Introducción
La migración es un fenómeno que tiene múltiples causas; la principal es la búsqueda de mejores condiciones de vida, por ejemplo, una mejora de la situación laboral (Solimano, 2013). Entre los motivos para cambiar de lugar de residencia, continuar con los estudios es importante entre los jóvenes, quienes tienen la esperanza de que al finalizar sus estudios obtendrán mayores recompensas económicas.
En general, existen cambios en la forma de percibir el mundo por parte de los migrantes y esta situación se podría incrementar en el caso de los estudiantes, ya que estos sufren un doble impacto; por un lado, por la adaptación que tienen que realizar en el lugar de destino y, por el otro, el efecto que tiene la educación. Ambos influyen en su formación, pues estos estudiantes se integran a la vida universitaria como adolescentes o adultos jóvenes y esto modifica las expectativas de vida que tenían.
En la actualidad hay un mayor reconocimiento del papel de las mujeres en la migración. La creciente participación de las mujeres en los movimientos migratorios ha ocasionado cambios en los roles de género, tanto en los migrantes como en los lugares de origen y destino (Cárdenas-Rodríguez et al., 2018). Cabe mencionar que las redes de fortalecimiento y desarrollo entre las mujeres de una familia son un apoyo para que las migrantes acopien el valor suficiente para dejar su lugar de origen y busquen la concreción de su sueño de ser universitarias.
Al considerar la forma en que se han modificado los roles entre hombres y mujeres se hace necesario el análisis de la migración desde la perspectiva de género, en el que se tomen en cuenta los cambios y los retos de los individuos al enfrentarse a una cultura distinta a la del lugar de origen. Las modificaciones ocasionadas por los cambios en las expectativas de vida de los estudiantes migrantes podrían hacer necesaria la implementación de medidas en las universidades para apoyar a los jóvenes.
Este artículo tiene como objetivo analizar, de acuerdo con el género, las diferencias en las expectativas de vida de los estudiantes migrantes ante los que no lo son. Se considera que tradicionalmente el hombre se ha encargado principalmente de la parte productivo-pública y la mujer de la reproductivo-privada. Para alcanzar dicho objetivo se aplicó una encuesta en dos universidades ubicadas en Saltillo, Coahuila (México). La hipótesis planteada es que existe una diferencia en las expectativas debida al género y a la migración.
Revisión de literatura
La división social del trabajo por roles de género ha sido estudiada de forma amplia por distintos investigadores enfocándose principalmente en el trabajo doméstico. Mora y Pujal (2018) hacen un recuento teórico acerca del trabajo doméstico y centran su atención en los aspectos del cuidado, la provisión y el servicio. Afirman que los quehaceres de cuidado han sido realizados preponderantemente por las mujeres, mientras las actividades de provisión han estado a cargo de los hombres. Sagastizabal y Legarreta (2016) elaboran una propuesta de análisis de la distribución del tiempo entre las actividades del hogar y las remuneradas y la participación política.
Salvidar et al. (2015), en un análisis de cuatro regiones de México, observan que la escala de roles de género que desarrollan es sensible de la ubicación geográfica, a pesar de algunas constantes identificadas. Desde su punto de vista, el trabajo debe incluir el asalariado, el doméstico familiar y el voluntario relacionado con la participación política. En este orden de ideas, las personas deben dividir su tiempo en estas actividades, y mediante la participación en ellas el individuo puede construir su identidad. El uso del tiempo no se mide de manera lineal, sino que es necesario incorporar otras dimensiones cíclicas, biológicas y sociales. El uso del tiempo está definido por el género, por lo que condiciona el lugar de las personas en la sociedad.
Otros autores han abordado los roles de género desde distintas perspectivas. Un estudio de la forma en que llevan a cabo la vida sexual jóvenes en Coahuila se puede encontrar en Hernández Montaño y González Tovar (2016), quienes consideran que los jóvenes universitarios conservan elementos de modernidad y arraigo de las costumbres y afrontan una tensión entre una mayor flexibilidad de los roles de género y el deber ser.
En el caso del desarrollo profesional, Vallejo Ruiz et al. (2002) se enfocan en el sesgo de género en los equipos o consejos editoriales de revistas científicas españolas de educación. Encuentran que si bien existe una mayor incorporación de las mujeres, a consecuencia de una igualdad en el campo laboral, persiste un sesgo en los cargos directivos de estas revistas, en una proporción de dos a uno a favor de los hombres.
Por su parte, Vizcarra-Bordi y Vélez-Bautista (2007) revisan la situación de investigadores en la Universidad Autónoma del Estado de México. Comentan que las mujeres deben cumplir una doble tarea, mientras los hombres se abocan a la consecución de logros académicos y científicos.
En general, los autores revisados incorporan el concepto de roles tradicionales, y algunos lo confrontan con un rol en transición, en el que algunas de las actividades propias de un género se incorporan al otro. En el rol en transición de participación en la producción es en el que se observa que las mujeres toman parte con mayor fuerza; mientras, en la parte doméstica, los hombres lo hacen de manera más lenta.
Cárdenas-Rodríguez et al. (2018) analizan el cambio en los roles de género desde la experiencia de los migrantes. Anteriormente se consideraba que el papel de la mujer en la migración dependía del hombre, ya sea que ella migrara con el esposo o que migrara para reunirse con él, con lo cual mantenía su rol reproductivo. En la actualidad se ha puesto de manifiesto un rol activo de la mujer en el proceso migratorio y en la integración de esta a la esfera productiva de la sociedad. Sin embargo, las mujeres mantienen una relación más estrecha con la familia que los hombres. Asimismo, se tiene conocimiento del incremento de la visibilidad de los movimientos migratorios femeninos. Estos son un factor para la integración a las comunidades de destino.
Estudios sobre migración han referido que esta ha ocurrido desde el inicio de la humanidad, por lo que se ha considerado como “la madre de las civilizaciones” (Narváez Gutiérrez, 2012, p. 29), ya que, gracias a estos movimientos poblacionales, se han incrementado las redes sociales de desarrollo, tanto económico como social y cultural, por mencionar solo algunos aspectos. Por desgracia, algunos grupos han sido insertados en la categoría de “lastre o un problema” (López Caballero, 2016, pág. 11), pues la forma de inclusión dentro de un sistema no ha sido siempre la mejor ni la óptima, ya que es posible que no cuenten con oportunidades de trabajo y de desarrollo profesional, familiar, de sanidad o atención médica.
La migración puede suceder dentro del país de origen; esta es mejor conocida como migración local. Hacia fuera de este, denominada migración transnacional o internacional, es la realizada para cambiar de país, se esté o no en un país vecino (Márquez Covarrubias, 2012).
La feminización de la migración es un fenómeno observado en todo el mundo. La forma en que las mujeres influyen en este proceso, en el cual existen múltiples idas y retornos y se mantienen los lazos sociales, culturales y familiares, ha dado lugar a que algunos autores hablen de espacio social transnacional (Neumann, 2008). Este espacio influye en los lugares de destino y de retorno debido a que los migrantes llevan su cultura, pero también incorporan elementos de esta en el lugar de destino.
En el caso mexicano, la migración es principalmente local, si bien la importancia de la migración internacional se ha incrementado al paso del tiempo. En 2000, el 91.2 por ciento de la migración era local y el resto internacional, principalmente hacia Estados Unidos, 7.5 por ciento del total. Para 2010, el 75 por ciento era local, 22.7 por ciento hacia Estados Unidos y el resto a otros países (Morales Ochoa et al., 2018, p. 43).
Sobrino (2014) menciona otros cambios en el fenómeno migratorio: una disminución de la intensidad migratoria; el incremento de la participación del flujo urbano-urbano, y un aumento de movilidad de poblaciones grandes hacia poblaciones pequeñas (movimientos descendentes), motivado, en mayor medida, por migraciones de retorno y por la búsqueda de una mejor calidad de vida. En lo relativo a las características sociodemográficas de los migrantes, se observa que, al disminuir la edad y el nivel educativo, estos prefieren ir de poblaciones pequeñas a poblaciones grandes (movimientos ascendentes) y si el destino es de mayor tamaño que la población de origen, la calidad del empleo y el ingreso son menores.
La literatura señala que los motivos de la migración son variados. Al inicio, se debe tener una idea del tiempo que se estará fuera del lugar de origen o de si la estadía será “más o menos permanente” (Cruz Piñeiro y Acosta, 2015, p. 9). Lo que sí es una generalidad es que la movilidad tiene la finalidad de encontrar mejores condiciones de vida y que depende de las condiciones económicas de la comunidad de origen, como sistema automático de apoyo a la toma de decisión de la partida (Escobedo Sánchez, 2012). Yankelevich (2015, p. 9) confirma que el motivo principal es la “búsqueda de trabajo y oportunidades”, que finalmente se concentra en opciones que mejoran las condiciones de vida tanto de los migrantes como de sus familias. En la decisión de migrar, Varela Llamas et al. (2017) encuentran una relación entre la situación del mercado laboral y las condiciones familiares. Conforme se incrementa el número de horas de trabajo semanal y las semanas de búsqueda de un nuevo trabajo, una persona migrará más por cuestiones laborales que familiares.
Así, uno de los motivos principales para migrar es precisamente el deseo de mejorar las condiciones de vida en un futuro no lejano, a la vez que el incentivo para iniciar el viaje hacia el lugar de destino se fomenta por las historias de vida que cuentan los amigos, familiares o conocidos, mientras en el lugar de establecimiento se fortalecen las redes sociales de apoyo al incrementar el valor de sus códigos culturales. Solimano (2013) argumenta que las redes de trabajo, sociales, étnicas o profesionales son importantes en la generación de incentivos para la migración porque se convierten en la primera fuente de información acerca de las condiciones del lugar de destino. Tienen un papel importante en el apoyo personal y moral de los migrantes.
La persona que sale de su lugar de origen nunca regresa con las mismas expectativas de vida; siempre se produce un cambio en la forma de ver la vida y en la relación con los integrantes de la familia. Incluso, redes sociales que estaban fortalecidas sufren cambios y las inexistentes se hacen presentes con la finalidad de ofrecer solidez a la persona que migra. Aun, llegan a “recrear la cultura de su lugar de origen en su lugar destino” (Giménez Montiel, 1996) con el objetivo de sentirse un poco en casa. De este modo, las redes migratorias son “conjuntos de relaciones interpersonales que vinculan a los inmigrantes, a emigrantes retornados o a candidatos a la emigración con parientes, amigos o compatriotas, ya sea en el país de origen o en el de destino” (Arango Vila-Belda, 2003).
La migración también impone retos importantes para los lugares de destino. En el caso de las ciudades, se busca la sustentabilidad urbana, por lo que se hace necesaria una adecuada planeación para la recepción de los nuevos integrantes de la sociedad, permanentes o temporales. Ochoa-Ramírez et al. (2019) sugieren que se promueva la construcción vertical y que la planeación tome en cuenta el fenómeno de la migración a fin de lograr la mejora del nivel de vida y el desarrollo armónico.
Planteamiento de la hipótesis
Del trabajo de Burin y Meler (1998, p. 26) se retoma la premisa de que a partir de la revolución industrial se asignó el espacio público al género masculino y el privado al femenino. Así, el espacio que le corresponde a los hombres se liga al poder racional y económico, mientras a las mujeres se les vincula con el poder de los afectos en el ámbito de la vida doméstica y la familia. El hombre es el que sale del ambiente privado hacia un ambiente público, en el que participa en la producción de bienes y servicios enfocados al mercado. Por estas razones, a este comportamiento lo hemos denominado público-productivo; al otro, privado-reproductivo. Si bien es cierto que en el ámbito privado se generan bienes y servicios (Mora y Pujal I Llombart, 2018), consideramos que esta forma de identificación refuerza la idea de la producción que realiza el sujeto masculino como orientada a un proceso de producción capitalista.
En el presente artículo partimos de la hipótesis de que el género y la migración tienen un efecto sobre las expectativas de vida de los estudiantes. Las preferencias entre lo público-productivo y lo privado-reproductivo corresponderían a los roles tradicionales de género que se iniciaron en la revolución industrial, cuando el género femenino se concentraba en las actividades relacionadas con lo privado-reproductivo, mientras el masculino se enfocaba más hacia lo público-productivo. En el caso de la migración, se espera que las preferencias se alejen de los patrones tradicionales, de forma que el género masculino tendería a incrementar sus preferencias por la parte privado-reproductiva y las mujeres a incrementar su preferencia por lo público-productivo.
En este trabajo se consideran como estudiantes universitarios migrantes temporales locales a jóvenes que cursan la licenciatura, que han dejado su lugar de origen, mexicanos y que salen de su lugar de origen por un tiempo determinado. Este tipo de estudiante no tiene en mente que en un futuro pueda quedarse a vivir en el lugar donde estudió y piensa regresar a su lugar de origen (Mancillas-Solís, 2018, p. 27). Este grupo se contrapone al de los estudiantes residentes, los cuales estudian en el mismo estado del cual son originarios.
Metodología
Para la realización del estudio se aplicó una encuesta durante el semestre enero-agosto de 2016 a estudiantes de la Universidad Autónoma de Coahuila y de la Universidad Autónoma Agraria Antonio Narro, en los distintos campus de ambas universidades en la ciudad de Saltillo, Coahuila. La selección de estas universidades tiene como ventaja que ambas cubren todas las áreas del conocimiento de la clasificación SEP-CONACYT (Secretaría de Educación Pública-Consejo Nacional de Ciencia y Tecnología) (INEGI, 2012); que son 1) educación; 2) artes y humanidades; 3) ciencias sociales, administración y derecho; 4) ciencias naturales, exactas y de la computación; 5) ingeniería, manufactura y construcción; 6) agronomía y veterinaria; 7) salud, y 8) servicios. Además, en ellas es posible hacer una comparación entre estudiantes migrantes y residentes en Coahuila.
Participantes
Dadas las características de las universidades, se utilizaron dos métodos distintos de muestreo. Para la Universidad Autónoma de Coahuila, que se encuentra dividida en escuelas y facultades ubicadas en distintos lugares de la ciudad de Saltillo y cuyas carreras consideran cinco de las seis áreas del conocimiento que se enseñan en esa universidad, se utilizó un muestreo por conglomerados, en el que cada uno de estos corresponde a una escuela o facultad. Para la Universidad Autónoma Agraria Antonio Narro, debido a que los estudiantes se encontraban concentrados en un solo campus y las carreras están en su mayoría reunidas en el área 1, ciencias agropecuarias, se prefirió emplear un muestreo aleatorio simple. Se aplicó un total de 434 encuestas en ambas instituciones. El tamaño de muestra por universidad se distribuye casi de modo semejante, ya que son parecidas las poblaciones de estudiantes de ambas universidades en la localidad, de forma que no existe una sobrerrepresentación de alguna de ellas.
En la aplicación de la encuesta participaron estudiantes de la Facultad de Economía que cursaban la materia de Econometría. La relación entre jóvenes encuestadores y encuestados generó que el rapport se alcanzara en un tiempo menor al esperado y, por lo tanto, los instrumentos de estudio se completaron rápidamente. Cabe precisar que aquí se entiende por rapport el grado de confianza logrado con el sujeto de estudio, que da como resultado un estado de seguridad de este al responder, con lo cual se obtiene información de mayor calidad.
Instrumento
Entre los datos de identificación se incluyen la carrera, la edad, el semestre cursado, el sexo, el estado civil, el número de hijos, el lugar de nacimiento, el estado de procedencia, la pertenencia a un grupo indígena y si se habla una lengua indígena. Estas variables nos permitieron determinar el efecto del género y la migración en las expectativas de vida.
Para el diseño del cuestionario se consideraron dos categorías principales que representan la dicotomía en las decisiones que los agentes deben tomar en su vida: público-productivo y privado-reproductivo. Las preguntas utilizadas suponen la existencia de un grado de sustitución entre ambas categorías; por ejemplo, en algunos casos, se solicitó que repartiera su tiempo entre algunas actividades que se proponían y que representarían esta dicotomía.
A los encuestados se les pidió que respondieran sobre la base de sus expectativas en un horizonte temporal de cinco años, posterior a la realización de la entrevista y que correspondería a las etapas iniciales de su vida laboral una vez concluidos sus estudios. Las preguntas están divididas en dos secciones principales. En la primera de ellas se busca conocer la distribución del tiempo y del gasto planeados, ingreso, características del trabajo y situación sobre con quién compartiría su vida privada. En la segunda se pretende precisar las preferencias de los estudiantes respecto a distintos aspectos de su vida privada y su vida pública, a través de siete elementos distintos.
Se usó una escala del 0 al 10, en la que 0 corresponde a una inclinación hacia lo privado-reproductivo y 10 a una identificación con lo público-productivo. Se le pidió al entrevistado ubicar sus preferencias entre estos dos extremos dentro de un rectángulo. La indiferencia estaría marcada por el número 5, a la mitad de la recta. En la figura 1 se muestra un ejemplo.
En este artículo solo se expone lo tocante a la segunda sección de la encuesta. A partir de las respuestas se construyó un índice de preferencias de lo público-productivo. Para dicha construcción, se sumó el puntaje obtenido en cada uno de los aspectos y se dividió entre 70, que representa el máximo de puntos posible de los siete aspectos considerados. De esta manera, un 1 marca una preferencia absoluta por lo público-productivo y un 0 una preferencia por lo privado-reproductivo.
Procedimiento
Los resultados se clasificaron según dos categorías. La primera de ellas corresponde al género, la cual contempla dos clases: masculino y femenino. Se reconoce que esta clasificación deja de lado un espectro amplio del concepto de género. Se tomó esta decisión debido al ambiente cultural que prevalece en Saltillo y al propósito del estudio, que es comparar las respuestas de los estudiantes con los roles tradicionales.
La segunda categoría busca definir la migración a partir de la vecindad. El criterio de vecindad, en este estudio, consiste en que los estados compartan fronteras; este corresponde a un criterio “torre” (Siabato y Guzmán-Manrique, 2019, p. 8). Para los originarios del estado de Coahuila, se tiene una vecindad de orden 0; los estados colindantes con Coahuila, como es el caso de Nuevo León, tienen un orden 1; los estados que colindan con los de orden 1 tienen un orden 2 de vecindad, y así sucesivamente. Se identificó hasta un orden 5, concentrados hacia el sur de la República Mexicana. Algunos estados con el orden 3 se ubican al norte; pero, en general, conforme se incrementa el nivel se van moviendo al sur. Esta forma de medir la vecindad es parecida a la utilizada en los modelos de gravedad que buscan determinar las causas de migración interna (Morales Ochoa et al., 2018) y que permiten reflejar la estructura espacial.
Resultados
De los encuestados, 39 por ciento son mujeres. La edad promedio, al momento de hacer el estudio, es 20 años. Llevaban estudiando la carrera por dos años. Alrededor del 8. 5 por ciento pertenece a un grupo indígena; de estos, todos reconocen que hablan la lengua del grupo de pertenencia. Los principales grupos lingüísticos identificados son el tzotzil, el náhuatl, el tojolabal y el zapoteco. Todos los que refirieron que forman parte de un grupo étnico provienen de la Universidad Autónoma Agraria Antonio Narro. Al consultar la base de datos con que cuenta esta universidad para toda su población en Saltillo, se encontró que este comportamiento coincide con el reportado por la muestra.
Respecto a la vecindad, más del 45 por ciento de los encuestados proceden de Coahuila y el resto son migrantes, como se muestra en la figura 2. Se observó que conforme se incrementaba el orden de vecindad aumentaba la frecuencia de las observaciones. De forma que los de orden 1 representaban menos del cinco por ciento; los de orden 2, alrededor del seis por ciento; los de orden 3, 12 por ciento; los de orden 4, cerca del 14 por ciento, y los de orden 5, el 21 por ciento.
En cuanto al índice de preferencias de lo público-productivo, la figura 3 muestra una concentración en la indiferencia entre lo público-productivo y lo privado-reproductivo. Sin embargo, en esta figura, el montículo señalaría una preferencia por lo público-productivo. Dentro de los roles tradicionales cabría esperar dos montículos, uno cargado hacia el 0 y otro hacia el 1, de forma que lo representado podría informar de una búsqueda del equilibrio entre las actividades privado-reproductivas y las público-productivas, con un grupo de preferencias que se explicaría por el género, lo que correspondería a un rol tradicional del hombre.
En la distribución del índice de preferencias según género se observan patrones distintos, pero que contienen algunos elementos semejantes, como se constata en la figura 4. En ambos géneros hay un comportamiento parecido al de la población total, pero con un mayor realce en lo que podría esperarse del rol tradicional en el lado masculino y una búsqueda de mayor equilibrio en la parte femenina. No obstante, en ambos casos, hay una mayor preferencia por lo público-productivo. Un punto importante que considerar es que en el género femenino es visible una mayor preferencia o una total preferencia por lo privado-reproductivo. Lo anterior nos señalaría que hay grupos de la población femenina que aún asumirían como válidos los roles tradicionales de género.

Fuente: elaboración propia
Figura 4 Distribución del índice de preferencias de lo público-privado por género
Asimismo, es notorio un alejamiento de las preferencias por los considerados roles tradicionales masculino y femenino, con algunos elementos semejantes, a saber: una concentración hacia el equilibrio en actividades y la preferencia por lo público-productivo en ambos géneros. Sin embargo, una proporción de la población femenina está de acuerdo con los roles tradicionales.
De la figura 5 se puede inferir el efecto del género. Se utilizó una variable dicotómica, en la que el 0 corresponde a lo masculino y el 1 a lo femenino. Para la población femenina, se tiene una tendencia hacia la reducción del índice, lo cual cabría esperarse frente al comportamiento de los roles tradicionales.

Fuente: elaboración propia
Figura 5 Comparación del índice de preferencias de lo público-privado con el género
Con fundamento en la información anterior, se deduce que el género tiene un efecto en las preferencias por el tipo de actividades que se realizarán. Las mujeres tienden a valorar menos las actividades público-reproductivas que los hombres. Pero esta tendencia no indica necesariamente que los roles tradicionales permanecen, ya que, como se mencionó, prepondera la tendencia a buscar el equilibrio entre las actividades, con una preferencia hacia lo público-productivo entre la mayoría de la población femenina. En la población masculina, la búsqueda del equilibro tiene menor intensidad y hay mayor preferencia por las actividades público-productivas.
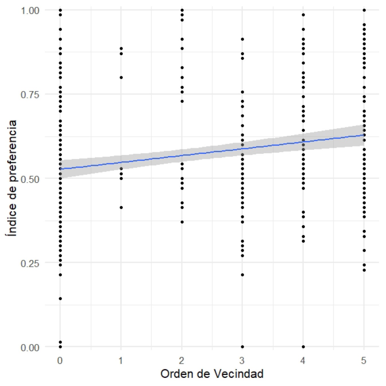
La figura 6 muestra el efecto del orden de vecindad en el índice de referencia. En la medida que se incrementa el orden de vecindad, las preferencias se van modificando.

Fuente: elaboración propia
Figura 6 Distribución del índice de preferencias de lo público-privado por orden de vecindad
Tanto para los estudiantes migrantes como para los de Coahuila, el comportamiento de la muestra es similar al del total: conforme se van alejando, la preferencia por lo público-productivo va cobrando importancia. Así, los migrantes más alejados tienden a darle mayor importancia a este aspecto. En el caso del orden 3, esta tendencia se rompe, posiblemente porque en este orden se están incorporando estados del norte del país, mientras el resto de los órdenes refleja a estudiantes que provienen del sur cada vez en mayor cuantía.
La figura 7 da cuenta del efecto del incremento del orden de vecindad sobre el índice de preferencia. Es claro el aumento en este índice a medida que el orden se va incrementando. Una posible explicación de este fenómeno es que los estudiantes migrantes afrontarían mayores costos por movilizarse para conseguir mejores ingresos. De esta manera, tenderían a valorar más las condiciones laborales por los gastos que tendrían que hacer para desplazarse de su lugar de residencia.

Fuente: elaboración propia
Figura 7 Comparación del índice de preferencias de lo público-privado con el orden de vecindad
Es necesario tomar en cuenta los efectos de la migración en la vida familiar de los migrantes, ya que es probable que la migración haya dado lugar a relaciones sociales menos sólidas. Por lo tanto, es necesario considerar estos elementos para la planeación de las ciudades que están creciendo a consecuencia de la migración.
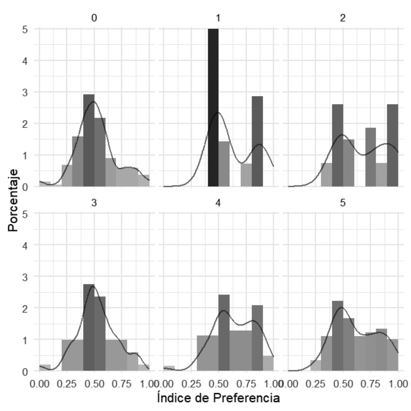
De acuerdo con la figura 8, la vecindad afecta de manera distinta a los géneros. Para los originarios del estado de Coahuila, la mayor concentración en las preferencias hacia lo privado-productivo se ubica en el género masculino, mientras el femenino tiene una distribución que se asemeja más a una normal. No obstante, en la gráfica, conforme se va incrementando la vecindad se forman dos montículos en ambos géneros; uno, alrededor del punto medio de preferencias, y otro, en la preferencia por las actividades público-privadas.

Fuente: elaboración propia
Figura 8 Comparación del índice de preferencias de lo público-privado con el orden de vecindad y género
En consecuencia, es posible contar con mayores elementos para sostener una hipótesis acerca de la relación de los costos que tienen que solventar los migrantes y la valoración de estos sobre sus lugares de residencia. Se puede conjeturar que la valoración del lugar de origen por parte de los residentes reduciría las probabilidades de migrar. La información con que se cuenta y la consecución de los objetivos de este estudio no generan información que pueda dar sustento sólido a dicha afirmación.
Para la determinación del peso del género y la vecindad del lugar de origen en el índice de preferencias de lo público-privado se propone el siguiente modelo:
Donde V i = factor de vecindad del estudiante i; G i = género del estudiante i, y e i = errores.
A partir de la información recogida, los resultados son los siguientes:
| Estimador | Error estd. | Valor t | Pr(>|t|) | |
|---|---|---|---|---|
| Intercepto | 0.548020 | 0.015913 | 34.438 | < 2e-16 |
| V i | 0.019228 | 0.004526 | 4.248 | 0.0000265 |
| G i | -0.047365 | 0.019283 | -2.456 | 0.0144 |
Los estimadores calculados son significativos, por lo que se afirma que la vecindad y el sexo tienen influencia en el índice de preferencias por lo público-privado. En promedio, los estudiantes tienden a un equilibrio entre lo público-productivo y lo privado-reproductivo, con una ligera preferencia por lo público-productivo.
Si bien el estimado de la vecindad es menor en términos absolutos, el efecto acumulado es mayor que el correspondiente al género a partir de una vecindad de 3. Se observa que conforme el factor de vecindad se va incrementando, los estudiantes modifican sus preferencias hacia lo público-privado -cerca de dos por ciento en el índice-. Por consiguiente, a medida que más lejos se encuentran del lugar de origen es mayor la preferencia por las actividades correspondientes a lo masculino según el modelo tradicional de familia. Este cambio llega a cerca del 10 por ciento entre quienes no han migrado y quienes vienen de lugares más alejados.
En el caso del género, se tiene un efecto pequeño, de cerca del cinco por ciento. El signo negativo del indicador revela que las mujeres tienen una inclinación ligeramente mayor por las actividades privado-reproductivas que los hombres.
Discusión
En este documento se rescata la idea de analizar el fenómeno migratorio considerando, además del mercado de trabajo o la estructura industrial de los lugares de origen y destino, los atributos socioeconómicos individuales (Varela Llamas et al., 2017). El análisis efectuado posibilita el entendimiento de los cambios en el individuo una vez que llega al lugar de destino y los posibles efectos de estos cambios tanto en el lugar de destino como en el de origen, en caso de que decida regresar.
Dentro de un modelo tradicional se podría esperar que los hombres obtuvieran valores en el índice de preferencias de lo público-privado de entre 0.5 y 1, muy cercanos a la unidad, y las mujeres de entre 0 y 0.5, cercanos a cero. Para ambos géneros, los valores encontrados cercanos a 0.5 hablan de un equilibrio entre lo público-productivo y lo privado-reproductivo.
Estos resultados se pueden contrastar con lo que Mora y Pujal I Llombart (2018) señalan acerca de dos modelos de género, el tradicional y el de transición. En el tradicional, el hombre se orienta a la parte pública y la mujer a la privada. En tanto, en el de transición, si bien hay una incorporación de las mujeres a las actividades públicas, estas siguen orientadas a lo privado, con poca participación de los hombres. De acuerdo con la información obtenida, sigue existiendo una preferencia del género femenino por la parte privado-reproductiva y una menor importancia de esta para el género masculino. Sin embargo, se observa, en general, una ligera pérdida de preferencia por lo privado-reproductivo entre los estudiantes universitarios, con un impacto en los migrantes con respecto del modelo tradicional.
Las expectativas encontradas en esta investigación contrastan con los resultados de otras en las que, en general, se halló que los sujetos de estudio perciben que los hombres deben ser fuertes, con escasa expresión emocional, y a las mujeres se les adjudican características como ser cariñosas, emocionalmente fuertes, buenas cuidadoras (Garduño et al., 2015, pp. 2136-2140). En este sentido, los roles que otros autores han considerado prevalecientes no coinciden con las actividades que refieren los encuestados, ya que se seguiría esperando que el género masculino dirigiera el interés hacia la parte público-reproductiva, mientas el femenino hacia la privado-reproductiva. Si bien se encontraron algunos casos que se ajustan a los roles tradicionales, la mayoría de los encuestados de ambos géneros muestran una tendencia al equilibrio de sus preferencias. Estas diferencias se pueden explicar en virtud de la población seleccionada, estudiantes del nivel licenciatura, lo que habla del efecto de la educación en los roles de género.
Acerca de la menor preferencia por las actividades privado-reproductivas de los migrantes, Giménez argumenta que la distancia no los aleja de manera definitiva ni de sus amigos ni de sus familiares, pues “siguen manteniendo una intensa comunicación a distancia con su localidad” (1996, p. 12). Este hecho revela que los migrantes, al fortalecer sus relaciones con la gente de su lugar de origen, sienten apoyos invisibles para continuar dedicándose a su desarrollo profesional. No obstante, siempre puede existir un “remordimiento ante el distanciamiento emocional” (Navarro Smith, 2001, p. 70) que los impela a regresar para dedicarse a otros roles reproductivos en su lugar de origen, o con alguien de su lugar de origen.
Asimismo, es posible que, gracias a las redes invisibles de protección, “desarrollen estrategias integradoras” (Sosa, Fernández y Zubieta, 2014, p. 154) que permanezcan en su futuro destino como un apoyo para el desarrollo de actividades productivas. Estas redes de protección permiten a los migrantes reducir las modificaciones necesarias en sus roles de género, de modo que sigan manifestándose de forma lo más parecida a sus lugares de origen. Aunque, por otro lado, la postergación de la vida reproductiva es el resultado de la madurez obtenida tras la experiencia migratoria, que los hace actuar ante el imperativo de satisfacer las necesidades de supervivencia diaria en soledad.
Las mujeres migrantes modifican sus roles de género dependiendo de su lugar de origen. Cruz Manjarrez (2014) analiza los efectos de la migración en la comunidad zapoteca de Yalálag tanto en los migrantes como en la comunidad de origen. Para las mujeres de esta comunidad, los incentivos para participar en la migración son que esta representa una ganancia en la libertad y un empoderamiento a través del acceso a recursos económicos. Cabe destacar que en Yalálag hay un extremado dominio del hombre sobre la mujer y un “mercado de matrimonio” en el que la mujer puede verse devaluada ante la posibilidad de hijos fuera del matrimonio. Esta lógica lleva a un control sobre las mujeres en las interacciones sociales, que puede incluir la vigilancia durante los paseos y prescripciones de la forma de arreglarse y vestirse.
Por otro lado, respecto a las mujeres de otra comunidad zapoteca, se ha hablado de un mayor prestigio social e independencia, que pueden generar discursos que abarcan desde una complementariedad armónica hasta un matriarcado (Gómez Suárez y Miano Borusso, 2008, pp. 172-176). De esta forma, es posible que la migración no tenga un efecto tan claro, ya que reflejaría los roles de género de las comunidades de origen. Se debe entender el género de manera más flexible y referirse a un modelo tradicional hegemónico que no puede aplicarse de manera general.
Martínez Corona y Hernández Flores (2019, pp. 357-358) abordan los cambios en la masculinidad de los migrantes agrícolas rarámuris. Plantean un sistema en las localidades de origen que tiene cierto grado de flexibilidad en la división del trabajo y en las relaciones afectivo-sexuales; con un dominio masculino sobre las mujeres, que se manifiesta en la toma de decisiones familiares por parte del varón, falta de participación política de la mujer y la veda para esta de posiciones y actividades dotadas de valor simbólico. En el caso de los hombres y las mujeres jornaleros agrícolas migrantes, observaron cambios en los roles de género como la incorporación de las mujeres al trabajo remunerado, la reorganización del trabajo doméstico, una mayor participación política de estas y una reducción de la violencia de género.
En este orden de ideas, si se sostiene que en las comunidades de origen persisten los roles de género tradicionales, es posible afirmar que se ha producido un cambio por parte de las mujeres y hombres migrantes. No obstante, en el marco del presente estudio, para comprobar esta afirmación se requiere más información sobre la forma en que se distribuyen los roles en los lugares de origen de los estudiantes.
Al comparar los resultados de esta investigación con los asentados en la literatura sobre el papel de las mujeres en la migración, se podría hablar de un cambio en este papel. Se ha hablado del surgimiento de “familias transnacionales”, de las cuales las mujeres migran para resolver problemas apremiantes de sus familias y esperan regresar pronto, o migran por situaciones de opresión y violencia. Neumann (2008, pp. 242-243) señala que, en el caso del Centro Alternativas, en Chile, el 52 por ciento de las mujeres tiene a algunos o a todos sus hijos en sus países de origen, lo que es un incentivo para regresar y no integrarse en los lugares de destino. Encontró una interacción entre la madre y los hijos, ya sea de manera remota o presencial, cuando regresan a su localidad de origen.
Respecto a las participantes en el estudio, estos vínculos desaparecen, lo que podría explicar el porqué de la cercanía de los valores en el índice de preferencias de lo público-privado desarrollado, y podría suponerse un debilitamiento de este tipo de familias. Para llegar a afirmaciones al respecto es necesario un seguimiento de los estudiantes migrantes una vez que hayan terminado sus estudios.
Finalmente, estos resultados son congruentes con las nuevas masculinidades según la cuales los hombres, en general, se comprometen con la crianza y la educación de los hijos. Rojas (2006, p. 201) encuentra diferencias en esta participación dependiendo del sector de ingresos. En los sectores populares, los hombres muestran una preferencia por sus hijos varones antes que por sus hijas; en los sectores medios, una indiferencia por el género de su prole.
Limitaciones del estudio
Una de las limitaciones del estudio está relacionada con las características de los estudiantes de las universidades seleccionadas. En términos generales, el ingreso de estudiantes de una de ellas podría ser mayor si se tomaran en cuenta las características socioeconómicas de las familias de origen. Esta situación dejaría de lado algunas variables que podrían ser importantes para explicar algunos de los resultados que se mostraron.
Otra limitación está vinculada con la forma en que se midió la migración, ya que se podría reflejar mejor una estructura de costos de migración utilizando otra variable en lugar de estado de origen, como tiempo que dura el trayecto, costos del viaje y distancia, mientras en el lugar de destino se tomaría en cuenta el sitio de arribo, las redes sociales y las formas de sobrevivencia. De esta manera, sería posible utilizar técnicas para la valoración de los recursos naturales (Hernández Trejo et al., 2017, pp. 150-155) para contemplar la probabilidad de permanencia en el lugar de residencia.
Como ya se señaló, no es posible identificar los efectos de la migración sobre los individuos en particular, ya que es necesario entender los roles de género de los lugares de origen. El estudio solo puede precisar cuánto se alejan las preferencias de los encuestados con respecto de un rol considerado hegemónico en la sociedad actual.
En este estudio se dejan de lado los planes futuros de residencia de los encuestados, si les gustaría regresar a su población o permanecer en los lugares donde finalizarán sus estudios. Esta información sería útil para la creación de políticas de acompañamiento de los egresados de las universidades.
Conclusiones
Entre los estudiantes universitarios de Saltillo, las preferencias por las actividades no responden a los roles tradicionales instaurados con la revolución industrial y hay una propensión hacia lo público-reproductivo sobre lo privado-reproductivo.
Podemos esperar que los profesionistas de ambos géneros se inclinarán por darle mayor importancia a la parte público-productiva de su vida, en menoscabo de la privado-reproductiva. Este supuesto hace necesarios la discusión sobre los efectos que ese tipo de decisiones tendrán en el bienestar de los individuos y el replanteamiento de una parte de la política orientada al género.
Se hace patente un efecto de la migración en las preferencias de los futuros profesionistas, con un incremento en la parte público-productiva, lo que podría tener repercusiones en la vida privada. Para las ciudades que están creciendo desmedidamente a causa de la migración, significa condiciones que obligan a considerar políticas públicas para apoyar la vida privada. Se entrevé que las estudiantes migrantes femeninas tienen un comportamiento distinto al de otras mujeres migrantes en lo relativo a los lazos familiares en sus lugares de destino, lo que facilitaría su integración en estos.
Los resultados y la literatura revisada evidencian la necesidad de indagar más acerca de las condiciones en los lugares de origen de los estudiantes migrantes con el fin de tener mayor claridad sobre los cambios en las expectativas de vida en función de la etapa de vida en la que se integran a la universidad y en la que egresan tras haber vivido una experiencia migratoria.
Se observa un cambio en los roles de género masculinos con respecto de los tradicionales: los hombres buscan involucrarse más en la crianza y la educación de los hijos. Este cambio hace indispensable que las políticas de género den mayor importancia al papel del padre y faciliten la interacción de este con los hijos, ya que las mujeres consideran una mayor cantidad de tiempo en la vida productiva.










nueva página del texto (beta)






