1. Introduction
A sustainable energy supply is vital for any nation's economic development, industrialization, and urbanization. The world relies heavily on fossil fuels such as coal and crude oil to meet its energy demands, but these resources are depleting rapidly (Ghoddusi, 2017; Sasongko & Pertiwi, 2021). Moreover, the extensive use of traditional fossil fuels contributes to environmental issues like air pollution and global warming (Cossu et al., 2020). The Szulczyk refore, bioenergy development has become a primary method to reduce greenhouse gas emissions (Rimantho et al., 2023). Various biofuels, including bioethanol (Szulczyk et al., 2021), biobutanol (Zhen et al., 2020), biogas (Ma et al., 2021), and biodiesel (Atadashi et al., 2011; Sasongko & Noguchi, 2015), have been identified as viable alternatives to fossil fuels. Among them, biodiesel is an attractive biofuel that can be used in compression ignition engines. Therefore, biodiesel is expected to be a promising source of sustainable avian fuel (SAF), which has increasing demands of billions of gallons worldwide (Sundaramahalingam & Sivashanmugam, 2023).
Various feedstocks and biofuel production processes have been explored in the quest for alternatives to conventional petroleum fuels. Biodiesel has gained popularity worldwide as an alternative fuel for diesel engines, offering the benefits of renewability and environmental sustainability (Murphy et al., 2014). However, biodiesel production from food crops such as soy, sunflower, safflower, canola, and palm has faced limitations due to concerns about diverting potential food sources for fuel production (Hasan & Rahman, 2017). This has led to the growing controversy surrounding using food-based materials for biodiesel production. To overcome this drawback, some biodiesels are frequently derived from waste oil unsuitable for food production (Eze et al., 2022). As a result, researchers have shifted their focus to alternative, non-food-related feedstocks, such as algae oil, to address these challenges further (Abdulvahitoglu & Kilic, 2022; Kesharvani & Dwivedi, 2021).
Agriculture is estimated to contribute 30% of global anthropogenic emissions, significantly contributing to climate change (Ariyanti et al., 2020; Lynch et al., 2021). The excessive use of freshwater for irrigation, coupled with fertilizer application, leads to eutrophication and acidification when excessive nutrients from irrigation and rainfall runoff enter streams (Ariyanti et al., 2021). Furthermore, oil crops occupied approximately 23% of the world's cropland in 2019, based on total and specific harvested areas of crops (Pirker et al., 2016). The expansion of non-food agriculture, competing with crops grown for human consumption and animal feed, could have adverse environmental impacts and jeopardize food security.
Moreover, the development may face limitations due to climate-related constraints and land use restrictions.
Microalgae offer a promising alternative to oil crops, reducing the need to expand traditional agricultural activities while meeting the nutritional requirements for animal feed and edible oils (Ariyanti et al., 2021; Aziz, 2016; Correa et al., 2020). Microalgae are rich in vitamins and minerals, potentially reducing the reliance on artificial supplements in livestock diets (Madeira et al., 2017). Furthermore, microalgae do not require arable land and can utilize waste streams as nutrient sources, mitigating the environmental impact of other industries (Schneider et al., 2018; Spiller et al., 2020). They can be cultivated throughout the year and in colder climates, allowing for extended production seasons and a broader range of suitable locations (Cheregi et al., 2019; Smith et al., 2010).
While numerous studies have investigated the physicochemical properties of microalgae biodiesel using various oilseed feedstocks, a quantitative summarization of the research findings has yet to be attempted. In addition, a lot of relevant studies on biodiesel properties are still being published every year, so that updated summarization of recent studies is necessary. Therefore, a meta-analysis approach is necessary to assess the impact of different feedstocks on the performance of biodiesel. A meta-analysis combines information and statistical analysis from relevant articles to derive comprehensive interpretations (Ariyanti et al., 2023; Liland et al., 2021). Consequently, this research aims to compare the physicochemical properties of microalgae biodiesel with those derived from different oilseed feedstocks.
2. Materials and methods
2.1. Literature search and selection criteria
A database was created by collecting published and reported articles on biodiesel oilseed feedstocks. The keywords "microalgae," "biodiesel," and "oilseed feedstock" were used to search for relevant papers on Science Direct. The selection of publications followed the Preferred Reporting Items for Systematic Reviews and Meta-Analyses (PRISMA) procedure. The inclusion criteria for articles were: (a) reporting on various feedstock types and (b) providing physicochemical information on biodiesel.
Figure 1 illustrates the selection procedure. Initially, 495 articles were identified based on their titles. After careful evaluation, 118 articles were chosen, while 266 were excluded for inappropriate research titles and 111 were review articles. Upon reviewing the abstracts, an additional 66 articles were rejected due to their lack of relevance or inadequate coverage of variables. Then, incomplete methods led to the exclusion of 52 articles. Finally, the selected articles were added to the database.
2.2. Development of the database
The bibliography, category, viscosity, density, cetane number, iodine number, flashpoint, cloud point, acid value, and oxidation stability data were recorded in a Microsoft Excel spreadsheet. Subsequently, the feedstocks were categorized into microalgae or plant seeds. Descriptive statistics of the database can be found in Table 1.
Table 1 Descriptive statistics of the database used in the meta-analysis.
| Variable | Unit | N | Mean | SD | Min | Max |
|---|---|---|---|---|---|---|
| Density | ||||||
| Microalgae | (kg/m3) | 8 | 872 | 31.3 | 803 | 910 |
| Plant seed | (kg/m3) | 42 | 906 | 33.4 | 830 | 974 |
| Cetane Number | ||||||
| Microalgae | 3 | 51.7 | 2.93 | 48.4 | 54 | |
| Plant seed | 26 | 41.16 | 7.78 | 21 | 53 | |
| Acid Value | ||||||
| Microalgae | 3 | 0.47 | 0.25 | 0.29 | 0.75 | |
| Plant seed | 30 | 4.08 | 8.28 | 0.09 | 36 | |
| Flash points | ||||||
| Microalgae | ºC | 3 | 170.67 | 23.63 | 144 | 189 |
| Plant seed | ºC | 17 | 191.77 | 61.77 | 58 | 295 |
| Cloud point | ||||||
| Microalgae | ºC | 3 | 4.33 | 6.43 | -3 | 9 |
| Plant seed | ºC | 15 | 5.57 | 8.43 | -18 | 19 |
| Oxidation stability | ||||||
| Microalgae | h | 3 | 10.09 | 7.79 | 4.52 | 19 |
| Plant seed | h | 4 | 4.375 | 1.59 | 2.53 | 6.22 |
The boxplot method was employed to identify any outlier values in all parameters. After removing extreme values, the data was subjected to a mixed model meta-analysis. In this analysis, the categories were considered fixed factors, while each study was treated as a random effect. The mathematical model used was as follows Equation 1:
Here,
3. Result and discussion
A summary of the meta-analysis results is presented in Table 1, highlighting the performance parameters of biodiesel derived from microalgae and plant seeds. This study included 52 research papers covering eight species of microalgae and 50 different plant seeds. The microalgae species examined were Chlorella protothecoides, Chlorella sp., Dunaliella tertiolecta, and Isochrysis aff. galbana, Nannochloropsis sp., Scenedesmus dimorphus, Scenedesmus incrassatulus, and Spirulina platensis. The plant seeds encompassed a range of varieties, such as babassu, almond, camelina, candlenut, canola, cashew nut, castor, coconut, cottonseed, Crambe abyssinica, groundnut, hazelnut, jatropha, jojoba, Karanja,
SD = standard of deviation
-Kusum, linseed, mahua, Michelia champaca, mustard, neem, olive pomace, palm, peanut, rapeseed, rice bran, rubber, sesame, sour plum, soybean, sunflower, terminalia catappa, and tobacco.
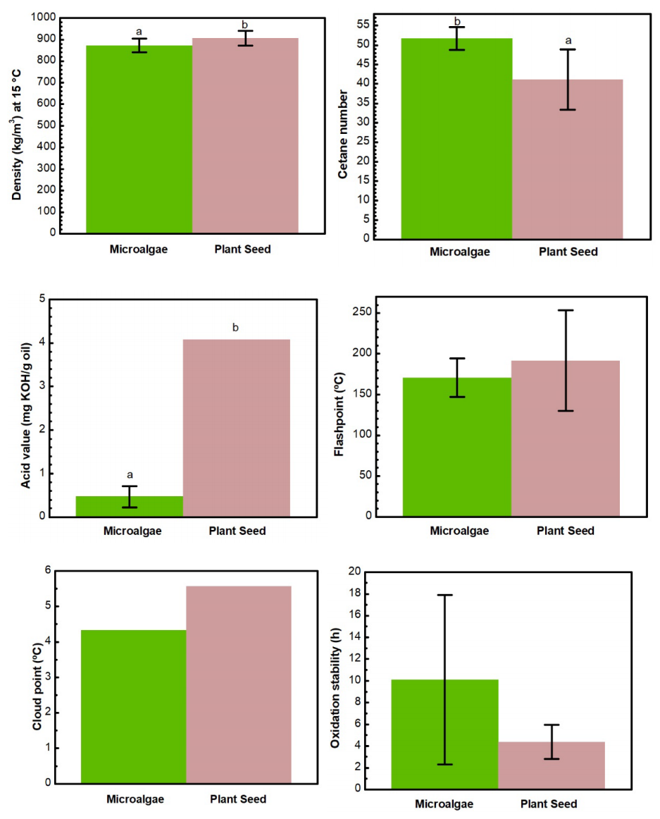
Biodiesel, as a commercial fuel, requires standardization, with each nation having its quality criteria. The European Union, for instance, adopts the EU 14214 standard for biodiesel quality. According to EN 14214, biodiesel should have a flash point of at least 120ºC, a density ranging from 860 - 900 kg/m3, and a viscosity between 3.5 - 5 mm2/s. Additionally, the European Union specifies a minimum cetane number of 51 for biodiesel, which is higher than in other countries. The variation in biodiesel standards can be attributed to factors such as raw material availability, diesel fuel quality in each country, engine characteristics, and pollution regulations. Figure 2 shows the statistical differences in the fuel properties between microalgae and plant seeds.
Integrating physical and chemical characteristics into appropriate standard requirements is crucial for determining biodiesel quality. The chemical composition and structural profiles of biodiesel derived from different feedstocks result in variations in fuel quality, including cetane number and compression-ignition characteristics. The cetane number of microalgae biodiesel was higher than that of biodiesel derived from plant seeds (p < 0.05). Microalgae biodiesel meets the ASTM D613 specification with a minimum cetane number of 51, whereas plant seed biodiesel falls short of this standard. Microalgae exhibit a mean cetane number of 51, while plant seeds have an average of 41. A higher cetane number indicates better combustion quality and shorter ignition delay, reducing exhaust emissions. Higher cetane numbers also promote quicker fuel auto-ignition and often result in lower NOx emissions, particularly during low-load engine operation. However, a clear pattern has yet to be identified.
Biodiesel from microalgae often exhibits a higher cetane number, which indicates better ignition quality and more efficient combustion. High cetane numbers result in smoother engine performance and reduced emissions. The cetane number of plant seed-based biodiesel can vary depending on the specific plant species and oil composition. The unsaturation of the carbon chain in fatty acids significantly influences the cetane number, with longer and more saturated carbon chains correlating with higher cetane numbers. Biodiesel derived from animal fats and algae exhibit higher cetane numbers than vegetable oils biodiesel (Makareviciene & Sendzikiene, 2022; McCormick et al., 2001; Toldrá-Reig et al., 2020; Zhang & Boehman, 2007). This study's findings align with previous research, demonstrating that microalgae biodiesel has more cetane than plant seed biodiesel.
In contrast to plant seed biodiesel, which does not meet standards, the density of microalgae biodiesel complies with ASTM D4052/D1298 specifications. The density of plant seed biodiesel was higher than that of microalgae biodiesel (p < 0.05). Microalgae biodiesel exhibited a mean density of 872, while plant seed biodiesel had an average density of 906. According to ASTM D4052/D1298, biodiesel density at 15 °C should fall within the 815-880 kg/m3 range. Biodiesel density is closely related to viscosity. The high density and viscosity of plant seed biodiesel can be reduced through transesterification. Low-viscosity biodiesel is advantageous as it is easier to pump, atomize, and form smaller droplets.
Density measures mass per unit volume for a substance or liquid. Density has been suggested to correlate with NOx emissions, with lower densities associated with lower NOx emissions (McCormick et al., 2001). In general, biodiesel fuels exhibit higher densities than conventional petroleum diesel, which means that when using volumetrically operated gasoline pumps, more biodiesel is injected than traditional diesel. This alters the air-to-fuel ratio, local gas temperatures, and NOx emissions while maintaining the diesel-fuel calibration.
Viscosity and density are crucial properties of biodiesel for its application as a replacement fuel in engines and vehicles. They significantly impact the fuel injection system, flame propagation, and combustion process in compression ignition engines. The viscosity and density of biodiesel are more significant than diesel, and these properties have implications for its commercialization (Mujtaba et al., 2021). Viscosity plays a crucial role in determining the fluid's movement. It affects the spray quality, engine operation, droplet size, spray distance, and fuel combustion efficiency. As defined by standard testing methods, Biodiesel should have a kinematic viscosity within a specific range. Lower-viscosity fuels do not penetrate effectively, while higher viscosity biodiesel forms more significant drops, leading to reduced engine efficiency and power due to incomplete fuel combustion (Sarin et al., 2020).
According to biodiesel standards EN 14214, ASTM D6751-12, and SNI 7182:2015, the maximum acid value is 0.5 mg KOH/g. Microalgae biodiesel exhibited a mean acid number of 0.47, while plant seed biodiesel had an average acid number of 4.08. Fuels with high acidity can cause corrosion. The maximum acid value specified in the Indonesian biodiesel standard is 0.6 mg KOH/g. The acid number (AN) of plant seed biodiesel was higher than that of microalgae biodiesel (p < 0.05). Microalgae biodiesel aligns with the ASTM D664 specification, while plant seed biodiesel exceeds this limit. The acid number is a crucial quality parameter for biodiesel, particularly from a producer's perspective. It reflects the degree of oxidation and hydrolysis in biodiesel. Hydrolysis can generate free fatty acids (FFAs) during biodiesel production, leading to severe operational issues and posing safety risks due to potential corrosion (Baig et al., 2013).
There were no substantial differences between microalgae and plant seeds in terms of flash points (FP) (p > 0.05). Both microalgae and plant seed biodiesel meet the ASTM D93 specifications, which require a minimum flash point of 52 ºC. Microalgae biodiesel exhibited a mean flash point of 171 ºC, while plant seed biodiesel had an average flash point of 192 ºC. Biodiesel derived from microalgae has a higher flash point than plant-based biodiesel.
A higher flash point makes the fuel less prone to ignition, improving safety during storage and transportation. Plant seed-based biodiesel typically has a lower flash point, making it more susceptible to ignition.
The flash point is the temperature at which a fuel's vapor and air mixture can ignite, and it inversely correlates with volatility. The flash point is crucial for safety, fuel handling, and storage. European standards require biodiesel fuels to have a flash point of 101ºC, while in the US, the requirement is 93ºC. These values serve as lower limits for the purity of the final fatty acid methyl ester (FAME) produced, and all analyzed feedstocks meet these standards. Shallow flash points below 58 ºC have been reported by some researchers, indicating higher residual methanol or decreased ester purity. Alcohol residues from biodiesel synthesis lower the flash point of the final biodiesel product, necessitating additional purification to meet the standard. The lower flash point of fossil diesel can be attributed to common molecular weight molecules and a branching component. At the same time, biodiesel may contain lesser amounts of alcohol, leading to a lower flash point (Boog et al., 2011).
The differences in cloud points (CP) between microalgae and plant seeds were not significant (p > 0.05). Microalgae biodiesel exhibited a mean cloud point of 4.33, while plant seed biodiesel had an average cloud point of 5.57. The cloud point of biodiesel is determined using cloud point equipment according to ASTM D2500 specifications. The cloud point is the lowest temperature at which crystal formation begins. By gradually reducing the temperature in increments of 3 degrees Celsius using a freezer capable of reaching below 0 degrees Celsius, clouds, haze, or wax crystals start forming at the bottom of the test tube. The temperature at which cloud formation initiates is known as the cloud point. The temperature is then decreased in 1°C increments until the fuel loses its flow characteristics or ceases to move. The cloud point is crucial for fuels used in cold climates (Dunn, 2021).
Oxidation stability (OS) did not show significant differences between microalgae and plant seeds (p > 0.05). Microalgae biodiesel exhibited a mean oxidation stability of 10 hours, while plant seed biodiesel had an average oxidation stability of 4.4 hours. Biodiesel from microalgae may have better oxidation stability compared to plant seed-based biodiesel. Higher oxidation stability ensures longer shelf life and better performance in engines. Plant seed-based biodiesel may be more susceptible to oxidation, leading to potential degradation over time.
Autoxidation is influenced by factors such as fatty acid content, total glycerine, humidity, fuel storage temperature, and exposure to light. Despite differences in feedstocks' fatty acid composition, biodiesel's chemical structure is linked to oxidative instability. Loss of hydrogen atoms from the allylic or bis-allylic carbon in the presence of an initiator generates a free radical, which rapidly interacts with an oxygen molecule to form peroxyl radicals. This process propagates, creating hydroperoxides, which further break down into aldehydes and short-chain acids. These reactions increase polymerization, acid value, peroxide value, and viscosity, developing insoluble gums. When biodiesel undergoes oxidation, its purity decreases, adversely affecting engine performance. The structural composition of fatty acids and ambient factors such as light, humidity, elevated temperatures, metal contamination, singlet, and triplet oxygen contribute to oxidation by generating free radicals from the alkyl chain (Amran et al., 2022).
Figure 3 shows essential amino acid profiles between microalgae and plant seeds. The amino acids are crude protein, arginine, histidine, isoleucine, leucine, lysine, methionine, phenylalanine, threonine, tryptophan, and valine. Microalgae are single-celled photosynthetic organisms rich in various nutrients, including essential amino acids. The exact amino acid profile can differ based on the microalgae species, but they contain a good balance of essential amino acids. Plant seeds are the reproductive structures of plants and are also rich in essential amino acids. Different plant seeds will have different amino acid profiles, but they provide a useful source of essential amino acids for human nutrition. Microalgae and plant seeds are beneficial sources of essential amino acids, but microalgae stand out for their higher protein content and well-balanced amino acid profile. On the other hand, plant seeds offer additional nutrients that make them a valuable part of a diverse and balanced diet. Incorporating various protein sources, including microalgae and plant seeds, can contribute to meeting the body's essential amino acid requirements.
Microalgae possess well-known advantages such as rapid growth rate, high lipid content, ability to mitigate carbon dioxide emissions, and using non-arable land for cultivation. These properties give microalgae an edge over various alternative feedstocks. Furthermore, microalgae do not compete with food crops, making them an intriguing option for environmentally friendly energy production. In recent years, there has been a notable increase in the utilization of microalgae as a biomass feedstock for biodiesel production.
Biodiesel derived from microalgae typically offers advantages over plant seed-based biodiesel, including higher oil content, a more diverse fatty acid composition, and better flash point and oxidation stability. However, the choice between microalgae and plant seed-based biodiesel depends on several factors, including the availability of feedstocks, the efficiency of the production process, and the specific performance requirements for different applications. Both sources have their merits and play a crucial role in the sustainable production of biodiesel.
4. Conclusions
This meta-analysis examined the performance parameters of biodiesel derived from microalgae and plant seeds. The study analyzed data from 52 research papers covering eight species of microalgae and 50 different plant seeds. The results showed that microalgae biodiesel outperformed plant seed biodiesel regarding cetane number, meeting the ASTM D613 specification. Microalgae biodiesel also exhibited compliance with density standards (ASTM D4052/D1298). However, microalgae and plant seed biodiesel met the flash point requirements (ASTM D93) and did not differ significantly in cloud points. The study highlighted the importance of viscosity and density in biodiesel's commercialization, with lower-viscosity biodiesel being advantageous for fuel injection and combustion processes. Additionally, it was observed that microalgae biodiesel had a lower acid number, indicating less susceptibility to corrosion. The findings emphasized the potential of microalgae as a promising feedstock for biodiesel production, thanks to its favorable characteristics such as rapid growth, high lipid content, and reduced competition with food crops.










nueva página del texto (beta)






