Introduction
Surfactants are widely used in modern industries due to their surface-active properties [1-3]. The amphiphilic structure of surfactants containing both a hydrophobic tail and a hydrophilic head is responsible for its surface activity [4]. At low concentrations, the aqueous solution of surfactants exhibits similar behavior as that of electrolytes. Critical micelle concentration (CMC) is defined as the narrow concentration range in which micelle becomes first detectable in solution [5]. Above CMC, due to repulsive and attractive forces between the molecules, the self-aggregation of surfactant molecules will result in the formation of micelles of different shapes and sizes. The size, shape, and properties of the surfactant micelles can be controlled by varying the temperature, ionic strength, and pH of the medium. Because of the absence of active sites on micelles, the increase in surfactant concentration above CMC results only in the increment of micelle number. No significant change in enthalpy is observed, while the increase in entropy is noticed during micellization. The CMC value of anionic surfactant, sodium dodecyl sulfate (SDS) is 8.5 × 10-3 mole L-1 at 25 °C [6]. 50-100 molecules of surfactant are observed in the monodispersed micelle of SDS [7-9]. A micellar entity retains its identity only for 10-3 to 10-1 sec, whereas the residing time of an individual surfactant molecule in the micelle is 10-6 to 10-5 sec [10,11]. Literature revels the formation of SDS micelles even up to 80 °C [12]. A completely different reaction environment is experienced by the micelle-bound reactants compared to the pure solvents. The lower polarity of the micelle-water interface compared to water influences the rate of reaction. The reaction rate in a micellar medium depends on the extent to which the substrate associates with the micelle aggregates.
The fundamental importance and immediate applications of redox/ligand exchange reactions of transition metal complexes in synthetic, analytical, and organometallic chemistry attracted many chemists for their kinetic study [13-18]. Numerous kinetic reports on oxidation of Fe(II)/Co(II) complexes and the metal- catalyzed Hg(II)/Ag(I), cyanide substitution from cyano complexes of Fe(II)/Ru(II) by heterocyclic ligand containing nitrogen has been reported by several authors [19-21]. These reactions have also been successfully used for the micro-level quantification of employed catalysts and drugs/compounds that can bind strongly with a catalyst [22-24]. Several reports are available on the spectrophotometric determination of various drugs in pharmaceutical preparations [25-27].
The importance of amino acid oxidation in the field of medical science and metabolism is due to the fact that organism strives to maintain protein balance in the body by oxidation of amino acids. Hence it is important to study the pathway through which oxidation of various amino acids takes place. Hexacyanoferrate(III) is an excellent oxidizing agent for the oxidation of various organic and inorganic substrates [28-32]. The moderate reduction potential of 0.40 V ([Fe(CN)6]3-/[Fe(CN)6]4- in alkaline medium), water solubility, high stability, and stable reduction product as hexacyanoferrate(II) make it highly useful [29]. Literature revel that the oxidation by the hexacyanoferrate(III) depends on the reaction medium and nature of the substrate and proceeds via an outer-sphere electron transfer mechanism [31]. These oxidation reactions were found to be catalyzed by Ir(III), Os(IV), Pt(II), Ru(VI), and Ru(III) [33]. Among these metal ions, Ru(III) exhibits excellent catalytic efficacy towards the oxidation of organic compounds by hexacyanoferrate(III) [31]. Numerous reports are available on the Ru(III)-catalyzed oxidation of polyamino carboxylates, glycols, amines, amides, and sulfoxides by hexacyanoferrate(III) in an aqueous alkaline medium [34-37]. However, very limited studies were done on the metal-catalyzed oxidation of organic moieties by hexacyanoferrate(III) in a surfactant medium [38-39].
The effect of an anionic surfactant on the cyanide substitution from Fe(II) and Ru(II) cyano complexes has been reported by our research group [40-41]. In connection with our previous work, the present investigation provides a detailed kinetic and mechanistic discussion of the Ru3+ promoted oxidation of Trp by hexacyanoferrate(III) in SDS micellar medium.
Experimental
Materials and methods
Reagent Used
Analytical grade reagents and double deionized water was utilized throughout the whole kinetic study. To prevent the possible photo-degradation of K3[Fe(CN)6].3H2O (Merck), its stock solution was kept in amber- colored bottles. Sodium dodecyl sulfate and L-tryptophan were purchased from Sigma-Aldrich and were used as supplied. RuCl3 (Merck) solution was prepared daily by its calculated amount. Perchloric acid (Himedia) and NaOH (Fisher Scientific) were applied to control the pH of the reaction medium while to regulate the ionic strength of the reaction mixture KNO3 (Merck) was used.
Instrumentation
The pH of the reaction mixture was checked by Oakton digital benchtop pH meter model WW-35419-10, calibrated with a predefined buffer solution. To record the absorbance at 420 nm corresponding to the degradation of [Fe(CN)6]3-, and repetitive spectral scan, A51119500C Multiskan Sky High Microplate Spectrophotometer (ThermoFisher Scientific) was used.
Kinetic Procedure
Since not all reacting solutions except the oxidizing agent exhibit appreciable absorption at the considered wavelength, no correction in the absorption values were applied. After thermal equilibration (for 30 min at 45 °C) all the reacting solutions were mixed promptly in the order: SDS, Trp, RuCl3, KNO3, NaOH, and [Fe(CN)6]3-. After brisk shaking, the reacting solution was promptly transported to the spectrophotometric cell. The temperature of the cell compartment was managed by a self-designed circulating water arrangement system. The pH of the reaction mixture was checked during the reaction and was found to be more than 10. The decrease in absorbance corresponding to the [Fe(CN6)]3- was recorded. The pseudo-first-order rate constant (kobs) of the studied reaction has been evaluated from the slope of the graph plotted between time and log(A∞ - At). The calculated kobs values have been used to discuss the impact of [OH-], [electrolyte], [Trp], [SDS] and [Fe(CN)6 3-] on the reaction rate. The data represented in the figures are the average of three kinetic runs.
Results and disussion
Initial observation shows that the uncatalyzed oxidation of Trp by [Fe(CN6)]3- is very slow, however appreciable decrease in absorbance at 420 nm (λmax of [Fe(CN6)]3-) was noticed when the same reaction was performed in presence of RuCl3. The observed decrement in absorbance is due to the reduction of [Fe(CN6)]3- to [Fe(CN6)]4-. The reaction does not occur in an acidic medium, also the progress of reaction in a slightly alkaline medium is quite slow at room temperature. Therefore the kinetic study of Trp oxidation by [Fe(CN6)]3- catalyzed by Ru(III) in an aqueous and SDS micellar medium has been performed in an alkaline medium (pH >11) at 45 °C temperature. Since all reacting solutions except the oxidizing agent exhibit no appreciable absorption at the considered wavelength, no correction in the absorption values was applied. The absorption band in the visible region at 420 nm belongs to the [Fe(CN6)]3- complex.
The stoichiometry of the reaction is determined by analyzing the unreacted [Fe(CN6)]3- spectrophotometrically at 420 nm at the fixed [Ru(III)] and ionic strength (0.1) in 0.02 M NaOH at 45 °C. The results show that [Fe(CN6)]3- and Trp react in a 2:1 mole ratio by the following equation:
The oxidation product of L-tryptophan is identified as indole-3-acetaldehyde by thin-layer chromatography via the formation of its 2,4-dinitrophenylhydrazone derivative. A single spot for prepared derivative, obtained on chromatogram exhibit the formation of a single product. Earlier reports available on the oxidation of amino acids by various oxidizing agents also supports the formation of indole-2-acetaldehyde. Carbon dioxide and ammonia are identified as by-products by lime water and Nessler’s reagent respectively.
The characteristic FTIR spectrum of the final product (indole-3-acetaldehyde) exhibits absorption bands of 3424 cm-1, 2750-2950 cm-1, 1728 cm-1 and ~1610-1520 cm-1 corresponding to N-H stretching, C-H stretching (HC=O), C=O stretching and C=C stretching respectively (Fig. 1). Elemental analysis data: C, 75.51; H, 5.64; N, 8.76; O, 10.09 also supports the formation of indole-3-acetaldehyde as final product.
Dependency of reaction rate on [OH-]
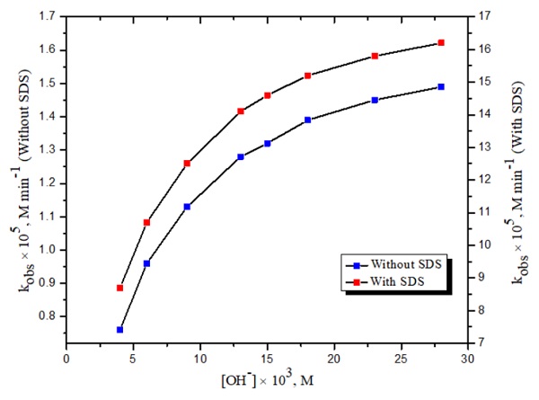
Previous reports on the catalyzed/uncatalyzed oxidation of organic compounds by [Fe(CN6)]3-revels that [OH-] strongly influences the oxidation rate [28-31]. To ascertain the [OH-] regarding the optimum rate, the rate of reaction was tested first in the 4.0 × 10-3 M to 2.8 × 10-2 M range by computing the observed rate constant at different [OH-].
The plot of [OH-] against kobs (Fig. 2) elucidate the sluggish nature of the reaction rate at lower [OH-], the reaction rate increases precisely up to 1.3 × 10-2 M [OH-], and slow increase in reaction rate was noticed with further advancement in [OH-] up to 2.8 × 10-2 M. 1.5 × 10-2 M can be considered as an optimum [OH-] for further kinetic investigation. In an aqueous medium, at lesser pH, the presence of a less reactive protonated form of [Fe(CN6)]3- and Trp are liable for the reduced rate. At higher [OH-] (pH > 10), hexacyanoferrate(III) and Trp both exit predominantly in their deprotonated form [42-43]. The observed slow increment in oxidation rate in a highly alkaline medium may be attributed to the existence of only a deprotonated form of oxidizing and reducing agent. Fig. 2 shows that the reaction proceeds much faster (almost 10 times) in SDS micellar medium compared to the aqueous medium, which is in good agreement with the earlier reports on micellar mediated/catalyzed oxidation of organic moieties [44-45].
Dependency of reaction rate on [SDS]
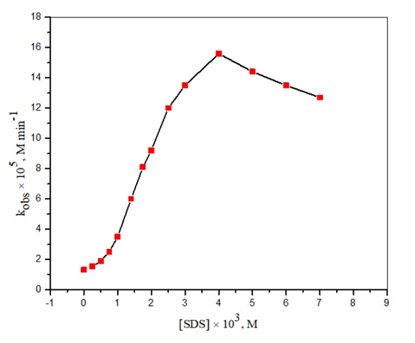
To understand the impact of [SDS] on the substitution rate, the concentration of anionic surfactant SDS was varied from 0.25 x 10-3 to 7.0 x 10-3 mole dm-3 while fixing the other variables at a constant value. The [SDS] versus kobs plot (Fig. 3) illustrates that the reaction rate escalates with [SDS] up to 4.0 x 10-3 mole dm-3 (near the CMC of SDS), with further increase in [SDS] the decreasing trend in the rate constant value is observed in the studied [SDS] range. The maximum reaction rate was observed at 4.0 x 10-3 M [SDS], a concentration slightly below the reported CMC for aqueous SDS. From the intercept of the two straight lines obtained from the plot of rate constant against [SDS] (one with a positive slope and the other with a negative slope), the obtained CMC of SDS in the present reaction condition is equal to 4.0 x 10-3 mole dm-3 [46], which is slightly lower than the reported value in the aqueous medium. The redox reaction takes place partly in the aqueous phase and partly on a micellar interface at or near the CMC of SDS.
Dependency of reaction rate on [Trp]
The influence of [Trp] on the oxidation rate was inspected in the 1.0 × 10-3 to 2.25 × 10-3 mole dm-3 concentration range at 45 °C temperature under the optimum [OH-]. The graph of kobs against [Trp] (Fig. 4) elucidates that the reaction rate increases almost linearly in accordance with first-order kinetics up to 1.2 × 10-3 mole dm-3 [Trp], with further advancement slight increment in reaction rate, was noticed that finally leveled off in the studied [Trp] range exhibiting zero-order kinetics at higher [Trp]. The oxidation of Trp by hexacyanoferrate(III) exhibits a faster rate in SDS micellar medium compared to the aqueous medium.
Dependency of reaction rate on [Fe(CN)6 3-]
Under the optimized condition of [Trp] and [OH-], keeping other reaction variables at a fixed value, the observed rate was computed as a function of [Fe(CN)6]3- in the 0.8 × 10-4 to 7.5 × 10-4 mole dm-3 concentration range. For each [Fe(CN)6 3-], the computed observed rate (kobs), depicted in Fig. 5, elucidates that the first-order kinetics was observed in the studied [Fe(CN)6 3-] range.
Dependency of reaction rate on [electrolyte]
The neutral electrolyte (KNO3) concentration was varied from 0.075-0.5 mole dm-3 to access the influence of ionic strength on the rate of reaction. The other reaction parameters were fixed at Temp. = 45.0 ± 0.1 °C, [Trp] = 1.75 × 10-3 mole dm-3, [Ru3+] = 1.0 ×10-6 mole dm-3, [OH-] = 1.5 ×10-2 mole dm-3, and [Fe(CN)6]3-= 1.5 × 10-4 mole dm-3. A positive salt effect was observed in the plot of kobs against ionic strength (I) (Fig. 6).
Dependency of reaction rate on temperature
As anticipated, the rise in temperature from 298-323 K, under the optimized reaction condition, escalates the reaction rate. Due to the possible degradation of the ultimate reaction product and extremely fast reaction rate, a much higher temperature was not suitable for kinetic spectrophotometric study. 313 K temperature was considered for further studies as at this temperature reaction proceeds smoothly with a modest rate. The calculated value of Ea, ∆H#, and ∆S# using the Arrhenius equation and Eyring's equation are 68.563 k J mole-1, 66.085 k J mole-1, and -102.92 J K-1 mole-1 in an aqueous medium and 59.749 k J mole-1, 57.105 k J mole-1, and -139.42 J K-1 mole-1 micellar medium respectively.
Dependency of reaction rate on [Ru3+]
The ultimate application of Ru3+ catalyzed oxidation reactions in the trace level determination of Ru3+ makes the study of the varying impact of [Ru3+] on oxidation rate highly important. The rate constant (kobs) was computed after the mixing of reactants under the optimized reaction condition with varying [Ru3+]. A linear correlation observed between kobs and [Ru3+] (Fig. 7) exhibits first-order kinetics for Ru3+ in its studied concentration range.
Mechanism
Based on the earlier literature on oxidation by hexacyanoferrate(III) and current kinetic investigation we proposed a most probable mechanistic pathway for the Ru3+ promoted reaction between Trp and [Fe(CN6)]3- via Eq. (2) - (5) [Scheme 1].
Ru(III) has been used as an efficient catalyst in numerous redox reactions in both alkaline and acidic mediums. Due to the limited solubility of RuCl3 in water, its fresh solution was prepared with a very low amount of HCl. At room temperature, in its fresh aqueous solution RuCl3 exists as [Ru(H2O)6]3+, while there is very little possibility of aqua chloride complex of ruthenium viz. ., [Ru(H2O)5Cl]2+, [Ru(H2O)4Cl2]+ , [Ru(H2O)2Cl4]- and [RuCl6]3- under the specified condition [47]. Above pH 4.0 the Ru(III) solutions are stable only for a few minutes at room temperature, and after about an hour a brown precipitate formed, presumably due to a basic polymerized species [48]. Ru(III) predominantly exists as its hydroxylated species ([Ru(H2O)5OH]2+) in an alkaline medium, when [OH-] > [Ru(III)] [49-50]. Hence ([Ru(H2O)5OH]2+ is considered as the reactive species of Ru(III) also in alkaline SDS condition, which was also supported by the fractional-order kinetics at higher [OH-] [27,51-52].
Scheme 1. Ru3+ catalyzed oxidation of Trp by [Fe(CN)6]3-.
In an alkaline medium the reactive hydroxylated species of ruthenium reacts with Trp to produce the Ru-Trp intermediate complex, which reacts slowly with [Fe(CN)6]3- to give oxidation products, [Fe(CN)6]4- and hydride species of Ru(III). The formation of Ru(III) hydride species during such redox reactions was also supported by the earlier reports [28, 31]. In the last step, the reactive hydroxylated species of ruthenium has been regenerated via the reduction of [Fe(CN)6]3-.
In the proposed mechanistic scheme, the slowest step i.e. Eq 4. is considered the rate-determining step.
During the reaction, the total [Ru3+] can be given by Eq. 7.
Using equations 2, 3, and 7 we get:
On substituting Ru(H2O)5OH]2+ value, Eq. 6 transforms to final rate law,
Where S is L-tryptophan.
The above rate law is in accordance with our experimental observations exhibiting first-order kinetics at lower concentrations of Trp and oxidizing agent.
Considering,
The plot of 1/k’ versus 1/[OH-] exhibits a linear relationship in the studies [OH-] range while the 1/k’ versus 1/[S] plot is also found to be linear at lower [Trp]. These plots also support the proposed mechanism and derived rate law.
Literature shows that the increase in [SDS] including [SDS] > CMC is not expected to result in an effective high concentration in the aqueous bulk phase [46,53]. No significant change in the concentration of the non-micellar entity is observed above the CMC of surfactant. According to Bunton, the maximum rate at CMC is not due to the complete binding of the substrate while the transfer of reactant from water into micelle phase is responsible for the increased rate. The dilution of the nucleophile with added surfactant is liable for the decrease in the reaction rate above CMC [54]. Inhibition or acceleration of reaction rates in a micellar medium is due to the distribution of the reactants in the aqueous pseudophase and the micellar pseudophase, also the reactants react at different rates in these two pseudophases [55]. Scheme 2 represents the oxidation of Trp in two pseudophases.
The hydrophobic and/or electrostatic interactions between the surfactant aggregates and reactants and changes in the surrounding water molecule’s structure are liable for the retardation or acceleration in the reaction rate. At lower surfactant concentration (below CMC), the surfactant monomer act as a catalyst thereby increasing the reaction rate with surfactant concentration. The formation of catalytic micelle may occur via the aggregation of surfactant monomer with the substrate molecule, such an aggregation favors the reaction and increases the reaction rate. Literature exhibit that the reaction rate in the surfactant medium is also influenced by the premicellar region [56,57]. The substrates in the micellar aggregate are observed to be less reactive as compared to the substrate in premicellar complexes [58]. The reaction rate after reaching the maxima (at CMC) disappears as premicellar complexes dissolve, and the formation of micelle takes place. Above the kinetic CMC of the surfactant decreasing trend in reaction rate was observed with [SDS]. It is important to mention here that the polarity of the aqueous surface is considerably more than that of the micellar surface. Therefore, the observed decrease in the reaction rate may be either due to the distribution of the substrate between micellar and aqueous pseudophases or due to the reduced dielectric constant of the medium [58]. Furthermore, above the CMC the possible dilution of the incoming ligand with added surfactant caused the decrement in reaction rate [54].
[Fe(CN)6]3- does not show any appreciable effect on the CMC of SDS in the studied concentration range due to no electrostatic attraction as the polar head of SDS and [Fe(CN)6]4- both are negatively charged. The K+ obtained from K3[Fe(CN)6] and KNO3 attached with the negatively charged SDS molecule via electrostatic force of attraction. The added salts, which decrease the repulsion between the negatively charged heads of the surfactant molecules, are responsible for the decrement in the CMC of SDS [59].
An optimized reaction condition has been used to record the repetitive spectral scan for the Trp oxidation by [Fe(CN)6]3- in an alkaline medium catalyzed by Ru3+. The scan exhibits continuous decrement in absorbance with time at 420 nm and 303 nm corresponding to [Fe(CN)6]3-. The observed decrease in absorbance value is due to the conversion of [Fe(CN)6]3- to [Fe(CN)6]4- during the reaction. The isosbestic point noticed at 282 nm is due to the coexistence of [Fe(CN)6]3- and [Fe(CN)6]4- which also supports the proposed mechanism (Fig. 8).
Conclusions
The present communication provides better insight regarding the oxidation of Trp by hexacyanoferrate(III) in the SDS micellar medium, catalyzed by Ru(III). The reaction exhibits first-order kinetics in the studies concentration range of Ru(III), [Fe(CN)6 3−] and at lower [Trp] and [OH-]. The incremental trend observed in the reaction rate with electrolyte concentration shows a positive salt effect. The reaction rate is almost ten times faster in SDS micellar medium compared to the aqueous medium. The redox reaction takes place partly in the aqueous phase and partly on a micellar interface at or near the CMC of SDS. [Fe(CN)6]3- does not show any appreciable effect on the CMC of SDS as the polar head of SDS and [Fe(CN)6]4- both are negatively charged. The K+ obtained from K3[Fe(CN)6] and KNO3 decreases the repulsion between the negatively charged heads of the surfactant molecules thereby decreasing the CMC of SDS. The present investigation contributes to a better understanding of the oxidation of amino compounds particularly Trp by hexacyanoferrate(III) in SDS micellar medium and can be efficiently employed for the micro-level quantification of Ru3+ in SDS micellar medium.










nueva página del texto (beta)












