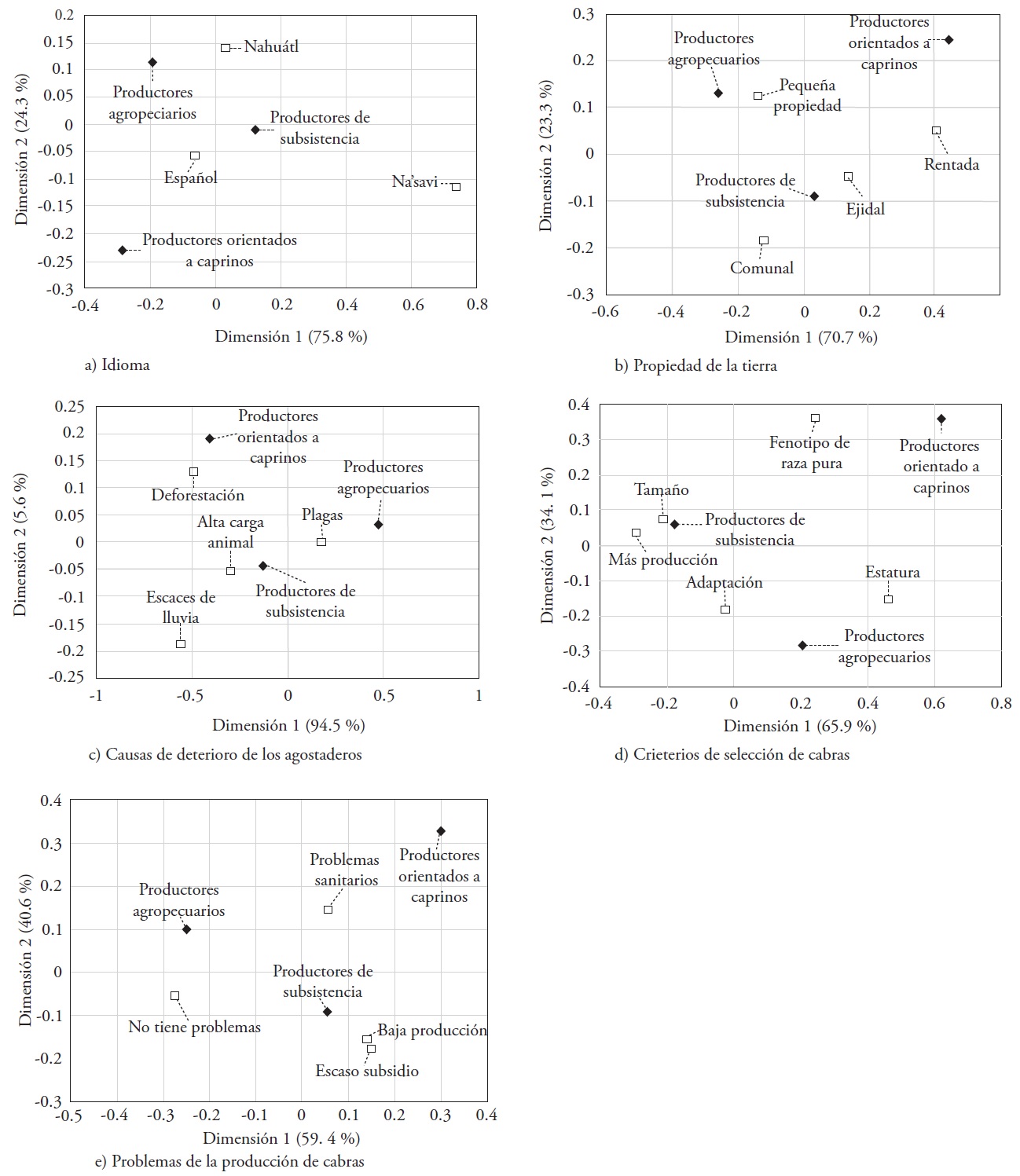
Los productores hablan principalmente español (72.3 %) y como lenguas locales el Náhuatl y Na´savi. El análisis de correspondencia simple indica que los productores orientados a caprinos (Grupo 1) son hablantes de español; en tanto, los grupos 2 y 3 hablan español y Náhuatl (Figura 2a).

Figura 2 Relación del idioma, propiedad de la tierra, causas de deterioro del agostadero, criterio de selección de cabras y la problemática con las agrupaciones de productores en la Montaña de Guerrero.
La edad, escolaridad y el número de integrantes de la familia no tuvieron diferencia entre las agrupaciones (Cuadro 1). La edad promedio de los productores fue de 45.8±14.4 años, mediana de 45.5 años y rango de 14 a 84 años, lo que coincide con otros autores en el sentido de que la producción de cabras está en manos de personas de avanzada edad y la escasa participación de los jóvenes se relaciona con el relevo generacional (Martínez-Partida et al., 2011; Dorantes et al., 2012; Rebollar-Rebollar et al., 2012).
Cuadro 1 Media mínimo cuadrática y nivel de significancia (GLM) de las variables cuantitativas por agrupación de productores de caprinos de la Montaña de Guerrero, México.
| Variables | Orientados a caprinos (n=11) (Grupo 1) |
Productores agropecuarios (n=29) (Grupo 2) |
Productores de subsistencia (n=72) (Grupo 3) |
||||
| Media | Mediana | Media | Mediana | Media | Mediana | ||
| Edad (años) | 48.0ns | 48 | 46.7ns | 48 | 45.2ns | 43 | |
| Escolaridad (años) | 3.5ns | 5 | 3.7ns | 6 | 5.1ns | 6 | |
| Integrantes de la familia | 6.5ns | 6 | 6.1ns | 5 | 5.8ns | 6 | |
| Mano de obra familiar (personas) | 2.9a | 2 | 2.1a | 2 | 1.9b | 2 | |
| Experiencia en la cría de cabras (años) | 31.8a | 35 | 29.1a | 34 | 20.9b | 15 | |
| Tierra agrícola (ha) | 3.8a | 3 | 4.1a | 3.5 | 2.5b | 2 | |
| Caprinos totales (número de cabezas) | 90.3a | 86 | 62.2ab | 51 | 35.9b | 24 | |
| Producción de maíz grano (kg/ha) | 3307.3ab | 2400 | 4287.3a | 3800 | 2056.0b | 2400 | |
| Superficie del corral de manejo (m2) | 139.3b | 100 | 230.9a | 150 | 104.8c | 50 | |
| Horas de pastoreo al día | 8.1a | 8 | 8.2a | 8 | 6.7b | 7 | |
| Distancia a las áreas de pastoreo (km) | 2.8ns | 2 | 2.1ns | 2 | 2.4ns | 2 | |
| Ingresos totales ($) | 19 645.5a | 20 000 | 3420.7b | 4000 | 439.4ac | 1300 | |
abcLiterales diferentes entre hileras en medias indican diferencia significativa (p<0.05); nsno significativo.
La escolaridad promedio fue de 4.5±3.8 años y mediana de 4 años; 94.6 % de los productores no terminaron la primaria y, de acuerdo con Bhatta y Doppler (2010), esto dificulta la adopción de nuevas tecnologías. Los productores de cabras tienen familias de 5.9±2.7 integrantes y mediana de seis integrantes, que es algo común en otros sistemas pastoriles de baja escala (Wurzinger et al., 2008; Dorantes et al., 2012).
La experiencia y las personas que ayudan en la crianza de caprinos difieren entre las agrupaciones de productores (Cuadro 1). Aquellos orientados a caprinos tienen la mayor experiencia y cantidad de mano de obra (p<0.05), 31.8 años y dos personas, respectivamente, lo cual es un indicador de la tradición de la cría de cabras y, generalmente, esta experiencia de la actividad caprina se transmite de generación en generación en la práctica y de forma oral, como lo señaló Bedotti et al. (2005) para Argentina. La mano de obra es el principal recurso en el manejo de los caprinos en otras regiones (Bhatta y Doppler, 2010; Gaspar et al., 2011; Dorantes et al., 2012) y se ha citado la relación de la disponibilidad de mano de obra con la eficiencia económica de la una unidad de producción (Ruíz et al., 2009).
La cantidad de tierra promedio es mayor en los productores agropecuarios (4.1 ha) y tiene diferencia con el Grupo 1 y 3 (p<0.05). La escasa superficie de tierra es algo común en el sur de México (Gutiérrez y Obregón, 2011) y se relaciona con un alto índice de fraccionamiento de la tierra después de la Revolución Mexicana (Dorantes et al., 2012). En la Figura 2 (b) se observa que los productores agropecuarios utilizan tierras de pequeña propiedad; los orientados a caprinos tienen pequeña propiedad y terrenos en renta y los productores de subsistencia son usuarios de tierras ejidales y comunales. Las tierras son de temporal (95.5 %), como se había señalado para la Mixteca poblana (Hernández et al., 2011), en el Estado de México (Cruz et al., 2010) y en otras regiones (Iñiguez, 2004; Bedotti et al., 2005).
Rebaño caprino
El rebaño caprino de la región tiene en promedio 46.6±45.3 cabezas, mediana de 36.5 caprinos, de las cuales 28 son cabras adultas, 21 crías en crecimiento y dos sementales. Los productores orientados a caprinos tienen un hato promedio de 90 caprinos y mediana de 86 caprinos (Cuadro 1), es el mayor tamaño de rebaño comparado con el Grupo 2 y 3 (p<0.05). El tamaño de rebaño es similar a lo encontrado en otras áreas de subsistencia con uso de terrenos de minifundio (Hernández et al., 2011; Dorantes et al., 2012; Atuesta et al., 2012). Chamdi (2004) y Dobi et al. (2011) sugieren incrementar el tamaño del rebaño para un mayor bienestar de la unidad de producción.
El manejo de los rebaños
En el manejo de los caprinos se utilizan corrales, pastoreo, sanidad, mejora genética y reproducción. La infraestructura para su manejo solo consiste de corrales para el encierro nocturno, con diferencia entre las agrupaciones de productores (p<0.05). Los productores agropecuarios tienen un promedio de corral de 230.9 m2 y mediana de 150 m2; en los productores orientados a caprinos y de subsistencia los corrales de manejo no exceden el metro cuadrado por animal (Cuadro 1). Lo anterior tiene relación con la cría de cabras en libertad de la región y, como lo establecen Castel et al. (2003) y Gaspar et al. (2011), para otras regiones la escasa infraestructura es común en los sistemas tradicionales.
El pastoreo es la principal forma de alimentación de los caprinos. Los productores orientados a caprinos y los agropecuarios pastorean más tiempo: 8.1 y 8.2 horas, respectivamente (Cuadro 1). El desplazamiento a las áreas de pastoreo no fue diferente entre agrupaciones, con un promedio de 2.3±1.9 km, mediana de 2 km y que se recorren en 1.3 horas. Como lo señaló Cortés (2011), para otras regiones los productores de la Montaña de Guerrero practican la movilidad de los caprinos como una forma de abastecerse de forrajes. Los productores orientados a caprinos rentan tierras de pastoreo y pagan hasta $80.00 por cabra por año.
Los resultados del análisis del manejo del pastoreo con variables cualitativas indican que el tipo de pastor, el cuidado del agostadero, el uso de quemas, la suplementación, la aplicación de vitaminas y las fuentes de agua son independientes de las agrupaciones de productores. En las tres agrupaciones los pastores son los familiares (77.7 %) y en el resto es el dueño y los empleados, similar a lo mencionado en los estudios deBhatta y Doppler (2010), Gaspar et al. (2011) y Dorantes et al. (2012). En el uso de quemas, 92.9 % de los productores mencionan que no las realizan, aunque 7.1 % sí las realiza y esto puede traer un efecto negativo a las áreas de pastoreo. La suplementación (13.4 %) y la aplicación de vitaminas (51.8 %) no variaron entre las agrupaciones y son las prácticas que se están introduciendo como parte de la actualización en la forma de producir cabras. La fuente más común de agua es el abrevadero (70.5 %) y las fuentes naturales de agua corriente.
El conocimiento que tienen los productores de las plantas del agostadero para engordarcabras, dar sabor a la carne y tóxicas fueron independientes de las agrupaciones de productores. Los productores (66.0o%) mencionaron que la cubat(Acacia cochliacantha) sirve para engordar cabras y 79.4 % mencionó que el ciruelo (Spondias sp.) le da buen sabor a la carne. De igual forma, 80.3 % de los productores señalan que las plantas tóxicas son el frijolillo (Sophora secundiflora) y, de menor importancia, el cazahuate (Ipomea pauciflora), capulincillo (Karwinskia humboldtiana), cresta de gallo (Celosia sp.) y soliman (Thevetia sp.). Esto reafirma el amplio conocimiento de la vegetación nativa y del hábito de pastoreo de las cabras que tienen los productores. Para otras regiones se menciona que este conocimiento se adquiere por la convivencia con el medio (Calvo-Iglesias et al., 2006) y a base de las prácticas tradicionales (Suárez et al., 2006). El conocimiento que tienen los productores de la vegetación nativa es una oportunidad para denominar productos de las cabras con calidad de origen en la Montaña de Guerrero. También, las plantas nativas usadas por las cabras se pueden reproducir para utilizarse en programas de reforestación o rehabilitación de agostaderos.
Las variables cualitativas del manejo del pastoreo asociadas (p<0.05) con las agrupaciones de productores de caprinos fueron el tipo de áreas de pastoreo, la percepción del sobrepastoreo, el daño al agostadero, el pago por daño a cultivos y el efecto de las lluvias en la producción de forrajes (Cuadro 2). Los productores orientados a caprinos utilizan zonas con vegetación arbustiva (40 %) y los de subsistencia usan las zonas de bosque (83.3 %). Una baja proporción de productores mencionó conocer qué es el sobrepastoreo (25 %) y reconocen que las cabras causan daño al agostadero (25.9 %). La Figura 2c muestra que los productores orientados a caprinos perciben a la deforestación como la causa principal del deterioro de los agostaderos, los agropecuarios a la presencia de plagas y los de subsistencia a las plagas y la alta carga animal. Sin embargo, se conoce que el uso moderado de la vegetación determina el potencial de la producción forrajera, como se indicó para otras condiciones por Marton et al. (2016). Una alternativa para contrarrestar la baja percepción del daño al agostadero es proporcionando información para el uso de prácticas demanejo sostenible de la vegetación y como lo señalaron Baraza y Estrella-Ruiz (2008), las cabras tienen un efecto negativo en la vegetación cuando no se regula el pastoreo y no se utilizan alimentos complementarios para reducir la presión de pastoreo.
Cuadro 2 Frecuencia (% de unidades de producción) y nivel de significancia (ajuste de chi-cuadrada) de las prácticas de manejo y comercialización en las agrupaciones de productores de caprinos en la Montaña de Guerrero, México.
| Variable | Criterio | Orientados a caprinos (n=11) (Grupo 1) |
Productores agropecuarios (n=29) (Grupo 2) |
Productores de subsistencia (n=72) (Grupo 3) |
Total | Significancia |
| Criterio de selección de áreas de pastoreo |
Vegetación arbustiva | 40 | 0 | 60 | 4.5 | 0.042 |
| Pastos abundantes | 10.1 | 29.2 | 60.7 | 79.5 | ||
| Vegetación arbórea | 0 | 16.7 | 83.3 | 16.1 | ||
| Conoce qué es el sobrepastoreo | Sí | 14.3 | 7.1 | 78.6 | 25 | 0.03 |
| No | 8.3 | 32.1 | 59.5 | 75 | ||
| Las cabras causan daño al agostadero | Sí | 20.7 | 17.2 | 62.1 | 25.9 | 0.05 |
| No | 6 | 28.9 | 65.1 | 74.1 | ||
| Afecta la lluvia la producción de forraje | Sí | 10.5 | 16.4 | 73.1 | 59.8 | 0.019 |
| No | 8.9 | 40 | 51.1 | 40.2 | ||
| Problemas digestivos en caprinos | Sí | 33.3 | 8.3 | 58.3 | 10.7 | 0.0099 |
| No | 7 | 28 | 65 | 89.3 | ||
| Mortalidad en el hato | Sí | 22.2 | 29.6 | 48.2 | 24.1 | 0.027 |
| No | 5.9 | 24.7 | 69.4 | 75.9 | ||
| Criterio de selección de cabras | Producción | 21.1 | 15.8 | 63.2 | 17 | 0.039 |
| Tamaño corporal | 13 | 8.7 | 78.3 | 20.5 | ||
| Ninguna | 5.7 | 34.3 | 60 | 62.5 | ||
| Experiencia con caprinos mejorados | Sí | 25.9 | 25.9 | 48.15 | 24.1 | 0.004 |
| No | 4.7 | 25.9 | 69.4 | 75.9 | ||
| Beneficios de caprinos mejorados | Si | 18.5 | 37 | 44.4 | 24.1 | 0.036 |
| No | 7.1 | 22.4 | 70.6 | 75.9 | ||
| Problemas de mercado | Bajas ventas | 10 | 32.5 | 57.5 | 71.4 | 0.034 |
| Ningún problema | 9.4 | 9.4 | 81.3 | 28.6 |
El pago por daño de las cabras a los cultivos lo ha realizado 69.6 % de los entrevistados y la mayor frecuencia se observó en las agrupaciones de productores agropecuarios (32.1 %) y de subsistencia (60.3o%) (Cuadro 2), que se debe a la convivencia de las cabras con las actividades agrícolas.
En la percepción de cómo afecta la lluvia a la producción de forraje, la mayoría indicó que si hay un efecto (59.8 %) y fueron los productores de subsistencia los que tuvieron la percepción más alta de este efecto(73.1 %). En otras zonas se ha relacionado el efecto de la lluvia en la estacionalidad de la producción de forraje, con épocas de exceso y escasez (Lieffering et al., 2016).
La sanidad de los rebaños caprinos es la problemática más importante de los productores orientados a caprinos y en los de subsistencia (Figura 2e). Las prácticas sanitarias que son independientes de las agrupaciones de productores fue el uso de desparasitantes (68.8 %), uso de pruebas de laboratorio (2.7 %), presencia de abortos en el hato (62.5 %), la presencia de Oestrus ovis (gusano del cuerno, 20.5o%) y los problemas respiratorios (18.8 %). Esto es un indicador de los altos riesgos sanitarios de las cabras de la región y se requieren de planes urgentes de atención. Para controlar las parasitosis internas, 80 % delos productores del estudio aplican antihelmínticos aunque, como lo señalaron Min y Hart (2003), puede ser un error aplicar desparasitantes, debido a que las cabras tienen la capacidad genética de tolerar cargas bajas de parásitos y el consumo de plantas con alto contenido de taninos ayudana una desparasitación natural. También, como lo señalan Bath y Van Wyk (2009), no todos los animales requieren ser desparasitados y aquellos que sí lo requieren necesitan dosis óptimas, así como el uso de desparasitantes apropiados para evitar resistencia parasitaria.
El uso vacunas (17 %), la presencia de problemas digestivos (10.7 %) y la mortalidad en el hato (24.1o%) se asocian con las agrupaciones de productores; las unidades de producción orientadas a caprinos tuvieron la mayor incidencia de estos problemas. La alta mortalidad en el hato registrada coincide con lo encontrado en otros sistemas de producción (Martínez-Partida et al., 2011).
En la mejora genética y el uso de caprinos mejorados las agrupaciones de productores son independientes de la selección del semental, el tipo de caprinos que le gusta y la ordeña de las cabras. La selección del semental es la base para el desarrollo del rebaño; sin embargo, para los productores no es importante este aspecto y puede que esté relacionado con el gusto por los caprinos con fenotipo de raza mejorada (68.8o%). En la región no existe la cultura del consumo de leche de cabra y solo 7.1 % de los productores ordeñan; una de las razones es el uso de la leche para el buen desarrollo de los cabritos, pero la ordeña de las cabras en la región de estudio representa una forma de diversificar los productos caprinos.
La selección de las cabras, la experiencia y los beneficios con los caprinos introducidos están asociados a las agrupaciones de productores (p<0.05). En la Figura 2 (d) se observa que los productores orientados a caprinos seleccionan a sus cabras por el fenotipo de raza mejorada; los agropecuarios lo hacen por estatura y la adaptación a la región, y los de subsistencia, por el tamaño corporal y una mayor producción. Estos dos últimos grupos tienen experiencia en el manejo de cabras criollas, lo que coincide con Gutiérrez y Obregón (2011) para la misma región de estudio. Además, otros autores caracterizan a las cabras criollas como más resistentes a enfermedades y se adaptan a la escasez de forraje durante la sequía (Mignon-Grasteau et al., 2005; Scintu y Piredda, 2007). Sin embargo, 76.9 % de los entrevistados en este estudio señalaron que les gustaría cambiar sus sementales y mostraron disposición a pagar $ 2065 por semental mejorado, que es el doble del precio de uno criollo de la región; este tipo de cruzamiento que planean realizar pondrá en riesgo de extinción a las cabras criollas.
Mercado y comercialización de caprinos
En el Cuadro 1 se presentan los ingresos totales para las agrupaciones de unidades de producción. Los productores orientados a caprinos tuvieron ingresos promedio de $19 645.5 y mediana de $20o000.00; no consideraron que la baja producción sea una limitante (Figura 2e). Con este ingreso se cubre el valor de la canasta alimentaria rural anual de dos integrantes de la familia (CONEVAL, 2016) y, asimismo, cubre el salario de una persona durante 163 días ($120.00 día-1), lo cual es importante para la zona de estudio por la escasez de fuente de empleo. En este sentido, Ramírez y Foster (2003) para otras regiones indicaron que la mano de obra utilizada en la cría de cabras es tan competitiva como la del trabajo asalariado y contribuye a la economía familiar con la aportación de recursos con costos de oportunidad iguales a cero (Rebollar-Rebollar et al., 2012). En las otras agrupaciones de productores el ingreso es marginal, lo que puede explicarse por el reducido tamaño de rebaño.
Los productores orientados a la producción de cabras tuvieron costos totales de alimentación de $3952.8 y con diferencia con los otros Grupos (p<0.05), y son mayores a lo registrado por Cruz et al. (2011) en Venezuela. El análisis de mercado y la comercialización con variables cualitativas es simple (Cuadro 2); solo la percepción de los problemas de mercado se asocia con las agrupaciones de productores. Los productores de subsistencia no tienen problemas de comercialización de caprinos (81.3 %), a diferencia de los grupos 1 y 2, que percibieron como problema la baja venta. En tanto, el lugar y la mejor época de venta son independientes de las agrupaciones de productores. La mayor venta de cabras es en la misma comunidad para las tres agrupaciones de productores (71.4 %) y a pie de corral vendieron principalmente los productores agropecuarios. La venta de caprinos es para los festejos de las graduaciones escolares en los productores agropecuarios y de subsistencia: 44.8 % y 47.2 %, respectivamente. Los productores orientados a caprinos tuvieron más ventas en las festividades de los pueblos (45.5 %). Anualmente la familia consume un caprino de 30.0 kg por año y no existe consumo de cabrito, como se señaló para el Estado de México (Dorantes et al., 2012). En Argentina, el escaso consumo de cabrito se explica por utilizar a los caprinos adultos como ahorro (Bedotti, 2008); sin embargo, para la Montaña de Guerrero la venta de cabritos representa un área de oportunidad para diversificar la actividad caprina.
Conclusiones
En la Montaña de Guerrero la cría de cabras para carne es una actividad tradicional por el uso del pastoreo como la principal fuente de alimentación y con un mínimo uso de insumos externos para la producción. Se identificaron tres agrupaciones de productores: orientados a caprinos, agropecuarios y de subsistencia. Las unidades de producción de cabras no son especializadas; para los que tienen rebaños de 100 caprinos es su actividad principal y en los productores con menor número de cabras es una secundaria de las actividades agrícolas y de subsistencia. Los productores son de avanzada edad, con estudios de primaria sin concluir y familias de seis integrantes, sin diferencia entre agrupaciones. Los productores orientados a caprinos tienen el mayor tamaño de rebaño, ingresos y experiencia en la cría de cabras, utilizan vegetación arbustiva y cruza de cabras mejoradas, y perciben a los problemas sanitarios como la principal limitante. Los productores agropecuarios tienen más tierra y corrales de manejo, y seleccionan a las cabras por su altura y adaptación al ambiente. Los productores de subsistencia utilizan tierras ejidales y comunales, y zonas de bosques para el pastoreo, y seleccionan a sus cabras por la producción. En el manejo del pastoreo la movilidad de los caprinos a las áreas de pastoreo es la principal forma de abastecerse de forrajes y existe la percepción entre los productores de que los agostaderos no requieren de cuidados para su mantenimiento. Los productores tienen un amplio conocimiento de la vegetación, de tal manera que identificaron aquellas plantas que engordan, dan sabor a la carne e intoxican a las cabras. La sanidad es un factor de riesgo para el hato caprino y para contrarrestar este efecto no se ha explorado la capacidad de resistencia a las enfermedades de las cabras criollas. La selección de las cabras es otra práctica que difiere entre productores; se valoran los animales con fenotipo de raza mejorada por los productores orientados a caprinos y los caprinos criollos por los productores agropecuarios y de subsistencia. Los ingresos por venta de caprinos son bajos y los productores de subsistencia perciben que el nivel de producción de las cabras es un problema. Las tipologías de productores de caprinos en la Montaña de Guerrero proporcionaron información de las diferencias en el uso recursos, del amplio conocimiento de la vegetación utilizada por las cabras y la poca sensibilidad por la conservación de los agostaderos y cabras locales, así como de la preocupación que tienen por las enfermedades y la mortalidad de caprinos. El trabajo futuro debe explorar las opciones de la producción de carne de cabra, cabrito y leche con base al territorio, así como el uso de las plantas nativas preferidas por las cabras en la resiembra de agostaderos.










texto en 



