Introduction
Alzheimer’s disease (AD), the most common form of dementia, is a neurological disease in people aged 65 years and older [1,2]. The reduced level of acetylcholine in AD patients leads to problems such as language deterioration, memory and thinking dysfunction, etc. It is forecasted that 81.1 million people will suffer to have AD in 2040. The global rise of AD has forced researchers to carry out investigations on neurodegenerative diseases [3].
Cancer is one leading reason of death worldwide [4], and the treatment of cancer remains an important and challenging problem. Present therapies include radiotherapy, chemotherapy, and surgery. For the majority of cancers, chemotherapy has become one of the methods that are being adopted to treat cancer. The increasing issue of drug resistance has prompted an intensive search for new bioactive agents [5]. Medicinal plants are attractive in this regard throughout the world both in treating and preventing human diseases [6,7]. Plants are sources of bioactive molecules and are used in traditional medicine, as well as many of modern drugs are produced indirectly from them. Traditional medicine has been used to treat human diseases in more than 65% of the world population, especially for people in many developing countries [8]. Essential oils of plants are certificated to own variegated effects in folk medicine, food preservation, and in pharmaceutical industries. A lot of essential oils and their ingredients have been investigated for cholinesterase enzyme (ChE) inhibitory activities and cytotoxic effects positively [9]. Currently, one of the leading treatment approaches in Alzheimer’s treatment is the use of ChE inhibitors such as donepezil, tacrine, galantamine, and rivastigmine, which have separated from herbal sources [10-12]. Nonetheless, the applicability of these drugs is limited due to drug resistance and dose-limiting [13]. Therefore, the development and utilization of more effective anticholinesterase compounds of natural origin are desired. Further, several studies have shown that stems, leaves, and flowers of the plant possess anticancer activities against several cell lines [14-16]. For instance, a literature review has shown the remarkable anticancer activity of Lavandula angustifolia Mill. essential oil against A549, H1299, and C6 cells [17]. In another study, Karakaya et al. reported significant cholinesterase inhibition and anticancer activity of Cymbocarpum erythraeum (DC.) essential oil against PC-3 and U-87MG cancer cell lines [9]. Satureja, belonging to the Lamiaceae family, comprises more than 200 species of aromatic herbs and shrubs which are commonly found in the world’s Mediterranean areas. Different species of the genus Satureja has been reported to possess excellent antimicrobial [18], antiviral [19], anti-inflammatory [20], and antiproliferative [21] properties. In the mountainous regions of Iran, 14 species of this genus were widely distributed [22,23]. Satureja khuzistanica and Satureja rechingeri, two of the species of the genus Satureja, are native to the southern parts of Iran [24,25]. Previous studies showed that the essential oil of these two species has antioxidant [26], antidiabetic [27], and antimicrobial [28] activities. The anticancer [29] and analgesic [30] properties of these oils from Iran were investigated. Here, in this work, two Satureja spices including Satureja khuzistanica and Satureja rechingeri were investigated for their essential oil contents, anticholinesterase potential, and anticancer activities against A2780 and PC-3 human cell lines. In addition, a molecular docking simulation was applied to reveal possible ligand-receptor interactions between Carvacrol, the common main ingredient of both two studied extract oils, and acetylcholinesterase and butyrylcholinesterase enzymes which give rise to high inhibitory activity in Carvacrol.
Materials and methods
All chemicals were of reagent grade and were used without further purification. For the anticholinesterase activity tests, Galantamine and Carvacrol were purchased from Sigma-Aldrich. UV-Vis spectra were recorded by UV-2100 Shimadzu spectrophotometer in the range of 200-800 nm.
Gas chromatography-mass spectrometry analysis
The analysis of the essential oil was performed using a Trace MS Thermoquest-Finnigan, chromatograph equipped with a fused silica capillary DB-5 column (60 m×0.25 mm i.d., film thickness 0.25 µm). An electron ionization system, IE: 70 eV, was used for GC-MS detection. The carrier gas was helium at a flow rate of 1.1 ml/min. Injector and detector temperatures were set at 250 and 300 ºC, respectively. The oven temperature program was 60-250 ºC at the rate of 5 ºC/min and finally held isothermally for 10 min. Diluted samples (1/100, v/v, in dichloromethane) of 0.2µl were injected manually in the splitless mode. Identification of components of the essential oil was based on GC retention indices and computer matching with the Wiley and Adams libraries, as well as by comparison of the fragmentation patterns of the mass spectra with those reported in the literature.
Plant material
All plant material of S. khuzistanica and S. rechingeri was collected from the Pol-e Dokhtar of Lorestan and Zarrinabad region of Ilam Province, Iran, respectively. The voucher specimen (No.: 11893 for S. khuzistanica and 13228 for S. rechingeri) has been deposited in the Herbarium of the Agricultural Research Center of Lorestan, Khorramabad, Iran.
Essential oil Isolation
The essential oils of powdered aerial parts of S. khuzistanica (250 g) and S. rechingeri (200 g) were obtained by using a Clevenger apparatus with hydrodistillation method for 3 h, giving yellow oil in 0.9 % and 0.5 % (v/w) yields, respectively. The oil was dried with anhydrous Sodium Sulphate and stored under nitrogen.
ChE assay
Human cholinesterase activity measurements were carried out by a modified Ellman’s method [31]. The reaction mixtures for the determination of IC50 values, the median inhibitory concentration, consisted of (5,5′- dithiobis(2-nitrobenzoic acid (DTNB: 10−4 M), 50 ml; inhibitor, × μl (5-250); acetylthiocholine iodide (ATCh) (1.35×10−4 M), 30 mL; 70mM phosphate buffer (Na2HPO4/NaH2PO4, pH = 7.4) (885-x) μl, and hAChE (diluted 100 times in phosphate buffer solution, 30 μl). The absorbance change was monitored at 412 nm for 3 min at 37 °C with three replicates in each experiment. In the absence of an inhibitor, the absorbance change was directly proportional to the enzyme level. The plot of VI/V0 against log [I] (where VI and V0 are the activity of the enzyme in the presence and absence of inhibitors, respectively, and [I] is the inhibitor concentration), gave the IC50 values of samples. Similarly, the activity of BChE was determined by measuring thiocholine which reacted with DTNB after hydrolysis of BTCh. The lyophilized BChE was diluted with 100 mM phosphate buffer (pH = 8) for use in the activity assay.
Docking studies
The initial coordinates of the ChE enzyme were taken from RCSB Protein Data Bank (PDB code: 4EY6 for AChE and 4BDS for BChE), which are complex with GNT and THA inhibitors, respectively. All the crystal water molecules and bound inhibitors were removed from the PDB file. The structure of Carvacrol was used for the docking study, which was carried out through Autodock Vina v.1.1.2 [32]. Required PDBQT files for the receptor protein and ligand molecules were prepared by Auto Dock Tools v.1.5.6 [33]. The receptor was kept rigid, and ligands were permitted to be flexible. During PDBQT file preparation, polar hydrogen atoms and Kollman united atom partial charges were added to the protein atoms (ChE) [34]. A docking grid box with sizes (X: 20, Y: 20, Z: 20) was built with 50, 50, and 50 points in the catalytic site of the protein, and the center of the box was set in the centroid of the bound inhibitors in the PDB file (GNT [X: -9.94, Y: -43.49, Z: 30.29 for chain A and X: 8.68, Y: -60.48, Z: -24.27 for chain B] in AChE and THA [X: 132.99, Y: 116.01, Z: 41.21] in BChE). Docking results were clustered with a root mean square deviation (RMSD) of 0.85Å and evaluated using the Pymol software.
Cytotoxicity assay
The cytotoxic properties of the essential oil of S. khuzistanica and S. rechingeri were determined on two human cancer cell lines: ovarian A2780 and prostate PC-3 using doxorubicin as a reference drug. Briefly, cell lines were grown in RPMI-1640 containing 10 % FBS at 37 ºC in a humidified atmosphere of 5 % CO2/95 % air and were seeded at a density of 2×103-8×103 cells per well in a 96-well plate. Samples were dissolved in the culture medium to give various concentrations. After incubation for 24 h, the resultant solutions were subsequently added to a set of wells. The microtiter plates were incubated at 37 ºC in a humidified atmosphere of 5 % CO2/95 % air for 24 and 48 h after adding all samples. Cytotoxic screening by MTT (3-(4,5-dimethylthiazol-2-yl)-2,5-diphenyltetrazolium bromide) assay was performed. The MTT solution (10 µL, 5 mg/mL) was added to into each well at the end of each incubation period and the cultures were incubated for 3-4 h. After the removal of the supernatant, DMSO (200 µL) was added to dissolve the formazan crystals. The absorbance was measured at 540 nm on an Eliza reader. The cytotoxicity was evaluated based on the percentage of cell survival in a dose-dependent manner relative to the negative control. The IC50 value is defined as a sample concentration that inhibits 50 % of the cell growth.
Results and Discussion
Chemical evaluation
The constituents of the essential oil of Satureja khuzistanica and Satureja rechingeri identified by GC-MS analysis and the quantitative data are summarized in Fig. 1 and Table 1. Essential oil from Satureja khuzistanica indicated the presence of thirty-seven components, whereas, essential oil of Satureja rechingeri showed the presence of thirty-eight compounds, representing 98.09 % and 99.46 % of the total identified ingredients. Interestingly, twenty-eight components were generally found in both essential oils. Among them, Carvacrol and Thymol were found the most abundant component in S. khuzistanica and S. rechingeri essential oils (68.7 % and 51.28 %, respectively). Other major ingredients present in S. khuzistanica essential oil were p-Cymene (4.62 %), 4- Terpineol (3.16 %), and γ-Terpinene (2.94 %), while in S. rechingeri essential oil, Carvacrol (22.08 %), Linalool (4.37 %), cis-β-Bisabolene (3.08 %), cis-Sabinene hydrate (3.01 %), 4-Terpineol (2.99 %), Caryophyllene oxide (2.07 %), and p-Cymene (2.06 %) were the principal components (Table 1). The oil obtained from S. khuzistanica in this study was found to contain more chemical ingredients than the essential oil of this spice in all reported studies with the hydrodistillation method [29, 35, 36]. For instance, 21 compounds in the essential oil of the cultivated S. khuzistanica and 12 compounds in the essential oil of its wild spice were detected [35].
Table 1 Chemical composition of the essential oil of S. khuzistanica and S. rechingeri.
| Compounds | S. khuzistanica | S. rechingeri | |||
| % | RIcalc | % | RIcalc | RIlit | |
| α-Thujene | 1.36 | 928 | 0.17 | 846 | 924 |
| α-Pinene | 1.09 | 937 | 0.21 | 860 | 932 |
| β-Pinene | 0.41 | 982 | 0.06 | 928 | 974 |
| β-Myrcene | 1.65 | 988 | 0.11 | 940 | 988 |
| dehydro-1,8-Cineole | 0.58 | 992 | 0.43 | 943 | 991 |
| α-Phellandrene | 0.25 | 1007 | 0.48 | 963 | 1002 |
| α-Terpinene | 0.85 | 1018 | 0.36 | 979 | 1017 |
| p-Cymene | 4.62 | 1026 | 2.06 | 990 | 1020 |
| Limonene | 0.44 | 1031 | 0.24 | 998 | 1029 |
| γ-Terpinene | 2.94 | 1060 | 0.46 | 1031 | 1059 |
| cis-Sabinene hydrate | 1.12 | 1069 | 3.01 | 1044 | 1070 |
| α-Terpinolene | 0.23 | 1090 | 0.1 | 1067 | 1087 |
| Linalool | 1.84 | 1096 | 4.37 | 1078 | 1095 |
| Borneol | 0.6 | 1173 | 0.14 | 1160 | 1169 |
| 4-Terpineol | 3.16 | 1182 | 2.99 | 1170 | 1177 |
| Carvacrol methyl ether | 0.59 | 1242 | 0.46 | 1235 | 1244 |
| α-Terpineol | 1.52 | 1208 | 0.73 | 1260 | 1186 |
| cis-dihydro carvone | 0.15 | 1218 | 0.13 | 1282 | 1192 |
| cis-piperitol | - | - | 0.04 | 1287 | 1196 |
| thymol | 1.32 | 1288 | 51.28 | 1325 | 1290 |
| Carvacrol | 68.7 | 1317 | 22.08 | 1337 | 1299 |
| iso-Ascaridole | - | - | 0.13 | 1356 | 1349 |
| Eugenol | 0.15 | 1361 | 0.6 | 1378 | 1359 |
| Carvacrol acetate | 0.67 | 1372 | 0.32 | 1386 | 1372 |
| Z-Jasmone | - | - | 0.06 | 1412 | 1342 |
| trans-Caryophyllene | 0.23 | 1435 | 0.28 | 1439 | 1419 |
| trans-α-Bergamotene | - | - | 0.06 | 1445 | 1434 |
| Geranyl acetone | - | - | 0.33 | 1456 | 1455 |
| cis-β-Bisabolene | 0.36 | 1512 | 3.08 | 1548 | 1507 |
| Sesquicineole | - | - | 0.16 | 1525 | 1516 |
| β-Sesquiphellandrene | - | - | 0.09 | 1532 | 1522 |
| trans-β-Bisabolene | 0.36 | 1545 | 0.6 | 1548 | 1531 |
| cis-Sesquisabinene hydrate | - | - | 0.24 | 1551 | 1579 |
| Caryophyllene oxide | 0.63 | 1600 | 2.07 | 1605 | 1582 |
| Rosifoliol | 0.23 | 1610 | 0.89 | 1613 | 1600 |
| Hinesol | - | - | 0.13 | 1655 | 1641 |
| α-Bisabolol | 0.18 | 1689 | 0.32 | 1690 | 1685 |
| Hexahydrofarnesyl acetone | - | - | 0.19 | 1843 | 1840 |
| Ethyl 2-methylbutyrate | 0.19 | 841 | - | - | 845 |
| Ethyl isovalerate | 0.15 | 844 | - | - | 858 |
| Camphene | 0.15 | 953 | - | - | 946 |
| E,E-α-Farnesene | 0.21 | 1505 | - | - | 1505 |
| β-Geranial | 0.15 | 1265 | - | - | 1267 |
| trans-dihydrocarvone | 0.34 | 1228 | - | - | 1200 |
| trans-Sabinene hydrate | 0.2 | 1102 | - | - | 1098 |
| 1,8-Cineol | 0.13 | 1034 | - | - | 1031 |
| β-Phellandrene | 0.34 | 1033 | - | - | 1029 |
On the other hand, the essential oil of S. rechingeri in the present study was found to contain less/more chemical compounds than the essential oil of this spice in the reported studies with the hydrodistillation method. For example, Alizadeh has reported essential oil compositions of S. rechingeri at different phenological stages to contain forty-seven components [26]. In another study, fifty-three constituents were identified in the essential oil of S.rechingeri at the beginning of the flowering stage by Sefidkon et al., while twenty-three compounds were detected in the oil obtained through hydrodistillation at the full flowering stage [37].
A literature review has also shown variations between chemical compositions of title two Satureja species oils. For instance, Farzaneh et al. reported Carvacrol (48 %), p-Cymene (18.5 %), and γ-Terpinene (11 %) as the main components of S. khuzistanica essential oil growing in Lorestan, which was in agreement with results of this study [38]. In a study conducted by Yousefzad et al, Carvacrol (92.87 %) and limonene (1.2 %) were obtained as major components in S. khuzistanica oil [29]. Carvacrol (82.5%), γ-Terpinene (2.7 %), and p-Cymene (2.6 %) were also obtained as dominant compounds in the essential oil of S. rechingeri grown in the Dehloran region of Ilam Province [39]. As shown in Table 1, while amounts of Carvacrol, p-Cymene, 4- Terpineol, and γ-Terpinene significantly decreased in S. rechingeri oil, increases in the amount of these components were observed for the essential oil of S. khuzistanica. Further, a decrease in the amount of Linalool, cis-β-Bisabolene, cis-Sabinene hydrate, and Caryophyllene oxide were observed for the extracted oil obtained from S. khuzistanica whereas, the value of these components increased in S. rechingeri extract oil. Numerous studies have characterized Carvacrol as the most abundant constituent in the essential oils obtained from S.khuzistanica and S.rechingeri [40], whereas Carvacrol and Thymol were identified as the dominant compounds in the essential oils extracted from S.khuzistanica and S.rechingeri in this study, respectively. The chemical ingredient of extract oils may change from plant to plant even in the same species.
Anticholinesterase evaluation
Hydrolysis of choline using the catalytic action of cholinesterase enzymes is caused and inhibition of these enzymes is considered an effective method to treat AD [41]. Lately, a great number of studies have focused on the anticholinesterase activity of extract oils. Essential oils are potent ChE inhibitors and hence, represent important pharmacotherapeutic agents against AD [42]. Indeed, several essential oil components including terpenes, phenylpropanoids, and terpenoids have been reported to possess inhibitory properties against ChEs. The present study is the first comparable research into the cholinesterase inhibitory of S. khuzistanica and S. rechingeri essential oils. By plotting the VI/V0 against log [I] (Figures 2(a), 2(b)), the IC50 values of the samples are listed in Table 2. In the current work, S. khuzistanica essential oil was found to have a more significant inhibition potential on both cholinesterase enzymes tested than the S. rechingeri essential oil. For instance, S. khuzistanica essential oil displayed an inhibitory activity of 251.37 ± 1.88 µg/mL on BChE, while the obtained inhibitory activity of S. rechingeri essential oil was 300.92 ± 2.97 µg/mL. Besides, by comparing the IC50 values of S. khuzistanica and S. rechingeri essential oils, it is clear that the inhibition potency of these materials in BChE was nearly 1.5 and 1.36-fold higher than the AChE inhibition, respectively.
Table 2 Enzymatic data for AChE, BChE, S. khuzistanica oil, S. rechingeri oil, major compounds of the essential oil, and Galantamine.
| AChE | BChE | |
| Sample | IC50a (µg/ml) | IC50a (µg/ml) |
| Enzyme | - | - |
| S. khuzistanica | 377.14±2.36 | 251.37±1.88 |
| S. rechingeri | 411.15±2.09 | 300.92±2.97 |
| Carvacrol | 57.21±0.25 | 180.88±0.95 |
| Thymol | 941.93±3.18 | 1819.69±9.23 |
| Galantamineb | 41.88±0.30 | 2.5±0.05 |
aIC50 values represent the means ± standard deviation of three parallel measurements (p < 0.05). bReference compound.
It is well-known that herbs have various bioactive phytochemical compounds which cause potent antioxidant activity [43, 44]. The antioxidant drugs could reduce neuron damage in Alzheimer patients [45-47]. Further, the biological activity of extract oils depends on their chemical constituents, which are determined by genotype and influenced by environmental and agronomic conditions [48]. According to studies, essential oils of S. khuzestanica were found to have great antioxidant activity due to their oxygenated monoterpenes, especially Carvacrol [27]. Further, it was suggested that Carvacrol can be the responsible antibacterial agent of S. khuzistanica essential oil [29]. The anticholinesterase effects of Carvacrol and Thymol through the inhibition of acetyl/butyrylcholinesterase enzymes have been demonstrated in other studies as well [49]. In this regard, the major constituents in the current study, Carvacrol, and Thymol, were analyzed for their cholinesterase inhibitory activity as well. Carvacrol (57.21 ± 0.25 µg/mL and 180.88±0.95 µg/mL) showed to be a more inhibitor potent of AChE and BChE compared to Thymol (941.93 ± 3.18 µg/mL and 1819.69 ± 9.23 µg/mL), respectively. It is anticipated that a high level of Carvacrol in S. khuzistanica essential oil is responsible for more inhibitory activity of this specie compared with S. rechingeri essential oil.

Fig. 2 The plot of VI/V0 against log[I] for essential oil of S. khuzistanica and S. rechingeri, Carvacrol, and Thymol. VI and V0 are AChE (a) and BChE (b) activities (OD min-1), and [I] is the inhibitor concentration (μg/ml).
Molecular docking studies
The essential oils studied herein were found to be rich in Carvacrol, and considering the interesting IC50 values displayed by Carvacrol on AChE and BChE (Table 2), the docking studies were executed at the active site 3D space of both enzymes to get an insight of the intermolecular interactions of the title component. The binding models of Carvacrol against AChE and BChE are depicted in Figures 3(a), S1, and 3(b). The docking calculations of Carvacrol at the active site gorge of AChE and BChE revealed that the best conformation of this compound bound to both enzymes with a binding affinity (∆G) from -6.7 to -6.4 Kcal/mol. The ∆G for GNT bound inhibitor in complex with 4EY6 were obtained -10.3 Kcal/mol for Chain A and -10.1 Kcal/mol for Chain B, and as well as those of THA bound inhibitor in complex with 4BDS were obtained -8.3 Kcal/mol, which is in agreement with the in vitro results listed in Table 2. Carvacrol fits in the hydrolase catalytic pocket of the X-ray crystal structure of acetylcholinesterase and the hydroxyl group of Carvacrol can establish strong or weak hydrogen bonds with the important amino acid residues of AChE. In chain A (Fig. 3(a)), the O-H group of Carvacrol formed two hydrogen bonds with N (length = 2.56 Ǻ) and O (3.12 Ǻ) of Arg296, and a hydrogen bond with the N (2.51 Ǻ) atom of Phe295. In chain B (Fig. S1), the hydroxyl group of the same compound showed hydrogen bonding to the important residues of AChE, as this group showed hydrogen bonds with the two oxygen atoms of the Asp74 (3.21 Ǻ) and Tyr124 (3.38 Ǻ). Additionally, interactions C-H…π could be formed between isopropyl and methyl moiety of Carvacrol with Tyr341 (3.10 Ǻ in chain A; 2.93 Ǻ in chain B) and Trp286 (3.58 Ǻ in chain A; 3.61 Ǻ in chain B), which are some of the eminent residues of AChE. The lowest energy conformer of Carvacrol showed at least four hydrogen bonds at the active site of BChE (Fig. 3 (b)). Group O-H of Carvacrol formed hydrogen bonds with OE1 (3.28 Ǻ) and OE2 (2.68 Ǻ) atoms of Glu197 and with N (3.27 Ǻ) atom of Gly439, and this group showed hydrogen bond with the O (3.57 Ǻ) atom of His438. In addition, the phenyl ring of Carvacrol is involved in π...π stacking interaction with Trp82 and His438 of the catalytic pocket. Comparing the docking results and the in vitro binding data reveals that the higher inhibitory effect of the S. khuzistanica oil in comparison to the S. rechingeri is strongly influenced by the presence of more Carvacrol percentage and all the titled interactions.

Fig. 3 Docking of Carvacrol in AChE (PDB ID: 4EY6) (Chain A (a)) and BChE (PDB ID: 4BDS) (b). AChE and BChE are represented in green and Carvacrol in orange, (hydrogen bonds between O-H…N (Arg296), O- H…N (Phe295), and C-H…π interaction (Tyr341) (a); O-H…O (Glu197), O-H…N (Gly439), O-H…O (His438), and π-π stacking interaction (Trp82) (b).
Anticancer activity
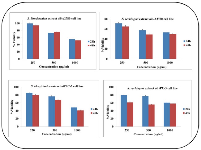
Due to the significant side effects of the synthesized anticancer drugs, researchers have been focused on the use of natural products for cancer therapy [50]. There are more than one thousand herbs that have been noticed to have remarkable anticancer potentials. Especially the essential oils of the plant parts have been studied and applications of them in cancer therapy reported so far. Further, it is anticipated that they induce lesser adverse effects in proportion to synthetic medications [51]. To the best of our knowledge, little research about anticancer properties of essential oil of Satureja species has been reported [52], and this study is the first report on the in vitro cytotoxicity of S. khuzistanica and S. rechingeri essential oil against human ovarian A2780 and human prostate PC-3 cancer cell lines. Cell culture treatments were assessed following different concentrations of the samples for two different times of exposure (24 h and 48 h). The selected samples have a growth-inhibitory effect on the cancer cells in a concentration and time-dependent pattern (Figures 4(a-d)), and the IC50 values are reported in Table 3.
Table 3 Antiproliferative activity of essential oil of S. khuzistanica and S. rechingeri, as well as respective standard drug.
| IC50 a(µg/ml) 50 | ||||
| Sample | A2780 | PC-3 | ||
| 24h | 48h | 24h | 48h | |
| S. khuzistanica | 1160.30±5.11 | 1028.19±4.54 | 987.05±3.73 | 832.17±3.34 |
| S. rechingeri | 1077.58±5.94 | 488.96±3.19 | 1431.19±6.25 | 767.22±3.19 |
| Doxorubicinb | 61.36±1.02 | 54.95±0.95 | 43.64±0.90 | 42.01±0.91 |
-, Not tested. aIC50 values represent the means ± standard deviation of three parallel measurements. bReference compounds.

Fig. 4 Cytotoxic effects of essential oil of S. khuzistanica and S. rechingeri in different concentrations and times against A2780 and PC-3 cell lines (a - d). The data were expressed as the mean ± SD from 3 independent experiments (P<0.05).
The standard anticancer drug, doxorubicin, was also taken as control [53]. Consequently, a comparison of the IC50 values revealed that by increasing the incubation time from 24h to 48h, a slight decrease in IC50 value was found in the A2780 cell line (from 1160.30±5.11 to 1028.19±4.54 µg/mL) for S. khuzistanica essential oil, and a significant reduction was observed against PC-3 cell line for the same sample from 987.05±3.73 to 832.17±3.34 µg/mL. In the case of S. rechingeri essential oil, the IC50 values show a considerable reduction from 1077.58±5.94 to 488.96±3.19 µg/mL against the A2780 cell line, and from 1431.19±6.25 to 767.22±3.19 µg/ml on the PC-3 cell line. Then, the essential oil of S. rechingeri (IC50: 488.96±3.19 µg/ml) was revealed higher activity than the essential oil of S. khuzistanica (IC50: 1028.19±4.54 µg/mL) against A2780 cell line. Also, for the PC-3 tumor cell line, S. rechingeri essential oil (IC50: 767.22±3.19 µg/mL) display a slight increase over the essential oil of S. khuzistanica (IC50: 832.17±3.34 µg/mL).
A literature review also presents that Carvacrol and Thymol are effective ingredients for the inhibition of cancer cells with relatively very low cytotoxic activity on normal cells [54-56]. Besides, numerous studies have indicated that minor compounds play a role in antibacterial activity, possibly by producing synergistic effects with other constituents [57]. It is equally likely to be the case in cytotoxic activities on transformed cells. Hence, further research are warranted to assess the cytotoxic potentials of the more minor constituents alone and then in various combinations to truly discern their role(s) in the toxicity against transformed cells. To study the degree of selectivity in the cytotoxic activity of the samples, assays using lymphocyte isolation from whole human blood were carried out on the selected samples. Selectivity assay showed that survival values were from 89 % to 93 % for these samples.
Conclusion
The chemical profile of both the S. khuzestanica and S. rechingeri extract oil was evaluated along with anticholinesterase and anticancer activities, revealing that samples are a promising source of potent pharmacology properties. Regarding ChE assay and docking studies, it is suggested that the presence of more Carvacrol percentage as well as non-covalent interactions between it and cholinesterase enzyme might be considered as a reason for higher inhibitory activity of S. khuzestanica extract oil in comparison with the S. rechingeri oil. As known, Satureja species are a rich source of Thymol and Carvacrol. Therefore, consumption of Carvacrol rich Satureja species may be useful as cholinesterase inhibitory agents. Besides, preliminary in vitro studies exhibited that the extracted oil of S. rechingeri has a good anticancer effect against PC-3 and A2780 cell lines.










nueva página del texto (beta)



