Servicios Personalizados
Revista
Articulo
Indicadores
Links relacionados
-
Similares en
SciELO
Compartir
Región y sociedad
versión On-line ISSN 2448-4849versión impresa ISSN 1870-3925
Región y sociedad vol.22 no.49 Hermosillo sep./dic. 2010
Artículos
Determinantes de los ingresos salariales en México: una perspectiva de capital humano
Rogelio Varela Llamas*, Juan Manuel Ocegueda Hernández*, Ramón A. Castillo Ponce* y Gerardo Huber Bernal**
* Profesores de la Facultad de Economía y Relaciones Internacionales de la Universidad Autónoma de Baja California (UABC) y miembros del Sistema Nacional de Investigadores. Correspondencia: Facultad de Economía y Relaciones Internacionales, UABC, Calzada Universidad # 14418, Parque Industrial Internacional, Tijuana, C.P. 22390. Baja California, México. Teléfono y fax: (664) 682 0832. Correos electrónicos: varelall@uabc.edu.mx / jmocegueda@uabc.edu.mx / racastillo2000@yahoo.com
** Funcionario del gobierno del estado. Correo electrónico: ghuber@uabc.edu.mx Se agradecen los valiosos comentarios de los dictaminadores anónimos, que contribuyeron a mejorar este trabajo.
Recibido en diciembre de 2008
Revisado en octubre de 2009
Resumen:
En el presente trabajo se estima una ecuación de ingresos salariales para México, en el marco de una perspectiva teórica de capital humano. Con información de la Encuesta nacional de ingreso y gasto de los hogares 2006 del Instituto Nacional de Estadística y Geografía, se evalúa el efecto de la escolaridad y la experiencia laboral en los ingresos de los jefes de hogar, controlado por otros atributos como el tipo de contrato, género, estrato poblacional, sindicalización y territorio. Después de aplicar el método bietápico de Heckman, los resultados sugieren que las diferencias en los salarios según la escolaridad son marcadas, y que la tasa de rentabilidad marginal es consistente con el incremento porcentual de éstos en cada grado de educación formal; también que las percepciones de los jefes de hogar sindicalizados con un contrato temporal y de base son superiores de quienes no tienen el mismo estatus laboral.
Palabras clave: diferencias salariales, capital humano, nivel educativo, ingreso salarial, mercado de trabajo.
Abstract:
This article estimates a wage equation for Mexico within a human capital theory framework. The source of the data is the Encuesta nacional de ingreso y gasto de los hogares 2006 [2006 National Survey of Household Income and Expenses], produced by the Instituto Nacional de Estadística y Geografía [National Institute of Statistics and Geography]. We evaluate the impact of schooling and job experience on the income level of the head of household, controlling for attributes such as type of labor contract, gender, population stratus, unionization and territory. Applying the twostep procedure suggested by Heckman, we find that wage disparities by schooling are significant. In addition, the results suggest that rate of marginal return is consistent with percentage increase in wages for each level of formal education. Finally, those heads of household that belong to a union and have a temporary or permanent labor contract receive greater earnings that those who do not.
Key words: wage differentials, human capital, educational level, income, labor market.
Introducción
El análisis de los determinantes del comportamiento de los ingresos de jefes de hogar en la economía mexicana es de gran interés para las instituciones educativas y los agentes que interactúan en el mercado de trabajo. La relevancia del tema deriva de que la escolaridad, a través de su efecto en la productividad, contribuye a incrementar el ingreso y a definir la dinámica de las relaciones laborales. Estudios pioneros sobre capital humano, como los de Schultz (1961) y Becker (1964) destacan el vínculo entre educación, productividad e ingreso. Esto significa que las diferencias salariales entre grupos de trabajadores se podrían explicar mediante la teoría del capital humano, que concibe a la educación como una forma de inversión que genera rendimientos positivos, a través de nuevos conocimientos, habilidades y destrezas.
El objetivo de este trabajo es evaluar el efecto de la escolaridad y la experiencia laboral en los salarios de los jefes de hogar en México, con una ecuación que toma en cuenta variables dicotómicas por nivel de educación formal, y que sirve de base para calcular las tasas de rentabilidad marginal. Después se estima un modelo ampliado controlado por otros atributos como sindicalización, tipo de contrato, sexo, estrato poblacional y territorio. Los dos primeros se incluyen en virtud de que podrían condicionar el desempeño del jefe de hogar en el mercado de trabajo. El género se introduce para determinar si hay diferencias salariales debido al sexo, estrato poblacional y territorio, para conocer las repercusiones que pudiera tener sobre los salarios la pertenencia a un núcleo de población y entidad federativa determinada, pues se considera que en cada uno de estos espacios convergen realidades productivas distintas que caracterizan a los mercados laborales locales. En esta perspectiva, el presente estudio pretende contribuir a la discusión de los elementos que determinan los ingresos a partir de un enfoque que articula tanto los factores de la demanda del mercado de trabajo, como los elementos sociales y territoriales de la oferta. Conviene advertir que se realizó con base en datos de corte trasversal, por lo que no permite explorar otras posibilidades propias del análisis de series de tiempo o de datos de panel.
En la primera sección se presentan algunos antecedentes con base en la revisión de la bibliografía empírica sobre el tema de estudio, así como de sus resultados principales; en la segunda se describen las fuentes de información y la metodología utilizada en el ejercicio econométrico; en la tercera se efectúa un análisis estadístico de las variables que conforman la base de datos y se discuten los resultados de estimación. Por último se plantean algunas consideraciones derivadas del trabajo empírico, y se esbozan implicaciones posibles de política económica.
Antecedentes
Es abundante la literatura especializada en donde se estiman los rendimientos de la escolaridad, a través de una ecuación tipo Mincer (1974), y la mayoría de los ejercicios realizados corresponden a especificaciones, que por lo regular contemplan la escolaridad y la experiencia laboral y en algunos casos atributos relacionados con el trabajador, que representan la visión estándar del mercado laboral. En esta vertiente analítica también existen otros estudios que toman en cuenta los factores de demanda, como el sector de pertenencia o tamaño del establecimiento. En general, contribuyen a la comprensión de los determinantes de los ingresos mediante especificaciones econométricas distintas, fuentes de información y horizontes temporales y espaciales.
En este acervo empírico se encuentra el trabajo de Urciaga y Almendarez (2008), en donde se estima una ecuación básica y aumentada, que considera una desagregación de los niveles de escolaridad y 13 ciudades del norte del país con información de la Encuesta nacional de empleo urbano (ENEU) de 2002. La versión restringida del modelo demuestra que los rendimientos de la educación han sido más para los hombres que para las mujeres, mientras que en el modelo extendido se concluye que los mayores están asociados a la escolaridad más elevada, es decir, al posgrado. En esta línea también se ubica el trabajo de Burgos y Mungaray (2007), en donde se contemplan cortes trasversales para 1984, 1989, 1992, 1996, 1998, 2000 y 2002. Al igual que en el previo, se utilizan mínimos cuadrados ordinarios (MCO) con corrección de White, por heterocedasticidad. Los resultados revelan que en todos los años los ingresos reales son más elevados, en la medida en que la escolaridad es mayor. Además, se constata que la dispersión salarial es más en la manufactura, comercio y servicios, y existe una variabilidad importante en los coeficientes relacionados con el tipo de región, lo que puede indicar un cambio en su configuración.
Con excepción de 2002, Cortez (2005) analiza el periodo considerado por Burgos y Mungaray (2007). La diferencia entre ambos estudios se centra en la especificación del modelo, pues el primero captura diferencias interestatales y no desagrega la escolaridad como parte de las variables que explican los salarios reales. En realidad se efectúan estimaciones considerando por separado los niveles educativos y se toma en cuenta la sindicalización, la edad que captura la hipótesis del ciclo de vida, tipo de ocupación y el sector económico de pertenencia. Este último aspecto representa una aproximación al estudio de los factores de demanda del mercado laboral y encuadra en la lógica de algunos trabajos internacionales, como el de Cragg y Epelbaum (1996). El autor plantea que las diferencias salariales interestatales por nivel educativo son significativas y estables en el tiempo, sin embargo, destaca que se han ido reduciendo entre los trabajadores con formación universitaria.
Zamudio (1995) planteó un enfoque metodológico interesante para calcular los rendimientos de la escolaridad, desde el punto de vista econométrico. Con información de la Encuesta nacional de ingreso y gasto de los hogares (ENIGH) 1989 se realizaron dos ejercicios, en el primero se estimó una ecuación de ingreso a través de MCO y en el segundo se aplicó el método máxima verosimilitud. Uno fue diseñado para la educación media, la superior y el total. Para el primer caso los resultados fueron muy similares, mientras que en el segundo se apreció cierta variabilidad en los coeficientes de experiencia laboral, su cuadrado, género, horas trabajadas y grado de urbanización. Según los resultados, los individuos que continuaron con la educación superior provenían de familias menos numerosas, en las que el promedio de instrucción de los padres era mayor. Las estimaciones por MCO indican que el tipo de zona urbana y el número de horas trabajadas son variables más relevantes para explicar los ingresos, cuando se considera la educación superior con respecto a la media superior.
Las aportaciones de Zepeda y Ghiara (1999) fortalecen el debate sobre el tema; establecen que en ciertas formas funcionales los rendimientos pecuniarios de la escolaridad en México son semejantes a los de otros países en vías de desarrollo; los de los hombres crecen con el tiempo, mientras que los de las mujeres disminuyen. Un aspecto metodológico señalado es que si bien el uso de variables de control relacionadas con sexo, tamaño de la empresa, sector o tipo de ocupación no aumentan el poder explicativo del modelo, sí son estadísticamente relevantes para explicar los ingresos reales.
Rojas, Angulo y Velázquez (2000), con información de la ENIGH 1992, encontraron resultados similares a los de trabajos previos, en el sentido de que los rendimientos económicos mayores están vinculados con el posgrado, lo cual no es sorprendente si se considera que es un segmento del mercado de trabajo con más especialización y productividad. Por su parte, Urciaga y Almendarez (2006) tomaron como unidad espacial las capitales de la región del Pacífico, y descubrieron en un modelo extendido que los rendimientos asociados al posgrado son mayores que los niveles previos para hombres y mujeres, y para estas últimas fue más notoria la tasa de rentabilidad. Los argumentos de Mendoza (2002) subrayan que la educación formal es el factor más relevante en la determinación del ingreso de los trabajadores en Tijuana, Baja California y Ciudad Juárez, Chihuahua, en donde se constata que la experiencia laboral tiene un efecto directo, pero menos significativo.
Ampudia (2007) enfatiza que entre 1987 y 1998 la mayor escolaridad explica los salarios en Ciudad Juárez. El hecho de que muchos jóvenes empiecen a laborar antes de concluir los estudios formales significa que van acumulando experiencia. Barceinas y Raymond (2002) argumentan que las economías no muestran un proceso de convergencia, aun cuando en las menos desarrolladas se haya registrado mayor rendimiento relativo de la inversión educativa.
Los trabajos de Huesca (2004) y Cabrera et al. (2008) se suman al enriquecimiento del objeto de estudio, y representan un elemento novedoso por el tipo de estructura de datos utilizado. El primero analiza el periodo 19842000 con información de la ENIGH, mientras que el segundo emplea datos agregados de la ENEU para estimar una función de ingresos para el lapso 19942001. En Huesca se advierte que la acumulación de capital humano es vital para que todo país logre adaptarse al cambio tecnológico y, por consiguiente, mejore la calidad de vida de su mano de obra potencial al retomar la senda del crecimiento. El segundo documento destaca que la escolaridad es una variable relevante en la determinación de los ingresos, lo que implica una exigencia elevada del mercado de trabajo local en la materia, que plantea la necesidad de fortalecer constantemente el vínculo entre los centros de producción y de educación básica, media y superior.
Cabe destacar que en la literatura empiezan a proliferar trabajos académicos que, además de analizar los determinantes de los ingresos desde el lado de la oferta de servicios laborales, introducen factores del lado de la demanda. Por ejemplo, para Palacio y Simón (2002 y 2004) los salarios individuales están determinados en mayor medida por las características del establecimiento y el sentido de pertenencia del trabajador, que por su dotación de capital humano. Según los resultados, existen diferencias salariales muy notables entre empresas para personas con características productivas muy similares, y señalan que ello condiciona la interpretación del juego de la negociación colectiva.
Un aspecto singular que distingue a la mayoría de las investigaciones referidas es que abordan la experiencia de México o algunas de sus regiones, entidades federativas o áreas metropolitanas con microdatos concernientes a los miembros del hogar y usan el método de MCO. En este documento también se emplean microdatos obtenidos de la ENIGH, pero se acota el análisis al jefe de hogar y extendido al conjunto de las entidades federativas, con un enfoque geográfico de cobertura nacional que sumado a las variables de sindicalización y tipo de contrato enriquecen el análisis del mercado laboral desde lo local. Con el propósito de soslayar resultados inconsistentes, derivados de un problema de autoselección muestral, se aplicó el método bietápico de Heckman (1979), a través de un modelo probit estimado por máxima verosimilitud, para examinar la participación del jefe de hogar en el mercado de trabajo. Después se analizó el inverso de la razón de Mills, evaluado en una ecuación de interés, para establecer si existía un problema de sesgo.
Metodología, fuentes de información y discusión de resultados
Especificación del modelo
Primero se formaliza el modelo de capital humano, donde se establece que la inversión realizada en educación formal genera utilidades según el grado de escolaridad. De acuerdo con Becker (1964), la tasa de rendimiento es igual a la diferencia de ingresos percibidos, lo cual se constata mediante la expresión:

donde:
Y1 = ingreso de una persona después del primer año de educación
Y0 = ingreso de alguien sin educación.
Para el segundo año, la tasa de rentabilidad se formaliza como:

donde:
Y2= ingreso después del segundo año de educación
Y1 = ingreso después del primer año de educación.
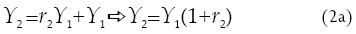
Al despejar en la ecuación (2) Y2 en función de Y1 y de la tasa de rendimiento r2, se tiene:

en forma similar se despeja de la ecuación (1)Y1, y se obtiene:

Al sustituir la ecuación (2b) en (2a), resulta:

esta relación puede generalizarse para la obtención de valor del ingreso para n años de educación:

Si la tasa de rendimiento es constante para todos los años de instrucción, implica que es posible utilizar rl = rl =....= rn = r ; y si (1+r) se aproxima a una función exponencial enr, como lo infiere el modelo, y se incorpora eu como término residual, se obtiene:

Con el logaritmo natural a ambos miembros, se tiene:

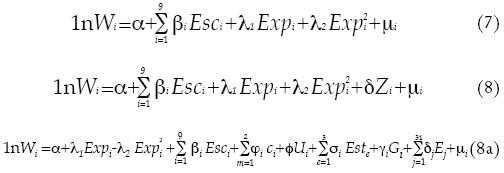
La ecuación (6) representa una función estadística del ingreso, donde su logaritmo natural con n años de educación (1nYn) está en función del logaritmo natural del ingreso en ausencia de ella (1n Y0), más su tasa de rendimiento (r) multiplicada por los años de educación (n), y se añade el término residual. Sin embargo, en Mincer (1974) se afirma que los ingresos además de depender de la escolaridad guardan relación con la experiencia laboral y su profundización. A continuación se especifican las ecuaciones estimadas:

En la ecuación (7), la variable dependiente Inwi representa el logaritmo natural del ingreso salarial del jefe de hogar i, Exci denota los años de escolaridad asumidos como variable proxy de capital humano, Expi indica la experiencia laboral y µi es un término de error estocástico, que captura el efecto de variables omitidas y que tiene una distribución normal, media cero y varianza constante. La ecuación (8) con el componente Zi captura otros atributos, los cuales se especifican en (8a).
Con respecto a los ingresos, se consideran las remuneraciones al trabajo asalariado asociadas al empleo primario. Se excluyen comisiones y propinas, aguinaldo, gratificaciones, primas vacacionales, repartos de utilidades y otras prestaciones en efectivo. Tampoco se toman en cuenta ingresos de negocios propios independientemente del giro o sector y otros distintos a los salarios. Los rubros anteriores también se omiten en las percepciones de empresas que funcionan como sociedades. Otro renglón excluido es el ingreso por renta de la propiedad y por trasferencias que comprenden diversos rubros importantes de la economía familiar. La variable dependiente que define las remuneraciones por el trabajo asalariado fue defactada con el índice nacional de precios al consumidor de 2006, con base en la segunda quincena de junio de 2002 = 100. En específico, se utilizó el índice general por objeto de gasto, cuyo promedio anual fue de 118.21 de acuerdo con el Instituto Nacional de Estadística y Geografía (INEGI) y el Banco de México.
Debido a que la variable experiencia real no se recoge en forma numérica en la ENIGH, se calcula la experiencia potencial a partir de (edadescolaridad6). En la segunda variable se contemplan los casos siguientes: 0) sin instrucción, 1) preescolar, 2) primaria, 3) secundaria, 4) preparatoria o bachillerato, 5) normal, 6) carrera técnica o comercial, 7) profesional, 8) maestría y 9) doctorado. Para capturar cada uno de ellos se utiliza un vector de variables dicotómicas representado por
. Conviene destacar que estos grados de instrucción no se agrupan, más bien se retoman de manera auténtica de la encuesta para apreciar las diferencias salariales por cada uno. La carrera técnica se incluye porque se trata de un perfil que por lo general encuentra posibilidades de inserción laboral y así quizá percibe ingresos superiores a los recibidos por quienes sólo cuentan con bachillerato o primaria, y es conveniente conocer su magnitud.
Asimismo, se introduce un vector de dos variables dicotómicas relacionadas con el tipo de contrato
. La primera indica uno temporal o por obra determinada y la segunda uno de base, planta o por tiempo indefinido, y denota que no hay contrato por escrito. Encontrar resultados en esta dirección permite enriquecer el análisis sobre los determinantes de los ingresos salariales, pues se estaría considerando que la condición de estabilidad que el trabajador guarda en su empleo también repercute en ellos.
Además, se introduce una variable dicotómica para analizar la diferencia en el salario entre los sindicalizados y quienes no lo están, asumiendo el valor de 1 en el primer caso y cero en el segundo
Con este atributo se puede saber si los trabajadores sindicalizados ganan más que los que no lo están o viceversa. En esta misma perspectiva se contempla otra variable, para determinar si hay diferencias salariales entre hombre, que se le da el valor de 1, y mujer a quien se le adjudica el 0, φGi.
Para apreciar las diferencias salariales entre las entidades federativas (territorios), con Oaxaca como categoría base, se introduce un vector de variables representado por
También se contempla la variable de estrato, relacionada con la densidad de la población en las localidades de México
Se consideran cuatro estratos: a) localidades menores de 2 500 habitantes; b) para las de 2 500 a 14 999; c) de 15 mil a 99 999 y d) de 100 mil habitantes y más. El estrato utilizado como base de comparación es el de menor población. Es importante dilucidar que la categoría de referencia se omite para evitar un problema de multicolinealidad perfecta, en cuyo caso las variables no serían linealmente independientes e implicaría que una exógena pudiera expresarse como una combinación lineal de cualquier otra del modelo. Por tanto, si una variable tiene m categorías, entonces deben introducirse sólo m1 para lograr que haya ortogonalidad en los regresores.1
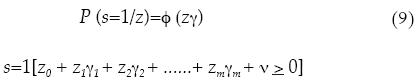
En el cálculo de la ecuación (7) se aplica el método de Heckman para evaluar la existencia de un posible sesgo por autoselección muestral. La estrategia econométrica consiste en estimar una ecuación de decisión (modelo probit), en donde se analizan los factores que explican la participación del/la jefe(a) de hogar en el mercado de trabajo. La variable dependiente asume el valor de 1 cuando sí lo hace y 0 en caso contrario. La probabilidad de participar está determinada por un conjunto de variables capturadas en Zi y Xi, esta última es un subconjunto de Zi.
La ecuación de decisión estimada es:

Después se estima la siguiente:

Esto indica que el valor esperado de y dada z es igual a χβ, más un término adicional que depende de la razón de Mills evaluado en zy. Donde el inverso de la razón de Mills para cada i es λ = λ (ziy). Cabe destacar que las variables utilizadas en la ecuación de decisión, y que no son parte de la ecuación (7), son género y tamaño de hogar, que resultaron estadísticamente significativas. Ahora bien, una vez corregido el sesgo, la metodología para medir la rentabilidad marginal de la educación, con base en la propia ecuación (7), es la propuesta por Psacharopoulos (1993), en donde la tasa de rendimiento del iésimo nivel educativo ri se puede estimar calculando la diferencia entre el coeficiente Di y Di1 dividido entre ni, que representa el número de años de escolaridad correspondientes al nivel k. Lo cual se obtiene a través de la expresión siguiente:

Fuente de información
La información utilizada en este trabajo corresponde a la ENIGH de 2006, debido a que ofrece indicadores sociodemográficos recientes de los hogares de México. Los datos que provee este instrumento permiten efectuar estimaciones tanto a escala nacional como de localidades con menos de 2 500 habitantes y más. Su diseño y aplicación por parte del INEGI está basado en un esquema de muestreo probabilístico polietápico, estratificado y por conglomerados, donde la unidad de selección es la vivienda particular, pues las colectivas se omiten en el análisis estadístico y en la propia encuesta, y el hogar es la de observación.
En 2006, la ENIGH se aplicó en 25 443 viviendas de las 32 entidades federativas, de las cuales se obtuvieron los ingresos, gastos, indicadores socioeconómicos y demográficos. La encuesta tiene gran relevancia porque sirve para generar información de ponderadores en el cálculo del índice nacional de precios al consumidor, indicadores de pobreza y estadísticos relacionados con los niveles de vida y bienestar social. La base de datos usada está integrada por microdatos del rubro de hogares, población, ingreso y concentrados que contienen las variables principales de la encuesta. Ambas fuentes describen las características y están conformadas por 20 875 registros (folios). Es importante mencionar que de acuerdo con el INEGI (2006) la selección de la muestra de la ENIGH está calculada para ofrecer estimaciones nacionales, en este sentido es posible introducir como elemento de análisis a la entidad federativa, a través de variables dicotómicas mutuamente excluyentes, siempre que se consideren los 32 territorios en donde el Distrito Federal es la base de comparación.
Discusión de resultados de estimación
Con respecto a la ecuación que sólo incluye la experiencia y la escolaridad, los coeficientes obtenidos con el método bietápico de Heckman son estadísticamente significativos con excepción de preescolar, lo cual no sorprende si se considera como un grado de instrucción prematuro. Es interesante apreciar que los coeficientes obtenidos con el método de corrección son diferentes a los generados por MCO, aunque en cuanto a los números no resultan tan distantes. Además, los resultados están corregidos por el método de White, el cual provee errores estándar robustos consistentes con el problema de heterocedasticidad. La bondad de ajuste puede considerarse razonablemente aceptable, debido a la naturaleza y estructura de los datos. Por su parte, el estadístico F alude a que las variables en su conjunto son relevantes. Es pertinente señalar que la especificación empírica del modelo se apoya en la perspectiva teórica de capital humano, y asume la posibilidad de añadir atributos motivados por un criterio de interés del objeto de estudio, por lo que no constituye estrictamente una especificación ad hoc.
Al evaluar el inverso de la razón de Mills en la ecuación de interés se determina que hay problemas de sesgo por autoselección muestral, por lo que no se conciben como confiables los resultados obtenidos por MCO. Ahora bien, una de las ventajas de trabajar con la ecuación (7) es que permite conocer los incrementos porcentuales de los ingresos del jefe de hogar, con respecto a una categoría base versus una ecuación restringida que asuma la misma tasa de rentabilidad para todos los años de escolaridad, y que es justo la versión que no se estima. En este sentido, Wooldridge (2006) precisa que cuando la variable dependiente está expresada en logaritmo natural y hay regresores en escala numérica, los coeficientes se interpretan como semielasticidad. Esto significa que si hay variables categóricas que han sido tratadas mediante las dicotómicas como corresponde, los coeficientes se interpretan como porcentajes. Es decir, si βi es el coeficiente de una variable binaria X1 y la dependiente es ln(Yi), entonces la diferencia porcentual exacta en el valor predicho de Yi, cuando X1 = 1 comparado con el caso en donde X1 = 0, es igual a un porcentaje obtenido mediante la expresión: [100* (exp(βi) 1)].
De acuerdo con los resultados obtenidos, (véase figura 1), se aprecia que los ingresos más altos están asociados con quienes han cursado estudios de posgrado, lo cual no es sorprendente si se considera que es un segmento que posee más capacidades y habilidades en materia de conocimiento e innovación. Hay una relación directa entre experiencia e ingresos, sin embargo, después de una determinada edad, los/las jefes(as) los ven reducidos. Es interesante observar que un jefe de hogar con la primaria terminada gana 41.90 por ciento más que alguien sin instrucción. La diferencia porcentual se incrementa para quienes terminaron la secundaria, pues perciben 87.76 por ciento más que los que no recibieron educación formal alguna. En el caso del nivel medio superior, el incremento porcentual es de 158.57 y de 431.21para la carrera técnica. En lo referente a la licenciatura, maestría y doctorado, la diferencia salarial representa 390.37, 692.48 y 820.73 por ciento, respectivamente. De lo anterior se constata que invertir en capital humano a través de una mayor instrucción contribuye a mejorar los ingresos según la escolaridad que se alcance.
Con respecto a la tasa de rentabilidad marginal, se nota que al pasar de primaria a secundaria se incrementa en 9.33 por ciento, y al transitar de secundaria a preparatoria en 10.6. Se consiguen beneficios relativamente elevados al avanzar del bachillerato a una carrera técnica, pues representa 24 por ciento. Cabe precisar que esta última no se refiere por fuerza al nivel medio superior con un área terminal, sino a un grado alcanzado en un centro de enseñanza técnica en donde al alumno se le forma para insertarse al mercado laboral con ciertas capacidades y habilidades, que definen su perfil de egreso. Por su parte, la utilidad asociada al profesional es de 12.8 por ciento, y del doctorado con respecto a este último es de 21. Se podría afirmar que estas tasas de rentabilidad difieren de otras pero en una proporción pequeña, lo cual puede deberse a razones estadísticas como el tamaño de muestra o bien al tipo de datos y la dimensión espacial. Por ejemplo, Ordaz (2007) encontró que la tasa de rentabilidad marginal en 2005 para primaria fue de 5.2 por ciento para el ámbito rural y de 3.3 para el urbano, para secundaria se disparó a 9.8 y 4.9 por ciento respectivamente, mientras que de 12.6 y 14.9 para preparatoria y para licenciatura de 8.4 y 9.9. En general se puede constatar que las tasas de rentabilidad reflejan una variación entre los grados de escolaridad, que se considera razonable si se toma en cuenta que el acervo de conocimientos, capacidades y destrezas tiende a ser mayor en la medida que aumenta la instrucción. Por otra parte, hay que advertir que no es posible comparar de manera estricta los resultados, si se tiene en cuenta que los horizontes temporales corresponden a momentos distintos, al menos en lo que respecta a los trabajos empíricos analizados en la sección de antecedentes.
Los resultados del modelo ampliado también se obtuvieron a través del método de Heckman, primero se estimó una ecuación probit. En este caso, en el vector Zi sólo se incluyó la variable tamaño de hogar, pues la de género es parte de Xi en la ecuación original (véase figura 2). Los resultados apuntan a que los ingresos se incrementan en forma porcentual en la medida que pasan de un grado de formación a otro; sin embargo, se advierte que el valor de los estimadores difiere de los obtenidos en la ecuación que no introduce otros atributos. El propósito de estimar la ecuación (8a) obedece al interés de indagar las diferencias salariales desde la perspectiva de otros atributos relacionados con el mercado de trabajo y aspectos sociales, demográficos y territoriales. Con respecto al género se determina que en igualdad de condiciones, los hombres ganan en promedio 7.7 por ciento menos que las mujeres. En la vertiente de la sindicalización, los jefes de hogar afiliados a una organización sindical perciben en promedio 28.40 por ciento más que los no sindicalizados, lo que permite afirmar que hay una relación positiva entre pertenecer a un sindicato y recibir ingresos mejores. También se expresa que las percepciones de 25.86 por ciento de los trabajadores con un contrato laboral temporal o por obra determinada son superiores a los que carecen de él, y 47.69 de quienes tienen uno de base, planta o por tiempo indefinido ganan más que los trabajadores sin un contrato colectivo. El modelo también captura el tipo de localidad de acuerdo con su densidad demográfica; en este aspecto se determina que los jefes de hogar, de poblaciones de 2 500 a 14 999 habitantes, ganan 19.72 por ciento más que los de localidades de menos de 2 500. Quienes se ubican en lugares de 15 mil a 99 999 personas obtienen 52.19 por ciento más que los del estrato de referencia, mientras que los residentes de ciudades de más de 100 mil obtienen 69.89 por ciento más que quienes habitan en sitios con menos de 25 mil. En 2006, en Campeche, Chiapas y Guerrero se pagaban los salarios más bajos con respecto a los de Oaxaca, la entidad de referencia; mientras que en Baja California, Baja California Sur, Querétaro, Quintana Roo, Chihuahua, Coahuila, Nuevo León y el Distrito Federal eran mayores. El resto de los estados se ubica en medio de estos dos grupos, unos en el sur del país y otros en el norte y centro, como Guanajuato y Jalisco.

En suma, las diferencias salariales no sólo se manifestaron entre los jefes de hogar con grados distintos de escolaridad, sino entre los estados, por razón de género, tipo de localidad y sindicalización. Si bien es de esperar que a mayor educación más ingresos, como postula el enfoque de capital humano, lo interesante es constatar cómo varían por cada nivel. En cuanto a la variable sindicato y tipo de contrato, se relacionan con los ingresos salariales en la misma dirección, y todo apunta a que el factor de estabilidad laboral contribuye a alcanzar percepciones superiores a las de los jefes de hogar sin contrato ni estatus de sindicalizados.
Características socioeconómicas de los hogares en México
Previo al análisis de los resultados de estimación, se realizó uno descriptivo sobre indicadores socioeconómicos de los hogares. La idea primigenia es que éstos son parte del territorio en donde se gestan y desarrollan las relaciones familiares y se forjan los valores socioculturales de una región. El hogar es el núcleo en donde el bienestar social se convierte en una prioridad, y representa la posibilidad de alcanzar mejor calidad de vida. En este sentido, la ENIGH2006 arrojó microdatos para hacer una descripción general. Por ejemplo, se puede señalar que en promedio el hogar está conformado por 3.9 integrantes y que la edad del jefe es de 47 años; de los miembros de cada hogar, el promedio mayor se relaciona con personas de entre los 14 a 64 años. En el rubro de ingreso corriente total, la mayor entrada provenía de remuneraciones por trabajo subordinado, que en 2006 representó 17 203 pesos en promedio, cuando dicha cifra en 2004 fue de 16 115. De los ingresos monetarios totales registrados por la encuesta en 2006, 64.3 por ciento fue de percepciones por trabajo subordinado, 19.2 por independiente, 4 por renta de la propiedad, 12.4 por trasferencias y 0.1 por otros, así se confirma que la fuente primaria de la mayor parte de los ingresos de un hogar en México proviene del trabajo por cuenta ajena.
Con respecto al gasto corriente total promedio por hogar, la mayor parte, 29.4 por ciento del total, se canalizó al renglón de alimentos, bebidas y tabaco. En menor escala se ubicó al transporte y educación y esparcimiento, con 18.9 y 15.5 por ciento respectivamente. Si se excluye el concepto de otros gastos, los de menor proporción fueron vivienda (8.9 por ciento), limpieza y enseres domésticos (6.4), vestido (5.9) y salud (4.1). Esta distribución da cuenta del orden de prioridades prevalecientes en los hogares de México cuando menos en 2006. Por tanto, se desprende que por encima de todo se procura satisfacer necesidades de bienestar, a través de la adquisición de bienes de consumo, lo cual no es sorprendente si se toma en cuenta que la subsistencia es fundamental para cualquier agente económico. En segundo lugar resalta el gasto en transporte, que no deja de llamar la atención, pero es razonable si se considera que en la actualidad cada vez son más los desplazamientos de las zonas rurales y áreas suburbanas a los centros urbanos, en busca de nuevas y mejores oportunidades de empleo.
La erogación en educación se coloca como la tercera prioridad, incluso supera a la de vivienda y salud, que en conjunto conforman el gasto social del país. Esta estructura de las prioridades, quizá refleje en forma indirecta la falta de una cultura por la prevención y el mejoramiento de la salud, que en definitiva debe tener una relación estrecha con mejorar el rendimiento escolar de la comunidad estudiantil tanto a nivel básico como medio y superior. Una visión retrospectiva de la salud y la educación revela que en el primer rubro ha habido un crecimiento de 51.4 por ciento de 1996 a 2006, mientras que de 48.3 en el segundo. Si bien estas cifras proyectan un aumento positivo, también es cierto que se quedan cortas si se reflexiona que el horizonte temporal es de alrededor de una década.
De 1996 a 2006 la cuota asignada a la educación y esparcimiento registró variaciones importantes; de 1996 a 1998, el gasto corriente promedio de cada hogar aumentó 2.5 por ciento y en el año 2000, 45.9 con respecto a 1998, es decir, fue 18.4 veces más. Un aspecto que llama la atención es la caída significativa de la cantidad destinada a la educación en 2002, comparada con la del año 2000, que representó 15 por ciento y que se tornó positiva en 2004 cuando alcanzó 2.4. Con respecto a la muestra estudiada, también se pueden plantear algunas características particulares de los hogares seleccionados en forma aleatoria. A partir de un análisis de cruces entre variables, se conoce que los jefes de familia con un mayor grado de instrucción (profesional, maestría y doctorado) pertenecen a un estrato demográfico de localidades con 100 mil o más habitantes. Lo mismo sucede con los niveles asociados a la primaria, secundaria y medio superior. Este resultado permite afirmar que los jefes de hogar tienden a reportar mayor escolaridad en la medida que residen en centros urbanos.
El cruce estadístico entre instrucción y afiliación sindical refleja que los jefes de hogar con escolaridad elevada representan una proporción importante en cuanto a sindicalización. Entonces, los trabajadores que se preocuparon por invertir en capital humano tendieron a tener mayor seguridad en el empleo, al amparo de una afiliación sindical. En este sentido, se constata que no son dos variables excluyentes sino más bien complementarias y alineadas en el marco de las relaciones laborales. Se determina que del total de hombres y mujeres sindicalizados, los primeros representaron 79.4 por ciento y las segundas 20.6. De los/las jefes(as) de hogar sin afiliación sindical, los varones fueron 84.6 por ciento y las mujeres 15.4, esto revela que los hombres tienden a ser más representativos que las mujeres en ambos rubros, debido a que son más en el total del empleo.
Otro cruce estadístico de interés relaciona género y tipo de contrato laboral; 87.2 por ciento de los hombres y 12.8 de las mujeres contaban con uno temporal; 81.8 y 18.2 tenían uno de base y 84.2 y 15.8 carecían de uno por escrito. También se apreció que los hombres con contrato temporal constituyeron 15.08, mientras quienes tenían uno de base y nada por escrito 38.25 y 44.95 por ciento, respectivamente. En el caso de ellas, los porcentajes fueron 11.30, 45.42 y 43.28. La mayor parte de los hombres carecía de un contrato por escrito, mientras que la mayoría de las mujeres tenían uno de base o indefinido.
Conclusiones
Los resultados permiten plantear que la inversión en capital humano, a través de más educación formal, es un determinante para obtener mayores ingresos salariales de los jefes de hogar en México. En este sentido, la tasa de rentabilidad marginal indica que al transitar de un grado de instrucción formal a otro aumentan los incentivos para participar en el mercado de trabajo, y asi tener acceso a mejores remuneraciones y a un empleo formal y de calidad. Lo anterior sugiere que los salarios están íntimamente ligados con las capacidades y habilidades del individuo, lo que le concede un papel importante a los factores de oferta del mercado de trabajo.
La versión ampliada del modelo empírico, que contempla elementos del mercado laboral y aspectos sociales y territoriales, permite esbozar de manera razonable que, además de la educación como variable proxy de dotación de capital humano, hay otros factores que contribuyen a explicar el mejoramiento de la escala de ingresos de quienes laboran por cuenta ajena. Entre éstos destacan las variables sindicato y tipo de contrato, al ser indicadores de estabilidad laboral esos componentes, además de condicionar el proceso de negociación colectiva tendiente a la consecución de mayores salarios, muestran que los trabajadores que no pertenecen a una organización sindical ni cuentan con un contrato por escrito tienen menos incentivos económicos que quienes están en un estatus opuesto. En definitiva, las diferencias salariales en México son relativamente marcadas, tanto desde la perspectiva de la escolaridad como por género, sindicalización, tipo de contrato y territorio. De lo anterior se desprende que es importante fortalecer la estabilidad laboral en forma preferente, mediante relaciones contractuales a largo plazo, sustentadas en remuneraciones ajustadas por el numerario productividad; además, reforzar el sistema educativo en términos de cobertura y calidad es relevante para minimizar las brechas de ingreso. También es fundamental alentar el crecimiento económico de las entidades federativas de acuerdo a sus vocaciones productivas y competitivas, pues ello contribuiría a extender las posibilidades de empleo bien remunerado e impulsar la dinámica de los mercados de trabajo.
Bibliografía
Ampudia R., Lourdes. 2007. Análisis del mercado de trabajo: comportamiento salarial y su rendimiento de acuerdo al nivel educativo en Ciudad Juárez, 19871998. Aportes XII (35): 117130. [ Links ]
Becker, Gary. 1964. Human Capital: A Theoretical and Empirical Analysis, with Special Reference to Education. Nueva York: National Bureau of Economic Research. [ Links ]
Burgos, Benjamín y Alejandro Mungaray. 2007. Apertura externa, inequidad salarial y calificación laboral en México, 19842002. Problemas del Desarrollo 39 (152): 87110. [ Links ]
Barceinas F., A. Oliver, J. L. Raymond y J. Roig. 2002. Rendimientos de la educación y efecto tratamiento: el caso de España. Moneda y Crédito 215: 4367. [ Links ]
Cortez, W. W. 2005. Dispersión y estabilidad de las diferencias salariales interestatales en México, 19842000. Investigación Económica LXIV (253): 123158. [ Links ]
Cabrera, C., A. Mungaray, R. Varela y E. Hernández. 2008. Capital humano e ingresos en la manufactura de Tijuana y Mexicali: 19942001. Estudios Fronterizos 9 (18): 95114. [ Links ]
Cragg, I.M., y M. Epelbaum. 1996. Why has Wage Dispersion Grown in Mexico? Is it the Incidence of Reforms or the Growing Demand for Skills? Journal of Development Economics 51: 99116. [ Links ]
Huesca R., Luis. 2004. La rentabilidad de la escolaridad en los hogares asalariados de México durante 19842000. Problemas del Desarrollo 35 (138): 125154. [ Links ]
Heckman, J. 1979. Sample Selection Bias as a Specification Error. Econometrica 47 (1): 153161. [ Links ]
INEGI. 2006. Encuesta nacional de ingresos y gastos de los hogares: síntesis metodológica. Aguascalientes: INEGI. [ Links ]
. 2002. Encuesta nacional de empleo urbano. Aguascalientes: INEGI. [ Links ]
. 1989,1992. Encuesta nacional de ingreso y gasto de los hogares. Aguascalientes: INEGI. [ Links ]
Mincer, J. 1974. Schooling Experience and Earnings. Nueva York: National Bureau of Economic Research. [ Links ]
Mendoza, J. Eduardo. 2002. Educación, experiencia y especialización manufacturera en la frontera norte de México. Comercio Exterior 52 (4): 300308. [ Links ]
Ordaz, J. L. 2007. México: capital humano e ingresos. Retornos de la educación, 19942005. CEPAL 90: 167. [ Links ]
Psacharopoulos, G. 1993. Returns Investment in Education: A Global Update. Policy Research, Working paper 1067. Banco Mundial. [ Links ]
Palacio, J. I., y J. H. Simón. 2002. Dispersión salarial y negociación colectiva en España. Cuadernos de Relaciones Laborales 20 (1): 169187. [ Links ]
. 2004. Dispersión salarial entre establecimientos y desigualdad salarial. Revista de Economía Aplicada XII (36): 4781. [ Links ]
Rojas, Mariano, Humberto Angulo e Irene Velázquez. 2000. Rentabilidad de la inversión en capital humano en México. Economía Mexicana IX (2): 113142. [ Links ]
Schultz, T.W. 1961. Education and Economic Growth; Capital Formation by Education. Journal Political Economy 68: 571583. [ Links ]
Urciaga, José y Antonio Almendarez. 2006. Determinación de los salarios y rendimientos de la escolaridad en la región Mar de Cortés. Revista de Educación Superior XXXV (2): 3753. [ Links ]
. 2008. Salarios, educación y sus rendimientos privados en la frontera norte de México. Un estudio de capital humano. Región y Sociedad XX (41): 3351. [ Links ]
Zamudio C., Andrés. 1995. Rendimientos a la educación superior en México: ajuste por sesgo utilizando máxima verosimilitud. Economía Mexicana 4 (1): 6991. [ Links ]
Zepeda, M. E., y R. Ghiara. 1999. Determinación del salario y capital humano en México: 19871993. Economía, Sociedad y Territorio II (5): 67116. [ Links ]
Wooldridge, Jeffrey M. 2006. Introducción a la econometría: un enfoque moderno. México: Thomson. [ Links ]
1 Alguna consecuencia práctica de la multicolinealidad es que las varianzas y covarianzas pueden ser grandes, y como resultado los intervalos de confianza tienden a ser más amplios con el estadístico t poco significativo y aunque algunos de estos no sean significativos estadísticamente, el R2 puede ser elevado.













