SciELO - Scientific Electronic Library Online

 
vol.5 número4Effect of different building materials on conjugate heat and mass transfer índice de autoresíndice de materiabúsqueda de artículos
Home Pagelista alfabética de revistas  

Servicios Personalizados

Revista

Articulo

Indicadores

Links relacionados

  • No hay artículos similaresSimilares en SciELO

Compartir


Ingeniería mecánica, tecnología y desarrollo

versión impresa ISSN 1665-7381

Ingenier. mecáni. tecnolog. desarroll vol.5 no.4 México mar. 2016

 

Artículos

Determinación del Desbalance en Sistemas Rotor-cojinete a velocidad constante: Método de Identificación Algebraica

Jorge Colín Ocampoa 

José Gabriel Mendoza Lariosa  * 

Andrés Blanco Ortegaa 

Arturo Abúndez Pliegoa 

Enrique Simón Gutiérrez Winga 

a Departamento de Ingeniería Mecánica, CENIDET, Interior Internado Palmira, s/n, 62490, Cuernavaca, Morelos, México. Teléfono: 01 (777) 362-7770


Resumen:

En este trabajo se presenta el desarrollo del modelo matemático de un identificador algebraíco en línea; para determinar el desbalance y su posición angular en sistemas rotodinámicos vibratorios de multiples grados de libertad. El identificador propuesto se obtiene al tomar como base un modelo matemático en elemento finito para sistemas rotatorios de múltiples grados de libertad. Para el desarrollo del modelo, se consideró un elemento tipo viga con cuatro grados de libertad por nodo, donde se incluyen los efectos de la inercia rotatoria, momentos giroscópicos, deformaciones por cortante y amortiguamiento interno y externo del sistema. Se evaluó y analizó el comportamiento en el tiempo del identificador propuesto, para la identificación del desbalance y su posición angular; se tomó como dato de entrada la respuesta de vibración al desbalance a velocidad constante del sistema rotodinámico, obtenida de la simulación numérica.

Palabras clave: Desbalance; identificación algebraica; rotor-cojinete; balanceo; vibración

Abstract:

The development of a mathematical model for an on-line algebraic identifier is presented in this work. This model is used for determining the unbalance and its related angular position on vibrating rotor-dynamic systems of multiple degrees of freedom. The proposed identifier was obtained from the basis of a finite element mathematical model for rotating systems of multiple degrees of freedom. The model was developed under the consideration of four degrees of freedom beam-type element, where rotational inertia, gyroscopic moments, shearing strains and inner and outer damping effects were included. The on time behavior of proposed identifier was assessed for unbalance identification and its related angular position; the constant-speed unbalanced vibration response obtained from numerical simulation was used as input data.

Keywords: Unbalance; algebraic identification; rotor-bearing; balancing; vibration

Introducción

Una de las fuentes más comunes de generación de vibración en máquinas rotatorias se debe al desbalance. El desbalance ocurre cuando el eje principal de inercia del rotor no coincide con el eje geométrico del sistema, lo que provoca vibraciones que generan fuerzas indeseables que se trasmiten directamente a los elementos mecánicos, así como, soportes y cojinetes del rotor. Por otra parte, el fenómeno de la resonancia que ocurre cuando la frecuencia de excitación se iguala con una frecuencia natural del rotor, genera que los efectos del desbalance sean catastróficos para el sistema, por lo que es necesario proponer métodos y/o dispositivos para atenuar este tipo de vibraciones. Por su parte, las técnicas de balanceo en sistemas rotodinámicos consisten en la adición o eliminación de masas en ubicaciones específicas del rotor, la magnitud y posición angular de las masas se seleccionan de manera que las fuerzas centrífugas que actúan sobre ellas al girar el rotor se opongan a las fuerzas producidas por el desbalance original, de tal forma que contrarresten sus efectos. Entre los métodos más comunes de balanceo se encuentran los métodos de balanceo por coeficientes de influencia y balanceo modal.

Para poder balancear un sistema rotor-cojinete, es necesario determinar el desbalance presente en el sistema y su posición angular. Por tanto, es necesario implementar algún método de balanceo que permita determinar estos parámetros. Asimismo, también existe una vasta literatura sobre métodos de identificación y estimación de parámetros, los cuales son esencialmente asintóticos, recursivos o complejos (Ljung [1]; Soderstrom [2]; Sagara y Zhao [3]; Sagara y Zhao [4]). Actualmente, existe otro método de identificación cuyo enfoque es diferente a los métodos de identificación clásicos, conocido como método de identificación algebraica. Éste se basa en el algebra diferencial y el cálculo operacional para el desarrollo de estimadores a medida que permiten la determinación de parámetros desconocidos de un sistema a partir de su modelo matemático. De igual forma, las estimaciones se realizan en línea y en tiempo continuo o discreto. Una de las características de la identificación algebraica es, proporcionar relaciones de identificación completamente independientes de las condiciones iniciales del sistema. Algunas comparaciones entre los métodos clásicos de identificación y la identificación algebraica, así como, sus ventajas y desventajas se encuentran en Trapero [5]. La identificación algebraica ya ha sido empleada para la estimación de parámetros y señales en sistemas mecánicos vibratorios, lineales y no-lineales (Beltrán-Carbajal et al. [6]; Beltrán-Carbajal et al. [7]; Beltrán-Carbajal et al. [8]; Beltrán-Carbajal et al. [9]; Beltrán-Carbajal et al. [10]; Blanco et al. [11]; Trapero et al. [12]; Trapero et al. [13]; Arias et al. [14]). Los resultados numéricos y experimentales muestran que la identificación algebraica proporciona una elevada robustez contra la incertidumbre de los parámetros, variaciones de frecuencia, pequeños errores de medición y ruido. Información adicional sobre la robustez de la identificación algebraica se encuentra en Sira-Ramírez et al. [15].

En este artículo, se presenta el tratamiento matemático para el desarrollo de un modelo para la estimación en línea del desbalance y su posición angular, para sistemas rotor-cojinete de múltiples grados de libertad, el cual se basa en el método de identificación algebraica en línea reportado por Fliess y Sira-Ramírez [16]. La ventaja que ofrece el modelo propuesto, es que solo se necesita la respuesta de vibración en línea del sistema como dato de entrada, y no es necesario llevarlo hasta su velocidad nominal de operación, para identificar el desbalance y su posición angular y proceder a balancear el rotor.

Modelado de sistemas rotor-cojinete utilizando el método del elemento finito

En el pasado, se han desarrollado con éxito varias aproximaciones numéricas para el análisis del comportamiento dinámico de sistemas rotodinámicos. De tales aproximaciones numéricas, tal vez el enfoque más popular por su alta eficiencia y conveniencia de la modelización, es el método del elemento finito. De acuerdo con Fei et al. [17], el método del elemento finito para rotores fue desarrollado por primera vez por Ruhl y Booker, (1972). En su trabajo, solo consideran la energía de flexión elástica y energía cinética de traslación. Por su parte Nelson y McVaugh [18], generalizaron el trabajo de Ruhl y Booker, (1972) al proponer una formulación de elemento finito donde se incluyen los efectos de la inercia rotatoria, momentos giroscópicos y el efecto de una carga axial. Posteriormente Zorzi y Nelson [19], incorporaron los efectos del amortiguamiento en el modelo de elemento finito, y Nelson [20], introdujo el efecto de la deformación por cortante utilizando la teoría de vigas de Timoshenko, con lo que fue posible simular un sistema de un rotor flexible soportado por cojinetes de rigidez lineal y amortiguamiento viscoso.

Los elementos básicos de un sistema rotor-cojinete son: el disco, el eje, los cojinetes y los sellos (Berthier et al. [21]; Lalanne et al. [22]), además de las masas de desbalance. Para caracterizar los diferentes elementos del rotor como el disco y la masa de desbalance, es necesario determinar las expresiones para la energía cinética. Así mismo, en lo que respecta al eje, además de la energía cinética se requiere el conocimiento de la energía de deformación. A partir del principio de los trabajos virtuales, se obtienen las fuerzas derivadas de los rodamientos y/o sellos que actúan sobre el eje.

Las ecuaciones generales del sistema se obtienen a partir de los siguientes pasos:

  1. Se determina la energía cinética T, la energía de deformación U, y el trabajo virtual de las fuerzas externas para los elementos que conforman el sistema.

  2. Se aplica la ecuación de Lagrange para obtener las ecuaciones de movimiento para cada uno de los elementos.

La ecuación de Lagrange se definen como:

ddtTq˙i-Tqi+Uqi=Fqi (1)

donde i es el número de grados de libertad del sistema, qi son las coordenadas generalizadas, Fqi son las fuerzas generalizadas, y qi˙ indica diferenciación con respecto al tiempo t.

Modelo matemático de un sistema rotor-cojinete de múltiples grados de libertad

El modelo matemático para el sistema rotor-cojinete de múltiples grados de libertad se obtiene mediante el método del elemento finito. El eje se modela con un elemento finito tipo viga de cuatro grados de libertad por nodo, dos desplazamientos laterales y dos rotaciones (flexiones de la viga), tal y como se muestra en la Figura 1.

Figura 1 Elemento finito tipo viga para el modelado del eje. 

Donde el vector de desplazamiento nodal se define como:

δ=u1,w1,ψ1,θ1,u2,w2,ψ2,θ2T (2)

En la ecuación (2) "T" denota transpuesta, y los desplazamientos y rotaciones correspondientes a los movimientos en las direcciones X y Z son respectivamente:

δu=u1,ψ1,u2,ψ2T, δw=w1,θ1,w2,θ2T (3)

Siguiendo la metodología propuesta por Nelson y McVaugh [18] y Lalanne y Ferraris [23], para el modelado de los elementos de un sistema rotor-cojinete y aplicando la ecuación (1), se tiene que el modelo matemático para el sistema rotor-cojinete de múltiples grados de libertad, se puede escribir como:

Mδ¨+C(Ω)δ˙+Kδ=Ω21n(mud)nsinΩt+αn+cosΩt+αn (4)

con CΩ=C1+ΩC2 y K=K1+K2

donde n es el número de masas de desbalance presentes en el sistema, (mud)n y αn representan las magnitudes y posiciones angulares de las masas de desbalance, respectivamente. M, es la matriz de masa global del sistema. C(Ω), es la matriz de amortiguamiento global, que incluye los efectos giroscópicos en función de la velocidad de rotación (ΩC2), y C1 que contiene el amortiguamiento atribuible a los soportes. K, es la matriz de rigidez global, y está formada por: K2 que representa la rigidez del eje y K1 que contiene la rigidez atribuible a los soportes. Finalmente, el término Ω representa la velocidad de rotación del rotor. Las expresiones para las matrices en la ecuación (4), se encuentran en Lalanne y Ferraris [23].

Modelo matemático para la identificación algebraica del desbalance y posición angular

El objetivo del identificador algebraico en línea propuesto, es determinar la magnitud y posición angular del desbalance presente en sistemas rotor-cojinete. Para el desarrollo del identificador, se toma como base el modelo matemático del sistema rotodinámico de múltiples grados de libertad, donde se incluyen los efectos de la inercia rotatoria, momentos giroscópicos, deformaciones por cortante y amortiguamiento interno y externo del sistema, ecuación (4). Asimismo, se considera que el vector de desplazamientos del sistema δ se conoce (respuesta de vibración del sistema), y está disponible como dato de entrada para utilizarse en el esquema de identificación. Para un sistema rotodinámico real, el vector δ representa la señal de vibración que se presenta en el rotor a causa del desbalance y que se obtiene a partir de sensores de desplazamiento, colocados en puntos estratégicos a lo largo del rotor.

Para el análisis, se considera que en el sistema rotor-cojinete solo existe una masa de desbalance, por lo tanto, la ecuación (4) se puede reescribir como:

Mδ¨+C1+ΩC2δ˙+K1+K2δ=mudΩ2sinΩt+α+cosΩt+α (5)

Al multiplicar la ecuación (5) por t2 e integrar dos veces con respecto al tiempo "t", se obtienen las ecuaciones necesarias para el modelo del identificador algebraico del desbalance y su posición angular, para un sistema rotodinámico de múltiples grados de libertad:

2Mδ¨+C1+ΩC2δ˙+Kδt2=2mudΩ2sinΩt+α+cosΩt+αt2 (6)

donde

.pφt son integrales iteradas en el tiempo, de la forma 0t0σ10σp-1φσpdσpdσ1, con φt=0tφσdσ y p un entero positivo.

Posteriormente, al integrar por partes y después de realizar algunos tratamientos algebraicos en la ecuación (6), ésta se puede expresar en sistemas de ecuaciones lineales para cada nodo de la forma:

AtΘ=bt (7)

donde, Θ=mudη=mudcosα, mudζ=mudsenαT denota el vector del desbalance por identificar, At y bt se expresan como:

At=-a11(t)a12(t)a12(t)a11(t), bt=b1(t)b2(t) (8)

con

a11=2sinΩtt2, a12=2cosΩtt2

bt=Mt2δ+C1t+ΩC2t-4Mtδ+22M-2C1t-2ΩC2t+Kt2δ

Nótese que bt está en función de la respuesta de vibración del rotor δ. Cabe hacer notar, que para la identificación de la magnitud y posición angular del desbalance, se requiere únicamente la respuesta correspondiente a los grados de libertad de traslación de cada nodo del rotor.

De la ecuación (7) se puede observar que el vector Θ es identificable algebraicamente sí, y solo sí, la trayectoria del sistema dinámico es persistente en el sentido establecido por Fliess y Sira-Ramírez [16], es decir, las trayectorias o el comportamiento dinámico del sistema satisface la condición detAt0. En general, esta condición se mantiene al menos en un intervalo pequeño de tiempo t0,t0+ϵ, donde ϵ es un valor positivo y suficientemente pequeño.

De la solución de (7), se obtiene el modelo para el identificador en línea, para la magnitud del desbalance y su posición angular.

mudη=b2a11-b1a12a112+a122mudζ=b1a12+b2a11a112+a122mude=mudη2+mudζ2αe=cos-1mudηmudett0,t0+ϵ (9)

Como se puede observar en la ecuación (9), la identificación algebraica de los parámetros del desbalance y su posición angular del sistema rotodinámico, es independiente de las condiciones iniciales, además, solo depende del vector de desplazamientos del sistema para cada instante de tiempo.

Simulación del sistema rotor-cojinete de múltiples grados de libertad

Considérese el sistema rotodinámico que se muestra en la Figura 2, el cual se compone de un eje, tres discos inerciales y dos soportes en los extremos. Asimismo, también se muestra la discretización del rotor, así como, la masa de desbalance presente en el sistema. Se proponen tres masas de desbalance en tres posiciones angulares diferentes, las cuales se distribuyen en los tres discos inerciales a lo largo del rotor, que corresponden a los nodos 3, 6 y 11 respectivamente, ver Tabla 1.

Figura 2 Modelo del rotor. 

Tabla 1: Masas de desbalance presentes en el sistema 

Desbalance (kg·m) Posición angular (rad)
mud1=2x10-4, nodo 3 α1=π/4
mud2=1x10-4, nodo 6 α2=3π/4
mud3=1.5x10-4, nodo 11 α3=3π/2

Cabe señalarse que aunque el sistema rotodinámico que se consideró en la Figura 2, corresponde a un sistema rotor-cojinete simple, el modelado de un rotor real mediante el modelo de la ecuación (4) es factible. En el trabajo de Lalanne y Ferraris [23], se encuentra la aplicación de un modelo similar al representado por la ecuación (4), para el modelado de rotores industriales tales como: rotores de compresores centrífugos, compresores de vapor, turbinas de gas, turbinas de vapor, entre otros.

En las Tabla 2 y Tabla 3 se muestran las propiedades mecánicas y geométricas del eje y los discos respectivamente.

Tabla 2 Propiedades mecánicas y geométricas del eje 

Propiedades mecánicas Geometría
E=2x1011 N/m2 r=0.05 m
ρ=7800 Kg/m3 L1=0.2 m ; L2=0.3 m
ν=0.3 L3=0.5 m ; L4=0.3 m

Tabla 3 Propiedades mecánicas y geométricas de los discos 

Propiedades mecánicas Geometría
E=2x1011 N/m2 Disco D1 D2 D3
ρ=7800 Kg/m3 eD (m) 0.05 0.05 0.06
ν=0.3 riD (m) 0.05 0.05 0.05
reD (m) 0.12 0.20 0.20

En la Tabla 4 se muestran las características de rigidez y amortiguamiento viscoso de los soportes.

Tabla 4 Características de los soportes 

Rigidez Coeficiente de amortiguamiento
kxx=5x107N/m cxx=5x102N·s/m
kzz=7x107N/m czz=7x102N·s/m
kxz=kzx=0 cxz=czx=0

En la Figura 3, se presenta el diagrama de Campbell para el sistema rotor-cojinete correspondiente a la Figura 2. Del diagrama se observa que para el intervalo de velocidades de 0 a 30 000 rpm, las masas de desbalance solo excitan siete frecuencias naturales del sistema.

Figura 3 Diagrama de Campbell del sistema. 

En la Tabla 5, se presenta una comparación de las primeras siete frecuencias naturales para el rotor de la Figura 2, considerando discretizaciones del rotor con diferente número de elementos finitos. Asimismo, en la Figura 4 se muestra el diagrama de Bode de la respuesta de vibración correspondiente al nodo 6, posición del disco inercial 2, para tres diferentes discretizaciones del rotor 13, 26 y 52 elementos finitos.

Tabla 5: Comparación de frecuencias naturales 

Frecuencia
Natural
(Hz)
Modelo del Rotor
13 Ele.
Finitos
26 Ele.
Finitos
52 Ele.
Finitos
Desviación
(%)
F1 60.15 60.36 60.36 0.35
F2 63.10 63.33 63.33 0.36
F3 166.30 167.10 167.10 0.48
F4 189.10 188.20 188.20 0.48
F5 278.10 279.60 279.60 0.54
F6 405.20 407.50 407.50 0.57
F7 441.50 444.40 444.40 0.65

Figura 4 Respuesta del sistema para diferentes discretizaciones.  

De acuerdo con los resutados mostrados en la Tabla 5, los valores de las frecuencias naturales obtenidas para los modelos de 26 y 52 elementos finitos son similares, y la desviación porcentual entre estos datos y los correspondientes para el modelo de 13 elementos finitos es menor al 1%, lo que justifica el uso de unos pocos elementos finitos para las simulaciones presentadas en este trabajo. De igual forma, la Figura 4 muestra que para los diferentes esquemas de discretización del sistema rotor-cojinete a partir de 13 elementos finitos, no influye en la respuesta del rotor.

Simulación de la identificación algebraica en línea del desbalance y su posición angular

Considerese el sistema rotor-cojinete que se muestra en la Figura 2. En la Tabla 1, se presentan los nodos donde se encuentra el desbalance, así como su magnitud y posición angular. La identificación algebraica en línea de la magnitud del desbalance, así como su posición angular, se determinan con base en la respuesta vibratoria del rotor en función del tiempo. Por otra parte, la respuesta de vibración del sistema que se utiliza como dato de entrada para el modelo de la identificación, se obtiene a partir de la solución de la ecuación (4), mediante el método de integración numérica de Newmark. Nótese que la respuesta de vibración se puede obtener para cada uno de los nodos en los que fue discretizado el rotor, en consecuencia, es posible obtener una gráfica del comportamiento del identificador (9); en función del tiempo para cada nodo del sistema.

En la Figura 5a y Figura 5b, se muestran las señales de vibración del sistema para el nodo 6, en las direcciones x y z respectivamente. Estas señales junto con las correspondientes para los nodos restantes del rotor, son los datos de entrada requeridos para los identificadores de los parámetros de desbalance. Cabe señalarse que la velocidad del rotor seleccionada para las simulaciones es de Ω=3000 rpm, sin embargo los identificadores convergen para cualquier velocidad de operación del rotor. En el Apéndice A, se presenta la simulación del identificador, considerando una velocidad de operación del rotor de Ω=600 rpm.

Figura 5 (a) Señal de vibración en la dirección x del nodo 6 y (b) Señal de vibración en la dirección z del nodo 6.  

En las Figuras 6 a la Figura 8 y de la Figura 9 a la Figura 11, se muestra el comportamiento del identificador del desbalance y su posición angular en función del tiempo respectivamente, comportamiento que corresponde a los nodos 3, 6 y 11 del rotor. En las figuras la línea punteada representa los valores reales asignados, mientras que la línea continua representa el resultado obtenido de la estimación algebraica en línea.

Figura 6 Identificación del desbalance en el disco inercial D1.  

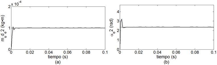
Figura 7 Identificación del desbalance en el disco inercial D2.  

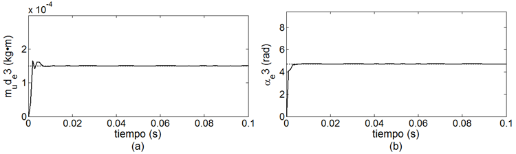
Figura 8 Identificación del desbalance en el disco inercial D3.  

Figura 9 Identificación de la posición angular del desbalance D1.  

Figura 10 Identificación de la posición angular del desbalance D2.  

Figura 11 Identificación de la posición angular del desbalance D3.  

Se puede observar de las Figuras 6 a la Figura 11, que la identificación tanto del desbalance como de su posición angular se lleva a cabo en menos de 0.02 segundos y una vez identificado el parámetro, éste se mantiene constante a lo largo del tiempo. Para un mejor análisis del comportamiento del identificador, en las figuras solo se muestran los resultados para un tiempo de hasta 0.1 segundos, ya que es importante observar el tiempo que requiere el identificador en línea para converger al valor estimado.

Por otra parte, en las Figuras 12 y Figura 13, se muestra el comportamiento del identificador del desbalance y su posición angular en función del tiempo respectivamente, comportamiento que corresponde al nodo 8, en el cual no existe desbalance en el rotor.

Figura 12 Identificación del desbalance en el nodo 8.  

Figura 13 Identificación de la posición angular del desbalance nodo 8. 

En la Figura 12 se aprecia como el identificador del desbalance tiende de forma inmediata a un valor de cero, esto a causa de que en el nodo 8 no existe masa que ocasione un desequilibrio al sistema. Asimismo, en la Figura 13 se observa que el identificador de la posición angular del desbalance no converge en un valor fijo, esto también a causa que en el nodo 8 no existe masa que provoque un desbalance en el sistema. Cabe mencionarse que este comportamiento, se presenta en todos los nodos del rotor donde no existe masa de desbalance.

Conclusión

Se propone un modelo matemático de un identificador para determinar la magnitud y posición angular del desbalance en un sistema rotodinámico de múltiples grados de libertad, basado en la técnica de identificación algebraica de parámetros en línea. El modelo propuesto, requiere de la respuesta de vibración del rotor (desplazamiento) a velocidad constante como dato de entrada. Se evaluó y analizó de forma numérica, el comportamiento en el tiempo del identificador propuesto; para una distribución de masas de desbalance en diferentes puntos a lo largo del rotor, tomando como dato de entrada la respuesta de vibración obtenida de la simulación de un sistema rotodinámico de múltiples grados de libertad. Los resultados numéricos muestran la rapidez y convergencia en la identificación de los parámetros de desbalance en un intervalo de tiempo de aproximadamente 0.02 segundos. La ventaja que ofrece el método propuesto en el balanceo de rotores, es que se puede identificar la magnitud y posición angular de las masas de desbalance que causan la vibración en el sistema rotodinámico, sin la necesidad de llevar al rotor hasta su velocidad nominal de operación, evitando así, pasar por las diferentes velocidades críticas del sistema.

Agradecimientos

Agradecemos a la DGEST por el apoyo recibido mediante el financiamiento al proyecto titulado "Diseño y Construcción de un Disco Balanceador Activo para Maquinaria Rotatoria" con clave 5294.14-P.

Referecias

[1] Ljung, L. Systems Identification: Theory for the User, Englewood Cliffs, New Jersey: Prentice-Hall, 1987, ISBN: 0136566952 [ Links ]

[2] Soderstrom, T. and Stoica, P. System Identification, New York: Prentice-Hall, 1989, ISBN: 0138812365. [ Links ]

[3] Sagara, S. and Zhao, Z. Y. Recursive identification of transfer function matrix in continuous systems via linear integral filter. International journal of control 50(2), (1989) 457-477. [ Links ]

[4] Sagara, S. and Zhao, Z. Y. Numerical integration approach to on-line identification of continuous systems. Automatic 26(1), (1990) 63-74. [ Links ]

[5] Trapero, J. R. Técnicas de Identificación algebraicas y espectrales de señales armónicas. Aplicaciones en mecatrónica y economía. Ediciones de la UCLM, Cuenca 2008. ISBN: 9788484276388. [ Links ]

[6] Beltrán-Carvajal, F.; Silva-Navarro, G. and Arias-Montiel, M. Active unbalance control of rotor systems using on-line algebraic identification methods. Asian journal of control, Vol. 15, No. 6, (2013) 1627-1637. DOI: 10.1002/asjc.744 [ Links ]

[7] Beltrán-Carbajal, F.; Silva-Navarro, G. y Arias-Montiel, M. Control activo de vibraciones en un rotor tipo Jeffcott con velocidad variable usando una suspensión electromecánica. Revista Iberoamericana de Automática e Informática Industrial. Vol. 11, No. 3, (2014) pp. 17-27, ISSN: 1697-7912. DOI: 10.1016/j.riai.2014.05.002 [ Links ]

[8] Beltrán-Carbajal, F.; Silva-Navarro, G.; Sira-Ramírez, H. and Blanco-Ortega, A. Computación y Sistemas Vol. 13 No. 3, (2010), pp 313-330, ISSN 1405-5546. [ Links ]

[9] Beltrán-Carbajal, F.; Silva-Navarro, G.; Sira-Ramírez, H. and Quezada-Andrade, J. Active vibration control using on-line algebraic identification of harmonic vibrations. Proceedings of American control conference, Portland, Oregon (2005). [ Links ]

[10] Beltrán-Carbajal, F.; Sira-Ramírez, H. and Silva-Navarro, G. Adaptive-like Active vibration suppression for a nonlinear mechanical system using on-line algebraic identification. Proceedings of the thirteenth international congress on sound and vibration, Vienna, Austria (2006). [ Links ]

[11] Blanco, A.; Beltrán, F.; Silva, G. and Méndez, H. Control de Vibraciones en Sistemas Rotatorios Revista Iberoamericana de Automática e Informática Industrial. Vol. 7, No. 4, (2010) 36-43, ISSN 1697-7912. DOI: 10.4995/RIAI.2010.04.06 [ Links ]

[12] Trapero, J. R.; Sira-Ramírez, H. and Feliu, B. V. An algebraic frequency estimator for a biased and noisy sinusoidal signal. Signal processing 87, (2006) 1188-1201. DOI: 10.1016/j.sigpro.2006.10.006 [ Links ]

[13] Trapero, J. R.; Sira-Ramírez, H. and Feliu, B. V. A fast on-line frequency estimator of lightly damped vibrations in flexible structures. Journal of sound and vibration 307, (2007) 365-378. DOI: 10.1016/j.jsv.2007.07.005 [ Links ]

[14] Arias-Montiel, M.; Beltrán-Carbajal, F. and Silva-Navarro, G. On-line algebraic identification of eccentricity parameters in active rotor-bearing systems. International Journal of Mechanical Sciences 85 (2014) 152-159. DOI: 10.1016/j.ijmecsci.2014.05.027 [ Links ]

[15] Sira-Ramírez, H.; García-Carlos, C.; Cortés-Romero, J. and Luviano-Juárez A. Algebraic identification and estimation methods in feedback control systems. John Wiley & Sons, (2014), ISBN 978-1-118-73060-7 [ Links ]

[16] Fliess, M. and Sira-Ramírez, H. An algebraic frame work for linear identification. ESAIM: Control, optimization and calculus of variations 9, (2003) 151-168. DOI: 10.1051/cocv:2003008 [ Links ]

[17] Fei, Z.; Tong, S. and Wei, C. Investigation of the dynamic characteristics of a dual rotor system and its start-up simulation based on finite element method. Journal of Zhejiang University SCIENCE A. Volume 14, Issue 4, (2013), pp. 268-280. DOI: 10.1631/jzus.A1200298 [ Links ]

[18] Nelson, H. D. and McVaugh, J. M. The dynamics of rotor-bearing systems using finite elements, ASME Journal of Engineering for Industry, Vol. 98, No. 2, (1976) pp. 593-600. DOI: 10.1115/1.3438942 [ Links ]

[19] Zorzi, E. S. and Nelson, H. D. Finite Element Simulation of Rotor- Bearing Systems with Internal Damping, ASME Journal of Engineering for PowerVol. 99, No. 1, (1977), pp. 71-76. [ Links ]

[20] Nelson, H.D. A finite rotating shaft element using Timoshenko beam theory. ASME Journal of Mechanical Design, 102(4): (1980) pp. 793-803. DOI:10.1115/1.3254824 [ Links ]

[21] Berthier, P.; Ferraris, G. and Lalanne, M. Prediction of critical speeds, unbalance and nonsynchronous forced response of rotors. 53th Shock and Vibration Bulletin. (1983) pp. 103-111. [ Links ]

[22] Lalanne, M.; Berthier, P. and Der Hagopian, J. Mechanical vibrations for engineers. John Wiley & Sons Ltd. (1983) ISBN 0471901970 [ Links ]

[23] Lalanne, M.; Ferraris, G. Rotordynamics prediction in engineering. John Wiley & Sons Ltd. (1990) ISBN 0471926337. [ Links ]

Nomenclatura

c

Coeficiente de amortiguamiento viscoso

d

Excentricidad de la masa de desbalance

D

Disco inercial

eD

Espesor del disco

E

Módulo de Young

k

Rigidez de los soportes o cojinetes

L

Longitud de sección del rotor

mu

Masa de desbalance

mud

Desbalance del Sistema

r

Radio sección transversal del eje

reD

Radio externo del disco

riD

Radio interno del disco

t

Tiempo

M

Matriz de masa del sistema

C

Matriz de amortiguamiento del sistema

K

Matriz de rigidez del sistema

Símbolos griegos

α

Posición angular de la masa de desbalance

ϵ

Incremento de tiempo

ν

Relación de Poisson

ρ

Densidad

Ω

Velocidad angular del rotor

δ

Vector de desplazamientos nodales

Apendice A

En las Figuras A1 a la Figura A3, se muestran las simulaciones del identificador del desbalance y su posición angular, correspondientes a los nodos 3, 6 y 11 del rotor de la Figura 2, respectivamente. En las figuras la línea punteada representa los valores reales asignados, mientras que la línea continua representa el resultado obtenido de la estimación algebraica en línea.

Figura A1 Identificación: (a) desbalance y (b) posición angular, en el disco inercial D1.  

Figura A2 Identificación: (a) desbalance y (b) posición angular, en el disco inercial D2.  

Figura A3 Identificación: (a) desbalance y (b) posición angular, en el disco inercial D3.  

Recibido: 12 de Octubre de 2015; Aprobado: 13 de Enero de 2016

* Autor para correspondencia: José Gabriel Mendoza Larios, email: jgml10m@cenidet.edu.mx

Jorge Colín Ocampo. Doctor en Ciencias en Ingeniería Mecánica. Profesor-Investigador Titular CENIDET, Departamento de Ingeniería Mecánica, Av. Interior Internado Palmira S/N, Col. Palmira, Cuernavaca, Morelos. C.P. 62490, Tel. 01(777) 362-7770 Ext. 1411, Fax 01(777) 362-7795, CE. jcolin@cenidet.edu.mx

José Gabriel Mendoza Larios. Maestro en Ciencias en Ingeniería Mecánica. Estudiante de Doctorado CENIDET, Departamento de Ingeniería Mecánica, Av. Interior Internado Palmira S/N, Col. Palmira, Cuernavaca, Morelos. C.P. 62490, Tel. 01(777) 362-7770. CE. jgml10m@cenidet.edu.mx

Andrés Blanco Ortega. Doctor en Ciencias en Ingeniería Eléctrica. Profesor-Investigador Titular CENIDET, Departamento de Ingeniería Mecánica, Av. Interior Internado Palmira S/N, Col. Palmira, Cuernavaca, Morelos. C.P. 62490, Tel. 01(777) 362-7770 Ext. 1418 Fax 01(777) 362-7795 CE. andres.blanco@cenidet.edu.mx

Arturo Abúndez Pliego. Doctor en Ciencias en Ingeniería Mecánica. Profesor-Investigador Titular CENIDET, Departamento de Ingeniería Mecánica, Av. Interior Internado Palmira S/N, Col. Palmira, Cuernavaca, Morelos. C.P. 6249, Tel. 01(777) 362-7770 Ext. 1408, Fax 01(777) 362-7795. CE. abundez@cenidet.edu.mx

Enrique Simón Gutiérrez Wing. Doctor en Filosofía en Ingeniería Mecánica. Profesor-Investigador Titular, CENIDET, Departamento de Ingeniería Mecánica, Av. Interior Internado Palmira S/N, Col. Palmira, Cuernavaca, Morelos. C.P. 62490, Tel. 01(777) 362-7770, Fax 01(777) 362-7795. CE. esgw@cenidet.edu.mx

Creative Commons License Este es un artículo publicado en acceso abierto bajo una licencia Creative Commons