Introducción
DMT2 es considerada una de las principales causas de muerte a nivel mundial,1 la Secretaría de Salud de México la establece como una de las líneas prioritarias de atención médica. Diversos reportes epidemiológicos demuestran que un descontrol de los niveles de glucosa en sangre DMT2 aumenta el riesgo para presentar comorbilidades, aumenta número de hospitalizaciones y discapacidades, que afectan la vida del individuo que sufre esta enfermedad. 2-4
La DMT2 es una enfermedad crónica inflamatoria caracterizada por alteraciones endocrinas y metabólicas, caracterizada por un grado variable de resistencia a la insulina y alteraciones en la secreción de esta hormona, lo que desencadena problemas en el metabolismo de carbohidratos, lípidos y proteínas necesarias para todas las funciones biológicas.5,6 La acción disminuida de la insulina desencadenada un aumento en los niveles de glucosa en sangre, activación de vías alternas para la obtención de energía y un desequilibrio bioquímico con consecuencias importantes en el metabolismo. Estos eventos anteriormente mencionados desencadenan en la formación de productos terminales de glicación avanzada (AGEs) e incrementan los niveles de ácidos grasos libres (colesterol, triglicéridos, HDL y LDL), generando un aumento del riesgo a desarrollar complicaciones macrovasculares (infartos y embolias) y microvasculares (retinopatías, nefropatías y periodontitis).7 Además, el aumento de los niveles de glucosa de forma persistente afecta a la síntesis de colágena por los fibroblastos y disminuye la actividad fagocitaria de los monocitos, conllevando a una pérdida de la capacidad de regeneración tisular e incrementando las lesiones recurrentes.8
La periodontitis es una enfermedad crónica, infectocontagiosa e inflamatoria asociada con una disbiosis en el biofilm dental, que conlleva a la pérdida del tejido de soporte del diente. Esta enfermedad aumenta el riesgo a desarrollar enfermedades crónico-degenerativas dentro de las que podemos encontrar a las cardiopatías y recientemente a la DMT2. En este sentido, se ha demostrado que la periodontitis y la DMT2 presentan una relación bidireccional,9 encontrando diversos procesos inmunológicos, microbiológicos y fisiológicos correlacionados en la retroalimentación de estas enfermedades.10 En este sentido, el descontrol glucémico de forma recurrente podría aumentar el riesgo a desarrollar e incrementar la severidad de la periodontitis en individuos con DMT2.11-13 Por lo tanto, el presente estudio tuvo como finalidad evaluar la severidad de la periodontitis de pacientes con DMT2 con respecto al descontrol glucémico.
Material Y Métodos
Población de estudio
El presente estudio fue aprobado por el Comité de Ética de la Secretaría de Salud del Estado de Guerrero (comité de investigación de los servicios estatales de salud del Estado de Guerrero, con número 03301117). Se analizaron un total de 256 casos originarios del Estado de Guerrero, durante el periodo de enero a mayo del 2018 del Hospital General «Dr. Donato G Alarcón», ubicado en ciudad Renacimiento en Acapulco de Juárez. Los criterios de inclusión fueron: hombres y mujeres entre 45 y 65 años, con periodontitis crónica generalizada y sin esta enfermedad, así como presentar control nutricional, activación física semanal y medicación por parte de la clínica de diabetes. Se excluyeron a todos aquéllos que se presentaron ausencias de más del 20% de citas en un periodo de seis meses, así como si se encontraban lactando o estuviesen embarazadas, sujetos que fuman actualmente y/o que hayan dejado de fumar como mínimo hace 10 años, con uso de cualquier clase de antimicrobiano sistémico en los tres meses previos a su evaluación, que presenten alguna enfermedad sistémica además de DMT2 que puedan influir sobre el curso o severidad de la enfermedad periodontal tales como: virus de inmunodeficiencia humana (VIH), síndrome de inmunodeficiencia adquirida (SIDA), hemofilia, enfermedades autoinmunes, e individuos que presentaron ausencia de más de ocho dientes. Se eliminaron a todos los individuos que no firmaron el consentimiento informado y los que deseaban abandonar el estudio en cualquier momento. Concluyendo con un total de 158 casos incluidos en el estudio, cumpliendo con los criterios anteriormente descritos.
Análisis de laboratorios clínicos
Los individuos incluidos fueron analizados en el Laboratorio Estatal de Salud Pública «Dr. Galo Soberón y Parra» de la Secretaría de Salud del Estado de Guerrero, donde se les realizaron estudios de forma rutinaria cada tres meses para determinar niveles de hemoglobina glicosilada (HbA1c) y cada seis meses para niveles de colesterol, triglicéridos, lipoproteína de alta densidad (HDL), lipoproteína de baja densidad (LDL). El valor de HbA1c está representado por el promedio de las tomas correspondientes a tres años y fueron agrupados con respecto a la clasificación de la Asociación Americana de Diabetes (AAD) en tres grupos: buen control (HbA1c ≤ 5.9%), mal control (HBA1c 6.0-7.9%) y riesgo de complicaciones (HBA1c > 8%).
Evaluación periodontal
La evaluación clínica se realizó por medio de dos clínicos calibrados de la Unidad de Innovación Clínica y Epidemiológica del Estado de Guerrero (UIC y EEG), con un coeficiente Kappa igual o mayor a 0.85. Se evaluaron seis sitios por cada diente (mesiobucal, bucal, distobucal, distolingual, lingual, mesiolingual) de todos los dientes excluyendo a los terceros molares,14 registrándose las siguientes variables: placa dentobacteriana (1/0; detectado/no detectado), enrojecimiento gingival (1/0), sangrado al sondaje (1/0), supuración (1/0), y los milímetros de profundidad al sondaje, así como de nivel de inserción clínica. Las medidas fueron tomadas por el mismo examinador en la misma cita. Se registró al milímetro más cercano usando una sonda periodontal Carolina del Norte (Hu-Friedy, Chicago, IL).
Clasificación de periodontitis
Seguido de la inspección periodontal, cada individuo fue clasificado con periodontitis crónica generalizada con base en los parámetros de la AAP, ordenándolos en 3 grupos:
Leve (con dos o más sitios con una profundidad de bolsa > 3 y < 5 mm y con una medida de 1 a 2 mm pérdida de inserción clínica).
Moderada (dos o más sitios con una profundidad de bolsa de > 5 y < 4 mm de profundidad de bolsa y con una medida de 3 a 4 mm pérdida de inserción clínica).
Severa (dos o más sitios interproximales con una profundidad de bolsa de > 7 mm y con una medida de > 5 mm pérdida de inserción clínica).
Todo lo anterior con un mínimo de 30% de sitios afectados para determinar la generalización de la enfermedad. La salud periodontal se determina con menos de 3 mm de profundidad de bolsa y nivel de inserción < 2 mm.
Conteo celular de sangre periférica
Se obtuvo una muestra de sangre capilar, la cual fue extendida en un portaobjetos y fijada con calor. Una vez fijada la muestra se procedió a realizar tinción de Wright, colocando 5 mL del reactivo de Wright por un tiempo de 10 minutos, transcurrido el tiempo se agregó 5 mL de agua destilada por 5 minutos; al concluir el tiempo, los frotis fueron lavados con agua bidestilada hasta eliminar el exceso de colorante. Los frotis se leyeron en microscopio fotónico a 100x con aceite de inmersión, donde se contaron las primeras 100 células nucleadas clasificándolas en eosinófilos, linfocitos, basófilos, monocitos y neutrófilos segmentados, las cuales fueron registradas en un contador de células.
Análisis estadístico
Los datos de HbA1c, colesterol, triglicéridos, HDL, LDL, creatinina, conteo de granulocitos porcentaje de placa, enrojecimiento gingival, sangrado al sondaje, supuración profundidad de sondaje y pérdida de nivel de inserción fueron analizados por medidas repetidas de análisis de varianza (ANOVA) seguido de test Bonferroni (programa Prism 5, GraphPad Inc., San Diego, USA), valores con p < 0.05 fueron considerados con significancia estadística. Los datos son presentados como la media ± desviación estándar.
Resultados
Ciento cincuenta y ocho casos diagnosticados con DMT2, periodontitis crónica generalizada y sin esta fueron incluidos en el estudio. Tras realizar una inspección periodontal, los datos se agruparon con base en los criterios de la AAP generando cuatro grupos:
Salud periodontal con 42 individuos que representaron el 26%.
Periodontitis leve con 36 (22%).
Periodontitis moderada con 26 (16%).
Periodontitis severa con 54 (34%).
Evaluando las siguientes variables demográficas (edad, sexo, años con DMT2 y pérdida de dientes), sin encontrar diferencias significativas entre los grupos evaluados (Tabla 1). Por otra parte, se evaluaron los niveles de HbA1c en razón al estado periodontal (salud periodontal, periodontitis leve, periodontitis moderada y periodontitis severa). Se encontró que existe un aumento significativo del porcentaje de HbA1c en el grupo de casos con periodontitis severa en comparación con salud periodontal (Figura 1).
Tabla 1 Características de la población de estudio. (N = 158).
| Total N = 158 | Salud periodontal n = 42 (26%) | Periodontitis leve n = 36 (22%) | Periodontitis moderada n = 26 (16%) | Periodontitis severa n = 54 (34%) | p | |
|---|---|---|---|---|---|---|
| Edad (años) | 58.97 ± 10.7 | 59.66 ± 10.2 | 60.44 ± 12.7 | 58.97 ± 10.7 | 55.57 ± 8.3 | 0.238 |
| Sexo (Femenino/Masculino) | 119/39 | 31/11 | 28/8 | 18/8 | 42/12 | - |
| Años con DMT2 | 10.21 ± 2.7 | 9.81 ± 3.7 | 11.32 ± 2.2 | 9.5 ± 1.9 | 8.5 ± 1.5 | 0.872 |
| HbA1c (%) | 7.56 ± 2.5 | 6.56 ± 0.5 | 7.21 ± 1.3 | 7.56 ± 1.5 | 8.56 ± 2.5 | 0.041* |
| Perdida de dientes | 4.21 ± 2.7 | 4.35 ± 1.8 | 4.11 ± 1.2 | 5.12 ± 1.1 | 5.10 ± 1.5 | 0.754 |
Los datos están representados como la media ± desviación estándar.
Las variables edad, años con diabetes, porcentaje de HbA1c y número de dientes perdidos fueron analizados por ANOVA con una significancia * p < 0.05.

Figura 1 Niveles de HbA1c respecto al estado periodontal. Presentando un incremento significativo en los niveles de HbA1c en el grupo de periodontitis severa con respecto a salud periodontal (*p<0.05)
Para determinar la relación que existe entre el descontrol glucémico de forma persistente y las alteraciones en los niveles de ácidos grasos libres en sangre, los datos se agruparon con base en el porcentaje de HbA1c en tres grupos: buen control (≤ 5.9% HbA1c) con 26 pacientes que representan el 16%; mal control (6.0-7.9% HbA1c) con 56 que representan el 35%; y con alto riesgo de complicaciones (> 8% HbA1c) con 46 pacientes que representan el 48% de la población de estudio, encontrando un aumento significativo de los niveles de colesterol y LDL en el grupo de riesgo a desarrollar complicaciones (HbA1c > 8%) en comparación con el grupo de buen control (Tabla 2). Asimismo, se evaluaron las características clínicas del periodonto con respecto al porcentaje de hemoglobina glicosilada (buen control ≤ 5.9%, mal control 6.0-7.9% y alto riesgo de complicaciones > 8%). Encontrando un decremento significativo en el enrojecimiento gingival (p < 0.04) y un aumento significativo en los niveles de pérdida de inserción clínica (p < 0.02) en el grupo con alto riesgo de complicaciones comparados con los que presentaron buen control (Tabla 3).
Tabla 2 Tabla de análisis de laboratorio con respecto a porjentaje de HbA1c
| ≤ 5.9 %HbA1c | 6-7.9 %HbA1c | ≥ 8 %HbA1c | p | |
|---|---|---|---|---|
| Colesterol | 163 (26.81) | 188.63 (45.68) | 197.14 (41.66) | 0.031* |
| Triglicéridos | 132.6 (58.91) | 150.54 (30.56) | 146.28 (80.39) | 0.268 |
| HDL | 44.26 (6.09) | 44.65 (14.55) | 43.10 (10.29) | 0.277 |
| LDL | 91 (23.72) | 101.63 (32.21) | 107.07 (31.84) | 0.025* |
| Creatinina | 0.88 (0.62) | 0.91 (1.09) | 0.83 (0.54) | 0.546 |
Los datos se representan como la media ± desviación estándar.
* Análisis estadístico por ANOVA con significancia menor a 0.05.
Tabla 3 Características clínicas periodontales.
| HbA1c ≤ 5.9% | HbA1c 6 - 7.9% | HbA1c >8% | p | |
|---|---|---|---|---|
| Placa (%) | 96.22 ± 20.01 | 88.85 ± 18.40 | 92.10 ± 24.36 | 0.69 |
| Enrojecimiento Gingival (%) | 21.55 ± 22.02 | 10.25 ± 11.72 | 4.01 ± 7.24 | < 0.04* |
| Sangrado al sondaje (%) | 16.19 ± 22.45 | 14.96 ± 20.65 | 15.11 ± 22.5 | 0.62 |
| Supuración (%) | 0.20 ± 0.55 | 0.51 ± 1.22 | 0.51 ± 0.365 | 0.17 |
| Profundidad de bolsa (mm) | 1.68 ± 0.76 | 1.78 ± 0.67 | 2.25 ± 0.85 | 0.041 |
| Nivel de inserción Clínica (mm) | 2.55 ± 1.04 | 2.47 ± 1.77 | 3.66 ± 2.41 | < 0.02* |
Placa, enrojecimiento gingival, sangrado al sondaje, supuración, profundidad de bolsa, nivel de inserción presentadas como la media ± desviación estándar; análisis estadístico por ANOVA con significancia menor a 0.05.
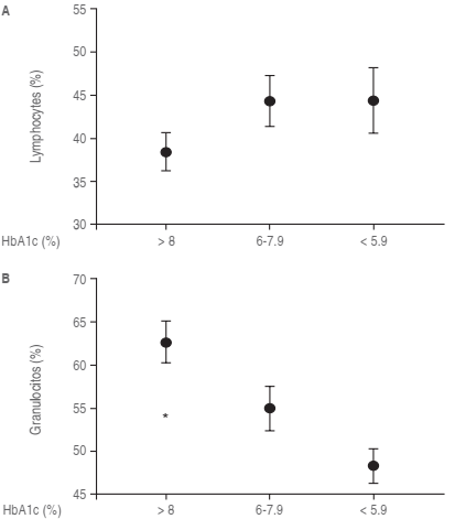
Los niveles altos de glucosa en sangre desencadenan efectos nocivos en la respuesta inmune, donde se ha visto que la actividad de células granulocitos disminuye en sujetos con DMT2, exacerbando el proceso inflamatorio y con esto retroalimentando el proceso inflamatorio de la periodontitis. En este sentido, se realizó un conteo de granulocitos y linfocitos de sangre periférica, por lo que se encontró un aumento significativo de granulocitos en el grupo de alto riesgo de complicaciones (> 8% HbA1c) en comparación con el grupo de buen control glucémico (< 5.9% HbA1c). Sin embargo, los linfocitos no presentaron cambio significativo entre los grupos (Figura 2A y B).

Figura 2 Correlación de niveles de HbA1c con porcentaje de granulocitos y linfocitos A) Cuentas totales de linfocitos con respecto al porcentaje de HbA1c. B) Cuentas totales de granulocitos incrementados significativamente en el grupo de porcentajes de HbA1c > 8% en comparación con el grupo de < 5.9% (p < 0.05)
Discusión
El presente estudio comparó y analizó un grupo de (n = 158) casos con DMT2 del Hospital «Dr. Donato G Alarcón» del estado de Guerrero, México. Los parámetros clínicos del grupo poblacional de estudio mostraron un aumento del porcentaje de sujetos con periodontitis severa en comparación con los que presentan salud periodontal. Estudios similares han demostrado que existe una relación positiva entre DMT2 y el desarrollo de la periodontitis.15-17 Además, se ha descrito que individuos con DMT2 y un buen control de los niveles de glucosa en sangre disminuyen el número de veces de riesgo para desarrollar periodontitis en comparación con individuos con un control glucémico deficiente.18,19 Sin embargo, la periodontitis al ser una enfermedad multifactorial, la presencia de bacterias periodonto patógenas y la respuesta inmunológica del individuo juegan un papel de suma importancia en el desarrollo de esta enfermedad, lo que mostró en nuestros resultados una correlación positiva entre el aumento de niveles altos de HbA1c y la severidad de la enfermedad periodontal crónica generalizada.
El aumento de los niveles de glucosa en sangre de forma persistente en casos con DMT2 desencadena complicaciones a nivel inmunológico, bioquímico, fisiológico y psicológico.20-23 Estas complicaciones, generadas inicialmente por un proceso de resistencia a la insulina, activa vías alternas para obtención de energía como la beta oxidación de los ácidos grasos, entre otras. Dichas alteraciones generan cambios en las concentraciones normales de algunas biomoléculas como el colesterol y LDL,24,25 estas dos moléculas están relacionadas con problemas cardiovasculares, encontrando una relación positiva entre estas dos moléculas y los niveles de HbA1c.26-28 En los resultados obtenidos se observó una correlación positiva entre el descontrol y los niveles altos de colesterol y LDL, sugiriéndonos que el mal control de los niveles de glucosa en sangre aumenta el riesgo a desarrollar complicaciones microvascular y microvascular en pacientes diabéticos.
Dentro de las complicaciones microvasculares de la DMT2 se encuentra la periodontitis, la cual es una enfermedad crónica e inflamatoria que afecta los tejidos de soporte del diente.29,30 La periodontitis puede ser modificada en su evolución y severidad por factores como la dieta, hábitos nocivos y enfermedades sistémicas.31 Asimismo, un descontrol glucémico en DMT2 puede cambiar la etiopatología de la periodontitis.11 En los datos obtenidos se muestra un incremento de los porcentajes de HbA1c con respecto a la severidad de la periodontitis, sugiriendo una estrecha relación entre ambas enfermedades. De este modo, se evaluaron los parámetros clínicos periodontales con respecto al control glucémico. Encontrado una disminución del porcentaje de enrojecimiento gingival y un aumento de pérdida de nivel de inserción en el grupo de alto riesgo a desarrollar complicaciones en comparación con los que presentan buen control glucémico. Estos datos sugieren que los altos niveles de glucosa en sangre están generando un problema microvascular en el periodonto, desfavoreciendo la capacidad de regeneración, lo que conlleva desarrollo de la enfermedad periodontal.
La glucemia no controlada ha demostrado deterioro de las defensas del huésped, incluida la disminución de la actividad y la movilización de leucocitos granulocitos, la quimiotaxis, la actividad fagocítica y el aumento del estrés oxidativo, que afectan el sistema metabólico, genético y hemodinámico, e incrementa los productos finales de glicación avanzada, 28,32,33 lo que demuestra que el número de granulocitos en la sangre en individuos conlleva riesgo a desarrollar complicaciones. Esto nos sugiere que el proceso inflamatorio generado por los niveles altos de HbA1c está favoreciendo el incremento de estas células para exacerbar la respuesta inmunológica. Sin embargo, estudios han demostrado que el aumento de los niveles de glucosa en sangre disminuye la capacidad de activación de los granulocitos. Sugieren que el control glucémico deficiente en pacientes con DMT2 disminuye la capacidad de defensa y remodelación en el tejido periodontal.










texto en 


