Servicios Personalizados
Revista
Articulo
Indicadores
-
Citado por SciELO -
Accesos
Links relacionados
-
Similares en
SciELO
Compartir
Journal of the Mexican Chemical Society
versión impresa ISSN 1870-249X
J. Mex. Chem. Soc vol.58 no.2 Ciudad de México abr./jun. 2014
Article
"In Situ" Generated "HCl": A Highly Efficient Catalyst for One-Pot Synthesis of 1H -Indazolo [1,2-b]phthalazine-1,6,11-triones and 1H- pyrazolo[1,2-b]phthalazine-5,10-diones under Solvent-Free Conditions
Behrooz Maleki*, and Samaneh Sedigh Ashrafi
Department of Chemistry, Hakim Sabzevari University, Sabzevar 96179-76487, Iran. b.maleki@hsu.ac.ir
Received November 23rd, 2013
Accepted February 26th, 2014
Abstract
The rapid and environmental synthetic route to produce 1H-indazolo[1,2-b] phthalazine-1,6,11-triones and 1H-pyrazolo[1,2-b]phthalazine-5,10-diones derivatives have been developed via multi-component and one-pot reactions of various aldehydes, cyclic or acyclic 1,3-diketones with: i) phthalhydrazide or ii) phthalic anhydride-hydrazinium hydroxide using wet 2,4,6-trichlorotriazine (TCT) as catalyst under solvent-free conditions. Simple and mild reaction conditions, the use of a cheap catalyst and easy workup and isolation are notable features of this method.
Key words: 1H-Indazolo[1,2-b]phthalazine-1,6,11-triones, 1H-pyrazolo[1,2-b]phthalazine-5,10-diones, 2,4,6-trichlorotriazine, 1,3-diketones, phthalhydrazide, aldehydes, solvent-free reactions.
Resumen
Se desarrolló una ruta sintética rápida para producir derivados de 1H-indazolo[1,2-b] ftalazina-1,6,11-trionas y 1H-pirazolo[1,2-b]ftalazina-5,10-dionas a través de reacciones de multicomponentes, en un solo paso, de varios aldehídos, 1,3-dicetonas cíclicas o acíclicas con: i) ftalhidrazida o ii) anhídrido ftálico-hidróxido de hidrazinio empleando 2,4,6-trichlorotriazina (TCT) húmeda como catalizador en ausencia de disolvente. Las características notables de este método son condiciones de reacción simples y suaves, el empleo de un catalizador barato y facilidad de aislamiento de los productos.
Palabras clave: 1H-indazolo[1,2-b] ftalazina-1,6,11-trionas, 1H-pirazolo[1,2-b]ftalazina-5,10-dionas, 2,4,6-triclorotriazina, 1,3-dicetonas, ftalhidrazida, aldehídos, reacciones libres de disolvente.
Introduction
Multi-component reactions (MCRs) are major tools for the rapid and efficient synthesis of a wide variety of organic molecules. These reactions have been investigated widely in organic and diversely oriented synthesis, primarily due to their ability to produce complex molecular functionality from simple starting materials via one-pot reaction [1, 2]. In the past few decades, the synthesis of novel heterocyclic compounds has been received a great deal of attention, most notably for the construction of heterocycles [3]. Heterocyclic compounds occur very extensively in nature and are essential to life. Among a large variety of heterocyclic compounds, heterocycles containing phthalazine moiety [4,5] are of importance because they show some pharmacological and biological activities [6]. Phthalazine derivatives were reported to possess anticonvulsant [7], cardiotonic [8], and vasorelaxant activities [9-13].
Recently, several well-designed multicomponent strategies for the synthesis of 1H-indazolo [1,2-b]phthalazine-1,6,11-triones and 1H-pyrazolo[1,2,b]phthalazine-5,10-diones [14-18] have been reported by one-pot reactions of various aldehydes, cyclic, and acyclic 1,3-diketones with: i) phthalhydrazide ii) phthalic anhydride, hydrazinium hydroxide utilizing different types of catalysts such as: p-TSA [19], ionic liquids [20], (S)-CSA [21], dodecylphosphonic acid (DPA) [22], heteropoly acids [23], Ce(SO4)2.4H2O [24], solid acids [25], montmorillonite K-10 [26], N-halosulfonamides [27], silica-sulfuric acid [28], phosphomolybdic acid-silica (PMA-SiO2) [29] and have been used for the inhibition of P38 MAP kinase [30], for selective binding of GABA receptor [31], as anti-anxiety drug [32], antitumor agent [33], and as high-affinity ligand to the subunit of calcium channel [34, 35]. These protocols have limitations, for instance the formation of by-products and the use of toxic organic solvents, high acidic conditions, large amounts of catalyst, and tedious work-up procedures. According to the principle of safe chemistry, synthetic methods should be designed to use substances that exhibit little or no toxicity to human health and the environment.
Result and Discussion
In recent years, 2,4,6-tricholorotriazine (TCT, cyanuric chloride) has been used in organic synthesis because it is secure, non-volatile, low-priced, easily available and an easy-to-handle reagent with low loading [36-43].
Organic reactions under solvent-free conditions have attracted much attention from chemists, particularly from the viewpoint of green chemistry. Green chemistry approaches are most important due to the reduction in byproducts, a reduction in produced waste, and reduction of energy cost [44-49]. As part of our current studies on the development of multi-component reactions [50-53], we decided to examine the possibility of synthesizing 1H-indazolo[1,2-b]phthalazine-1,6,11-trione and 1H-pyrazolo[1,2-b]phthalazine-5,10-dione derivatives via the reaction of various aldehydes, cyclic and acyclic 1,3-diketones with: i) phthalhydrazide or ii) phthalic anhydride, hydrazinium hydroxide using wet TCT under solvent-free conditions at 110 °C (Scheme 1).

Initially, in the presence of a catalytic amount of TCT under solvent-free conditions at 110 °C for several minutes was produced 2,3,4,13-tetrahydro-13-(4-methoxyphenyl)-3,3-dimethyl-1H-indazolo[1,2-b]phthalazine-1,6,11-trione 6a in the three-component reaction of 4-methoxy benzaldehyde 1, cyclic or acyclic 1,3-diketones 2 or 3 and phthalhydrazide 4 (Table 1, entry 1). To develop optimum conditions, first, the effect of temperature on the rate of the reaction was studied for the preparation of 6a at 90-120 °C (Table 1, entries 2-4). A decrease in temperature leads to decreasing product yields and rate of the reaction. Only at 110 °C the reactions proceeded to completion very rapidly (Table 1, entry 1). It was observed that the reaction did not proceed at room temperature (Table 1, entry 7). Next, the optimum amount of TCT was evaluated. A further increase or decrease in the amount of TCT did not have any significant effect on the product yield or reaction time (Table 1, entries 5-6). The highest yield was obtained with (40 mol%) of the catalyst at 110 °C .

Using these optimized reaction conditions, the scope and efficiency of these procedures were explored for the synthesis of a wide variety of substituted 1H-indazolo[1,2-b]phthalazine-1,6,11-trione derivatives 6. The results are summarized in Table 2 (entries 1-15). As shown in Table 2, the direct multi-component reactions worked well with a variety of aldehydes including those bearing electron-withdrawing and electron-donating groups such as Me, OMe, Cl, F, Br or NO2, and the desired compounds were obtained in high to excellent yields.
After successfully synthesizing of a series 1H-indazolo[1,2-b]phthalazine-1,6,11-trione derivatives 6 in good yields, we turned out attention toward the synthesis of 1H-pyrazolo[1,2-b]phthalazine-5,10-dione derivatives 7. We replaced the cyclic 1,3-diketones (5,5-dimethyl-1,3-cyclohexanedione or 1,3-cyclohexanedione) with the acyclic 1,3-diketone (acetylacetone) instead under same conditions (Table 2, entry 15-18). We next examined the reaction with various aldehydes. As expected, these substrates undergo smooth, one-pot conversion to give the corresponding 1H-pyrazolo[1,2-b]phthalazine-5,10-dione derivatives 7 in good yields.
Finally, we have developed this synthetic method for four-component and one-pot synthesis of 1H-indazolo-[1,2-b]phthalazine-1,6,11-triones and 1H-pyrazolo[1,2-b]phthalazine-5,10-diones derivatives by condensation of aldehydes with phthalic anhydride and hydrazinium hydroxide.
Synthetically, chemo selectivity in chemistry is regarded as one of the most important aspects of organic reactions. In this regard, preparation of 6a by condensation of the 4-methoxybenzaldehyde, phthalhydrazide with 5,5-dimethyl-1,3-cyclohexanedione in the presence of wet TCT as catalyst only gives the desired product [50-51] (Scheme 2).

We also compared the results of the present work with other catalysts reported in literature. The Table 3 clearly demonstrates that TCT is an effective catalyst in terms of reaction time and yield of obtained product relative to other reported catalysts.
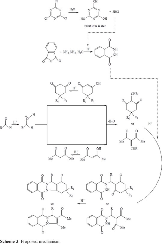
The formation of 1H-Indazolo[1,2-b]phthalazine-triones 6 and 1H-pyrazolo[1,2-b]phthalazine-5,10-diones 7 could be explained by a proposed tentative mechanism (Scheme 3). Our proposed mechanism for the one-pot three/four components synthesis in the presence of TCT consist of three steps involving the nucleophilic addition of hydrazinium hydroxide to phthalic anhydride to produce phthalhydrazide, Knoevenagel condensation between cyclic or acyclic 1,3-dicarbonyl compounds and aldehydes compounds and Michael-type addition of the phthalhydrazide to these condensation products. TCT facilitates all reaction routes.

Conclusion
In summary, an efficient protocol for the one-pot synthesis of 1H-indazolo-[1,2-b] phthalazine-1,6,11-triones and 1H-pyrazolo[1,2-b]phthalazine-5,10-diones derivatives have been described under thermal solvent-free conditions using inexpensive starting materials. This protocol describes a very fast, user friendly, green and low-cost procedure for synthesis of these products. Furthermore, TCT is a catalyst that produces cyanuric acid as by-product that is removable by washing with water. To the best of our knowledge, this new procedure represents the first example of an efficient synthetic method for these derivatives via a multi-component reaction.
Experimental
General
Chemicals were obtained from Merck and Fluka. IR spectra were recorded on a Shimadzu 435-U-04 spectrophotometer (KBr pellets). 1H NMR spectra were obtained using a Jeol FT NMR spectrometer in CDCl3 using TMS as an internal reference. Melting points were determined in open capillary tubes in a Stuart BI Branstead Electrothermal apparatus and are uncorrected.
General Procedure for the Preparation of 1H-Indazolo[1,2-b]phthalazine-1,6,11-triones 6 and 1H-pyrazolo[1,2-b]phthalazine-5,10-diones 7.
A mixture of various aldehydes (1.2 mol), cyclic/acyclic 1,3-diketones (1.0 mmol) with phthalhydrazide (1 mmol) or phthalic anhydride(1 mmol)/hydrazinium hydroxide (1.2 mmol) and TCT (0.04 mmol and 2 drops of water) was stirred magnetically under solvent-free conditions at 110 °C for an appropriate time as mentioned in Table 2. After completion of the reaction (monitored by TLC) the reaction mixture was diluted with EtOH (96%, 3 ml) and stirred for 5 min. The resulting crude product was poured into crushed ice and the solid product was filtered and recrystallized from ethanol to get pure 1H-indazolo[1,2-b] phthalazine-1,6,11-triones 6a-n or 1H-pyrazolo[1,2-b]phthalazine-5,10-diones 7o-r.
Spectral data for selected products: 2,3,4,13-Tetrahydro-13-(4-methoxyphenyl)-3,3-dimethyl-1H-indazolo[1,2-b]phthalazine-1,6,11-trione (6a). Rf value = 0.58 (hexane/ethyl acetate 3:1); Yield 98%; yellow powder; mp 207-209 °C. 1H NMR (CDCl3, 400 MHz): δ 8.37-8.34 (m, 1H), 8.27-8.24 (m, 1H), 7.87-7.84 (m, 2H), 7.30 (d, J = 8.8 Hz, 2H), 6.86 (d, J = 8.4 Hz, 2H), 6.42 (s, 1H), 3.78 (s, 3H), 3.40 and 3.24 (AB system, J = 19.1 Hz, 2H), 2.35 (s, 2H), 1.22 (s, 6H). 13C NMR (CDCl3, 100 MHz) δ 192.2, 159.9, 156.0, 154.6, 150.1, 134.4, 133.3, 129.1, 128.8, 128.5, 128.3, 127.9, 127.7, 118.5, 114.1, 60.5, 55.2, 51.0, 38.5, 34.0, 28.7, 28.1.
2,3,4,13-Tetrahydro-13-(4-nitrophenyl)-3,3-dimethyl-1H-indazolo[1,2-b]phthalazine-1,6,11-trione (6b). Rf value = 0.56 (hexane/ethyl acetate 3:1); Yield 94%; yellow powder; mp 224-225 °C. IR (KBr): ν = 2956, 2865, 1660, 1357, 1312 cm-1. 1H NMR (CDCl3, 400 MHz): δ 8.36-8.34 (m, 1H), 8.21-8.19 (m, 1H), 7.89-7.87 (m, 2H), 7.44 (t, J = 7.3 Hz, 1H), 7.31-7.26 (q, 1H), 7.14 (t, J = 7.6 Hz, 1H), 7.01 (t, J = 10.2 Hz, 1H), 6.54 (s, 1H), 3.41 and 3.22 (AB system, J = 19.1 Hz, 2H), 2.31 (s, 2H), 1.22 (s, 3H), 1.18 (s, 3H). 13C NMR (CDCl3, 100 MHz,): δ 191.1, 159.1, 155.0, 153.4, 150.8, 133.7, 132.8, 129.5, 129.4, 128.2, 127.9, 127.2, 126.5, 123.5, 115.9, 114.9, 59.7, 50.0, 37.1, 33.8, 28.0, 27.2.
2,3,4,13-Tetrahydro-13-(4-fluorophenyl)-3,3-dimethyl-1H-indazolo[1,2-b]phthalazine-1,6,11(13H)-trione (6d). Rf value = 0.70 (hexane/ethyl acetate 3:1); Yield 98%; yellow powder; mp 217-219 °C. IR (KBr): ν = 2971, 2850, 1659, 1350, 1312 cm-1. 1H NMR (CDCl3, 400 MHz) δ 8.31-8.29 (m, 1H), 8.25-8.23 (m, 1H), 7.87-7.84 (m, 2H), 7.42-7.39 (m, 2H), 7.03 (t, J = 8.8 Hz, 2H), 6.43 (s, 1H), 3.42 and 3.25 (AB system, J = 19.1 Hz, 2H), 2.35 (s, 2H), 1.24 (s, 6H). 13C NMR (CDCl3, 100 MHz) δ 191.8, 156.4, 154.4, 151.5, 134.6, 133.3, 131.9, 129.2, 128.7, 128.0, 127.6, 117.8, 115.5, 115.0, 60.2, 51.9, 38.2, 34.3, 28.7, 28.4.
2,3,4,13-Tetrahydro-13-(4-bromophenyl)-3,3-dimethyl-1H-indazolo[1,2-b]phthalazine-1,6,11(13H)-trione (6g). Rf value = 0.56 (hexane/ethyl acetate 3:1); Yield 92%; yellow powder; mp 265-267 °C. IR (KBr): ν = 2956, 2882, 1652, 1349, 1289 cm-1. 1H NMR (CDCl3, 400 MHz): δ 8.37-8.34 (m, 1H), 8.26-8.23 (m, 1H),7.87-7.85 (m, 2H), 7.38 (t, J = 8.0 Hz, 1H), 7.29 (d, J = 8.4 Hz, 1H), 7.18(dd, J = 11.7, 1.4 Hz, 1H), 6.48 (s, 1H), 3.40 and 3.21 (AB system, J = 19.0 Hz, 2H), 2.32 (s, 2H), 1.21 (s, 3H), 1.18 (s, 3H). 13C NMR (CDCl3, 100 MHz): δ 192.0, 156.0, 154.4, 151.9, 134.5, 133.6, 131.3, 129.2, 128.6, 128.0, 127.8, 123.2, 122.8, 120.1, 119.7, 116.1, 60.8, 50.2, 37.9, 34.6, 28.8, 28.0.
2,3,4,13-Tetrahydro-13-(3,4-dimethoxyphenyl)-3,3-dimethyl-1H-indazolo[1,2-b]phthalazine-1,6,11(13H)-trione (6j). Yield 89%; White powder; mp 185-186 °C. IR (KBr): ν = 2959, 1662, 1630, 1361, 1313, 1267, 699 cm-1. 1H NMR (CDCl3, 400 MHz): δ 8.26-8.36 (m, 2H), 7.83-7.88 (m, 2H), 6.79-7.00 (m, 3H), 6.41 (s, 1H), 3.87 (s, 3H), 3.82 (s, 3H), 3.22 and 3.44 (2H, AB system, J = 19.2 Hz), 2.35 (s, 2H), 1.22 (s, 6H). 13C NMR (CDCl3, 100 MHz): δ 192.24, 156.12, 154.41, 150.76, 149.30, 134.53, 133.52, 129.16, 128.97, 128.79, 127.96, 127.74, 119.31, 118.52, 111.17, 111.05, 64.77, 55.98, 55.82, 50.99, 38.09, 34.64, 28.84, 28.32.
2,3,4,13-Tetrahydro-13-Cyclohexyl-1H-indazolo[1,2-b]phthalazine-1,6,11-trione (6m). Yield 94%; yellow powder; mp 248-250 °C. IR (KBr): ν = 2962, 1667, 1365, 1294, 1243 cm-1 1H NMR (CDCl3, 400 MHz): δ 8.36-8.30 (m, 2H), 7.91-7.81 (m, 2H), 5.58 (s, 1H), 3.35-3.50 and 3.18-3.09 (m, 2H), 2.63-2.20 (m, 5H), 2.04-1.92 (m, 1H), 1.74-1.58 (m, 6H), 1.21-1.10 (m, 3H). 13C NMR (CDCl3, 100 MHz): δ 192.5, 155.2, 154.4, 153.0, 133.8, 132.7, 131.6, 128.2, 128.0, 127.1, 126.7, 124.8, 117.3, 65.6, 40.4, 36.2, 27.5, 25.6, 25.4, 23.7, 21.3.
2-Acetyl-3-methyl-1-(4-nitrophenyl)-1H-pyrazolo[1,2-b]phthalazine-5,10-dione (7p). Yield 92%; yellow powder; mp 263-265 °C. IR (KBr): ν = 2924, 1662, 1616, 1521, 1351, 1310 cm-1. 1H NMR (CDCl3, 400 MHz): δ 8.38-8.35 (m, 1H), 8.21 (d, J = 8.7 Hz, 3H), 7.86-7.83 (m, 2H), 7.65 (d, J = 8.7 Hz, 2H), 6.55(s, 1H), 3.09 (s, 3H), 2.23 (s, 3H). 13C NMR (CDCl3, 100 MHz): δ 192.0, 156.0, 153.9, 147.6, 146.0, 143.7, 134.2, 133.6, 129.1, 128.8, 128.0, 127.9, 127.0, 123.7, 119.1, 65.0, 30.5, 14.6.
2-Acetyl-3-methyl-1-phenyl-1H-pyrazolo[1,2-b]phthalazine-5,10-dione (7q). Yield 82%; brown semisolid; IR (KBr): ν = 2925, 2854, 1689, 1655, 1601, 1490, 1464, 1415, 1353, 13119, 1279, 1204, 1134, 1107, 1075, 1028, 960, 929, 832, 755, 698, 637, 589, 539 cm-1. 1H NMR (CDCl3, 400 MHz): δ 2.06 (s, 3H), 3.09 (s, 3H), 6.47 (s, 1H), 7.30-8.34 (m, 9H). 13C NMR (CDCl3, 100 MHz): δ 14.4, 30.5, 66.1, 118.8, 127.3, 127.9, 128.2, 128.5, 128.7, 128.8, 129.1, 133.4, 134.1, 136.3, 146.1, 154.1, 156.2, 192.8.
2-Acetyl-3-methyl-1-propyl-1H-pyrazolo[1,2-b]phthalazine-5,10-dione (7r). Yield 84%; brown semisolid; IR (KBr): ν = 2963, 2931, 2873, 1851, 1774, 1687, 1652, 1465, 1421, 1340, 1292, 1204, 1199, 1125, 1088, 1022, 968, 898, 791, 756, 699, 663, 631, 525 cm-1. 1H NMR (CDCl3, 400 MHz): δ 0.88 (t, J = 7.6, 3H), 1.09-1.31 (m, 2H), 1.71-1.88 (m, 1H), 2.15-2.36 (m, 1H), 2.39 (s, 3H), 2.90 (s, 3 H), 5.72 (s, 1H), 7.77-7.92 (m, 2H), 8.27-8.38 (m, 2H). 13C NMR (CDCl3, 100 MHz,): δ 13.6, 14.6, 16.3, 30.3, 32.6, 63.1, 119.6, 127.1, 127.9, 128.6, 129.4, 133.3, 134.2, 146.3, 154.2, 156.3, 193.3.
Acknowledgements
This research work was supported by the University of Hakim Sabzevari. Authors wish to thank the University of Hakim Sabzevari for financial support to carry out this research.
References
1. (a) D'Souza, D. M.; Muller, T. J. J. Chem. Soc. Rev. 2007, 36, 1095-1108. [ Links ] (b) Cariou, C. C. A.; Clarkson, G. J.; Shipman, M. J. Org. Chem. 2008, 73, 9762-9764. [ Links ] (c) Domling, A.; Ugi, I. Angew. Chem., Int. Ed. 2000, 39, 3168-3210. [ Links ] (d) Ramón, D. J.; Yus, M. Angew. Chem., Int. Ed. 2005, 44, 1602-1634. [ Links ]
2. (a) Tejedor, D.; García-Tellado, F. Chem. Soc. Rev. 2007, 36, 484-491. [ Links ] (b) Gois, P. M. P.; Cal, P. M. S. D.; Montalbano, F.; Candeias, N. R. Chem. Rev. 2010, 110, 6169-6193. [ Links ] (c) Artem'ev, A. V.; Gusarova, N. K.; Malysheva, S. F.; Mamatyuk, V. I.; Gatilov, Y. V.; Ushakov, I. A.; Trofimov, B. A. Eur. J. Org. Chem. 2010, 32, 6157-6160. [ Links ]
3. (a) Vaughan, W. R. Chem. Rev. 1948, 48, 447-508. [ Links ] (b) Clement, R. A. J. Org. Chem. 1960, 25, 1724-1727. [ Links ] (c) Heine, H. W.; Henrie, R.; Heitz, L.; Kovvali, S. R. J. Org. Chem. 1974, 39, 3187-3191. [ Links ]
4. (a) Al-Assar, F.; Zelenin, K. N.; Lesiovskaya, E. E.; Bezhan, I. P.; Chakchir, B. A. Pharm. Chem. J. 2002, 36, 598-603. [ Links ] (b) Jain, R. P.; Vederas, J. C. Bioorg. Med. Chem. Lett. 2004, 14, 3655-3658. [ Links ]
5. Carling, R. W.; Moore, K. W.; Street, L. J.; Wild, D.; Isted, C.; Leeson, P. D.; Thomas, S.; O'Connor, D.; Mckernan, R. M.; Quirk, K.; Cook, S. M.; Atack, J. R.; Wafford, K. A.; Thompson, S. A.; Dawson, G. R.; Ferris, P.; Castro, J. L. J. Med. Chem. 2004, 47, 1807-1822. [ Links ]
6. Grasso, S.; De Sarro, G.; De Sarro, A.; Micale, N.; Zappala, M.; Puja, G.; Baraldi, M.; De Micheli, C. J. Med. Chem. 2000, 43, 2851-2859. [ Links ]
7. Nomoto, Y.; Obase, H.; Takai, H.; Teranishi, M.; Nakamura, J.; Kubo, K. Chem. Pharm. Bull. 1990, 38, 2179-2183. [ Links ]
8. Watanabe, N.; Kabasawa, Y.; Takase, Y.; Matsukura, M.; Miyazaki, K.; Ishihara, H.; Kodama, K.; Adachi, H. J. Med. Chem. 1998, 41, 3367-3372. [ Links ]
9. Potts, K. T. and Lovelette, C. J. Org. Chem. 1969, 34, 3221-3230. [ Links ]
10. Ryu, C. K.; Park, R. E.; Ma, M. Y.; Nho, J. H. Bioorg. Med. Chem. Lett. 2007, 17, 2577-2580 [ Links ]
11. Laszlo, P. In Organic Reactions: Simplicity and Logic, Wiley-VCH: New York, 1995. [ Links ]
12. Habibi, A.; Lori, E. S.; Shockravi, A. Tetrahedron Lett. 2009, 50, 1075-1078. [ Links ]
13. (a) Anastas, P. T.; Warner, J. C. In Green Chemistry: Theory and Practice, Oxford University Press: Oxford, 1998. [ Links ] (b) Anastas, P. T.; Williamson, T. In Green Chemistry: Frontiers in Benign Chemical Synthesis and Process, Oxford University Press: Oxford, 1998. [ Links ]
14. (a) Mosaddegh, E.; Islami, M. R. Org. Prep. Proced. Int. 2008, 40, 586-589. [ Links ] (b) Mosaddegh, E.; Islami, M. R.; Hassankhani, A. Lett. Org. Chem. 2007, 4, 524-529. [ Links ] (c) Islami, M. R and Mosaddegh, E. Phosphorus, Sulfur, Silicon, Relat. Elem. 2009, 184, 3134-3138. [ Links ]
15. Kozhevnikov, I. V. Chem. Rev. 1998, 98, 171-175. [ Links ]
16. Bienayme, H.; Hulme, C.; Oddon, G.; Schmitt, P. Chem. Eur. J. 2000, 6, 3321-3329. [ Links ]
17. Khurana, J. M.; Magoo, D. Tetrahedron Lett. 2009, 50, 7300-7303. [ Links ]
18. (a) Shekouhy, M.; Hasaninejad, M. Ultrason. Sonochem. 2012, 19, 307-313. [ Links ] (b) Hasaninejed, A.; Rasekhi Kazerooni, M.; Zare, A. Catal. Today. 2012, 96, 148-155. [ Links ]
19. Sayyafi, M.; Sayyedhamzeh, M.; Khavasi, H. R.; Bazgir, A. Tetrahedron 2008, 64, 2375- 2378. [ Links ]
20. Ghorbani-Vaghei, R.; Karimi-Nami, R.; Toghraei-Semiromi, Z.; Amiri, M.; Ghavidel, M, M. Tetrahedron 2011, 67, 1930-1937. [ Links ]
21. Shukla, G.; Verma, R. K.; Verma, G. K.; Singh, M. S. Tetrahedron Lett. 2011, 52, 7195-7198. [ Links ]
22. Kidwai, M.; Chauhan, R.; Jahan, A. Chin. Sci. Bull. 2012, 57, 2273-2279. [ Links ]
23. Wang, H. J.; Zhang, X. N.; Zhang, Z. H. Monatsh. Chem. 2010, 141, 425-430. [ Links ]
24. Mosaddegh, E.; Hassankhani, A. Tetrahedron Lett. 2011, 52, 488-490. [ Links ]
25. Corma, A.; Garcia, H. Catal. Today. 1997, 38, 257-308. [ Links ]
26. Veeranarayana Reddy, M.; Chandra Sekhar Reddy, G.; Tae Jeong, Y. Tetrahedron 2012, 68, 6820-6828. [ Links ]
27. Vaghei, R. G.; Nami, R. K.; Semiromi, Z. K.; Amiri, M.; Ghavidel, M. Tetrahedron 2011, 67, 1930-1937. [ Links ]
28. Shaterian, H. R.; Ghashang, M.; Feyzi, M. Appl. Catal., A. 2008, 345, 128-133. [ Links ]
29. Sabitha, G.; Srinivas, C.; Raghavendar, A.; Yadav, J. S. Helv. Chim. Acta. 2010, 93, 1375-1380. [ Links ]
30. Hasaninejed, A.; Kazerooni, M.R.; Zare, A. Catal. Today. 2012, 196, 148-155. [ Links ]
31. Mavel, S.; Thery, I.; Gueiffier, A. Arch. Pharm. Med. Chem. 2002, 335, 7-14. [ Links ]
32. Street, L. J.; Sternfeld, F.; Jelley, R. A.; Reeve, A. J.; Carling, R. W.; Moore, K. W.; McKernan, R. M.; Sohal, B.; Cook, S.; Pike, A.; Dawson, G. R.; Bromidge, F. A.; Wafford, K. A.; Seabrook, G. R.; Thompson, S. A.; Marshall, G.; Pillai, G. V.; Castro, J. L.; Atack, J. R.; MacLeod, A. M. J. Med. Chem. 2004, 47, 3642-3657. [ Links ]
33. Imamura, Y.; Noda, A.; Imamura, T.; Ono, Y.; Okawara, T.; Noda, H. Life Sci. 2003, 74, 29-36. [ Links ]
34. Kim, J. S.; Lee, H. J.; Suh, M. E.; Choo, H. Y. P.; Lee, S. K.; Park, H. J.; Kim, C.; Park, S. W.; Lee, C. O. Bioorg. Med. Chem. 2004, 12, 3683-3686. [ Links ]
35. Lebsack, A. D.; Gunzner, J.; Wang, B.; Pracitto, R.; Schaffhauser, H.; Santini, A.; Aiyar, J.; Bezverkov, R.; Munoz, B.; Liu, W.; Venkatraman, S. Bioorg. Med. Chem. Lett. 2004, 14, 2463-2467. [ Links ]
36. Maleki, B.; Azarifar, D.; Veisi, H.; Hojati, S. F.; Salehabadi, H.; Yami, R. N. Chin. Chem. Lett. 2010, 21, 1346-1349. [ Links ]
37. Ghorbani-Vaghei, R.; Veisi, H. Mol. Divers. 2010, 14, 249-256. [ Links ]
38. Zhang, P.; Zhang- Hui, Z. Monatsh. Chem. 2009, 140, 199-203. [ Links ]
39. Blonty, G. Tetrahedron 2006, 62, 9507-9513. [ Links ]
40. Bigdeli, M. A.; Mahdavinia, G. H.; Jafari, S.; Hazarkhani, H. Catal. Commun. 2007, 8, 2229-2231. [ Links ]
41. Shirini, F.; Ghaffari Khaligh, N. Monatsh. Chem. 2012, 143, 631-635. [ Links ]
42. Mahdavinia, G. H.; Bigdeli, M. A. Chin. Chem. Lett. 2009, 20, 383-386. [ Links ]
43. Das, B.; Kumar, R. A.; Thirupathi, P. Helv. Chem. Acta 2007, 90, 1206-1210. [ Links ]
44. Maleki, B.; Tayebee, R.; Kermanian, M.; Sedigh Ashrafi, S. J. Mex. Chem. Soc. 2013, 57, 290-297. [ Links ]
45. Maleki, B.; Sedigh Ashrafi, S. J. Mex. Chem. Soc. 2014, 58, 74-79. [ Links ]
46. Zare, A.; Khanivar, R.; Hatami, M.; Mokhlesi, M.; Zolfigol, M. A.; Moosavi-Zare, A. R.; Hasaninejad, A.; Khazaei, A.; Khakyzadeh, V. J. Mex. Chem. Soc. 2012, 56, 389-394. [ Links ]
47. Tajbakhsh, M.; Hosseinzadeh, R.; Rezaee, P.; Alinezhad, H. J. Mex. Chem. Soc. 2012, 56, 402-406. [ Links ]
48. Ghorbani-Vaghei, R.; Malaekehpoor, S. M. J. Iran. Chem. Soc. 2010, 7, 957-964. [ Links ]
49. Maleki, B.; Hemmati, S.; Tayebee, R.; Salemi, S.; Farokhzad, Y.; Baghayeri, M.; Mohammadi Zonoz, F.; Akbarzadeh, E.; Moradi, R.; Entezari, A.; Abdi, M. R.; Sedigh Ashrafi, S.; Taimazi, F.; Hashemi, M. Helv. Chim. Acta 2013, 96, 2147-2151. [ Links ]
50. Maleki, B.; Gholizadeh, M.; Sepehr, Z. Bull. Korean Chem. Soc. 2011, 32, 1697-1702. [ Links ]
51. Maleki, B.; Barzegar, S.; Sepehr, Z.; Kermanian, M.; Tayebee, R. J. Iran. Chem. Soc. 2012, 9, 757-765. [ Links ]
52. Maleki, B.; Tayebee, R.; Sepehr, Z.; Kermanian, M. Acta Chim. Slov. 2012, 59, 814-823. [ Links ]
53. Mohammadi, A.; Keshvari, H.; Sandaroos, R.; Maleki, B.; Rouhi, H. Moradi, H.; Sepehr, Z.; Damavandi, S. Appl. Catal. A: Gen. 2012, 429-430, 73-78. [ Links ]




![One-pot Synthesis of Benzo[c]acridine Derivatives Using SBA-Pr-SO3H as Nano Catalyst](/img/es/next.gif)








