Servicios Personalizados
Revista
Articulo
Indicadores
-
Citado por SciELO -
Accesos
Links relacionados
-
Similares en
SciELO
Compartir
Economía mexicana. Nueva época
versión impresa ISSN 1665-2045
Econ. mex. Nueva época vol.22 no.2 Ciudad de México ene. 2013
Artículos
Measuring Dependence in Financial Crisis. A Copula Approach for Mexico and Brazil
Medición de la dependencia en tiempos de crisis financiera: Un enfoque de cópula para México y Brasil
Arturo Lorenzo Valdés and Ricardo Massa Roldán
Professor, Finance and Accounting Academic Department, Universidad de las Américas Puebla. San Andrés Cholula, Pue. Mexico. arturo.lorenzo@udlap.mx
Professor, Department of Economics and Finance, Business Division, Tecnológico de Monterrey, Santa Fe Campus, Mexico City. r.massa@itesm.mx
Fecha de recepción: 15 de septiembre de 2011;
fecha de aceptación: 17 de abril de 2012.
Abstract
This paper studies the dependence in Mexican and Brazilian financial markets trough a method that has proved to obtain better results along with the characterization of non-linearity and asymptotic dependence than the use of simple correlation analysis: the copula approach.
Using weekly returns of the IPyC and IBOV from January 1975 to November 2010 we compared the results of numerical methods that solved for the Kendall's tau in three types of copulas: the two-dimensional Gaussian copula, the bivariate Gumbel copula, and the bivariate Clayton copula. Also, we used different study periods in order to find evidence of changing dependence structures during financial turmoils, like the one that occurred in 2008. This paper points out that the dependence structure between the above mentioned markets strengthened after the financial crisis of 2008.
Keywords: financial crises, dependence, copulas.
Resumen
Este trabajo estudia la dependencia de los mercados financieros de México y Brasil a través de un método que ha demostrado mejores resultados, junto con la caracterización de la no linealidad y la dependencia asintótica, que el uso de análisis de correlación simple: el enfoque de la cópula.
Mediante la utilización de rendimientos semanales del IPyC y del IBOV desde enero de 1975 hasta noviembre de 2010 se compararon los resultados de los métodos numéricos que calculan la Tau de Kendall en tres tipos de cópulas: las cópulas bidimensionales Gaussiana, de Gumbel y de Clayton. Además, se emplearon diferentes periodos de estudio con el fin de encontrar evidencias de cambios en las estructuras de dependencia durante las crisis financieras, como la que se presentó en 2008. Este documento señala que la estructura de dependencia entre los mercados de referencia se fortaleció después de la crisis financiera de 2008.
Palabras clave: crisis financieras, dependencia, cópulas.
JEL classification: G1, F3.
Introduction
The 2008 financial crisis in the United States, along with its implications in the international financial markets, posed again as a main concern, particularly in risk management and asset allocation, if financial markets become more connected or interdependent during financial crises. Economists and financial markets analysts have been busy producing research on this matter, particularly in crisis periods such as the Mexican devaluation (Tequila crisis 1994-95), the Asian flu (1997) and the Russian default (1998). The reason behind this is that non-tranquil periods arise the interest to study in which extent financial markets are connected and, moreover, which type of connection is presented: whether contagion or dependence between them. The debate around the definition of true contagion is described by Calvo and Reinhart (1996), and later developed by Kaminsky and Reinhart (2000). They affirm that it is presented when common shocks and different channels of interconnection are either not present or have been controlled. As noted by Chan-Lau, Mathieson and Yao (2004), most of the research done in connection with this matter interprets contagion as the transmission mechanism in which an upward change in price co-movements is presented between financial markets. However, we need to note that this effect is neither a necessary nor sufficient condition to identify contagion, as it does not automatically imply a structural change in the data generating process (DGP).
Longin and Solnik (2001) emphasized the definition of contagion and conclude that the interactions noticed in the international correlations are stronger during high volatile periods. The common approach to these studies is to condition the estimation of the correlation to the observed returns of markets, and then conclude whether the relationship strengthens or not. However, this requires a method that carefully approaches the complex characteristics of the correlation function; if not, misleading conclusions might be reached, as established by Forbes and Rigobon (2002), especially when referring to a model based on the conditional correlation coefficient. That is, even if two markets show co-movement during stability periods, and it strengthens after the presence of a shock, it might not directly constitute a contagion effect. To show the latter, they apply an adjustment for heteroskedasticity and reversed the conclusion of an existing contagion effect. They noted that there is no universally accepted definition to true contagion due to a debate between two possibilities: whether it refers to modifications of cross-market relationships or not. Instead, they propose an interdependence focus in which market correlation suggests linkages between two economies rather than a significant increase in cross-market associations after a shock. Moreover, as noted by Costinot, Roncalli and Teiletche (2000), the dependence structure among financial markets, particularly on crisis periods, was better modeled through the utilization of copulas instead of a simple correlation analysis. It responds to the extreme dependence observed between international equity markets.
Roll (1992) suggests that the equity index behavior is affected by two factors: technical elements of the used method to construct and compose the index, and the role of the exchange rates involved. He also affirms that, when returns of indices are expressed in local currency, part of its volatility is induced by monetary phenomena such as changes in the inflation rates. Latin American crises are characterized by strong devaluation processes, as shown in those that took place in 1994 and 2001. This raises the need of an approach that includes this factor in its model when studying Latin American stock markets.
Taking into account the conclusions reached on this matter, we decided to work with a co-movement approach of the indices instead of using a contagion study; we also applied a non-simple correlation analysis: the copula approach. Copulas are very useful in understanding dependence at a deeper level, because they are invariant to strictly increasing transformations of random variables. Furthermore, they are built upon alternative measures rather than a simple correlation study, which allows us to develop a separate modeling of the dependence between random variables and their marginals. As pointed out by Chollete, Heinen and Valdesogo (2009), copulas are very helpful when dealing with financial information because they allow tail dependence. Another benefit is that the adaptation of Monte Carlo processes, in order to perform the simulations required by the technique, can be done relatively easy.
Canela and Pedreira (2012), Rodriguez (2007) and Okimoto (2008) did similar inquiries; however, they did not include the crisis of2008. Our objective is to verify, in the case of Mexico and Brazil, the conclusions presented by the referred researches. During the Asian crisis Rodriguez employed daily returns on stock indices from Thailand, Malaysia, Indonesia, Korea and the Philippines; for the Mexican crisis he utilized those from Mexico, Argentina, Brazil and Chile. Okimoto focused on the US-UK stock indices. Both of the studies used regime-switching copulas in order to find evidence of changes in the dependence structure during the crisis periods. Canela and Pedreira also applied continuous two-dimensional copulas so as to study pairwise dependence structures of daily returns in Argentina, Brazil, Chile, Mexico, Peru and Venezuela. They concluded that cross-market dependence between Latin America stock markets present higher probability of extreme losses; therefore, we can expect that the dependence structure between them strengthens more in crisis periods than in tranquil ones.
It is known that, for financial appliances, the model construction has to acknowledge the need to treat stronger dependence between extreme losses, instead of that related to extreme gains. Since Latin American stock markets are characterized by this effect, we decided to use two simple Archimedean copulas, Clayton's and Gumbel's, because they capture the asymmetric tail dependence. As noted by Carol (2008), the Clayton copula captures lower tail dependence while the Gumbel copula captures upper tail dependence. We also decided to include the Normal or Gaussian copula which is symmetric and exhibits tail independence as a comparative estimation with the other two copulas.
When working with copulas that have different tail behavior, typical conduct of financial crisis periods, one can test if phases with higher dependence can also present changes in the distribution's tails. However, this analysis remains static, since the estimation does not capture shifts of the dependence structure period after period. In order to do so, the copula must be time-varying. Patton (2001a, 2001b) introduced the concept of conditional copula. It allows the analysis to include a time-varying conditional density for each individual variable, plus the conditional dependence between them. He applied it to the study of asymmetries in the dependence structure of the Deutsche mark and the Japanese yen exchange rates in relation to the USD. However, his work did not consider the case in which both, the form of the conditional copula and its parameters, changed. In his later research, Patton (2006a, 2006b) developed a bivariate model that used a Multi-stage Maximum Likelihood Estimator (MSMLE) based on the asymptotic theory and sample simulations. He used what he calls the Symmetrized Joe-Clayton copula to test for asymmetry in tail dependence. He also uses a similar GARCH model for conditional variances evolution equation in order to capture time variation in the current dependence structure between the euro and the yen exchange rates in relation to the USD. This model allowed the parameters of the two copulas to vary over time, finding evidence of greater dependence between them during extreme events.
Johansson (2011) used the conditional copula framework and applied it to the analysis of regional financial markets in Europe and Eastern Asia in the 2008 crisis context. He used an EGARCH model to incorporate the asymmetry in log-return volatility of stock indices in a set of both East Asian and West European markets. Instead of focusing on particular copulas between the countries, he analyses the regional tail dependence. His main finding is that regional volatility and co-movements in Europe and East Asia were higher during the global financial crisis of 2008 than throughout the Asian financial crisis. Nevertheless, the effect upon Europe is higher.
The aim of our work is to use the referred framework to develop a model for the Latin American 2008 financial crisis context, using the weekly returns of the Mexican and Brazilian indices. A difference with the study of Johansson rests in the focus on the specific copula between two countries in one region, instead of the region itself. Another change is the use of a threshold GARCH (TGARCH) model instead of the EGARCH approach. Our intention is to verify whether the results presented in other regions appear and remain in the Mexican and Brazilian case for the 2008 crisis.
The remainder of this paper is divided as follows: in section I we discuss the copula definition, its dependence measures and the methodology used; the data and results are shown in section II. We then evaluate the performance of the copulas involved in our work and conclude on the matter.
I. Methodology
Nelsen (1999) defines copulas as "functions that join or couple multivariate distribution functions to their one dimensional marginal distribution functions". Copulas isolate the dependence structure from the structure of marginal distributions.
A n-variate copula C (u1.., un) is a cumulative distribution function (CDF) with uniform marginals on the unit interval. Sklar's (1959) theorem tells us that if Fj(xj) is the CDF of a univariate continuous random variable Xj, then C(F1(x1),...,F1(xn)) is a n-variate distribution for X = (X1,..,Xn) with marginal distributions Fj, j = 1,...n. Conversely, if F is a continuous n-variate CDF with univariate marginal CDFs F1,...,Fn, then there exists a unique n-variate copula C such that F(x1...,xd) = C(F1(x1), .. .,Fn(xn)).
In this study we used three bivariate copulas, Normal or Gaussian, Clayton and Gumbel.
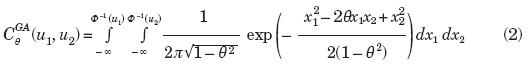
The two-dimensional Gaussian copula has the following form:

where Φ denotes the CDF of a standard normal distribution, while ΦΣ is the CDF for a bivariate normal distribution with zero mean and covariance matrix Σ. This can be represented also as:

where θ is the correlation coefficient. When θ= 0 it describes the independence copula, while for θ = 1 describes the comonotonicity copula, and for θ = -1 the countermonotonicity copula.
The bivariate Gumbel copula is given by:

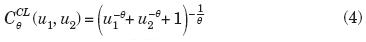
where θ ∈ [1, ∞). When θ = 1 describes the independence copula, while for θ → ∞ it describes the comonotonicity copula. The bivariate Clayton copula is given by:

where θ∈[-1,∞)\{0}. When θ → 0 it describes the independence copula, while for θ → ∞ describes the comonotonicity copula.
Copulas are very useful in the study of dependence because of their properties. First, they are invariant to strictly increasing transformations of random variables. Second, they calculate consistent concordance measures, like the widely used Kendall tau and Spearman rho. Third, a relevant treatment of the asymptotic tail dependence is also presented.
The main element of association in this study is the Kendall tau. It is a measure of concordance between two random variables. Two points (x1, x2), (y1, y2) are said to be concordant if (x1 -y1)(x2 -y2) > 0, and discordant if (x1 - y1)(x2 - y2)<0. In a similar way, two-random vectors (X1, X2), (Y1, Y2) are said to be concordant if P[(X1 - Y1)(X2 - Y2) > 0] is greater than P[(X1 -Y1)(X2 - Y2) < 0], that is, if X1 tends to increase with X2, and discordant the other way. The Kendall tau measures these differences in probability

The advantage in using copulas is the possibility to associate them with Kendall's tau as:

For this study we take the price of the active i in period t, Pit, and compute the rate of return as:

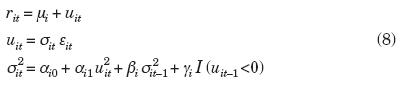
The model used is a TGARCH (1,1) for the returns of the index of the country i:

The innovations εit are supposed to be distributed as a standardized t-student with ν degrees of freedom.
The family of models that include Autoregressive Conditional Heteroscedasticity (ARCH) and the generalized ARCH (GARCH) is the most commonly applied model regarding the volatility of financial series. The models in this family presuppose that the lag information of a variable and its conditional volatility are determinants for present and future behavior of the series. The origins of these models are the studies of Engle (1982) and Bollerslev (1986).
The variance specification postulated is important because the "true" volatility is not observable. In fact, every specification of variance usually defines a certain type of ARCH. In this context, it is relevant to state that there are more than one hundred different conditional variance specifications (Bollerslev, 2010).
The TGARCH model assumes, in particular, a specification that allows volatility to depend on the sign of the lag of the shocks. This model was originally developed by Zakoian (1994).
In the TGARCH model, the shocks have differentiated impacts on the conditional variance. Positive shocks (uit-1 >0) have an impact αi1. The negative shocks (uit-1 <0) have an impact αi1 + γi. Therefore, if γi≠ 0 then the shocks (news) will have an asymmetric impact. Particularly, ifγi> 0 bad news will increase the volatility, and then the "leverage effect" will appear. The coefficients of the specification of variance are postulated as positive.
For the estimation of the parameters the log likelihood function used is:

where c (F1 (r1t ; α1), F2 (r2t ; α2); θ) constitutes the copula density, while f1 and f2 are the marginal densities of the returns in each country.
II. Empirical Results
We collected weekly closure prices from the principal stock market indices of Brazil and Mexico. We chose the Brazilian and Mexican stock markets due to their relevance on a regional basis and the dynamics they have exhibited during the past years. According to the Emerging Stock Market Factbook, from the six biggest and longest established emerging equity markets in Latin America by 1998 (Brazil, Mexico, Argentina, Venezuela, Chile and Colombia), Brazil and Mexico consistently present the two largest results in Market Capitalization and Value of stocks traded. In 1998, Brazil presented 160,887 and 146,594; for Mexico the figures were 91,746 and 33,841, respectively. 1
Our sample goes from January 3rd, 1975 to November 16th, 2010. We computed the rate of returns as (7). By studying different periods we were able to find evidence of changing dependence structures during financial turmoil, like the one presented in 2008.
Descriptive statistics of returns are presented in table 1. The non-normality of the data is confirmed through the Jarque-Bera test, based on coefficients of skewness and kurtosis.
The descriptive Kendall's-tau confirms that the dependence between the two markets has increased with time, but it also shows that in the crises the dependence was greater.
Estimation results of the individual TGARCH(1,1) model (8) for each country is presented in table 2 for the entire sample. This estimation was used as an initial condition for the copula estimation with (9).

The asymmetric parameter Y is not statistically significant for any country in the whole period. The other parameters are statistically different from zero.
The estimation of the dependence structure based in copulas is presented in table 3. It is a good fit for the model with the different copula functions, since the parameters of variance are, in general, statistically significant.
This happened with all used copulas. In Mexico in earlier periods, the coefficient for the leverage effect was not statistically significant, so there was no leverage effect. However, at the beginning of the 1990's the parameter became significantly positive, indicating that there was a leverage effect and, therefore, the volatility increased when prices were falling, as indicated by the stylized facts in finance. The same goes for Brazil, but this effect is significant only for the new century.
The parameter θ is used to calculate the Kendall tau for each option with the relationship (θ). We must stress that the tau is significant only when the entire sample is taken into consideration; however, if we only study the sample that goes from 1975 to 1990 we will find that the tau is zero, i.e. there is no concordance between the two markets. During the next two decades the tau grew notably, thus indicating that the dependence between the two stock markets became stronger. During the past decade (2001-2010) the crisis emerged. That is why we went back to divide the sample to analyze the crisis period. The result indicates that the tau is large, showing that during crises the dependence between markets increases and makes investors to deem these two markets as something similar.
III. Concluding remarks
In this paper we estimated the degree of dependence across two Latin American stock markets, Brazil and Mexico. The degree of dependence is modeled by employing three copulas: Normal, Clayton and Gumbel. We considered different periods to analyze the evolution of the concordance measure, and we applied a maximum likelihood estimation method. The findings in the three Copula models provided evidence that the dependence (measured by Kendal's tau) between stock market returns for Brazil and Mexico has increased through time and even more after the 2008 financial crisis. The results are consistent with the revised works: there exists an evolution of the dependence structure (which was captured by the copula approach) rather than a contagion effect. As discussed, Latin American stock markets present a higher probability of extreme losses; therefore, the dependence structure between them strengthens more in crisis periods. This implies that, in times of crisis, the difficulty of diversifying investment portfolios in the region increases.
References
Bollerslev, T. (1986), "Generalized Autoregressive Conditional Heteroskedasticity", Journal of Econometrics, 31 (3), pp. 307-327. [ Links ]
---------- (2010), "Glossary to ARCH (GARCH)", en T. Bollerslev, J. R. Russell y M. W. Watson (eds.), Volatility and Time Series Econometrics: Essays in Honor of Robert Engle Oxford, Oxford University Press, pp. 137-163. [ Links ]
Calvo, S. and C. Reinhart (1996), "Capital Flows to Latin America: Is There Evidence of Contagion Effects?" World Bank Policy Research Working Paper No. 1619. [ Links ]
Canela, M. and E. Pedreira (2012), "Modeling Dependence in Latin American Markets Using Copula Functions", Journal of Emerging Market Finance, 11 (3), pp. 231-270. [ Links ]
Carol, A. (2008), Practical Financial Econometrics, Chichester, John Wiley and Sons. [ Links ]
Chan-Lau, J., D. Mathieson and J. Yao (2004), "Extreme Contagion in Equity Markets", mf Staff Papers, 51 (2), pp. 386-408. [ Links ]
Chollete, L., A. Heinen and A. Valdesogo (2009), "Modeling International Financial Returns with a Multivariate Regime Switching Copula", Journal of Financial Econometrics, 7 (4), pp. 437-480. [ Links ]
Costinot, A., T. Roncalli and J. Teïletche (2000), "Revisiting the Dependence between Financial Markets with Copulas", Working Paper. [ Links ]
Engle, R. F. (1982), "Autoregressive Conditional Heteroscedasticity with Estimates of the Variance of United Kingdom Inflation", Econometrica, 50 (4), pp. 987-1007. [ Links ]
Forbes, K. and R. Rigobon (2002), "No Contagion, Only Interdependence: Measuring Stock Market Comovements", Journal of Finance, LVII (5), October, pp. 2223-2261. [ Links ]
Johansson, A. (2011), "Financial Markets in East Asia and Europe during the Global Financial Crisis", The World Economy, 34 (7), pp. 1088-1105. [ Links ]
Kaminsky, G. and C. Reinhart (2000), "On Crises, Contagion, and Confusion", Journal of International Economics, 51 (1), pp. 145-168. [ Links ]
Longin, F. and B. Solnik (2001), "Extreme Correlation of International Equity Markets", Journal of Finance, 56 (2), April, pp. 649-676. [ Links ]
Nelsen, R. (1999), An Introduction to Copulas, New York, Springer-Verlag. [ Links ]
Okimoto, T. (2008), "New Evidence of Asymmetric Dependence Structures in International Equity Markets", Journal of Financial and Quantitative Analysis, 43 (3), pp. 787-815. [ Links ]
Patton, A. (2001a), "Modelling Time-Varying Exchange Rate Dependence Using the Conditional Copula", Working Paper, San Diego, University of California. [ Links ]
---------- (2001b), "Estimation of Copula Models for Time Series of Possible Different Lengths", Working Paper, San Diego, University of California. [ Links ]
---------- (2006a), "Modelling Asymmetric Exchange Rate Dependence", International Economic Review, 47 (2), pp. 527-555. [ Links ]
---------- (2006b), "Estimation of Multivariate Models for Time Series of Possibly Different Lengths", Journal of Applied Econometrics, 21 (2), pp. 143-173. [ Links ]
Rodriguez, J. (2007), "Measuring Financial Contagion: A Copula Approach", Journal of Empirical Finance, 14 (3), pp. 401-423. [ Links ]
Roll, R. (1992), "Industrial Structure and the Comparative Behavior of International Stock Market Indices", Journal of Finance, 47 (1), pp. 3-41. [ Links ]
Sklar, A. (1959), "Fonctions de repartition à n dimensions e leurs marges", Publications de l'Institut de Statistique de l'Université de Paris, 8, pp. 229-231. [ Links ]
Zakoian, J. M. (1994), "Threshold Heteroskedastic Models", Journal of Economic Dynamics and Control, 18 (5), pp. 931-955. [ Links ]
1 Figures are expressed in millions of USD.













