1. Introducción
En México existen distintos tipos de cartea crediticia; Créditos Revolventes, Créditos Personales y Créditos a la Vivienda.1 Los solicitantes de crédito, así como los clientes ya administrados por aquellas instituciones financieras en México, cuentan un rating o calificación tanto en la originación o solicitud del crédito como en el comportamiento de la vida del crédito. Las Técnicas para la calificación crediticia surgen por la necesidad de identificar el riesgo de consumo, mientras que el segundo motivo es minimizar el porcentaje de clientes incumplidos, con ello las instituciones bancarias o crediticias optimizan sus carteras para un buen y mejor negocio (Mays, 2004).
Al cierre de junio 2014 por parte de la Comisión Nacional Bancaria y de Valores (CNBV),2 uno de los principales instrumentos de crédito en México son las Tarjetas de Crédito; puesto que existen aproximadamente 23 millones de plásticos autorizados por 24 entidades financieras reconocidas.
Esta investigación impulsa el desarrollo y actualización en las Técnicas de calificación crediticia en México, considerando su regulación particular a nivel nacional e internacional, proponiendo la importancia para el sector financiero mexicano en contar con un modelo de riesgo crediticio actualizado y óptimo para el sector de tarjetas de crédito y en los resultados de las entidades financieras de la Banca Múltiple.
El documento se divide en cuatro partes, en la primera sección se aborda la explicación teórica sobre la administración del riesgo crediticio al consumo en México, enfocándose al análisis metodológico actualmente utilizado en administración del riesgo crediticio. Mientras que en la segunda sección se analiza estadística y econométricamente los datos recabados y la propuesta del modelo optimizado, con ello en la tercera sección se muestran los resultados obtenidos en ahorro y rentabilidad para la banca múltiple en México. Finalmente, en la última sección las conclusiones de todos los resultados obtenidos son analizados, reflejando gran cumplimiento en los planteamientos de esta investigación.
2. Metodología
La estadística y la administración de la información mediante modelos analíticos, permiten en nuestros días que las entidades financieras crediticias automaticen las decisiones de aceptación o rechazo de una solicitud de crédito, como la administración de una cartera crediticia en un cross-sell (venta cruzada). Uno de los modelos más usados para la evaluación de créditos es el Model Scoring (modelo de calificación) el cual que determina un score (puntaje) para un cliente solicitando un crédito o para un cliente con la posibilidad de incumplir con sus pagos parciales. La literatura en sus inicios de auge respecto al tipo de calificación crediticia mencionada fue desarrollada por Rosenberg & Gleit (1994); el modelo de valuación de opciones con Merton (1974), con temas similares de Hand & Jacka (1998); de menos importancia pero igualmente en elárea crediticia como Thomas Crook & Edelman (1992); Lewis (1992); mientras con temas crediticios y una combinación de calificaciones de comportamiento con Elizabeth Mays (1998).
Los modelos analíticos para el manejo del riesgo de crédito han sido extensamente estudiados y utilizados por un sin fin de áreas como la medicina, sociología y por su puesto por instituciones financieras desde hace más de 50 años, mostrando resultados exitosos en todo el mundo (Thomas 2004).
El identificar aquellos clientes consolidados o potenciales que no generan un negocio a la entidad, requiere buscar el adoptar mejores lineamientos en su tratamiento y reservar base monetaria en caso de incumplimiento y/o migración de buckets (impagos) tolerables a buckets catalogados como vencidos, tal es el caso con las investigaciones de Hsia (1978) que describe el aumento del método Scoring en importancia, mientras que otros cálculos son sugeridos por Reichert, Cho y Wagner (1993), Joanes (1993), Hand y Henley (1997); que detallan el estudio de relaciones particulares entre las distribuciones de clientes buenos y malos que cuentan con la posibilidad de aceptar y rechazar población con características similares.
La historia de los modelos de Scoring se remonta cuando Fisher (1936) introduce la idea de discriminar diferentes grupos dentro de una población específica. Esta idea fue desarrollada más ampliamente por Durand (1941), aplicando contexto financiero para discriminar entre un “Buen” y un “Mal” pagador, ver de igual manera a Thomas (2004). En relación a la creación de proveedores (vendors) de modelos scorging, Bill Fair y Earl Isaac3 a finales de los cincuentas empezaron con el desarrollo de un sistema analítico en relación al análisis de riesgo de créditos. En los años 60 con la creación de nuevos instrumentos financieros, como por ejemplo: las tarjetas de crédito, los modelos de Scoring realzaron y mostraron su real importancia y utilidad. Según Myers (1963) este tipo de modelos es superior como predictor que cualquier juicio experto cualitativo. Otro hito importante en este contexto fue el desarrollo del Z-Score propuesto por Altman (1968) que ha sido aplicado en muchas empresas del sector financiero.
2.1 Normatividad para México
La posibilidad de gestionar y administrar el riesgo, en donde al manejar importantes sumas de capital, pequeñas reducciones en el riesgo de la cartera significan enormes incrementos en la rentabilidad del negocio. Aunque algunas instituciones financieras en México desarrollen sus propios modelos de Scoring con base a los lineamientos establecidos por la CNBV,4 la mayoría entidades constituyen sus reservas con base a los lineamientos establecidos por dicha comisión. El acuerdo internacional sobre regulación y supervisión bancaria denominado “Nuevo Acuerdo de Capital”,5 exige a las entidades financieras de los países miembros, una revisión de sus dotaciones de capital para cubrir los riesgos. Estos parámetros les obligan a disponer de herramientas que les permitan establecer modelos de medición (Scorings y ratings) con objeto de discriminar a los clientes según su perfil de riesgo, sistemas de seguimiento del riesgo vivo y modelos de evaluación de la exposición y la severidad en el riesgo de crédito. Basilea II también obliga a las entidades financieras no solo a adaptar sus sistemas de cálculo del consumo de capital, sino también a modificar los sistemas de reporting (informes financieros) y de análisis de la información. Así el elemento clave para analizar el proceso de calificación de riesgos mediante modelos internos (IRB)6 según la normativa de Basilea II, es que las entidades financieras crediticias dispongan de un modelo de credit Scoring que les permita medir la Probabilidad de Incumplimiento del crédito que se otorga. Para tal efecto, el método estándar o regulatorio de la CNBV posibilita una validación con datos actuales y con ello obtener la formulación de un método IRB de calificación de comportamiento para el caso mexicano mediante una muestra de información nacional.
La CNBV menciona que la Cartera de Crédito al Consumo, son todos aquellos créditos directos derivados de operaciones de tarjeta de crédito, de créditos personales, de créditos para la Adquisición de Bienes de Consumo Duradero (conocidos como ABCD), así como las operaciones de arrendamiento financiero que sean celebradas con personas físicas.7
Es común que los factores que se deben tomar en cuenta al medir riesgo de crédito sean: las probabilidades de incumplimiento y/o de migración en la calidad crediticia del deudor, las correlaciones entre incumplimientos, la concentración o segmentación de la cartera, la exposición a cada deudor y la tasa de recuperación en caso de incumplimiento de los deudores.8
Para la determinación de provisiones en México de la cartera crediticia al consumo y, se sigue como base la regulación impuesta por la CNBV mediante la Circular única de Bancos (CUB).9 Los factores como la Severidad de la Pérdida (SP o Loss Given Default) que es lo que pierde el acreedor en caso de incumplimiento del deudor, una vez tomados en cuenta todos los costos implicados en la recuperación (costos de recobro, costos judiciales, etc.). Respecto a la Exposición al Incumplimiento (EI o Exposure at Default) es el saldo que debe el deudor en un momento dado en caso de incumplimiento. Mientras que el factor de riesgo crediticio a analizar en esta investigación es la Probabilidad de Incumplimiento (PI o Probability of Default), que es la medida de qué tan probable es que un acreditado deje de cumplir con sus obligaciones contractuales. Su mínimo valor es cero, lo cual indicaría que es imposible que incumpla con sus obligaciones, y su máximo valor es uno o cien por ciento cuando es seguro que incumpla. Con base a la regulación vigente, su estimación debe ser por crédito y con base a los factores de riesgos ya mencionados. Se define que las Reservas o Pérdidas Esperadas (R o PE) es la media de la distribución de pérdidas y ganancias, es decir, indica cuánto se puede perder en promedio y normalmente está asociada a la política de reservas preventivas que la institución debe tener contra riesgos crediticios. Para ello, se calcula la PE considerando el porcentaje de reservas (PI∗SP) por la EI.10
Para la construcción de un modelo de calificación de comportamiento óptimo para el producto de créditos revolventes y administrados por las entidades financieras mexicanas, adicional al modelo score que la CUB estipulado en el artículo 92 Fracción III, fue el siguiente proceso: primero, se obtuvo un conjunto o muestra de clientes o solicitudes clasificadas a priori como “buenas” y “malas”. En esta investigación se consideró una muestra de 43,32311 cuentas con los principales objetivos generales regulatorios y del evento que se quiera pronosticar. En este sentido, el modelo pronostica la probabilidad de que un cliente no realice dos o más pagos consecutivos12 en los próximos 12 meses, calculando la probabilidad de recuperar o no un crédito.
La información fue compilada y procesada para su posterior análisis y modelación por medio de la técnica analítica (Weber, 1999), para la modelación y construcción de modelos analíticos de calificación de comportamiento. La técnica estadística utilizada es el análisis discriminante y la regresión logística tal y como la CUB lo adopta, que sirvió para su validación y con ello proponer un modelo alternativo que apruebe mejores pruebas de significancia. Entre estos supuestos, es que se trabajan variables cuantitativas independientes y la variable dicotómica dependiente Yi igual a 1 (malo) si el Impago> 2 meses de falta de pago, mientras que si es 0 (bueno) si el Impago < 2 meses de incumplimiento en pago.
La técnica estadística más utilizada por la industria financiera corresponde a la regresión logística (Thomas et al., 2002). Esta técnica es menos restrictiva siendo una alternativa sobre la utilización del análisis discriminante. En los últimos años, han aparecido una serie de Técnicas nuevas llamadas Minería de Datos (Weber, 1999), las cuales han sido utilizadas también para la construcción de modelos de Scoring. Estas Técnicas tienen la ventaja de no tener demasiados requerimientos y supuestos para las variables de entrada, aumentando su validez. Esta técnica ha sido intensamente utilizada para la construcción de modelos de Scoring para la comprensión de patrones complejos de un determinado segmento de clientes, teniendo la capacidad de modelar relaciones no lineales entre las variables.
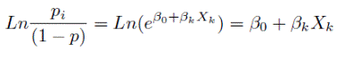
2.2 Análisis probabilístico
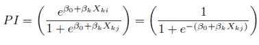
Dado que el uso de una función de distribución garantiza que el resultado de la estimación esté acotado entre 0 y 1, en principio las posibles alternativas son varias, siendo las más habituales la función de distribución logística, que ha dado lugar al modelo Logit, relacionando la variable endógena Yi con las variables explicativas Xi a través de una función de distribución con objeto de estudio (Yi = 1). En cuanto a la interpretación de los parámetros estimados en un modelo Logit, el signo de los mismos indica la dirección en que se mueve la probabilidad cuando aumenta la variable explicativa correspondiente, sin embargo, la cuantía del parámetro no coincide con la magnitud de la variación en la probabilidad.
A través de la linealización del modelo y partiendo de la ecuación general del Modelo Logit, se define yi como la probabilidad del estado o la alternativa 1, se tiene:
Esto satisface 0 ≤ yi ≤ 1 y por lo que:
Al cociente entre la probabilidad de que ocurra un hecho, o de que se elija la opción 1, frente a la probabilidad de que no suceda el fenómeno, o de que se elija la opción 0, se la denomina como la Odds Ratio.
Tomando logaritmos neperianos del Odds Ratio se linealiza la ecuación del modelo Logit:
La nueva variable
El Odds Ratio siempre será mayor o igual que 0.
2.3 Máxima verosimilitud
Para la estimación del Modelo Logit y para estimar sus parámetros se utiliza el método de máxima verosimilitud (MV). Como pi toma dos valores; 0 con probabilidad Pi y 1 con probabilidad 1 − pi, tiene como distribución de probabilidad una Bernoulli.
La función de MV para una muestra aleatoria de n datos (xi,yi) se calcula como
Aplicando logaritmos
Describiendo la función logarítmica de verosimilitud
Si
Entonces
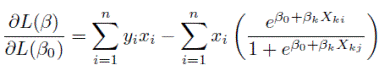
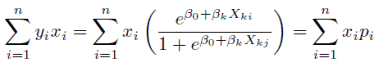
Para la obtención matricial de los estimadores β de máxima verosimilitud, se deriva L(β) respecto de cada uno de los parámetros βj con j = igualamos a cero.
FALTA UNA MATRIZ PENDIENTE
Expresando cada una de estas derivadas en un vector columna
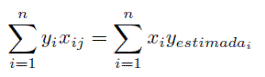
Igualando a cero el vector columna
Linealizando la ecuación 14, permite modelar la PI mediante una regresión logística múltiple
Optimización del Modelo Probabilístico
Para evitar problemas de multicolinealidad, es de gran ayuda que las variables seleccionadas cuenten con pruebas de correlación, por lo que se selecciona el conjunto de variables explicativas y significativas, evitando entonces el incluir variables poco significativas o con información redundante (colinealidad).
Esto es, con el cálculo de
3. Información estadística y análisis econométrico
El modelo vigente y en relación con la base de datos, se cuenta con 6 variables de características de 43,323 clientes consolidados y administrados por las instituciones financieras mexicanas al cierre de agosto 2014. Las variables que se analizan acorde a la metodología regulatoria de la CNBV13 son: Variable de Cumplimiento/Incumplimiento (Y), Número de Impagos (ACT ), Historial de Impagos (HIST), Meses Transcurridos de Crédito (ANT), Relación Pago-Saldo (%PAGO) y Relación Saldo a Pagar Límite de Crédito (%USO).
Mientras que el modelo propuesto y en relación con la base de datos, esto como propuesta de la presente investigación, se cuenta con 5 variables de características de 43,323 clientes consolidados y administrados por las instituciones financieras mexicanas al cierre de agosto 2014. Las variables que se proponen y con base a la CNBV14 son: Variable de Cumplimiento (Y), Meses Transcurridos de Crédito (ANT), Límite de Crédito (límite crédito), Historial de Impagos (HIST ) y Relación Pago-Saldo (%P AGO).
La variable Y para ambos modelos (vigente y propuesto) de estudio, fue recodificada a partir de los criterios mencionados en la metodología: variable binaria que adopta el valor 1 (incumple) y el valor 0 (cumple).
Tabla 1 Pruebas de multicolinealidad con variables utilizadas por CNBV

Fuente Elaboración propia con la paquetería SAS v. 7.1, aplicación de pruebas de correlación
Como se observa, la ausencia de multicolinealidad, así como el alto impacto de las variables independientes (ANT, Límite de Crédito, HIST y %PAGO) sobre la variable Y , si influyen significativamente y pueden reflejar mayor predictibilidad para medir el nivel de incumplimiento.
Mientras que las variables propuestas en esta investigación, muestra ausencia de multicolinealidad ya que los niveles de correlación entre variables independientes son menores al 47%, mientras que la relación de ANT, limite crédito y HIST con la variable dependiente (Y) es positiva y superior 56%. Mientras que el impacto de %PAGO con Y es inversa y mayor al 92%. Esta prueba de correlación indica que el modelo propuesto podría ser predictivo.
3.1 Regresión y Significatividad Logística
Un buen modelo debe satisfacer dos condiciones, la primera es que tenga una fuerte capacidad predictora y la segunda es que la estimación de los parámetros tenga una alta precisión. Empleando la muestra de 43,323 clientes y las variables propuestas en la Tabla 2, se estima un modelo Logit explicado en la metodología, calculando a su vez la probabilidad de que un cliente pague su préstamo.
Tabla 2 Ausencia de multicolinealidad con variables propuestas

Fuente Elaboración propia con la paquetería SAS v. 7.1, aplicación de pruebas de correlación
La estimación de la Probabilidad Logit expresa que fueron necesarias 9 iteraciones para estimar el modelo. La función de LR chi2 indica que los coeficientes son conjuntamente significativos para explicar la probabilidad de que los 43,323 clientes se encuentren en incumplimiento, entonces se puede decir que el valor estadístico de Prob > chi2 indica que podemos rechazar en un 1% la hipótesis de que todos los coeficientes sean igual a cero. Además, el estadístico de Pseudo R2 indica que aproximadamente el 97% de la variación de la variable dependiente es explicada por la variación de las variables independientes del modelo propuesto para México. La calidad del ajustamiento del modelo es de 99.38%,15 resultado de la razón de provisiones correctas contra número de observaciones, afirmando en general que el modelo prevé las observaciones correctamente.
Al momento de volver a llevar a cabo la regresión logística para aquellas variables que actualmente la regulación plantea, se obtuvo error en la obtención de la regresión, debido a la alta multicolinealidad de la variable ACT con HIST, lo que indica que las variables explicativas y utilizadas actualmente por la CNBV no son necesarias para construir el modelo, por lo que la variable ACT debe ser excluida. Usando criterios estadísticos como el de correlaciones parciales, pudo ayudar a obtener todas las posibles variables y escoger entre ellas las mejores.
La estimación mostrada en la Tabla 3, permite calcular la función score a partir de la ecuación 4. Los niveles de significancia para para el modelo propuesto, indican que todos los p − values (valores de significancia) cuentan con alta significancia (p − value = 0.0000 < 5%), aunque con el intercepto la investigación permite que en futuras investigaciones se incluyan mayores variables. Mientras que obtenido el score con las variables propuestas, se aplica la transformación Logit de la ecuación 16 para obtener la probabilidad de incumplimiento calculada (PIC).
Tabla 3 Estimación de la regresión Logit

Fuente: Elaboración propia con la paquetería SAS v. 7.1, con base a la muestra de 43,323 clientes.
La interpretación de los coeficientes, es mediante la medición de la variación del modelo Logit estimado para una variación unitaria de la variable explicativa dada. Así, si ANT aumenta en un impago, el Logit estimado aumenta en 0.01 unidades, lo que sugiere una relación positiva respecto a la PIC. El mismo caso es para el Límite de Crédito y HIST; a mayor límite de crédito la PIC aumenta y, el aumento del historial de impagos provoca aumento de la PIC. En caso contrario, si %PAGO es mayor cada vez, entonces la PIC disminuye en 7.6 unidades. Así, la teoría de Crédito es aplicada correctamente en la regresión econométrica planteada mediante la estimación Logit.
Las oportunidades en los modelos Logit, son calculados mediante regresión logística u odds, es decir, mediante la transformación antilogarítmica de β >> eβ.
Tabla 4 Estimación de la regresión logística

Fuente; Elaboración propia con la paquetería SAS v. 7.1, con base a la muestra de 43,323 clientes.
Estos resultados, demuestran cumplimiento a la teoría, ya que si odd < 1 significa que la ocurrencia de la PIC tiende a ser una relación negativa (menor oportunidad), mientras que si odd > 1 significa que la ocurrencia de la PIC tiende a ser una relación positiva (mayor oportunidad). Por lo tanto, la variable HIST indica que si aumenta un impago histórico, entonces la PI aumenta 15.6 veces. Así la distribución Logit obtenida mediante la metodología vigente de la CNBV16 es como se muestra en la siguiente gráfica.
La Gráfica 1 indica que no existe una distribución óptima, puesto que hay observaciones negativas fuera del comportamiento normal respecto a las demás observaciones. La PI promedio de la metodología de la CNBV es de 43.4%.

Fuente: Elaboración propia con la paquetería SAS v. 7.1, con base a la regresión logística y a la distribución logit.
Gráfica 1 Distribución Logística, Score Vs Probabilidad de Incumplimiento Metodología Vigente de la CNBV
La Gráfica 2 indica que si existe una distribuciónóptima, puesto que no hay observaciones fuera del comportamiento normal respecto a la mayoría observaciones. El promedio de la PIC es de 42.6%, es decir, menor que la PI de la regulación vigente.

Fuente; Elaboración propia con la paquetería SAS v. 7.1, con base a la regresión logística y a la distribución logit.
Gráfica 2 Distribución Logística, Score Vs Probabilidad de Incumplimiento mediante el Modelo Propuesto
Mientras que en Tabla 5, se observa que el cálculo de la PI con metodología vigente de CNBV es mucho mayor en el Grado de Riesgo A-1 bajo la categoría de cliente malo. Sin embargo, esto resulta una contradicción, ya que no es posible pensar que el ser un buen grado de riesgo, sea mayor la PI que un grado de riesgo como C-2. De esta manera, la PIC calculada con el modelo propuesto, implica mayor coherencia y en cierta manera mejor comportamiento. Por lo tanto es necesario validar mediante el modelo propuesto en esta investigación, el nivel de discriminación de poblaciones entre clientes buenos y malos.
Tabla 5 Probabilidad de Incumplimiento Promedio por clientes buenos y malos, en grados de riesgo, CNBV vs Modelo Propuesto

Fuente; Elaboración propia con paquetería SAS v. 7.1 y con la PI de CNBV y PIC entre los Grados de Riesgos, CNBV (2014).
En la siguiente tabla se muestra que las Probabilidades de Incumplimiento Promedio por grado de riesgo, tanto para clientes buenos como malos, son más reales con el modelo propuesto, un ejemplo claro es la clase A-1 en donde es lógico pensar que son clientes buenos y que tienen baja probabilidad de incumplimiento. De igual manera en la clase E es lógico pensar que no hay clientes buenos. Por lo tanto el modelo propuesto PIC es consistente con el comportamiento lógico.
Mediante pruebas de Discriminación Poblacional, el análisis discriminante consiste en una técnica multivariante que permite estudiar simultáneamente el comportamiento de un grupo de variables independientes con la intención de clasificar una serie de casos en grupos previamente definidos y excluyentes entre sí (Fisher, 1936).
Una vez calculadas las PI y PIC mencionadas, estas son utilizadas para llevarlas en producto con la SP,17 obteniendo así el porcentaje de reserva. Validando mediante la metodología actual (PI∗SP) contra el modelo propuesto (PIC∗ SP) los comportamientos mostrados del Porcentaje de Reservas y Grados de Riesgo señalados en la metodología de la CNBV,18 se identifica que el modelo propuesto cuenta con mejor discriminación de clientes buenos y malos en cada grado de riesgo.

Fuente; Elaboración propia con la paquetería SAS v. 7.1 y con base a la distribución del Porcentaje de Reservas entre los Grados de Riesgos, CNBV (2014).
Gráfica 3 Grado de Discriminación de clientes malos por grado de riesgo Modelo Vigente Vs Modelo Propuesto
Por lo tanto, se muestra que con el modelo propuesto P IC la detección de clientes malos es mayor que el modelo vigente utilizado por la CNBV, lo que garantiza mejor y mayor discriminación de clientes malos o incumplidos.
3.2 Prueba de K-S
La prueba de Kolmogorov Smirnov (K-S) es una prueba no paramétrica para la bondad de ajuste para probar que dos muestras independientes provienen de la misma distribución:
H0: La distribución del score para las cuentas buenas y cuentas malas es igual.
H1: La distribución del score para las cuentas buenas y cuentas malas no es igual.
Con estadístico
Con dos colas el estadística dado por
Donde
En esta Tabla 6 se observa que con el modelo propuesto, el poder de discriminación entre grados de riesgos por porcentaje de reservas (PIC*SP) es mayor en C-1, lo que permite a la Banca de Consumo en México la posibilidad de detectar mejor a los clientes buenos y malos, como aplicar políticas de cobranza más efectivas para poder mejorar ese segmento. Incluso permite alárea de Riesgos al Menudeo de las instituciones financieras, el poder proponer unóptimo nivel de cross-selling (venta cruzada) con clientes que se encuentren en grados de riesgos superiores (mejores) a C-1, lo que representa mayor posibilidad de negocio en pro de la rentabilidad en el negocio de créditos al menudeo.
Tabla 6 Nivel de Separación de Población por clientes buenos y malos CNBV Vs Modelo Propuesto

Fuente; Elaboración propia con base a la metodología de Kolmogorov-Smirnov.
Como se observa en la Tabla 5, el Modelo Propuesto muestra un índice de separación del 56.68% en el segmento o grado de riesgo C − 1, mayor que el determinado con la regulación vigente de la CNBV.19 Mientras que para el modelo con base a la CNBV es en el grado de riesgo C − 2 en donde obtiene la mayor separación por 56.38%. Esto permite determinar el grado óptimo en que la Banca de Consumo en México puede permitir unóptimo apetito de riesgo, es decir, cuánto está dispuesta la banca en aceptar ganar con un nivel de activos (ROA),20 bajo el costo de permitir contar con clientes que se encuentren en el grado de riesgo C − 1 o inferior (peor) con el modelo propuesto.
4. Resultados
Las provisiones por pérdidas esperadas se crean considerando el saldo insoluto registrado en el último día del mes, con su correspondiente calificación obtenida. De acuerdo a la información al cierre de junio 2014 por parte de la CNBV , uno de los principales instrumentos de crédito en México son las Tarjetas de Crédito; puesto que existen aproximadamente 23 millones de plásticos autorizados por 24 entidades financieras reconocidas. La cartera vencida en dichos créditos revolventes equivale al cierre de junio 2014, por un monto de MXN $90,593 millones de pesos mexicanos (MM), es decir aproximadamente un 34% del total del monto autorizado por las entidades financieras autorizadas por la CNBV. Por lo que en este sentido, es un claro ejemplo del problema que es para las instituciones financieras crediticias en México en aprobar un préstamo a personas que no garantizan un pago y con ello reflejen incumplimiento en los pagos periódicos.
Las mismas estadísticas de la CNBV reflejan que al cierre de junio 2014 las reservas sumaron a nivel nacional MXN $33,422 MM. Estas provisiones han estado en crecimiento anual durante los últimos doce meses por 12% aproximadamente, ya que el consumo en aumento se ha reflejado por mayor probabilidad de incumplimiento, aumento en la severidad de la pérdida y crecimiento en la exposición monetaria al incumplimiento. Situación que afecta a los rendimientos netos de flujo bancario y a los activos financieros de todas las entidades, reflejando un rendimiento sobre activos (ROA ) por 2.18% a nivel nacional.
Para el tratamiento de las estimaciones para riesgos crediticios revolventes, la CNBV clasifica contablemente a las reservas en el Balance General; bajo el concepto Activo y en subcuentas de Estimaciones Preventivas para Riesgo Crediticio, con clasificación de Créditos al Consumo (Tarjeta de Crédito). El contar con la PI∗SP∗EI con base a la regulación vigente y con los resultados obtenidos con la información de la muestra; así como el cálculo propuesto de la PIC en producto con SP∗EI, se muestra el comparativo en la Tabla 7.
Tabla 7 Comparativo de Reservas CNBV y Modelo Propuesto, con Nivel de Ahorro en la Banca de Consumo en México al cierre de Junio 2014

Fuente; Elaboración propia con base al cálculo del Porcentaje de Reservas e Información Nacional con datos al cierre de junio 2014, CNBV (2014).
Si esta tendencia se siguiera a nivel Banca de Consumo en México, el ahorro sería de MXN $1,395 MM, lo que implica analizar el efecto Rendimiento sobre Activos que implicó con la Metodología Vigente, por lo que el ROA registró un 2.18%.
Tabla 8 Indicadores de Activos y Rentabilidad en la Banca de Consumo en México al cierre de Junio 2014

Fuente; Elaboración propia con base al cálculo del Porcentaje de Reservas e Información Nacional con datos al cierre de junio 2014, CNBV (2014).
Al considerar los ahorros de la Banca de Consumo con el uso del Modelo Propuesto (PIC); el Resultado Neto reportado por la CNBV al cierre de junio 2014 hubiera aumentado a MXN $152,687 MM. De igual manera, los Activos del Balance a nivel nacional aumentarían, por lo tanto el ROA pasaría de 2.18% al 2.20%, lo cual representa mayor rentabilidad a la Banca de Consumo el considerar un modelo actualizado PIC. Vea la Tabla 9.
5. Conclusiones
En materia de riesgos financieros siempre es normal pensar en la administración del portafolio, instrumentos financieros y su valuación con diversas Técnicas, tal es el caso del Movimiento Browniano y la formula de Black Scholes (1972), o la valuación de bonos mediante la técnica de Merton (1974). Aunque el riesgo mercado es la pérdida potencial más importante dentro de la administración de riesgos financiero, el riesgo crediticio no deja de ser importante para su administración en cualquier entidad financiera, aportando este último más de la mitad de los ingresos a la banca.
Es por ello que en el trabajo se puede identificar que el ahorro obtenido con el modelo propuesto de probabilidad de incumplimiento (PIC) mediante la muestra analizada, a nivel nacional la banca tendría un ahorro promedio de MXN $1,395 MM. En segunda instancia, se pudo validar también que el ahorro aumentaría el registro contable de Activos a MXN $55,268 MM y aumento del Resultado Neto a MXN $1,215 MM al cierre de junio 2014; ayudados ambos casos por la disminución de reservas. Así, el ROA pasaría de 2.18% obtenido con el modelo PI de la CNBV, a un posible ROA por 2.20% con el modelo propuesto PIC.
La creación de reservas y el castigo de créditos, son operaciones significativas que impactan sensiblemente en el nivel de capitalización, incluso las provisiones crediticias son el segundo gasto más importante después de sueldos y salarios; situación que debe ser considerada ampliamente por el Gobierno Corporativo de cada institución.
Éste trabajo se enfocó al análisis del riesgo crediticio al menudeo, especialmente al sector de Tarjetas de Crédito. Las ideas matemáticas fueron consideradas junto con las condiciones legales citadas en las Disposiciones de la CNBV y Basilea II, proponiendo un nuevo modelo de riesgo crediticio (PIC) con su análisis discriminante respectivo en la identificación de créditos buenos y malos.
Se confirmó que el modelo propuesto satisface la condición de fuerte capacidad predictiva y estimación precisa de los parámetros. El modelo es sencillo, pues contiene el mínimo de variables explicativas que satisface las condiciones mencionadas. Esto marca un inicio en futuras investigaciones para la mejora continua de la predicción y con ello la mejora en rentabilidad para la Banca de Menudeo en México.









nueva página del texto (beta)
























