Introduction
Syzygium guineense (Willd.) DC. var. belongs to the family Myrtaceae. It is widely grown in the forests and savannah regions of Africa [1]. The plant is commonly called “malmoo” by the Hausas, “sumsum” by the Fulanis and “adere or igi-aro” by the Yorubas in Nigeria [2,3]. Traditionally, the fruit of the plant is used to treat dysentery while the leaf decoction is used to cure stomach-ache, diarrhea, diabetes, ulcers, rheumatism, malaria and inflammations. The bark is used for the treatment of hypertension [4,5]. The crude extracts from the plant have been reported to possess antibacterial, antidiabetes, analgesic, anti-inflammatory, antihypertensive, antioxidant and antimalarial activities [6-8]. Hence, justify its use in traditional medicine. Reports on the phytochemical analysis of the plant extracts revealed the presence of flavonoids, tannins, saponin, alkaloids and cardiac glycosides [9-11]. The phytochemicals detected in its various extracts, were responsible for the reported biological and biochemical activities.
Previous work on the leaf essential oil of S. guineense from Natitingou, Peperkou, Tchaourou and Terou locations in Republic of Benin revealed that the oils were of β-caryophyllene, cis-calamenen-10-ol, viridiflorol and α-humullene chemotypes respectively. Other major constituents in the oils were humullene-1,2-epoxide, epi-α-muurol, α-cadinol and caryophyllene oxide [9]. The leaf essential oil of the plant native to south-western Nigeria was earlier characterized [12]. The oil was found to be of aromadendrene chemotype. Germacrene D, tau- cadinol, caryophyllene oxide and α-cadinol were the other principal constituents in the oil. The chemotypic variation of the oils is attributable to differences in environmental factors at various location of the plant. The oil of the south-western Nigerian grown plant was reported to exhibit antioxidant activity. The activity of the oil was linked to abundance of oxygenated terpenoids in the oil. The presence of these terpenoids in an essential oil may vary with time of harvest of plant materials that bear the oil. It is on this basis that this work investigated the effect of time of harvest on the chemical composition and antioxidant potential of essential oils from leaves of S. guineense native to North central, Nigeria.
Experimental
Sample collection
Leaves of Syzygium giuneense (1500 g) were separately harvested in the morning (7.00 a.m.) and afternoon (1.00 p.m.) at Oke Odo, Tanke, Ilorin-South LGA, Kwara State, Nigeria. The plant was identified by Mr. Bolu at the Herbarium of Plant Biology Department, University of Ilorin, where voucher specimens were deposited [UILH/002/0673].
Extraction of essential oil
Pulverized leaves (500 g) of S. guineense from morning and afternoon harvests were separately hydrodistilled for 3 hours in a Clevenger setup based on British Pharmacopoeia specification [13]. The oils were collected, preserved in a sealed sample tube, and stored under refrigeration at 4 °C until the analyses were carried out.
Gas Chromatography-Mass Spectrometry (GC/MS) analysis of the oils
An Agilent 19091S gas chromatograph coupled with a quadruple focusing mass spectrometer 433HP-5 mass detector was used. Helium was used as the carrier gas at a flow rate of 1.5 mL/min; all analyses were performed at constant flow. The GC was fitted with a 30 m by 0.25 mm fused silica capillary column coated with phenyl methyl siloxane at a split ratio 1:50. The film thickness was 0.25 µm. Oven temperature was initially kept at 100 °C for 5 min. and then 150 °C at a rate of 4 °C/min. for 8 min. and to 250 °C at a rate of 20 °C/min. Mass detector conditions were as follows: Transfer line temperature at 300 °C, ionization mode electron impact at 70 eV. The percentage composition of the oil was computed in each case from GC peak areas.
Identification of constituents in the oils
The identification of the constituents in the oils was based on (i) comparison of their retention indices (RI), calculated using a homologous series of n-alkanes (C7-C30, Supelco Bellefonte, PA, USA) under identical experimental conditions, co-injection with standards and compared with those data from Wiley 275 and NIST 08 libraries (ii) comparison of fragmentation pattern in the mass spectra of each constituent with those data from Wiley 275 and NIST 08 libraries [14-17]. The relative quantity of each constituent was calculated based on the peak area of the GC (FID response) without using a correction factor.
DPPH antioxidant assay of the oils
The antioxidant potential of the oils was measured in terms of its hydrogen-donating or radical scavenging ability against DPPH, using the method reported by Ilhami [18]. In the method, 2,2-diphenyl-1-picryl-hydrazil, DPPH, solution (1.5 ml of 10-4 M, in 95 % ethanol) (Meyer, Mexico) was separately mixed with the oil (1.5) at various concentrations (12.5-200 μg/mL). Each of the mixtures was shaken thoroughly and incubated in the dark for 30 minutes at ambient temperature. The control was prepared using the same procedure without the oil. The absorbance of the solution was measured at 517 nm using UV-spectrophotometer. The assay was carried out in triplicate and the results were expressed as mean values ± standard deviation. The concentration of the oil that gave 50 % inhibition (IC50) was calculated from the graph of percentage inhibition against the oil concentration. Butylatedhydroxy toluene (BHT) was used as standard. The percentage inhibitions were calculated using the equation:
where A0 is the absorbance of the control sample (containing all reagents except the test compound) and AT is the absorbance of the test samples. Butylated hydroxytoluene (BHT, 1.0 mg/mL) (Sigma-Aldrich, Mexico) was used as a positive control.
Statistical analysis
Tests were carried out in triplicates. The mean values were calculated from the three values. The data for various biochemical parameters was expressed as mean ± SD (n = 3) and compared using one way analysis of variance (ANOVA) test, followed by Dunnett multiple comparison test with an equal sample size test. Values were considered statistically significant at p < 0.05. The IC50 values were calculated by non-linear regression analysis from the mean values. Statistics were done using SPSS for Windows version 10.
Results and discussion
Hydrodistilled leaves of S. guineense harvested in the morning and afternoon afforded essential oils in the yields of 0.25 ± 0.002 % (w/w) and 0.27 ± 0.003 % (w/w) respectively. The yields were lower than the yield from the leaves of the plants growing in South western Nigeria, but higher than the yields of oils from the leaves of the plant harvested from four different locations in the Republic of Benin [12,19]. The variations in the oil yields could be linked to differences in the number of secretory organs in the leaves of the plant at their respective locations. Meanwhile, the afternoon harvest yielded more oil than the morning harvest. This is attributable to environmental conditions that favoured the formation of more oil in the afternoon than in the morning. The identities, retention indices and percentage composition of constituents of leaf essential oils of the plant harvested in the morning and afternoon are presented in Table 1.
Table 1 Chemical Composition (%) of Essential Oils from Leaves of S. guneense.
| S/N | Compound | RIa | RIb | % Composition | Mass spectra data | |
| Morning | Afternoon | |||||
| 1 | 2-Carene | 1001 | 1001 | 1.4 | - | 150,121,93,67,53 |
| 2 | β-Pinene | 980 | 982 | 3.2 | - | 68,79,93,107,121 |
| 3 | β-Ocimine | 1050 | 1053 | 4.2 | 10.2 | 68,79,93,107,121 |
| 4 | γ-Terpinene | 1062 | 1057 | - | 0.5 | 136,105,93,77,65 |
| 5 | α-Terpinolene | 1088 | 1089 | - | 1.4 | 27,53,93,121,136 |
| 6 | Limonene | 1031 | 1027 | 2.9 | 5.6 | 136, 107, 93, 68,53 |
| 7 | α-Terpineol | 1189 | 1189 | 0.7 | 1.2 | 43,59,81,93,107 |
| 8 | Thymol | 1290 | 1291 | 1.5 | 0.7 | 51,77,91,121,135 |
| 9 | α-Santalene | 1420 | 1422 | 7.4 | 7.7 | 41,69,94,121,161 |
| 10 | α-Cubebene | 1345 | 1351 | 0.5 | 0.4 | 105,119,161,189,204 |
| 11 | α-Copaene | 1378 | 1376 | 4.0 | 3.5 | 105,119,161,189,204 |
| 12 | α-Cedrene | 1409 | 1410 | 8.6 | 9.0 | 55,93,119,136,161 |
| 13 | β-Santalene | 1462 | 1462 | 1.3 | 1.0 | 41,69,94,107,148 |
| 14 | α-Bergamotene | 1436 | 1435 | 30.1 | 27.3 | 55, 79,93, 119, 161 |
| 15 | β-Farnesene | 1458 | 1455 | 9.1 | 10.2 | 93,119,161,134,147 |
| 16 | α-Muurolene | 1499 | 1499 | 1.2 | 0.8 | 204,134,105,93,81 |
| 17 | Muurola-3,5-diene | 1450 | 1454 | - | 0.4 | 133,145,161,175,189 |
| 18 | Calamenene | 1521 | 1498 | 7.1 | 5.2 | 133,147,161,179,189 |
| 19 | β-Bisabolene | 1509 | 1513 | 1.5 | - | 69,79,93,109,119 |
| 20 | Sesquieneole | 1541 | 1541 | 1.3 | 1.3 | 139,140,161,176,189 |
| 21 | δ-Cadinene | 1524 | 1524 | 2.8 | 2.4 | 119,134,161,189,204 |
| 22 | Cadina-1,4-diene | 1532 | 1532 | 2.1 | 2.8 | 91,105,119,161,204 |
| 23 | β-Cadin-4-en-10-ol | 1580 | 1581 | 1.6 | 0.6 | 135,149,161,179,189 |
| 24 | Nerolidol | 1564 | 1564 | - | 0.6 | 41,69,93,123,161 |
| 25 | β-Bisabolol | 1668 | 1662 | 2.9 | 2.8 | 69,82,93,111,119 |
| 26 | α-Bisabolol | 1683 | 1685 | 2.1 | 1.1 | 69,109,119,134,147 |
| % Monoterpenoids | 13.9 | 19.6 | ||||
| % Hydrocarbon Sesqquiterpenoids | 77.0 | 72.0 | ||||
| % Oxygenated Sesquiterpenoids | 6.6 | 5.1 | ||||
| Total (%) | 97.5 | 96.7 | ||||
Compounds are listed in order of elution from fused silica capillary column coated on CP-Sil 5; RIa = Literature Retention Indices, RIb = Calculated Retention Indices; Bolded name = Chemotype
In the Table, twenty-two and twenty-three compounds that constituted 97.1 % and 96.7 % of the oils from morning and afternoon harvests were identified from their mass spectra. The percentage composition of monoterpenoids in the oils from morning and afternoon harvests were 13.9 % and 19.6 %. Sesquiterpenoids constituted 91.6 % and 76.8 % of the oils from morning and afternoon harvests respectively. The major constituents of the oils were; β-ocimene (4.2 % and 10.2 %), D-limonene (2.9 % and 5.6 %), α-santalene (7.4 % and 7.7 %), α-copaene (4.0 % and 3.5 %), α-cedrene (8.6 % and 9.0% ), α-bergamotene (30.1 % and 27.3 %), β-farnesene (9.1 % and 10.2 %), calamenene (7.1 % and 5.2 %), δ-cadinene (2.8 % and 2.4 %), cadina-1,4-diene (2.1 % and 2.8 %), α-bisabolol (2.9 % and 2.8 %) and β-bisabolol (2.1 % and 1.1 %). Other principal constituents in the oil from morning harvest were β-pinene (3.2 %) and β-ocimene (4.2 %). Terpenoids that were detected in significant quantities in the oils from the two harvests were α-terpineole (0.7 % and 1.2 %), thymol (1.7 % and 0.7 %), β-santalene (1.3 % and 1.0 %), α-muurolene (1.2 % and 0.8 %), and β-cadin-4-en-10-ol (1.6 % and 0.6 %). Sesquieneole constituted 1.3% of each of the oils. 2-Carene (1.4 %) and β-bisabolene (1.5 %) that were present in appreciable amounts in the oil from morning harvest were not detected in the oil from afternoon harvest. Meanwhile, the oil from the afternoon harvest contained appreciable quantities of γ-terpinene (0.5%), α-terpinolene (1.4 %) and nerolidol (0.6 %) but the compounds were not found in the oil of the morning harvest. α-Cubebene (0.5 % and 0.4 %) was detected as a minor constituent in the oils. Irrespective of time of harvest of the leaves, α-bergamotene was the most prominent compound in the oils. This revealed that the oils were of α-bergamotene chemotypes. Aromadendrene and α-hunmullene chemotypes were earlier reported for the leaf essential oils of the plant native to Republic of Benin and south-western Nigeria [12,19]. The chemotypic differences in the oils could be attributed to differences in climatic conditions of the three geographical regions.
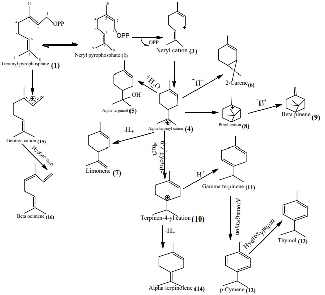
It has been found that the synthases of the most abundant mono- and sesquiterpenoids in an essential oil usually facilitate the biosynthesis of all terpenoids in plants [20-22]. The activities of the synthases are influenced by environmental factors that subsequently determine the quantity and the type of compounds in the oil. The predominance of β-ocimene and α-bergamotene in the oils of morning and afternoon harvests implied that their synthases facilitated the transformation of their precursors, (geranyl, neryl and farnesyl pyrophosphates) to all mono- and sesquiterpenoids in the oils. β-Ocimene synthase aided the formation of 2-carene [6] and β-pinene [9] in the oil of morning harvest but the environmental conditions did not favour the activity of the synthase to facilitate the biosynthesis of the compounds in the oil from afternoon harvest. Meanwhiile, the environmental conditions that favour the formation of γ-terpinene [11] and α-terpinolene [14] that constituted the oil from afternoon harvest did not favour their formation in the oil of the morning harvest. The α-bergamotene synthase facilitated the formation of β-bisabolene [21] in the oil of the morning harvest but the environmental condition was not conducive for its activity to mediate the formation of the compound in the oil from afternoon harvest. In contrast, the environmental condition was conducive for the activity of the synthase to aid the biosynthesis of muurola-3,5-diene and nerolidol in the oil of the afternoon harvest but did not favour their formation in the oil of the morning harvest.
β-Ocimene synthase catalyzed the biosynthesis of β-ocimene [16], limonene [7[, α-terpineol [5] and thymol [13] in the oils. However, the compounds were of greater quantities in the oil of the afternoon harvest than that of the morning harvest except thymol. Similarly, both oils contained α-santalene, α-cubebene, α-copaene [25], α-cedrene [37], β-santalene, α-bergamotene [35], β-farnesene [32], α-muurolene [39], calamenene [41], α-sesquieneole, δ-cadinene [26], cadina-1,4-diene, β-Cadin-4-en-10-ol, α-bisabolol [28] and β-bisabolol [29]. Their formations in the oils were aided by α-bergamotene synthase. Meanwhile, α-cubebene [33], α-copaene [25], α-bergamotene [35], β-santalene, α-muurolene [39], calamenene [41], δ-cadinene [26], β-cadin-4-en-10-ol [27], α-bisabolol [28] and β-bisabolol [29] were of higher quantities in the oil of morning harvest than the oil of afternoon harvest. On the contrary, the oil from afternoon harvest was richer in α-santalene, α-cedrene [38], β-farnesene [32] and cadina-1,4-diene [30] than the oil from morning harvest. The lower quantity of some compounds in the oils could be attributed to subjection of their reactive intermediates to premature termination [23]. The mechanisms of biogenesis of some of the mono- and sesquiterpenoids in the essential oils from both during their formation harvests are presented in Reaction Schemes 1 and 2.

Scheme 1 Mechanism of biogenesis of monoterpenoids in the essential oils from leaves of S. guineense.

Scheme 2 Mechanisms of biogenesis of sesquiterpenoids in the essential oils from leaves of S. guineense.
The DPPH radical scavenging of essential oils from leaves of S. guineense harvested in the morning and afternoon is shown in Fig. 1.

Fig. 1 DPPH Radical Scavenging Activity of Essential Oils from Leaves of S. guineense Harvested in the Morning (7.00 a.m.) and Afternoon (1.00 p.m.).
The figure revealed that the antioxidant activity of the oils was concentration dependent. The oils scavenged DPPH radical with IC50 of 41.92 μg/mL and 33.12 μl/ml for the oils from morning and afternoon harvests respectively. The oils were less active when compared to the activity of butylated hydroxytoluene, BHT, (IC50 = 28.63 μg/mL) that was used as standard. Irrespective of the time of harvest, the oils showed better antioxidant activity than the oil from the leaves of the plant earlier reported from the northern part of Nigeria (12). Interestingly, the oil from afternoon harvest showed higher activity than the oil from morning harvest. The oil was richer in α-terpineol and limonene and also contained γ-terpinene, α-terpinolene and nerolidol which were not found in the oil from morning harvest. It has been established that essential oils containing greater amounts of oxygenated compounds usually possess higher antioxidant activity [24,25]. For instance, the DPPH radical scavenging activity of leaf essential oils of Ocimum basilicum and Scutia buxifolia was linked to the predominant of linalool, carvacrol, 1,8-cineole and spathulenol in the oils [26,27]. The oils also contained terpinolene and γ-terpinene which were separately reported to show stronger DPPH radical-scavenging activity than trolox which was used as a reference. The DPPH radical scavenging activity of limonene and α-terpineol has also been documented [28,29]. Thus, the stronger DPPH radical scavenging activity of the oil from afternoon harvest could be attributed to the presence and higher quantities of the listed compounds above as compared to the oil from morning harvest.
Conclusions
The yields of essential oils obtained from S. guineense harvested in the morning and afternoon differ significantly. More oil was obtained from the afternoon harvest which was linked to a higher number of secretary cells in the afternoon than in the morning. The phytochemical profile of the oils also varied with times of harvest which sample harvested in the subsequently affected plant harvested in their antioxidant activity. Irrespective of the time of harvest of the leaves, the oils scavenged DPPH radicals with the oil from afternoon harvest showing greater antioxidant activity. Hence, the oils could be used as alternative antioxidants to ameliorate oxidative stress after clinical trials.










nueva página del texto (beta)


