Servicios Personalizados
Revista
Articulo
Indicadores
-
Citado por SciELO -
Accesos
Links relacionados
-
Similares en
SciELO
Compartir
Journal of the Mexican Chemical Society
versión impresa ISSN 1870-249X
J. Mex. Chem. Soc vol.59 no.2 Ciudad de México abr./jun. 2015
Articles
Enantioselective Synthesis of Isoxazolecarboxamides and their Fungicidal Activity
Mirosław Gucma, W. Marek Gołębiewski and Alicja K. Michalczyk
Institute of Industrial Organic Chemistry Annopol 6, 03-236 Warsaw, Poland. Telephone: +(48) 22-8111231. golebiewski@ipo.waw.pl
Received February 10th, 2015
Accepted June 10th, 2015
Abstract
A series of new 3-substituted isoxazolecarboxamides have been prepared from aldehydes. The key step was a 1,3-dipolar cycloaddition reaction of nitrile oxides to α,β-unsaturated esters and amides. The cycloadditions to amides were mediated by chiral ligands and several products displayed excellent enantioselectivities. Some of the title compounds exhibited good fungicidal activities against Alternaria alternata, Botrytis cinerea, Fusarium culmorum, Phytophthora cactorum, and Rhizoctonia solani strains.
Key words: cycloaddition, isoxazole derivatives, regioselectivity, enantioselectivity, fungicides.
Resumen
Una serie de nuevas isoxazolcarboxamidas 3-sustituidas se prepararon a partir de aldehídos. El paso clave fue la reacción de cicloadición dipolar-1,3 de óxidos de nitrilo con ésteres o amidas α,β-insaturados. Las cicloadiciones con amidas fueron llevadas a cabo en presencia de ligantes quirales, y varios productos mostraron excelentes enantioselectividades. Algunos de los compuestos preparados mostraron buena actividad fungicida contra las cepas de Alternaria alternata, Botrytis cinerea, Fusarium culmorum, Phytophthora cactorum y Rhizoctonia solani.
Palabras clave: cicloadición, derivados de isoxazol, regioselectividad, enantioselectividad, fungicidas.
Introduction
Biological activity of carboxamides is known for a long time. Fungicidal activity of some amides (pyridinecarboxamides and benzamides) results from disrupting the succinate dehydrogenase complex in the respiratory electron transport chain [1,2a], inhibition of rybosomic RNA synthesis (acylalanines such as metalaxyl, oxazolidinones such as oxadixyl) [2a] and targeting cellulose synthases [2b]. Herbicidal activity is presumably due to inhibiting phytoenone desaturase, enzyme involved in biosynthesis of carotenoids [3]. Simple derivatives of isoxazole show also biological activity: 3-hydroxy-5-methylisoxazole disturbs RNA metabolism of fungi [4]. Fast appearance of resistance in pathogenic organisms and climatic changes result in a continuous quest for new plant protective agents which would exhibit a selective activity against pests and apropriate durability in the environment. There is a growing interest in agrochemistry to use pure optical isomers since the desired biological activity occurs generally only in one of the enantiomers. Application of single enantiomers induced by legislative, environmental and commercial factors brings several benefits, such as a decrease of environmental pollution, elimination of useless or even detrimental activity of the undesired antipode and reduced costs of raw materials, labor, and effluent treatment. Those facts induced us to synthesize several 3-aryl- and 3-alkylisoxazolecarboxamides showing fungicidal activity [5,6]. In continuation of these studies we have prepared a number of new 3-aryl (alkyl)isoxazolecarboxamides and examined their activity against Alternaria alternate, Botrytis cinerea, Rhizoctonia solani, Fusarium culmorum, and Phytophthora cactorum fungal strains.
Results and Discussion
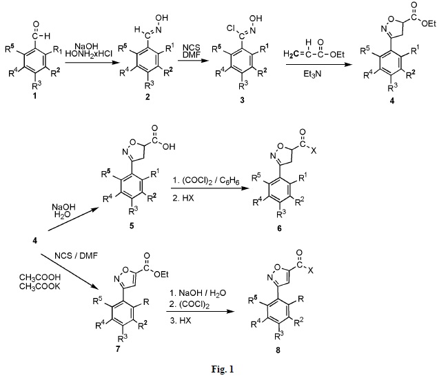
The title compounds have been prepared by two methods. Following the first method, fifteen 3-arylisoxazole-(3-aryl-2-isoxazoline-)-5-carboxamides 6-8 were synthesized from arylaldehydes 1 (Scheme 1, Table 1) via carboxylates 4. Then three 3-t-butyl-2-isoxazoline-5-carboxamides 9-11 were similarly obtained (Fig. 1). In the second method, fourteen 3-arylcarboxamides 14-15 were prepared by enantioselective 1,3-dipolar cycloadditon reaction of benzonitrile oxides 12a-c and unsaturated amides 13a-h (Scheme 2).
Preparation of isoxazolecarboxamides 6a-f and 8a-i
The isoxazolecarboxamides listed at Scheme 1 and in Table 1 were prepared in a few steps starting from aldehydes which were oximated with hydroxylamine. E-configuration of the oximes was established based on chemical shift values of HC=N proton in 1H NMR spectra above 8.0 ppm [7-9]. The next step was chlorination of oximes with NCS in DMF [10]. The key step was a 1,3-dipolar cycloaddition reaction of ethyl acrylate or α,β-unsaturated amides and nitrile oxides generated in situ in the presence of triethylamine (Huisgen method) [11] or on a basic Amberlyst A-21 column in the case of the cycloaddition reaction of α,β-unsaturated amides 13a-h, which lead to cycloadducts 14-15 [12] (Scheme 2). The reaction with ethyl acrylate showed high regioselectivity and only 3-aryl-2-isoxazoline-5-carboxylates 4 were isolated. Some 3-aryl-2-isoxazolinecarboxylates were dehydrated to give the corresponding isoxazoles 7 using N-bromosuccinimide bromination, followed by potassium acetate-promoted dehydrobromination [13]. The title amides were synthesized by reaction of acid chlorides prepared by saponification of the corresponding esters, reaction of the obtained acids with oxalyl chloride, followed by acylation of the aromatic, heterocyclic or alkyl amines in the presence of tertiary amines (Method A1 and A2, see experimental part). In the case of weakly nucleophilic aromatic amines, the amidation process was carried out by activation of amines with n-butyllithium in diethyl ether (Method B1, see experimental part) or by formation of lithium amides with t-butyllithium (Method B2, see experimental part) to avoid formation of side products due to degradation of the acid chlorides [14] and to increase yields of the amides.
2-Isoxazolinecarboxamides 9-11 (Fig. 1) were similarly prepared starting from trimethylacetaldehyde via a cycloaddition of the corresponding nitrile oxide with ethyl acrylate and acylation of an amine with the prepared 2-isoxazoline-5-carboxylic acid chloride (a description is provided in the experimental part).
Enantioselective cycloaddition reactions of nitrile oxides to amides
In another approach to isoxazolinecarboxamides, we examined the cycloadditon reaction of benzonitrile oxides to acrylamides with application of chiral ligands (+)-(4,6-benzylidene)methyl-a-D-glucopyranoside (A), 1,2:5,6-di-O-isopropylidene- a-D-glucofuranose (B), 1,2:3,4-di-O-isopropylidene-a-D-galactopyranose (C), and R-(+)-1,1'-bi-2-naphthol (D) (Fig. 2). We have tested before application of chiral complexes to control regio- and enantioselectivity of the dipolar cycloaddition reaction of nitrile oxides to crotonamides and cinnamides [15] as well as to unsaturated esters [16]. In this approach we describe the cycloadditions of benzonitrile oxides 12a-c to substituted acrylamides 13a-h mediated by new complexes of chiral ligands A-D and Lewis acids, especially lanthanides (Table 2).
Structure-reactivity relationship
The reactivity of aromatic amides as dipolarofiles in the cycloaddition reaction of nitrile oxides depends on the nature of the substituent and its position on the aromatic ring of the amide fragment (R2, Scheme 2). Amides with electron donating substituents (EDG) on the aromatic ring such as methoxy and sec-butyl in the ortho or para position are the most reactive; meta substituted amide (Table 2, entry 16) was unreactive. On the other hand amides with electron withdrawing substituents (EWG) on the aromatic ring, such as CF3, did not react in the cycloaddition reactions as well.
Reactions of acrylamides 13a-c afforded as expected only 5-substituted regioisomers 14a-c. The rest of the cycloadditions gave mixtures of 4- and 5-substituted regioisomers (Table 2, entries 5-15). Good regioselectivity was observed in the uncatalyzed reaction of 4-isopropylbenzonitrile oxide (Table 2, entry 12), where regioisomer-5 was favored (20:1), and in the reaction mediated by a complex of aluminum chloride-carbohydrate A, where regioisomer-4 was favored (4:1) (entry 8).
Excellent enantioselectivities were achieved in reactions mediated by complexes of ytterbium triflate with carbohydrates A, B and binaphthol D (Table 2, entries 5, 13, 14). Very good enantioselectivities were also observed in cycloadditions mediated by systems Yb2O3-A and CsF-C (Table 2, entries 7 and 15). The observed enantioselectivity of the reaction leading to (4S,5S)-5-carbamoyl derivatives could be explained by binding of the amides to the chiral catalytic complex of e.g. ytterbium triflate with R-BINOL, followed by a preferential attack of nitrile oxide from lower si-face of the dipolarophile opposite to the chirally twisted R-BINOL-Yb(OTf)3 complex affording isoxazolines of (4S,5S) configuration (Scheme 3). This direction of enantioselectivity was found also for cesium fluoride-carbohydrate C system.
On the other hand, the opposite chiral induction indicated by opposite elution order of enantiomers of the same compound, from the chiral column and opposite sign of optical rotation, was observed in the reaction mediated by the ytterbium triflate-carbohydrate A complex. The observed enantioselectivity could be explained by a preferred attack of the nitrile oxide from upper re-face of the dipolarophile opposite to the ligand alpha-1,2-substituents affording isoxazolines of (4R,5R) configuration (Scheme 4). This chirality was observed also for the catalytic systems Yb2O3-carbohydrate A.

Absolute configuration of the carboxamides was established via Li-Selectride reduction to the known isoxazoline methanol derivative [15,18].
Biological activity
The biological activity of the compounds 6b-15h against several fungal strains was examined. Preliminary assays showed high fungistatic potency of cycloadducts 14d and 14f. Cycloadduct 14f (S,S enantiomer) showed 100% growth retardation against Alternaria alternate, Botrytis cinerea, Fusarium culmorum, Phytophtora cactorum Rhizoctonia solani and was the most active of all the tested compounds (Table 3). The reference compound (chlorothalonil) showed smaller 38% and 88% activities against these strains. The presented data show the importance of the optical purity of the screened compounds since R,R antipode of 14f was significantly less active. Similarly S,S-rich enantiomer of 14d exhibited much higher biological activity than a racemic mixture.
Analyzing structure-activity relationship (SAR) some regularities were found. Compounds with a stronger electron-withdrawing character (EWG) of a C-3 aryl substituent (CF3) and electron-donating character (EDG) of an amide group (OMe) were the most active amides, 14d (S,S) and 14f (S,S). Stronger EWG character of F atoms compared to Cl substituents at the C-3 moiety was reflected by a higher antifungal activity of 6f compared to 6e. Presence of a weaker EDG at the amide function at 14e (sec-Bu) lowered the biological activity. A similar negative effect exerted by the EDG (or hydrogen atom) at the C-3 aryl group (i.e., compounds 14g and 14h).
The antifungal activity can be correlated with lipophilicity of the compounds measured by the logarithm of octanol-water partition coefficient logP [19]. Although no simple dependence between calculated clogP and the biological activity was found, the optimal range of clogP as a measure of lipophilicity was observed and for the most potent antifungal amides clogP fell in the range 3.5-3.3 (Table 3).
We have not examined the mechanism of action of the new antifungal compounds. However, it can be tentatively assumed that described here derivatives interact with fungal wall enzymes as was recently demonstrated for the other carboxylic acid amides. [2b]
Conclusion
We have applied new chiral complexes of carbohydrates A, B, C, and R-binaphthol, with inorganic salts of metals belonging to several groups of elements, especially lanthanides to study the 1,3-dipolar cycloaddition reaction of nitrile oxides and substituted acrylamides achieving high enantioselectivity and regioselectivity for some systems. By the appropriate choice of the chiral catalysts, both enantiomers of 3-aryl-4(5)-methyl-2-isoxazolinecarboxylates can be obtained. The use of single enantiomers is highly advisable as pure or enriched enantiomers exhibiting often a much higher fungicidal activity than racemic mixtures (compounds 14d and 14f, Table 3). The type and position of the substituent on the aromatic ring of the amide fragment of the dipolarophile has a decisive influence on the reactivity in the 1,3-dipolar cycloaddition reaction of nitrile oxides. We are continuing research to diminish the amount of chiral Lewis acid from equimolar to catalytic quantities.
Experimental
Reagent grade chemicals were used without further purification unless otherwise noted. Elemental analyses were performed at the Microanalysis Laboratory of Institute of Organic Chemistry, Polish Academy of Sciences, Warsaw. Spectra were obtained as follows: IR spectra on JASCO FTIR-420 spectrometer, 1H and 13C NMR spectra on Varian 500 UNITY plus-500 and Varian 200 UNITY plus 200 spectrometers in deuterated chloroform using TMS as internal standard, and EI mass spectra on AMD M-40. In 13C NMR spectra, signals of fluorine-substituted carbon atoms and some alpha carbon atoms were not observed because of strong 19F13C coupling. In order to further characterize these compounds, 19F spectra were recorded. Flash chromatography was carried out using silica gel S 230-400 mesh (Merck) and hexanes-ethyl acetate mixtures as eluents. Hydroximinoyl acid chlorides were prepared from the corresponding aryl aldehyde oximes and NCS in DMF [10]. The enantiomeric excess of the separated regioisomers was determined by HPLC analysis (AD-H column). LogP was calculated using ACD/CNMR Predictor v.12 computer program of Advanced Chemistry Development (ACD/Labs), Toronto, Canada.
General procedure for the 1,3-dipolar cycloaddition reactions to obtain adducts 4a-f and 9-11.
A solution of chlorooxime (13 mmol) in anhydrous toluene (15 mL) was added dropwise over 30 min to a stirred mixture of anhydrous toluene (60 mL), anhydrous Et3N (6 mL), MgSO4 (2 g), and ethyl acrylate (8 mL, 80 mmol). The reaction mixture was stirred overnight at room temperature, diluted with toluene (50 mL), washed with water (5 x 50 ml), and evaporated in vacuo.
General procedure for the synthesis of isoxazoles 7.
The flask was charged with CCl4 (50 mL), 3-(4-trifluoromethylphenyl)-5-ethoxycarbonyl-2-isoxazoline (4) (2.6 mmol) and a pinch of azoisobutylnitrile. NBS (5 mmole) was added portionwise with stirring over 0.5 h. The reaction was carried out for 5 h at reflux. After cooling to room temperature (rt), a mixture of CH3COOH (1.65 mL, 27.5 mmol) and CH3COOK (4 g, 40.8 mmol) was added, the reaction was continued for 70 min at reflux. The reaction progress was monitored by TLC. Then, after cooling, the reaction mixture was poured into ice water, containing NaOH (4.86 g, 121.5 mmol) and stirred for 5 minutes. Dichloromethane (50 mL) was added, the mixture was washed with water (3 x 50 mL). The organic phase was dried over MgSO4. After filtration and evaporation the product was purified by dissolving in dichloromethane and precipitation with hexanes.
General procedure for the synthesis of amides 6a, 8a and 11 with tertiary amines (Method A1)
A solution of an amine derivative (1.2 mmol) in anhydrous dichloromethane (10 mL) was added with stirring to an acid chloride prepared from compounds 5 or 7 followed by anhydrous triethyl amine (4 mL, 30.0 mmol). The solution was stirred for 1 h at 0 °C. Water (10 mL) was added, the organic layer was washed with 3% hydrochloric acid solution and water, and was dried over magnesium sulfate. A crude amide obtained after evaporation of the solvent was purified by crystallization.
General procedure for the synthesis of amides 6b, 6c, 8b, 8f, 8g and 8i with tertiary amines (Method A2).
A solution of an aniline derivative (1.2 mmol) in anhydrous toluene (10 mL) was added with stirring to an acid chloride followed by anhydrous triethyl amine (4 mL, 30.0 mmol). The solution was stirred under reflux for 1 h and overnight at rt. Water (10 mL) was added, the organic layer was washed with 3% hydrochloric acid solution and water, and was dried over magnesium sulfate. A crude amide obtained after evaporation of the solvent was purified by crystallization.
General procedure for the synthesis of amide 8h with n-butyl lithium (Method B1)
A 2.5 M solution of n-BuLi in hexanes (0.2 mL, 0.5 mmol) was added dropwise to a stirred solution of 4-aminopyridine derivative (0.4 mmol) in anhydrous diethyl ether at -78 °C. Stirring was continued for 1 h and a solution of acid chloride (0.3 mmol) in anhydrous diethyl ether (or HMPA) was added dropwise. The mixture was stirred for 2 h at -78 °C and for 0.5 h at 0 °C. The reaction was quenched with ammonium chloride solution, product was extracted with methylene chloride and purified by flash chromatography.
General procedure for the synthesis of amides 6d, 6e, 6f, 8c, 8d, 8e, 9 and 10 with tert-butyl lithium (Method B2)
A 1.7 M solution of tert-BuLi in hexanes (0.2 mL, 0.5 mmol) was added dropwise to a stirred solution of 4-aminopyridine derivative (0.4 mmol) in anhydrous diethyl ether at 0 °C. Stirring was continued for 1 h and a solution of acid chloride (0.3 mmol) in anhydrous diethyl ether (or HMPA) was added dropwise. The mixture was stirred for 5 h at 0 °C and overnight at rt. The reaction was quenched with ammonium chloride solution, the product was extracted with methylene chloride and purified by flash chromatography.
General procedure for the synthesis of dipolarophile amides 13a-h
A solution of an aniline derivative (1.2 mmol) in anhydrous toluene (or anhydrous dichloromethane) (10 mL) was added with stirring to an acid chloride (1.0 mmol) followed by an anhydrous triethylamine (30 mmol) at rt. The obtained solution was stirred under reflux for 1 h and overnight at rt. Water (10 mL) was added, the organic layer was separated, washed with 3% hydrochloric acid solution and water, and was dried over magnesium sulfate. Product was extracted with dichloromethane and purified by flash chromatography.
General procedure for the enantioselective cycloaddition to carboxamides 14a, 14b, 14c-h, and 15c-h.
A mixture of carbohydrate A (1.0 mmol) and Yb(OTf)3 (1.0 mmol) in dry dichloromethane was stirred at rt for 30 min. Dipolarophile (1 mmol) was added dropwise followed by a solution of dipole in the same solvent generated by passing a hydroximinoyl chloride solution through a column of Amberlyst A-21 over 2030 min. The solution was stirred at rt for ca. 20 h, and water was added to quench the reaction followed by the usual work-up. The crude product was purified by flash column chromatography over silica gel and the enantiomeric excess of the separated regioisomers was determined by HPLC analysis (AD-H column).
N-(3-Bromopropyl)-3-(2,3,6-trichlorophenyl)-4,5-dihydro-1,2-oxazole-5-carboxamide (6a). A greenish oil. 1H NMR (CDCl3, 200 MHz) d 7.65 (m, 3H, NH, H-4", H-5"), 5.26-5.18 (m, 1H, H-5), 3.76-3.36 (m, 6H, H-4, -CH2Br, -CH2NH], 2.11 (sept. J = 6.5 Hz, 2H, BrCH2CH2CH2NH). Anal. Calcd for C13H12BrCl3N2O2: C 37.67: H 2.92. Found: C 37.98; H .2.97.
N-(2-Bromophenyl)-3-(2,3,6-trichlorophenyl)-4,5-dihydroisoxazole-5-carboxamide (6b). A colorless glass. IR (KBr) νmax 3357, 3080, 2920, 2840, 1699, 1650, 1591, 1521, 1438, 1400, 1304, 1180, 1150, 1040, 1020, 950, 870, 817, 735 cm-1; 1H NMR (CDCl3, 200 MHz) d 9.16 (s, 1H, NH), 8.33 (dd, J = 8.3; 1.6 Hz, 1H, H-3"), 7.58 (dd, J = 8.2; 1.6 Hz, 1H, H-6"), 7.50 (d, J = 8.8 Hz, 1H, H-4'), 7.36 (td, J = 8.3; 1.6 Hz, 1H, H-4"), 7.33 (d, J = 8.8 Hz, 1H, H-3'), 7.04 (td, J = 8.3; 1.6 Hz, 1H, H-5"), 5.38 (dd, J = 11.0; 5.3 Hz, 1H, H-5), 3.74 (d, J = 11.0 Hz, 1H, H-4), 3.69 (d, J = 5.3 Hz, 1H, H-4). Anal. Calcd for C16H10BrCl3N2O2: C 42.85: H 2.25. Found: C 42.63; H .2.56.
N-(3-Bromophenyl)-3-(2,3,6-trichlorophenyl)-4,5-dihydroisoxazole-5-carboxamide (6c). A greenish pulp. IR (KBr) νmax 3480, 3373, 3080, 2920, 1685, 1620, 1591, 1530, 1480, 1450, 1400, 1303, 1280, 1180, 1140, 1070, 1040, 990, 870, 820, 774, 680 cm-1; 1H NMR (CDCl3, 200 MHz) d 8.54 (s, 1H, NH), 7.89 (t, J = 2.0 Hz, 1H, H-2“), 7.51 (d, J = 8.7 Hz, 1H, H-4‘), 7.34 (d, J = 8.7 Hz, 1H, H-5'), 7.24 (d, J = 8.1 Hz, 1H, H-4"), 7.00 (td, J = 8.1; 0.7 Hz, 1H, H-5"), 6.86 (dm, J = 8.1 Hz, 1H, H-6"), 5.34 (dd, J = 10.9; 5.5 Hz, 1H, H-5), 3.73 (d, J = 10.9 Hz, 1H, H-4), 3.68 (d, J = 5.5 Hz, 1H, H-4). 13C NMR (CDCl3, 50 MHz) d 168.92, 155.70, 138.06, 132.33, 130.60, 128.91, 128.31, 123.23, 118.74, 79.34 (C-5), 42.21 (C-4). Anal. Calcd for C16H10BrCl3N2O2: C 42.85: H 2.25. Found: C 42.68; H .2.48.
3-(2,3,6-Trichlorophenyl)-4,5-dihydroisoxazole-5-carboxylic acid 2-trifluorometoxy-4-bromophenylamide (6d). A greenish wax. IR (KBr) νmax 3395, 3120, 2960, 2928, 2850, 1702, 1640, 1519, 1519, 1440, 1400, 1303, 1250, 1211, 1190, 1150, 1080, 1044, 941, 879, 818, 753, 730, 670 cm-1; 1H NMR (CDCl3, 200 MHz) d 8.94 (s, 1H, NH), 8.33 (d, J = 9.2 Hz, 1H, H-6"), 7.94 (d, J = 8.8 Hz, 1H, H-5'), 7.53-7.43 (m, 3H, H-4', H-3", H-5"), 5.35 (dd, J = 10.8; 5.8 Hz, 1H, H-5), 3.72 (d, J = 10.8 Hz, 1H, H-4), 3.68 (d, J = 5.8 Hz, 1H, H-4). 13C NMR (CDCl3, 50 MHz) d 168.95, 155.33, 138.81, 133.32, 132.91, 132.44, 132.15, 131.83, 130.74, 128.93, 128.78, 128.72, 124.73, 124.05, 122.78, 122.07, 117.793, 116.94, 79.17, 41.91. ESI MS m/z (rel. int.) 532 [M+] (95). Anal. Calcd for C17H9 BrCl3F3N2O3: C 38.34: H 1.70. Found: C 38.09; H .1.56.
N-(5-Chloro-2,3,6-trifluoropyridin-4-yl)-3-(2,3,6-trichlorophenyl)-4,5-dihydroisoxazole-5-carboxamide (6e). A white-brownish semisolid. IR (KBr) νmax 3490, 3350, 3256, 3080, 2925, 2850, 1715, 1623, 1500, 1474, 1440, 1400, 1320, 1270, 1240, 1203, 1182, 1150, 1100, 1067, 1042, 1021, 869, 818, 760, 703, 675 cm-1; 1H NMR (CDCl3, 200 MHz) d 8.81 (s, 1H, NH), 7.53 (d, J = 8.7 Hz, 1H, H-4'), 7.35 (d, J = 8.7 Hz, 1H, H-5'), 5.46 (dd, J = 10.8; 5.5 Hz, 1H, H-5), 3.77 (d, J = 10.8 Hz, 1H, H-4a), 3.73 (d, J = 5.5 Hz, 1H, H-4b). ESI MS m/z calcd for C15H6N3O2F3Cl4Na: 479.9064. Found: 479.9026. Anal. Calcd for C15H6Cl4F3N3O3: C 39.25; H 1.32. Found: C 39.09; H .1.46.
N-(2,6-Difluoro-3,5-dichloropyridin-4-yl)-3-(2,4,5-trifluorophenyl)-4,5-dihydroisoxazole-5-carboxamide (6f). A white-brownish semisolid. IR (KBr) νmax 3360, 3280, 3080, 2915, 2850, 1709, 1630, 1597, 1540, 1512, 1485, 1437, 1409, 1373, 1260, 1230, 1191, 1140, 1060, 1040, 1005, 916, 890, 804, 781, 735 cm-1; 1H NMR (CDCl3, 200 MHz) d: 8.59 (1H, NH), 7.72 (m, 1H, H-6'), 7.05 (td, J = 10.2; 6.3 Hz, 1H, H-3'), 5.36 (t, J = 8.4 Hz, 1H, H-5), 3.87 (d, J = 8.4 Hz, 1H, H-4a), 3.86 (d, J = 8.4 Hz, 1H, H-4b). ESI-MS m/z calcd for C15H6O2N3F5Cl2Na: 447.9655. Found: 447.9655. Anal. Calcd for C15H6 Cl2F5N3O2: C 42.28; H 1.42. Found:
C 42.07; H .1.59.
N,N-Diisopropyl-3-(4-trifluoromethylphenyl)-4,5-dihydroisoxazole-5-carboxamide (8a). A colorless glass. IR (KBr) νmax 3440, 3121, 2974, 2910, 1645, 1478, 1437, 1380, 1323, 1175, 1120, 1063, 1040, 1020, 990, 951, 920, 846, 820, 760, 690 cm-1; 1H NMR (CDCl3, 200 MHz) d 7.95 (d, J = 8.2 Hz, 1H, H-3', H-5'), 7.75 (d, J = 8.2 Hz, 2H, H-2', H-6'), 4.11 (m, 1H, CH, CH(CH3)2), 3.63 (m, 1H, CH, CH(CH3)2), 1.54 (d, J = 6.2 Hz, 6H, HC(CH3)2), 1.31 (d, J = 6.2 Hz, 6H, HC(CH3)2). 13C NMR (CDCl3, 50 MHz) d 167.27 (C=O), 161.33 (C-3), 157.94 (C-5), 132.66 (C-1‘), 131.97 (m, C-4‘), 127.40 (2C, C-2‘, C-6‘), 126.23 (q, J = 3.6 Hz, 2C, C-3‘, C-5‘), 104.10 (C-4), 50.93 (HC(CH3)3), 47.07 (HC(CH3)3), 21.17 (2C, CH, HC(CH3)2), 20.39 (2C, HC(CH3)2). 19F NMR (CDCl3, 471 MHz) d -63.35 (s, 3F, F3C-Ar). ESI MS m/z calcd for C17H19O2N2F3Na: 363.1296. Found: 363.1262.
N-Cyclohexyl-3-(4-trifluoromethylphenyl)isoxazole-5-carboxamide (8b). A yellowish semisolid. IR (KBr) νmax 3460, 3318, 3287, 3160, 2936, 2854, 1650, 1536, 1521, 1450, 1438, 1326, 1283, 1260, 1240, 1181, 1135, 1115, 1095, 1070, 1020, 950, 832, 782, 761, 670 cm-1; 1H NMR (CDCl3, 200 MHz) d 7.96 (d, J = 8.4 Hz, 2H, H-5', H-3'), 7.75 (d, J = 8.4 Hz, 2H, H-6', H-2'), 7.28 (s, 1H, H-4), 6.53 (s, 1H, NH), 3.99 (m, 1H, -CH, NHCH(CH)2, H-1"), 2.07-1.08 (m, 10H, -CH2, H-2", H-3", H-4", H-5", H-6"). Anal. Calcd for C17H17F3N2O2: C 60.35; H 5.06. Found: C 60.07; H .5.27.
N-(4-Chloro-3-nitrofenyl)-3-(4-trifluoromethylphenyl)isoxazole-5-carboxamide (8c). A white-brownish solid. mp. 217-219 oC. IR (KBr) νmax 3416, 3100, 2920, 2880, 1696, 1615, 1595, 1534, 1480, 1438, 1350, 1325, 1245, 1175, 1132, 1067,1019, 950, 850, 828, 755, 680 cm-1; 1H NMR (CDCl3, 200 MHz) d 8.48 (s, 1H, NH), 8.40 (d, J = 2.6 Hz, 1H, H-2"), 7.99 (d, J = 8.1 Hz, 2H, H-5', H-3'), 7.83 (dd, J = 8.7; 2.6 Hz, 1H, H-6"), 7.79 (d, J = 8.1 Hz, 2H, H-6', H-2'), 7.59 (d, J = 8.7 Hz, 1H, H-5"), 7.44 (s, 1H, H-4). Anal. Calcd for C17H9ClF3N3O4: C 49.59; H 2.20. Found: C 49.41; H .2.38.
N-(2-Chloro-5-nitrofenyl)-3-(4-trifluoromethylphenyl)isoxazole-5-carboxamide (8d). A white semisolid. IR (KBr) νmax 3376, 3300, 3150, 2925, 2850, 1703, 1678, 1618, 1595, 1536, 1460, 1440, 1421, 1348, 1327, 1275, 1241, 1163, 1128, 1069,1018, 950, 870, 848, 740 cm-1; 1H NMR (CDCl3, 200 MHz) d 9.44 (d, J = 2.5 Hz, 1H, H-6"), 8.97 (s, 1H, NH), 8.05 (dd, J = 8.8; 2.5 Hz, 1H, H-4"), 8.01 (d, J = 8.2 Hz, 2H, H-5', H-3'), 7.79 (d, J = 8.2 Hz, 2H, H-6', H-2'), 7.66 (d, J = 8.8 Hz, 1H, H-3"), 7.47 (s, 1H, H-4). Anal. Calcd for C16H10BrCl3N2O2: C 42.85; H 2.25. Found: C 42.99; H .2.41.
N-(2-Chloro-4-trifluoromethyl-6-nitrophenyl)-3-(4-(trifluoromethylphenyl)isoxazole-5-carboxamide (8e). A white-brownish semisolid. IR (KBr) νmax 3444, 3280, 3080, 2920, 1687, 1618, 1549, 1510, 1440, 1400, 1360, 1326, 1270, 1240, 1170, 1133, 1071,1020, 950, 900, 830, 751, 680 cm-1; 1H NMR (CDCl3, 200 MHz) d 9.01 (s, 1H, NH), 8.25 (d, J = 2.0 Hz, 1H, H-5"), 8.06 (d, J = 2.0 Hz, 1H, H-3"), 7.99 (d, J = 8.3 Hz, 2H, H-3', H-5'), 7.79 (d, J = 8.3 Hz, 1H, H-2', H-6'), 7.45 (s, 1H, H-4). Anal. Calcd for C18H8ClF6N3O4: C 45.07; H 1.68. Found: C 45.31; H .1.51.
N-(Pyridin-4-yl)-3-(4-trifluoromethylphenyl)isoxazole-5-carboxamide (8f). A grey wax. Mp. 247-249 oC. IR (KBr) νmax 3418, 3360, 3120, 2940, 2830, 1686, 1591, 1514, 1440, 1417, 1334, 1293, 1240, 1170, 1114, 1071, 1020, 1000, 950, 890, 822, 750 cm-1; 1H NMR (CDCl3, 200 MHz) d 8.63 (m, 2H, H-3", H-5"), 8.49 (s, 1H, -NH), 7.99 (d, J = 7.7 Hz, 2H, H-3', H-5'), 7.78 (d, J = 7.7 Hz, 2H, H-2', H-6'), 7.68 (m, 2H, H-2", H-6"), 7.47 (s, 1H, H-4). 13C NMR (CDCl3, 50 MHz) d 163.75 (C=O), 161.71 (C-3), 154.55 (C-5), 150.46 (2C, C-2“, C-6“), 144.63 (C-4“), 131.41 (C-1‘), 130.68 (q, J = 31.6 Hz, C-4‘), 127.61 (2C, C-2‘, C-6‘), 126.17 (q, J = 4.0 Hz, 2C, C-3‘, C-5‘), 114.28 (2C, C-3“, C-5“), 106.53 (C-4). 19F NMR (CDCl3, 471 MHz) d -61.85 (s, 3F, F3C-Ar). Anal. Calcd for C16H16F3N3O2: C 57.66; H 3.02. Found: C 57.49; H .2.89.
N-(Furan-2-yl-methyl)-3-(4-trifluoromethylphenyl)isoxazole-5-carboxamide (8g). A white-brownish solid: mp. 188-190 oC. IR (KBr) νmax 3437, 3296, 3052, 2937, 1670, 1622, 1538, 1525, 1502, 1435, 1418, 1384, 1332, 1297, 1269, 1253, 1197, 1122, 1076, 1066, 1032, 1019, 997, 953, 937, 924, 848, 771, 747, 697 cm-1; 1H NMR (CDCl3, 200 MHz) d 7.95 (d, J = 8.1 Hz, 2H, H-5', H-3'), 7.75 (d, J = 8.1 Hz, 2H, H-6', H-2'), 7.41 (dd, J = 10.0; 1.8 Hz, 1H, -OCH=), 7.29 (s, 1H, H-4), 6.92 (s, 1H, NH), 6.36 (m, 2H, C=CH-CH=C), 4.67 (d, J = 5.6 Hz, 2H, CH2, CH2NH). 13C NMR (CDCl3, 50 MHz) d 164.26 (C=O), 162.48, 155.55, 150.02, 142.96, 127.51 (s, 2C, C-2', C-6'), 126.5 (q, J = 3.6 Hz, 2C, C-3', C-5'), 110.83, 108.58, 105.63, 36.67. 19F NMR (CDCl3, 471 MHz) d -63.39 (s, 3F, F3C-Ar). ESI-MS m/z calcd for C16H11O3N2F3Na: 359.0620. Found: 359.0625.
4-Benzyloxazolidinone-2-3-(4-trifluoromethylphenyl)isoxazole-5-carboxamide (8h). It was obtained as a white-brownish solid from 4-benzyloxazolidinone-2 derivative [17]: mp: 156-159 oC. IR (KBr) νmax 3122, 3040, 3000, 1802, 1777, 1690, 1571, 1490, 1456, 1434, 1389, 1357, 1323, 1244, 1210, 1168, 1120, 1063, 1020, 952, 843, 770, 720, 701, 695 cm-1; 1H NMR (CDCl3) d 7.98 (d, J = 8.1 Hz, 2H, H-5', H-3'), 7.76 (d, J = 8.1 Hz, 2H, H-6', H-2'), 7.37 (s, 1H, H-4), 7.29 (m, 5H, H-2", H-3", H-4", H-5", H-6"), 4.90 (m, 1H, H-11, CH, CH2CHCH2), 4.37 (d, J = 10.8 Hz, 1H, H-10a, CH2, OCH2CH), 4.34 (d, J = 7.5 Hz, 1H, H-10b, CH2, OCH2CH), 3.47 (dd, J = 13.4; 3.5 Hz, H-12b, CH2, ArCH2CH), 2.95 (dd, J = 13.4; 9.2 Hz, 1H, H-12a). 13C NMR (CDCl3, 50.3 MHz) d 161.81 (C=O), 161.67, 156.64, 152.19, 134.65, 131.60, 129.63, 129.34, 127.88, 127.51 (s, 2C, C-2', C-6'), 126.3 (q, J = 3.6 Hz, 2C, C-3', C-5'), 107.73, 67.23, 56.27, 37.68. 19F NMR (CDCl3, 471 MHz) d -63.32 (s, 3F, F3C-Ar). ESI MS m/z calcd for C21H15O4N2F3Na: 439.0882. Found: 439.0860.
Pyrrolidine-3-(4-trifluoromethylphenyl)isoxazole-5-carboxamide (8i). A white-brownish solid: mp. 164-166 oC. IR (KBr) νmax 3116, 2977, 2887, 1626, 1595, 1467, 1438, 1413, 1383, 1326, 1320, 1228, 1157, 1125, 1114, 1064, 1016, 950, 933, 884, 850, 756, 694 cm-1; 1H NMR (CDCl3) d 7.97 (d, J = 8.6 Hz, 2H, H-5', H-3'), 7.75 (d, J = 8.6 Hz, 2H, H-2', H-6'), 7.25 (s, 1H, H-4), 3.95 (t, J = 6.6 Hz, 2H, H-5a, H-8a), 3.70 (t, J = 6.6 Hz, 2H, H-5a, H-8b), 2.02 (m, 4H, H-6, H-7). 13C NMR (CDCl3, 50 MHz) d 166.27, 161.47, 155.56, 131.98, 131.84, 127.37 (s, 2C, C-2', C-6'), 126.2 (q, J = 3.6 Hz, 2C, C-3', C-5'), 106.68, 47.98, 47.44, 26.51, 23.84. 19F NMR (CDCl3, 471 MHz) d -63.39 (s, 3F, F3C-Ar). ESI MS m/z Calcd for C15H13O2N2F3Na: 333.0827. Found: 333.0828.
N-(4-Trifluoromethyl-2-chloro-6-nitrophenyl)-3-(tert-butyl)-4,5-dihydroisoxazole-5-carboxamide (9). A greyish semisolid by method B2, 12%. 1H NMR (CDCl3, 200 MHz) d 9.14 (s, 1H, NH), 8.14 (d, J = 1.4 Hz, 1H, H-5'), 7.97 (d, J = 1.4 Hz, 1H, H-3'), 5.13 (dd, J = 9.7; 6.5 Hz, 1H, H-5), 3.40 (d, J = 9.7 Hz, 1H, H-4), 3.39 (d, J = 6.5 Hz, 1H, H-4), 1.26 (s, 9H, C(CH3)3)). Anal. Calcd for C15H15ClF3N3O4: C 45.76; H 3.84. Found: C 46.00; H .3.61.
N-(4-Trifluoromethyl-2,6-dichlorophenyl)-3-(tert-butyl)-4,5-dihydroisoxazole-5-carboxamide (10). A yellowish solid, method B2, 15%: mp. 98-103 oC. IR (KBr) νmax 3437, 2970, 1691, 1497, 1391, 1323, 1170, 1133, 880, 813 cm-1; 1H NMR (CDCl3, 200 MHz) d 8.44 (s, 1H, NH), 7.65 (s, 2H, H-3', H-5'), 5.17 (t, J = 7.9 Hz, 1H, H-5), 3.42 (d, J = 7.9 Hz, 2H, H-4) 1.24 (s, 9H, (CH3)3C). 13C NMR (CDCl3, 50 MHz) d 169.92 (C=O), 167.28 (C-3), 134.54 (C-1'), 134.22 (C-4'), 131.50 (2C, C-2', C-6'), 130.82, 125.68 (C-3'), 125.60 (C-5'), 78.22 (C-5), 39.62 (C-4), 33.23 (C(CH3)3), 28.06 (3C, (CH3)3C). 19F NMR (CDCl3, 471 MHz) d -63.39 (3F, F3C-Ar). Anal. Calcd for C14H15Cl2F3N2O2: C 47.02; H 3.95. Found: C 47.32; H 4.02.
N,N-Diisopropyl-3-(tert-butyl)-4,5-dihydroisoxazole-5-carboxamide (11). A greyish semisolid, method A1, 98%. IR (KBr) νmax 2969, 1647, 1446, 1368, 1300, 1212, 1160, 1136, 1043, 874, 818, 755 cm-1; 1H NMR (CDCl3, 200 MHz) d 5.11 (dd, J = 10.9; 8.8 Hz, 1H, H-5), 4.30 (sept., J = 6.6 Hz, 1H), 3.80 (dd, J = 16.9; 10.9 Hz, 1H, H-4), 3.47 (sept., J = 6.7 Hz, 1H, CH(CH3)2), 3.44 (m, J = 6.7 Hz, 1H, CH(CH3)2), 2.92 (dd, J = 16.9; 10.9 Hz, 1H, H-4), 1.47 (d, J = 6.7 Hz, 6H, CH(CH3)2), 1.41 (d, J = 6.7 Hz, 3H, HCCH3) 1.40 (d, J = 6.7 Hz, 3H, HCCH3), 1.23 (s, 9H, C(CH3)3). EI MS m/z (rel. int.) 254 [M+] (9), 224 (M+ - 2xCH3, 5), 126 (M+ - (O=C-N(CH(CH3)2), 50). Anal. Calcd for C14H26N2O2: C 66.10; H 10.30. Found: C 66.40; H 10.11.
N-Phenylacrylamide (13a). A yellowish semisolid, 35 %. IR (neat) νmax 3430, 3307, 3295, 3200, 3144, 3100, 3060, 1666, 1640, 1607, 1552, 1497, 1443, 1408, 1333, 1298, 1254, 1202, 1067, 986, 960, 940, 900, 840, 800, 755, 688 cm-1; 1H NMR (CDCl3, 200 MHz) d 7.85 (s, 1H, HNC=O), 7,59 (d, J = 7.8 Hz, 2H, H-2‘, H-6‘), 7.30 (m, 2H, H-3‘, H-5‘), 7,11 (t, J = 7.4 Hz, 1H, H-4‘), 6.42 (dd, J = 16.8; 2.1 Hz, 1H, H-3a, H2C=CC=O), 6.30 (dd, J = 16.8; 9.4 Hz, 1H, H-3b, H2C=CC=O), 5.73 (dd, J = 9.4; 2.1 Hz, 1H, -C=CHC=O). EI MS m/z (rel. int.) 147 [M+], 93 (HNC6H5 + H), 77 (C6H5), 55 (O=CCH=CH2). Anal. Calcd for C9H9NO: C 73.45; H 6.16. Found: C 73.1; H .6.11.
Carboxamides 13b and 13d were described [15]. N-(4-sec-Butylphenyl)acrylamide (13c). A yellowish semisolid, 30 %. 1H NMR (CDCl3, 500 MHz) d 7.51 (d, J = 8.3 Hz, 2H, H-2‘, H-6‘), 7.12 (d, J = 8.3 Hz, 2H, H-3‘, H-5‘), 6.40 (d, J = 17.0 Hz 1H, H-3a, H2C=CC=O), 6.27 (dd, J = 17.0; 10.5 Hz, 1H, H-3b, H2C=CC=O), 5.70 (dd, J = 10.5; 1.5 Hz, 1H, H-2, C=CHC=O), 2.58 (m, J = 7.0 Hz, 1H, H3CCHCH2), 1.58 (quint., J = 7.0 Hz, 2H, H3CH2CCH), 1.20 (d, J = 7.0 Hz, 3H, H3CCH), 0.81 (t, J = 7.0 Hz, 3H, H3CCH2). HR ESI MS m/z Calcd for C13H17NONa: 226.1208. Found: 226.1214. Anal. Calcd for C13H17NO: C 76.81; H 8.43. Found: C 76.50: H .8.21.
N-(3-Methoxyphenyl)crotonamide (13g). A yellowish wax, 12 %, method A2. IR (KBr) νmax 3420, 3285, 2960, 2910, 2830, 1665, 1605, 1524, 1485, 1450, 1434, 1320, 1271, 1214, 1150, 1035, 960, 870, 830, 777, 750, 720, 680 cm-1; 1H NMR (200 MHz, CDCl3) d 9.33 (s, 1H, NH), 7.40-6.65 (m, 5H, H-2‘, H-4‘, H-5‘, H-6‘, H3C-CH=C), 5.94 (d, J = 15.2 Hz, 1H, CH, O=CHC=C), 3.81 (s, 3H, H3CO), 1.82 (d, J = 6.8 Hz, 3H, H3C-CH=C). Anal. Calcd for C11H13NO2: C 69.09: H 6.85. Found: C 69.19: H .6.61.
N-(4-Trifluoromethylphenyl)crotonamide (13h). A yellowish semisolid, 10 %, method A2. 1H NMR (CDCl3, 200 MHz) d 7.70 (m, 1H, -NH), 7.69 (d, J = 8.0 Hz, 2H, H-5‘, H-3‘), 7.56 (d, J = 8.0 Hz, 2H, H-2‘, H-6‘), 7.03 (m, J = 14.9; 6.5 Hz, 1H, H-3, H3C-CH=C), 5.97 (d, J = 14.9 Hz, 1H, H-2, O=CHC=C), 1.91 (d, J = 6.5 Hz, 3H, H3C-CH=C). Anal. Calcd for C11H10F3NO: C 57.64: H 4.40. Found: C 57.89: H .4.57.
N-Phenyl-3-(4-trifluoromethylphenyl)-4,5-dihydroisoxazole-5-carboxamide (14a). A yellowish semisolid, 30 %. 1H NMR (CDCl3, 200 MHz) d 8.48 (s, 1H, HN-C=O), 7.81 (d, J = 8.2 Hz, 2H, H-2‘, H-6‘), 7.69 (d, J = 8.2 Hz, 2H, H-3‘, H-5‘), 7.57 (d, J = 8.0; 1.7 Hz, 2H, H-2“, H-6“), 7.34 (td, J = 8.0; 1.7 Hz, 2H, H-3“, H-5“), 7.15 (td, J = 8.0; 1.7 Hz, 1H, H-4“), 5.32 (dd, J = 10.9; 6.4 Hz 1H, H-5), 3.82 (d, J = 6.2 Hz, 1H, H-4a), 3.79 (d, J = 10.9 Hz, 1H, H-4b). EI-MS m/z (%) 334 (M+), 315 (M+-F), 214 [M+- C=ONHC6H5], 145 (F3CC6H4), 93 (M+-HNC6H5), 77 (C6H5). Anal. Calcd for C17H13F3N2O2: C 61.08; H 3.92. Found: C 60.80: H .4.17.
N-(4-sec-Butylphenyl)-3-(4-trifluoromethylphenyl)-4,5-dihydroisoxazole-5-carboxamide (14b). A colorless glass, 40 %. 1H NMR (CDCl3, 200 MHz) d 8.48 (s, 1H, HNC=O), 7.78 (d, J = 8.0 Hz, 2H, H-2‘, H-6‘), 7.67 (d, J = 8.0 Hz, 2H, H-3‘, H-5‘), 7.48 (d, J = 8.3 Hz, 2H, H-2“, H-6“), 7.14 (d, J = 8.3 Hz, 2H, H-3“, H-5“), 5.30 (dd, J = 11.8; 5.2 Hz 1H, H-5), 3.83 (dd, J = 17.3; 5.2 Hz, 1H, H-4a), 3.73 (dd, J = 17.3; 11.8 Hz, 1H, H-4b), 2.56 (quint., J = 7.0 Hz, 1H, H3CCHCH2), 1.58 (m, 2H, H3CCH2CH), 1.20 (d, J = 7.0 Hz, 3H, H3CCH), 0.79 (t, J = 7.5 Hz, 3H, H3CCH2). HR ESI MS m/z Calcd for C21H21F3N2O2Na: 413.1453. Found: 413.1434. Anal. Calcd for C21H21F3N2O2: C 64.61; H 5.42. Found: C 64.78; H 5.37.
Compounds 14c-g and 15c-g were described [15]. N-(2-Methoxyphenyl)-4-methyl-3-phenyl-4,5-dihydroisoxazole-5-carboxamide (14h). A colorless glass. {[α]D 45o, (c 0.9. in acetone) [87.0% ee, (R,R) rich]}, {[α]D + 40o, (c 0.76 in acetone) [96.0% ee, (S,S) rich]}. IR (KBr) νmax 3398, 3380, 3080, 3040, 2910, 2860, 1687, 1603, 1536, 1490, 1463, 1440, 1328, 1295, 1254, 1115, 1024, 874, 760, 743, 697 cm-1; 1H NMR (CDCl3, 200 MHz) d 9.16 (s, 1H, NH), 8.4-6.8 (m, 9H, H-6', H-2', H-5', H-3', H-4‘, H-6", H-4", H-5", H-3"), 4.84 (d, J = 3.4 Hz, 1H, H-5), 4.18 (dq, J = 7.3; 3.4 Hz, 1H, H-4), 3.88 (s, 3H, H3CO), 1.48 (d, J = 7.3 Hz, 3H, H3CCH). HR ESI MS m/z Calcd for C18H18N2O3Na: 333.1215. Found: 333.1219.
N-(2-Methoxyphenyl)-5-methyl-3-phenyl-4,5-dihydroisoxazole-4-carboxamide (15h). A colorless glass. IR (KBr) νmax 3446, 3080, 3005, 2980, 2910, 2840, 1687, 1600, 1533, 1490, 1460, 1440, 1380, 1340, 1290, 1255, 1220, 1180, 1120, 1024, 920, 950, 805, 757, 697 cm-1; 1H NMR (CDCl3, 200 MHz) d 8.3-6.8 (m, 9H, H-6“, H-5', H-4‘, H-3', H-2', H-6', H-5", H-4", H-3"), 5.19 (qd, J = 6.4; 4.4 Hz, 1H, H-5), 4.09 (d, J = 4.4 Hz, 1H, H-4), 3.72 (s, 3H, H3CO), 1.48 (d, J = 6.4 Hz, 3H, H3CCH). HR ESI MS m/z Calcd for C18H18N2O3Na: 333.1215. Found: 333.1214.
Fungicidal testing
The compounds were screened for fungicidal activity in vitro test carried out for Fusarium culmorum Sacc., Phytophthora cactorum Schroek, Alternaria alternata Keissl.(Fr.), Rhizoctonia solani Kuhn, Botrytis cinerea Pers. Ex Fr, which involved determination of mycelial growth retardation in potato-glucose agar (PGA). Stock solutions of test chemicals in acetone were added to agar medium to give a concentration of 200 μg mL-1 and dispersed into Petri dishes. Four discs containing test fungus were placed at intervals on the surface of the solidified agar and the dishes were then inoculated for 4-8 days depending on the growth rate of the control samples, after which fungal growth was compared with that in untreated control samples. The fungicidal activity was expressed as the percentage of plant infection compared to that on the control. The results of the screening are given in Table 3.
Acknowledgment
This work was supported in part by the Polish Ministry of Science and Higher Education Research (Grant 429/E-142/S/2010), which is gratefully acknowledged.
References
1. Hewitt, H. G. Fungicides in crop protection, Cab International: Cambridge. 1998. [ Links ]
2. a) Yang, C.; Hamel, C.; Vujanovic, V.; Gan, Y. ISRN Ecology. 2011, 1-8; [ Links ] b) Du, X.-J; Bian, Q.; Wang, H.-X.; Yu, S.-J.; Kou, J.-J.; Wang, Z.-P.; Li, Z.-M.; Zhao, W-G. Org. Biomol. Chem. 2014, 12, 5427-5434. [ Links ]
3. White, H. Conference of British Crop Protection Council at Brighton. 1999. [ Links ]
4. Wielkopolski, W.; Śmieszek, R.; Witek, R. S. Pest. Sci. 1994, 40, 107-112. [ Links ]
5. Gucma, M.; Gołębiewski, W. M. Monatsh. Chem. 2010, 141, 461-469. [ Links ]
6. Gucma, M.; Gołębiewski, W. M.; Morytz, B.; Charville, H.; Whitting, A. Lett. Org. Chem. 2010, 7, 502-507. [ Links ]
7. Pejković-Tadić, I.; Hranisavljevic-Jakovljevic, M.; Nesic, S.; Pascual, C.; Simon, W. Helv. Chim. Acta. 1965, 48, 1157-1160. [ Links ]
8. Sun, R.; Lu, M.; Chen, L.; Li, Q.; Song, H.; Bi, F.; Huang, R.; Wang, Q. J. Agric. Food Chem. 2008, 56, 11376-11391. [ Links ]
9. McCarroll, A. J.; Walton, J. C. J. Chem. Soc. Perkin Trans. 2. 2000, 2399-2409. [ Links ]
10. Liu, K.-C.; Shelton, B. R.; Howe, R. K. J. Org. Chem. 1980, 45, 3916-3918. [ Links ]
11. Bast, K.; Christl, M.; Huisgen, R.; Mack, W.; Sustman, R. Chem. Ber. 1973, 106, 3258-3274. [ Links ]
12. Sibi, M. P.; Itoh, K.; Jasperse, C. P. J. Am. Chem. Soc. 2004, 126, 5366-5367. [ Links ]
13. Bianchi, G.; Grünanger, P. Tetrahedron. 1965, 21, 817-822. [ Links ]
14. Golebiewski, W. M.; Gucma, M. J. Heterocycl. Chem. 2006, 43, 509-513. [ Links ]
15. Gucma, M.; Gołębiewski, W. M. Catal. Sci. Technol. 2011, 1, 13541361. [ Links ]
16. Gucma, M.; Gołębiewski, W. M.; Krawczyk, M. RSC Advances. 2015, 5, 13112-13124. [ Links ]
17. Golebiewski, W. M.; Gucma, M. J. Heterocycl. Chem. 2008, 45, 1687-1693. [ Links ]
18. Yoshida, Y; Ukaji, Y.; Fujinami, S.; Inomata, K. Chem. Lett. 1998, 1023-1024. [ Links ]
19. Leo, A. J. Chem. Rev. 1993, 93, 1281-1306. [ Links ]












