Durante los últimos treinta años, la competencia electoral en México se ha centrado en tres partidos principales: el Partido Revolucionario Institucional (PRI), el Partido Acción Nacional (PAN) y el Partido de la Revolución Democrática (PRD). La consistencia de sus patrones de votación a lo largo del tiempo ha llevado al sistema de partidos mexicano a convertirse en uno de los más institucionalizados en América Latina (Mainwaring, 2018). La dinámica de estos partidos se había centrado en el PRI compitiendo con el PAN o el PRD en diferentes partes del país (Klesner, 2005). Esto retrata al PRI como un partido fuertemente nacionalizado, y al PRD y al PAN como partidos de enfoque regional con bases de apoyo consolidadas en diferentes partes del país.
Esta dinámica se alteró significativamente en 2018, cuando el Movimiento Regeneración Nacional (Morena) ganó la presidencia y alcanzó mayorías en ambas cámaras legislativas. Además, como muestran Garrido y Freidenberg en este volumen, Morena lideró la votación en 31 de las 32 entidades federativas del país. Una impresión a bote pronto sugeriría que las elecciones de 2018 diluyeron los patrones de votación regionales observados en las dos elecciones presidenciales anteriores (Klesner, 2007; Camp, 2013). ¿Pero qué tan fuertes fueron estos patrones de votación regionales en primer lugar?
Este artículo analiza los patrones de apoyo electoral a lo largo del tiempo para los cuatro partidos más importantes del país. Nuestro objetivo es evaluar si la política partidistaa está más enfocada a nivel nacional o regional en México, y la forma en que Morena ha encajado en este sistema. Tomamos las elecciones de 2018 como un punto de inflexión para mirar hacia atrás y poner en perspectiva los patrones de apoyo electoral a los partidos durante los últimos 25 años. Nuestro análisis explora los componentes nacionales, estatales y distritales que explican la variación de los retornos de voto para los partidos. Esperamos que este esfuerzo llene parcialmente un vacío en la literatura de la política mexicana que rara vez habla de los patrones de nacionalización entre los partidos políticos. Este enfoque está inspirado en estudios recientes que estudian los sistema de partidos en distintos niveles para comprender el apoyo electoral de los partidos a lo largo del tiempo (Bartels, 1998; Lupu, 2015; Morgenstern, 2017; Mustillo, 2018).
Nuestro trabajo revisa la teoría de la nacionalización comparativa de partidos. Esta literatura sostiene como poco probable que los países con muchos distritos, instituciones federales y un sistema presidencial tengan partidos nacionalizados. Aquí argumentamos que tal expectativa puede ser moderada por una organización partidista centralizada. También buscamos explicar la variación en los niveles de distribución de voto de los partidos a lo largo del tiempo, argumentando que la política mexicana puede explicarse a nivel estatal y nacional. Por último, mostramos que, en sus primeras dos elecciones, Morena contó con patrones de votación altamente nacionalizados, similares a lo que otros partidos han logrado en el pasado.
Nuestro análisis se basa primero en Mustillo y Mustillo (2012) y Morgenstern (2017) para capturar dos dimensiones diferentes del apoyo electoral de los partidos: la uniformidad de los votos del partido en todos los distritos (nacionalización estática) y su consistencia en el tiempo (nacionalización dinámica). Ambas dimensiones nos dan una idea más clara sobre la consistencia del apoyo territorial de los partidos. Este enfoque demuestra que los principales partidos mexicanos han presentado patrones nacionalizados de apoyo electoral durante la mayor parte del periodo democrático. La segunda parte del análisis revisa los componentes nacionales, estatales y distritales del apoyo electoral a lo largo del tiempo. Con base en la operacionalización de la nacionalización de partidos sugerida por Stokes (1967) y Bartels (1998), comparamos los patrones de apoyo de Morena en las últimas elecciones con los de los anteriores partidos más grandes del distrito. Los hallazgos de este documento también actualizan y complementan los trabajos anteriores sobre la nacionalización del sistema de partidos en México (Klesner, 2005; Lujambio, 2001; Baker, 2009; Harbers, 2017).
El artículo comienza revisando las conceptualizaciones más importantes de la nacionalización de los partidos. Después propone algunas expectativas para la nacionalización de los partidos mexicanos. La sección empírica muestra primero los resultados de la sección 1997-2018 y luego se enfoca en las últimas dos elecciones federales para incluir a Morena en el análisis. La conclusión resume los hallazgos y propone posibles formas de ampliar la investigación.
Midiendo la nacionalización de partidos
La distribución geográfica del apoyo electoral a un partido político determina la forma en que los intereses regionales y nacionales desarrollan su estrategia política. Un sistema de partidos altamente nacionalizado incentiva a los partidos a concentrarse en políticas enfocadas en el nivel nacional (Caramani, 2004), especialmente en presencia de circunscripciones similares entre distritos (Crisp et al., 2013). A su vez, asigna a los partidos mayor responsabilidad sobre los resultados económicos, lo cual permite a los votantes seguir una lógica de votación económica retrospectiva en las urnas (Morgenstern et al., 2017). La mayor nacionalización de los partidos también diluye los incentivos para asignaciones presupuestarias específicas y transferencias subnacionales, aumentando la provisión de beneficios públicos a nivel nacional (Lago-Peñas y Lago-Peñas, 2009; Hicken et al., 2016; Castañeda-Angarita, 2013; Crisp et al., 2013). Finalmente, en las democracias en desarrollo o lugares con tensiones étnicas y religiosas, la nacionalización de los principales partidos es un factor importante para la estabilidad democrática (Stepan, 2001; Reynolds, 1999).
Dada la importancia de la nacionalización partidista, algunos académicos han intentado conceptualizar la uniformidad del comportamiento de votación entre unidades subnacionales (Schattschneider, 1960). Stokes (1967) puso en práctica esta idea con un modelo de componentes de varianza, que segmentaba los retornos electorales en componentes distritales, estatales y nacionales. Al hacerlo, Stokes pudo mostrar las distintas partes dinámicas del apoyo electoral nacional para cualquier partido importante. Bartels (1998) adoptó la idea de Stokes y modeló el apoyo electoral para un partido en un año dado como la suma de tres componentes distintos: la lealtad permanente al partido en un distrito, las fuerzas electorales que operan en un estado específico y el cambio de patrones generales en las fuerzas electorales nacionales. Su enfoque, por lo tanto, conceptualiza la nacionalización como el grado en que los patrones de voto nacionales explican la variación general de los resultados para un partido.
Un enfoque alternativo para dar cuenta de la homogeneidad del apoyo electoral entre distritos utiliza el coeficiente de Gini (Caramani, 2000, 2004; Jones y Mainwaring, 2003), una medida de distribución que suele utilizarse para analizar los niveles de desigualdad. Aunque esta medida de dispersión es la manera más común para estimar la nacionalización de los partidos y los sistemas de partidos, este coeficiente sólo captura la distribución de votos de un partido en un momento dado. Por lo tanto, el índice de Gini no considera ninguna variación temporal. Además, la medición combina otras fuentes de variación en los datos, como las que ocurren dentro de cada distrito.
Morgenstern (2017) y Mustillo y Mustillo (2012) proponen un tercer enfoque. El primer autor plantea un modelo similar al propuesto originalmente por Stokes y deconstruye los resultados electorales a nivel de distrito en tres componentes: la distribución del voto al partido entre distritos, la volatilidad del voto nacional al partido y la variación inexplicada tanto en distritos como a largo del tiempo.1 Estos autores también conceptualizan dos dimensiones principales de la nacionalización del partido. Por un lado, la nacionalización estática considera la homogeneidad de las tendencias nacionales que sustentan las elecciones en las que compite un partido. Por otro lado, la nacionalización dinámica es el “efecto local” resultante de las características que dan forma a las diferencias entre los distritos a lo largo del tiempo.
Partiendo del último enfoque, Mustillo y Mustillo (2012) proponen una forma de explicar las diferentes fuentes de nacionalización dinámica. Para hacerlo, desarrollan un modelo multinivel que define la trayectoria media de la proporción de voto del partido y usan sus parámetros para estimar el nivel inicial de apoyo para un partido, su tasa de cambio y las variaciones dinámicas de este apoyo. Esto permite a los investigadores considerar no sólo una única forma de nacionalización, sino conceptualizar la nacionalización en términos de las fuentes de variación estáticas y dinámicas, así como la volatilidad electoral.
Cada uno de estos enfoques ofrece una manera diferente de medir la nacionalización. El mejor enfoque depende de la pregunta que se haga y de la conceptualización de la nacionalización utilizada. El enfoque de la medida de dispersión es apropiado cuando se compara la variación en el apoyo de los partidos entre los distritos en un momento dado, pero sólo captura un momento de la nacionalización estática y no tiene en cuenta una dinámica más amplia. Los componentes del enfoque de variación, por otro lado, identifican el efecto de la dinámica nacional o local en las tendencias del voto, pero no explican la volatilidad electoral o la nacionalización estática. Finalmente, el enfoque propuesto por Mustillo y Mustillo (2012) explica las dimensiones estáticas y dinámicas de la nacionalización, así como la volatilidad electoral. Esta metodología identifica distintos tipos de variación al mismo tiempo, pero sólo describirá los patrones generales a lo largo del tiempo.
El resto del artículo analizará los componentes de la distribución del voto nacional de cada partido, y los patrones de apoyo que dan forma a las tendencias de la distribución del voto en México. Para hacerlo, es apropiado usar dos enfoques alternativos, primero basándose en la estrategia empírica de Mustillo y Mustillo (2012) y Morgenstern (2017), y después utilizando el enfoque de Stokes (1967) y Bartels (1998).
Expectativas para el contexto mexicano
La literatura sobre el comportamiento electoral en México considera la regionalización del apoyo partidista como uno de los determinantes más importantes del voto (Domínguez y McCann, 1995; Moreno, 2003). Una descripción común del sistema de partidos mexicano retrata al PRI compitiendo con el PAN en los estados del oeste y norte o el PRD en el Distrito Federal, Michoacán y el sur del país (Klesner, 2005, 2007). Esto crea una situación en la que el PRI está mucho más extendido en todo el país, y el PRD y el PAN están más enfocados en sus respectivas regiones.
El análisis a continuación revisa los factores institucionales y de partido que pueden explicar la variación de las tendencias de voto entre los distritos, y hasta qué punto la interrupción de Morena puede afectar la nacionalización del sistema de partidos en México. Organizamos nuestra discusión describiendo primero nuestras expectativas para el sistema general de partidos y luego lo que esperamos para cada una de las partes en el análisis.
A nivel de sistema de partidos, la nacionalización de partidos enfrenta al menos tres obstáculos institucionales. El primero tiene que ver con el número de distritos en el país. Un gran número de distritos aumenta las estrategias de los partidos para asignar sus recursos de campaña en aquellos distritos que creen que tienen mejores oportunidades para competir por un puesto (Morgenstern, 2017). Para el caso específico de México, la existencia de 300 distritos aumenta las oportunidades para que los partidos concentren sus esfuerzos a nivel regional, produciendo una fuerza partidaria dispersa por el país y reduciendo su nacionalización estática esperada. Además, la heterogeneidad entre distritos aumentará directamente con su número e inversamente con el tamaño de cada uno de éstos, lo que dificulta que los partidos administren una campaña uniforme en el país.
Un segundo obstáculo institucional para la nacionalización de los partidos en México tiene que ver con su sistema presidencial. Morgenstern (2017) argumenta que la nacionalización debería ser menor en los casos presidenciales porque los votantes tienen que elegir el Ejecutivo y el Legislativo por separado. Esta situación permite a los candidatos del Congreso promover sus atributos personales durante la campaña en lugar de seguir una estrategia nacional delineada por su partido político. Esta disyuntiva está ausente en los sistemas parlamentarios, los cuales fusionan las elecciones ejecutivas y legislativas, llevando a los votantes a tomar decisiones basadas en plataformas concentradas en el nivel nacional. Por lo tanto, el sistema presidencial disminuye la nacionalización dinámica de los partidos, ya que conduce a que más votantes tomen decisiones basadas en cuestiones locales.
El último factor institucional que obstaculiza la nacionalización del partido se relaciona con el sistema federalista. Cada una de las entidades federativas en México tienen ejecutivos y legislaturas independientes. Tal diseño institucional, junto con la diversidad entre estados de desarrollo económico, valores sociales y competencia política, crea incentivos para que los partidos nacionales se dividan a lo largo de las líneas estatales. Estudios anteriores han demostrado el papel que desempeñan los gobernadores para influir en el comportamiento legislativo tras el fin del periodo de partido hegemónico (Cantú y Desposato, 2012; Rosas y Langston, 2011). Una consecuencia de la influencia de los gobernadores es que gran parte de la política local es mejor entendida en el nivel estatal que en el de distrito. Además, la visibilidad de la elección a gobernador produce importantes “coleteos” electorales en su contraparte legislativa, atrayendo la atención de los votantes, e incentivando a que candidatos al Congreso imiten las consignas y los mensajes de los candidatos a gobernadores (Magar, 2012). De hecho, el análisis espacial de las elecciones de 2012 en México sugiere que los partidos asignan recursos y esfuerzos de campaña basados en una lógica estatal, en lugar de distrital, lo cual se refleja en la correlación de los retornos de voto entre distritos cercanos (Harbers, 2017).
Por otro lado, la regionalización esperada de los partidos mexicanos debe ser moderada por dos factores institucionales: la centralización de los recursos financieros dentro de cada partido y el control al acceso de la boleta electoral. El primer factor tiene que ver con la dependencia financiera de las ramas estatales de los partidos en las transferencias del Comité Ejecutivo Nacional para su organización y campañas locales (Harbers, 2014). Al mismo tiempo, los líderes de partidos nacionales tienen una gran discreción para transferir estos fondos hacia estados y distritos. Dicha estructura ayuda a las élites de partido a mantener el control sobre líderes locales y a conservar la agenda de un partido nacional (Kerevel, 2015).
La segunda forma en que los líderes mitigan los riesgos de una regionalización extrema en el partido es controlando el acceso a la boleta. En México, los líderes nacionales pueden vetar a los candidatos que aparecen en la boleta para diputados. Tal control les da un coto de poder sobre el comportamiento electoral y legislativo de su partido (Nacif, 2002; Kerevel, 2015). Al controlar el acceso a la boleta electoral, la organización del partido nacional puede seleccionar a los candidatos que tienen mayor probabilidad de seguir la agenda del partido nacional a cambio de futuros puestos dentro del partido (Hagopian, 2007). Esto es consistente con la literatura sobre política legislativa, que muestra cómo la lealtad de legisladores hacia el líder de partido aumenta con el control que éste tiene sobre sus objetivos electorales (Strøm, 1997; Pennings y Hazan, 2001).
A nivel de partido, esperamos que la nacionalización de cada partido sea una función de la historia partidista. En primer lugar, esperamos que la experiencia de haber gobernado tenga un efecto positivo en la nacionalización del partido. La experiencia de gobierno amplía la visibilidad de un partido y proporciona incentivos para extender el alcance de sus propuestas de campaña para que se enfoquen en el nivel nacional (Morgenstern, 2017). Por lo tanto, esperamos que la experiencia previa del PRI y el PAN en el Ejecutivo nacional aumente sus estrategias para establecer estrategias electorales a nivel nacional.
De manera similar, la nacionalización de partidos está en función de cómo se fundó cada partido, así como de sus estrategias para obtener votos. Esperamos que el PRI sea el más nacionalizado de todos los partidos mexicanos, dada su estructura previa como partido hegemónico. Uno de los principales cambios en el partido ocurrió a principios de la década de 1930, cuando pasó de ser una confederación de partidos regionales a una estructura jerárquica dirigida por el liderazgo nacional del partido (Langston, 2017). Esta estructura le permitió al partido controlar y movilizar a sus miembros de arriba hacia abajo. Además, el monopolio de poder del PRI durante la mayor parte del siglo XX le dio control total de los recursos políticos a nivel federal, estatal y local (Klesner, 2005). Estas características han resultado en un partido que opera como partido nacional.
En contraste, los orígenes del PRD y del PAN proveen menos incentivos para una nacionalización partidista como la observada con el PRI. El PRD se creó originalmente como una confederación de antiguos partidos de izquierda y organizaciones cívicas. Mientras todos sus miembros se unieron en torno a la campaña electoral de Cuauhtémoc Cárdenas, las derrotas electorales obligaron a sus miembros a lidiar con intereses en competencia y a luchar para mantener la cohesión interna (Camp, 2014). Esto provocó dificultades tanto para la institucionalización del partido como para su dependencia en el apoyo de una pequeña base vinculada a los líderes históricos del partido (Bruhn, 2012).
La historia del PAN, si bien es distinta, también creó pocos incentivos para seguir una estrategia de nacionalización partidista. En lugar de tratar de derrotar al PRI en la elección presidencial, el PAN comenzó a construir el apoyo electoral a nivel local. Su estrategia se basó en la concentración de cargos subnacionales y el uso de éstos como plataforma para otras victorias de mayor rango. Este camino condujo a un aumento gradual en el apoyo al partido, extendiéndose geográfica y horizontalmente (Lujambio, 2001; Lucardi, 2016). Sin embargo, la estrategia inevitablemente resultó en un partido más interesado en la política local que en la nacional. Además, la base de apoyo del PAN es principalmente la clase media urbana y educada, la cual se concentra en los centros urbanos, en especial en el norte del país (Klesner, 2005).
Por último, el éxito temprano electoral de Morena le permitió fortalecer el aspecto nacional de su apoyo electoral. De manera similar al PRD, Morena se construyó como una organización para apoyar la candidatura presidencial de un líder carismático. Sin embargo, la abrumadora popularidad nacional de López Obrador recibió un apoyo electoral similar en todas las regiones, desvaneciendo los patrones regionales del voto presidencial observados en elecciones anteriores a 2018 (Baker, 2009). Como resultado, esperamos que Morena presente altos niveles de nacionalización partidista.
En resumen, el contexto institucional del país produce un sistema de partidos nacionalizado a niveles moderados. Esperamos que el PRI sea el partido más nacionalizado, y que los escándalos de corrupción que han llevado a los votantes a castigar al partido en las elecciones recientes (Ang, 2020) hayan descendido sus niveles de apoyo en todo el país. El PAN y el PRD deberían tener un nivel más bajo de nacionalización, como resultado de sus bases de apoyo regionales, que producirán distribuciones de voto agrupadas a nivel estatal. Por otro lado, la organización centralizada de partidos debería producir fluctuaciones consistentes de apoyo electoral a lo largo del tiempo. En el caso de Morena, la exitosa campaña presidencial de su candidato produjo fuertes colisiones en las elecciones legislativas, proporcionando apoyo electoral para el partido en la mayoría de los distritos electorales. Como resultado, esperamos un alto nivel de nacionalización para Morena en 2018.
Análisis
Esta sección estima los niveles de nacionalización de partidos en México durante el periodo 1994-2018. Para esto, exploramos la variación de las tendencias del voto en las elecciones y los distritos para los cuatro partidos más importantes del país: PRI, PAN, PRD y Morena. Utilizamos como unidades de análisis los 300 distritos del Congreso en el país. Tratamos cualquier cambio en los límites del distrito a lo largo del tiempo agrupando los resultados a nivel de distrito de acuerdo con el proceso de redistribución de distritos de 2013. Todos los datos provienen de los resultados electorales oficiales disponibles en el sitio web del Instituto Nacional Electoral (INE).
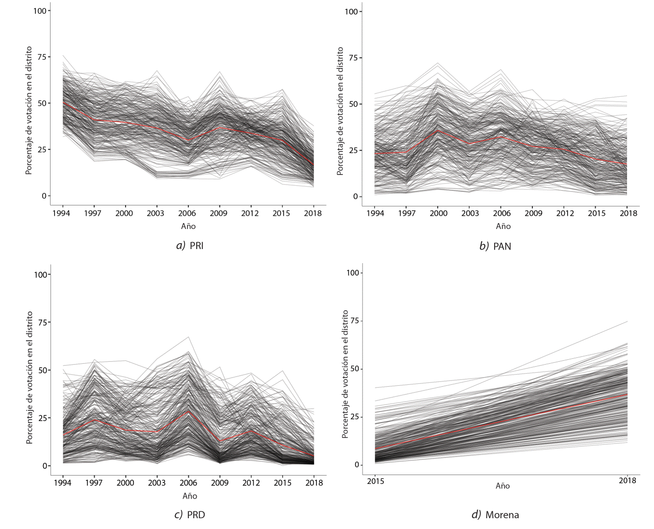
La gráfica 1 muestra la distribución del voto a nivel de distrito durante el periodo 1994-2018 para cada partido. Cada línea gris representa la proporción del voto para cada partido en un distrito determinado; y la línea roja denota la proporción del voto nacional para el mismo partido. Nuestra discusión se enfoca en los dos tipos de uni- formidad en las tendencias de compartir votos propuestas por Morgenstern (2017): nacionalización estática y dinámica. La nacionalización estática se entiende como la uniformidad de los votos del partido en todos los distritos al mismo tiempo. Un alto nivel de nacionalización estática significa que la proporción del voto para un partido tiene poca variación entre distritos, por lo que la mayoría de las líneas en la gráfica deben estar muy cerca de la línea roja. Mientras tanto, la nacionalización dinámica captura la consistencia en la variación a nivel distrital de la proporción del voto de un partido a lo largo del tiempo. Un alto nivel de nacionalización dinámica anticipa cambios uniformes en el reparto de votos a nivel de distrito en las elecciones, produciendo menos cruces entre las líneas grises en la gráfica.

Fuente: Elaboración propia con base en datos del sitio web del ine ( http://www.ine.mx).
Gráfica 1 Porcentajes de votación por distrito
Morgenstern (2017) combina ambas dimensiones para clasificar los partidos políticos en cuatro categorías: partidos nacionalizados (nacionalización estática alta y dinámica alta), desequilibrados (baja estática, alta dinámica), en flujo (alta estática, baja dinámica) o locales (baja estática y baja dinámica). Los partidos nacionalizados tienen un apoyo muy uniforme en todos los distritos y con el tiempo. Los ejemplos incluyen el Partido Socialista Obrero Español (PSOE) o el Partido Socialdemócrata Checo (CSSD, por sus siglas en checo). Los partidos desequilibrados experimentarán una gran variación en el reparto de votos entre distritos, pero los cambios en su apoyo tienden a ocurrir en patrones uniformes a lo largo del tiempo. Esta categoría es la más común e incluye a grupos como el Partido Laborista y los Conservadores en el Reino Unido. Los partidos en flujo son una categoría inusual, donde el apoyo uniforme a un partido en todos los distritos no se repite con el tiempo. Finalmente, los partidos locales tienen una gran variación de apoyo entre distritos y elecciones. El Partido Nacionalista Vasco de España o el Partido Justicialista de Argentina, por ejemplo, pertenecen a esta categoría (Morgenstern, 2017).
La proporción del voto a nivel distrital en la gráfica 1 muestra que el PRI tiene la nacionalización estática más alta del país, ya que hay más líneas que se acercan a la media nacional del partido que en lo que se observa para el PAN y el PRD. Del mismo modo, el apoyo electoral del PRI a lo largo del tiempo presenta fluctuaciones uniformes para la mayoría de los distritos del país. Una excepción notable es el conjunto de líneas en la parte inferior de la trama, que representan los resultados en los distritos electorales de la Ciudad de México. Este conjunto de tendencias atípicas sugiere que si bien el PRI obtiene resultados muy similares en todos los distritos de la Ciudad de México, sus porcentajes son sistemáticamente más bajos que los que obtiene en el resto del país.
La votación para el PAN, mientras tanto, sugiere una fuerza electoral desigual entre distritos. Si bien el partido gana más de la mitad de los votos en algunos distritos, en otros no obtiene más de 5 por ciento. Una variación tan alta muestra la baja nacionalización estática del PAN. Por otro lado, la gráfica también muestra fluctuaciones uniformes entre distritos en las elecciones antes de 2006. A partir de ese año, las líneas presentan patrones más dispersos, lo que sugiere una disminución de la nacionalización dinámica del PAN en las elecciones recientes.
De manera similar al caso del PAN, la distribución del voto para el PRD en cualquier año muestra grandes variaciones entre distritos, inicialmente un porcentaje de voto de menos de 0 y 50 por ciento. Sin embargo, la gráfica sugiere que su nacionalización estática aumentó en las últimas tres elecciones debido a la disminución de apoyo partidario en el país, obteniendo una proporción de votos cercana a 0 por ciento en la mayoría de los distritos. Por otro lado, la nacionalización dinámica parece ser muy alta, ya que los cambios en el reparto de votos a lo largo del tiempo parecen moverse uniformemente entre distritos.
Ahora reducimos nuestro enfoque a las tendencias de nacionalización de votos para Morena considerando sólo las dos elecciones federales en las que han participado después de su creación en 2013. Si bien no podemos concluir mucho considerando solamente un par de elecciones federales, la gráfica 1d destaca algunos patrones a revisar en el futuro. El apoyo a Morena fue relativamente bajo en 2015 y todas sus acciones de votación a nivel de distrito aumentaron en 2018. Sin embargo, este aumento no fue uniforme, ya que su proporción de voto “se desplegó”. Los votos para Morena en los distritos de Guanajuato, Aguascalientes y Yucatán aumentaron en una tasa más baja que el promedio nacional. Por el contrario, los distritos de Chiapas, Hidalgo y Tabasco registraron un porcentaje de voto de menos de 10 por ciento en 2015 a más de 50 por ciento en 2018. Estos resultados podrían sugerir preliminarmente niveles similares de nacionalización estática para Morena a los observados para PRI.
Este primer vistazo a las tendencias de votación sugiere una gran variación en las distribuciones de votos distritales para los partidos. A continuación, exploramos más a fondo qué tanto de esta variación puede explicarse a nivel estatal. Las gráficas 2-5 distinguen las distribuciones del voto en cada estado para cada partido. El análisis confirma la alta nacionalización dinámica del PRI, ya que todos los estados presentan tendencias descendentes similares. Además, la gráfica 2 también ilustra los distintos niveles de variación entre distritos de las proporciones de voto entre los estados, pasando de casi ninguna variación en la Ciudad de México, Baja California y Tabasco a una variación alta en los distritos de San Luis Potosí, Estado de México y Puebla.

Fuente: Elaboración propia con base en datos del sitio web del INE ( http://www.ine.mx).
Gráfica 2 Porcentajes distritales de votación para el PRI por estado

Fuente: Elaboración propia con base en datos del sitio web del INE ( http://www.ine.mx).
Gráfica 3 Porcentajes distritales de votación para el PAN por estado

Fuente: Elaboración propia con base en datos del sitio web del INE ( http://www.ine.mx).
Gráfica 4 Porcentajes distritales de votación para el PRD por estado

Fuente: Elaboración propia con base en datos del sitio web del INE ( http://www.ine.mx).
Gráfica 5 Porcentajes distritales de votación para Morena por estado
Mientras tanto, las tendencias de la distribución de votos del PAN parecen más uniformes con el tiempo que las observadas para el PRI. Con las excepciones de Veracruz, Sonora y Jalisco, las fluctuaciones en la distribución de voto del distrito son muy consistentes dentro de cada estado. Esta tendencia es más clara desde 2006. En otras palabras, la mayor parte de la caída de la nacionalización dinámica del PAN después de 2006 puede explicarse por la variación de las tendencias de voto a nivel estatal.
En el caso del PRD, la gráfica 4 nos ayuda a comprender que la mayor parte de la baja nacionalización estática se explica por diferentes niveles de apoyo entre los estados. Con la excepción de la Ciudad de México, el Estado de México, Michoacán, Oaxaca y Guerrero, las distribuciones de voto para el PRD son muy uniformes dentro de los estados, lo cual sugiere que la variación del voto para el PRD entre distritos puede explicarse en parte por la dinámica política a nivel estatal.
Para estimar formalmente los diferentes tipos de variabilidad electoral, actualizamos el análisis de Morgenstern (2017) para México extendiendo la serie de páneles y sugiriendo una especificación más precisa para la volatilidad del voto nacional del partido. En este caso, seguimos el enfoque multinivel de Mustillo y Mustillo (2012), que anida el tiempo dentro del distrito de la siguiente manera:
Donde Vote pdt es la proporción del voto para un partido p en el distrito d en la elección t. La elección t es una variable ordinal indexada para la secuencia de elecciones en nuestra base de datos. Los valores de β modelan la trayectoria del voto medio nacional para cada partido, es decir, la línea roja en cualquiera de las gráficas en la gráfica 1, utilizando un polinomio de orden 3. ζ 0d y ζ 1d explican la variación del apoyo electoral entre los distritos. En particular, ζ 0d muestra las diferencias duraderas del distrito que explican la dispersión del voto de un partido durante la elección inicial. Por lo tanto, los valores más bajos de ζ 0d pueden interpretarse como un alto nivel de nacionalización estática. ζ 1d representa la varianza en la tasa de cambio inicial. En el caso de ζ 0d y ζ 1d , asumimos que sus valores se extraen de dos distribuciones independientes con media cero y varianza σ 0 y σ 1, respectivamente, y una covarianza desconocida σ 01. Finalmente, la varianza residual, ε dt representa la variabilidad no explicada específica del distrito y el tiempo en las tendencias de distribución de votos. Esta estimación representa las características del ciclo electoral que pueden explicar la dispersión de votos. Tomamos este coeficiente como nuestra medida para la nacionalización dinámica. Los valores de ε dt más cercanos a 0 sugieren un alto nivel de nacionalización dinámica, ya que hay menos fuentes de dinámica cíclica.
La ecuación (2) propone una especificación alternativa que incluye State d , que es un conjunto de variables dummies para identificar el estado al que pertenece cada distrito. Esta especificación intenta capturar cualquier heterogeneidad de los votos compartidos producidos a nivel estatal. Presentamos el análisis con y sin estas variables para comparar cómo nuestras medidas de nacionalización dependen de los efectos estatales.
El cuadro 1 muestra los resultados de las últimas nueve elecciones federales en el país. Para hacer una comparación justa de los parámetros entre los partidos, omitimos a Morena de este análisis. Sin embargo, el apéndice muestra los resultados para todos los partidos que usan un modelo menos complejo que sólo incluye las dos últimas elecciones federales.
Cuadro 1 Modelos de apoyo electoral a nivel distrital, 1994-2018
| PRI | PRI | PAN | PAN | PRD | PRD | |
|---|---|---|---|---|---|---|
| Tiempo | -12.301*** | -12.301*** | 7.629*** | 7.629*** | 2.859*** | 2.859*** |
| (0.383) | (0.383) | (0.403) | (0.403) | (0.473) | (0.473) | |
| Elección2 | 3.223*** | 3.223*** | -1.761*** | -1.761*** | -0.461*** | -0.461*** |
| (0.115) | (0.115) | (0.120) | (0.120) | (0.143) | (0.143) | |
| Elección3 | -0.274*** | -0.274*** | 0.090*** | 0.090*** | -0.011 | -0.011 |
| (0.009) | (0.009) | (0.010) | (0.010) | (0.012) | (0.012) | |
| Constante | 49.827*** | 48.405*** | 22.938*** | 32.656*** | 17.606*** | 8.761*** |
| (0.596) | (2.509) | (0.790) | (3.311) | (0.688) | (0.535) | |
| Efectos estatales | ✓ | ✓ | ✓ | |||
| Efectos aleatorios | ||||||
| ζ0d estática) | 73.96 | 53.23 | 151.77 | 85.98 | 143.64 | 35.13 |
| ζ1d | 0.57 | 0.57 | 1.48 | 1.48 | 0.36 | 0.36 |
| εdt dinámica) | 37.98 | 37.98 | 41.21 | 41.21 | 56.06 | 56.06 |
| Observaciones | 2 700 | 2 700 | 2 700 | 2 700 | 2 700 | 2 700 |
| Distritos | 300 | 300 | 300 | 300 | 300 | 300 |
| Elecciones | 9 | 9 | 9 | 9 | 9 | 9 |
| Log Likelihood | -9 227.219 | -9 056.879 | -9 497.081 | -9 315.877 | -9 736.869 | -9 489.108 |
| AIC | 18 470.440 | 18 191.760 | 19 010.160 | 18 709.750 | 19 485.740 | 19 052.220 |
| BIC | 18 517.650 | 18 421.900 | 19 057.370 | 18 939.890 | 19 521.140 | 19 270.550 |
Fuente: Elaboración propia con base en datos del sitio web del INE ( http://www.ine.mx). ***p < .01; **p < .05; *p < .1.
Primero discutimos los modelos que no incluyen controles estatales, que confirman la inspección visual de la gráfica 1. El valor de ζ 0d en el modelo (1), que representa la variación en el apoyo electoral a nivel de distrito del PRI alrededor de su media nacional, es 73.9. Esto significa que, en ausencia de cualquier otra variación sistemática, 68 por ciento (o una desviación estándar) de las distribuciones a nivel de distrito para el PRI cae dentro de un intervalo de 8.6 por ciento por encima y por debajo de la media nacional. En contraste, los valores de ζ 0d en los modelos (3) y (5) sugieren que 68 por ciento de las distribuciones a nivel de distrito para el PAN y el PRD oscila alrededor de 11.9 y 12.3 por ciento, respectivamente, por encima y por debajo de sus medias nacionales. Estos resultados sugieren una mayor nacionalización estática para el PRI que para los otros dos partidos. Esto, a su vez, demuestra que el PRI recibe un apoyo más uniforme en todo el país, en comparación con los otros dos partidos, cuyo apoyo se concentra en ciertas regiones.
En cuanto a la nacionalización dinámica, consideramos los cambios no uniformes en los votos a nivel de distrito observados en la gráfica 1. Los valores de ε dt para el PRI y el PAN son 37.98 y 41.21, respectivamente, lo cual sugiere que los cambios para ambos partidos son relativamente uniformes en todos los distritos. En contraste, el tamaño de este parámetro para los modelos del PRD es 56.06, que representa una nacionalización dinámica más baja que los otros dos partidos. Estos resultados demuestran que el PRI es el más nacionalizado de los tres partidos en ambas dimensiones. Los tres partidos parecen estar desequilibrados, sin embargo, el PRD es el más cercano a ser un partido localizado, y el PRI a uno moderadamente nacionalizado.
Los modelos que incluyen las variables de control estatales exploran las tendencias de la distribución del voto de una manera similar a las gráficas 2-5, lo que nos permite contextualizar la heterogeneidad de las tendencias de voto. Para el caso del PRI, su estimación de varianza estática cae de 73.4 en el modelo 1 a 53.2 en el modelo 2. Esto nos dice que los efectos estatales representan 27 por ciento de la varianza en el apoyo a nivel de distrito del partido. Si bien dicha reducción para la variación entre distritos nos ayuda a comprender más sobre la nacionalización estática del partido, el efecto observado es menor que lo que observamos para el PAN y el PRD. La inclusión de los efectos estatales representa 43 y 75 por ciento de la variación en el apoyo a nivel de distrito para el PRD y el PAN, respectivamente. Lo cual significa que gran parte de los bajos niveles de nacionalización estática para estos dos partidos puede explicarse por la dinámica dentro de los estados.
Estos resultados difieren de las expectativas de Morgenstern. Por ejemplo, Morgenstern, Swindle y Castagnola (2009) han encontrado previamente que el sistema de partidos de México es bajo en la dimensión de nacionalización estática y de bajo a moderado en la dimensión dinámica. Concluyen que los partidos mexicanos están más cerca de enfocarse localmente (similar a Estados Unidos). Sin embargo, encontramos que el sistema de partidos mexicano tiene un puntaje bajo en la dimensión estática pero relativamente alto en la nacionalización dinámica, lo que sugiere que los partidos mexicanos tienden a estar desequilibrados. Además, nuestros resultados también sugieren que las diferencias entre partidos son importantes. Es claro que las diferencias del PRI lo distinguen del PAN y del PRD, y que tanto el PRD como el PAN están experimentando cambios que son específicos a cada partido.
El lector puede observar que los resultados del cuadro 1 describen los patrones generales de los partidos durante todo el periodo. Este enfoque, sin embargo, no nos permite percibir cambios significativos en las tendencias de votación en las elecciones. Para tratar esta limitación, utilizamos el enfoque propuesto por Bartels (1998), quien mide la nacionalización relativa del voto del partido para cada elección. Inspirado en el trabajo de Stokes (1967), Bartels propone una forma de descomponer los resultados de las elecciones dentro de un distrito acorde con: 1) las lealtades permanentes del partido en el distrito, 2) los flujos cambiantes de apoyo electoral a nivel nacional y 3) fuerzas distritales efímeras en el trabajo. El modelo está especificado de la siguiente manera:
Donde Votepdst es la distribución del voto para el partido p en el distrito d y los estados s en el año electoral t. Vote pdst - 1 y Vote pdst - 2 representan los votos compartidos para el mismo partido y distrito en las dos elecciones federales anteriores. La ordenada al orígen αt representa el apoyo nacional medio de un partido en una elección determinada. γ st es un parámetro que da cuenta de las fuerzas estatales de los resultados electorales en el distrito en un momento dado. Finalmente, ε dst es el término estocástico que representa las fuerzas idiosincrásicas del distrito durante una elección específica. Suponemos que, ε dst se extrae de una distribución de probabilidad con media cero y varianza específica a cada elección σ2 dpt .
El modelo de la ecuación (3) difiere del propuesto por Bartels (1998) en tres aspectos. Primero, similar a Lupu (2015), utiliza las distribuciones del voto para cada partido como la variable dependiente, en lugar de la diferencia de voto entre los dos principales partidos. Esto nos permite estudiar los diferentes componentes del apoyo electoral en sistemas multipartidistas. En segundo lugar, dado que Morena ha competido en sólo dos elecciones federales, sus mediciones de apoyo electoral rezagado vienen de las tasas de votación para el PRD. Finalmente, nuestras estimaciones se reportan utilizando el método de las regresiones aparentemente no relacionadas (sur), que permiten errores correlacionados en los modelos para cada voto de partido en un año determinado (Zellner, 1962). La utilización de un sistema de ecuaciones para cada año electoral introduce información adicional que no podría apreciarse al considerar las ecuaciones individuales por separado.
El cuadro 2 presenta las estimaciones de los parámetros de interés para cada partido y elección desde 2000 hasta 2018. Cada fila corresponde a una regresión de los votos de un partido en un año determinado. La columna 1 en el cuadro muestra la variación estocástica estimada de las fuerzas del distrito en un año determinado. La columna 2 muestra el promedio de los cambios de voto estatales estimados durante la elección. La columna 3 exhibe el apoyo estimado de los partidos nacionales. Las columnas 4 y 5 muestran la persistencia estimada de los dos resultados electorales anteriores en el distrito. Finalmente, la columna 6 estima la estabilidad del apoyo partidista en el distrito sumando el tamaño de los coeficientes para los dos términos rezagados. Todos los valores se presentan en puntos porcentuales, y los valores entre paréntesis indican los errores estándar para los parámetros.
Cuadro 2 Componentes del voto partidista, 2000-2018
| Año | (1) Fuerzas distritales σ | (2) Fuerzas estatales (media absoluta) | (3) Fuerza nacional α | (4) Primer rezago β 1 | (5) Segundo rezago β 2 | (6) Lealtad partidista β 1 + β 2 | |
|---|---|---|---|---|---|---|---|
| PRI | 2000 | 3.79 | 5.26 | -6.26 (0.05) | 0.59 (0.05) | 0.34 (0.05) | 0.94 |
| 2003 | 4.63 | 4.61 | 6.85 (0.07) | 0.53 (0.07) | 0.24 (0.07) | 0.77 | |
| 2006 | 3.40 | 3.53 | 4.61 (0.04) | 0.25 (0.04) | 0.38 (0.04) | 0.64 | |
| 2009 | 4.54 | 9.28 | 11.29 (0.07) | 0.26 (0.07) | 0.28 (0.06) | 0.53 | |
| 2012 | 3.97 | 4.09 | 11.54 (0.05) | 0.32 (0.05) | 0.34 (0.05) | 0.66 | |
| 2015 | 4.92 | 5.45 | 0.97 (0.07) | 0.74 (0.07) | 0.25 (0.06) | 0.98 | |
| 2018 | 3.24 | 3.91 | 1.86 (0.04) | 0.34 (0.04) | 0.23 (0.05) | 0.57 | |
| PAN | 2000 | 4.71 | 5.44 | 8.83 (0.06) | 0.44 (0.06) | 0.78 (0.06) | 1.22 |
| 2003 | 5.21 | 5.73 | 8.14 (0.05) | 0.64 (0.05) | 0.04 (0.07) | 0.68 | |
| 2006 | 4.02 | 5.23 | 12.19 (0.05) | 0.45 (0.05) | 0.26 (0.04) | 0.71 | |
| 2009 | 5.70 | 6.59 | 1.33 (0.08) | 0.59 (0.08) | 0.03 (0.07) | 0.62 | |
| 2012 | 3.95 | 3.46 | 2.44 (0.04) | 0.19 (0.04) | 0.50 (0.04) | 0.69 | |
| 2015 | 5.06 | 8.39 | 4.57 (0.06) | 0.69 (0.06) | 0.25 (0.05) | 0.93 | |
| 2018 | 3.82 | 9.01 | 6.46 (0.04) | 0.39 (0.04) | 0.43 (0.05) | 0.83 | |
| PRD | 2000 | 3.65 | 5.04 | -0.62 (0.04) | 0.32 (0.04) | 0.55 (0.05) | 0.87 |
| 2003 | 4.52 | 5.18 | -0.28 (0.06) | 0.69 (0.06) | 0.10 (0.05) | 0.79 | |
| 2006 | 3.66 | 5.08 | 12.12 (0.05) | 0.39 (0.05) | 0.41 (0.05) | 0.80 | |
| 2009 | 4.88 | 3.44 | -4.07 (0.07) | 0.34 (0.07) | 0.36 (0.07) | 0.69 | |
| 2012 | 3.36 | 4.59 | -0.13 (0.04) | 0.10 (0.04) | 0.48 (0.04) | 0.58 | |
| 2015 | 5.28 | 3.55 | -4.04 (0.08) | 0.57 (0.08) | 0.27 (0.06) | 0.84 | |
| 2018 | 2.57 | 1.85 | 1.18 (0.03) | 0.47 (0.03) | 0.00 (0.04) | 0.47 | |
| Morena | 2015 | 3.48 | 2.56 | 1.01 (0.05) | 0.46 (0.05) | -0.11 (0.04) | 0.35 |
| 2018 | 5.32 | 7.48 | 19.83 (0.09) | 0.70 (0.09) | 0.37 (0.08) | 1.07 | |
Fuente: Elaboración propia con base en datos del sitio web del INE ( http://www.ine.mx). Nota: Errores estándar en paréntesis.
Los parámetros estimados pueden ayudarnos a comprender las fluctuaciones de los componentes de votación para los partidos durante el periodo analizado. Antes de las elecciones de 2018, las fuerzas por distrito son similares en todos los partidos y son el componente más constante de la votación a lo largo del tiempo. Tanto los componentes estatales como los nacionales presentan patrones más volátiles e inconsistentes para los partidos. Considere, por ejemplo, el caso de la fuerza nacional del PAN, que muestra sus valores más altos para las elecciones presidenciales. Todos los componentes del PRD parecen disminuir para las elecciones de 2018, mientras que el voto por Morena parece ser impulsado por las fuerzas nacionales y estatales. Para evaluar la fuerza del componente nacional del voto para cada partido y elección, seguimos la estimación de Lupu (2015) para la nacionalización relativa del voto como la proporción de la variación nacional a la suma de las variaciones nacionales, estatales y distritales.2 Esta proporción se estima como:
La gráfica 6 resume la estimación de la nacionalización relativa para cada partido y año electoral. Estas estimaciones muestran un sistema de partidos relativamente nacionalizado durante el periodo 2000-2006 y su posterior. El componente nacional de los resultados electorales del PRI fue relativamente alto hasta 2012. En contraste, en las últimas dos elecciones federales, la variación de sus votos priistas se explica principalmente por los componentes estatales o distritales. En el caso del PAN, su nacionalización relativa se desplomó después de las elecciones de 2006. El valor de la medición para el PAN ha aumentado durante las últimas tres elecciones, y explica alrededor de un tercio de la variación total para 2018. La nacionalización relativa para el PRD ha sido consistentemente baja, con la excepción de las elecciones de 2006. Por último, el éxito de Morena en las elecciones más recientes estuvo fuertemente determinado por las fuerzas nacionales en juego, como lo ilustra su alta nacionalización relativa en 2018. Este nivel de nacionalización relativa es similar al PAN y al PRD en 2006 o al PRI en 2012.

Fuente: Elaboración propia con base en datos del sitio web del INE ( http://www.ine.mx).
Gráfica 6 Nacionalización relativa de los partidos en México 2000-2018
La gráfica 6 también muestra un aumento general en la nacionalización relative de los partidos cuando las elecciones legislativas son concurrentes con las presidenciales. En otras palabras, la proporción del voto de un mismo partido en distintos distritos aumenta en de dirección y magnitud similares cuando los candidatos legislativos hacen campaña junto a su candidato presidencial. Este patrón muestra la influencia de las campañas presidenciales en la distribución general del voto que un partido recibe en todos los distritos. Los candidatos presidenciales se centran en promover políticas nacionales. Al mismo tiempo, dado que la carrera presidencial atrae la mayor parte de la cobertura de los medios, los candidatos legislativos encuentran más fácil alinear sus mensajes de campaña con los propuestos por su candidato presidencial (Samuels, 2002, 2003). Las campañas intermedias, por otro lado, nos permiten observar el desempeño de un partido sin los efectos de una campaña nacional, lo cual permite a los candidatos enfatizar los problemas locales y a los partidos asignar estratégicamente recursos en sus distritos más competitivos (Poiré, 2005).
Una interpretación complementaria para el aumento general de la nacionalización relativa de los partidos cada seis años es la fuerza del efecto de arrastre de los candidatos presidenciales. Esta teoría predice que cuantos más votos reciba un candidato presidencial, mejores resultados tendrán los candidatos legislativos del mismo partido (Golder, 2006; Ferejohn y Calvert, 1984). La literatura sobre política electoral explica esta relación con la atención que los medios y los votantes prestan a la campaña presidencial sobre cualquier otra elección. Como resultado, un buen candidato presidencial puede ser un impulso útil para los otros candidatos del mismo partido. En el caso mexicano, Magar (2012) ya ha mostrado una estrecha relación entre los votos de los presidentes y los diputados desde 1982.
Un punto débil del análisis anterior es el potencial ruido en las estimaciones al comparar las proporciones del voto en elecciones concurrentes y no concurrentes. Este problema nos impide distinguir la importancia del partido como fuerza nacional de la popularidad de su candidato presidencial. Una forma de verificar este problema es incluyendo sólo años electorales con elecciones presidenciales concurrentes en nuestras estimaciones, como se muestra en la gráfica 7. Este ejercicio nos permite estimar la nacionalización del partido que respalda a López Obrador como su candidato presidencial en las últimas tres elecciones presidenciales. La gráfica muestra el colapso de la nacionalización relativa del PAN y el PRI después de 2006 y 2012, respectivamente. El tamaño relativo del componente nacional que explica la variación del voto al partido va de más de 80 por ciento a menos de 20 por ciento en su mejor momento. También muestra que el fuerte componente electoral nacional del partido de López Obrador durante 2006 y 2018 fue sustituido por el PRI en 2012.

Fuente: Elaboración propia con base en datos del sitio web del INE ( http://www.ine.mx).
Gráfica 7 Nacionalización relativa de los partidos en México (incluyendo solamente elecciones presidenciales)
En resumen, el análisis sugiere que el desempeño electoral de los partidos mexicanos ha dependido en gran medida de sus fuerzas estatales y no tanto de la contribución de sus fuerzas distritales. Además, si bien el PRD aún parece ser más un partido regional, el pobre desempeño electoral del PAN y el PRI en 2018 no parece traer la desaparición de las fuerzas nacionales en su voto. El tiempo dirá si estos partidos pueden sostener sus fuerzas nacionales para las próximas elecciones. En el caso de Morena, su éxito electoral en 2018 muestra tendencias similares a las exhibidas por partidos exitosos en elecciones anteriores, incluso con puntajes más altos que cualquier otro partido en términos de nacionalización relativa. Esto sugiere que Morena no está interrumpiendo el sistema de partidos, sino que simplemente sigue las tendencias establecidas en la competencia electoral mexicana. Si Morena puede establecerse como un partido nacional cuando López Obrador no esté en la boleta electoral es una pregunta que se responderá durante las elecciones federales de 2021.
Conclusiones
Este artículo evalúa los patrones de nacionalización de partidos en México en las últimas nueve elecciones federales. Nuestros hallazgos sugieren que el PRI y el PAN continúan produciendo puntajes de nacionalización similares a los del pasado, mientras que el PRD se ha nacionalizado cada vez más como resultado de la disminución de su apoyo electoral. La caída en la distribución del voto del PRD se produjo al mismo tiempo que el ascenso de Morena, que parece haber ingresado en el sistema de partidos sin causar gran inestabilidad. Encontramos que sus patrones de apoyo electoral son similares a los de otros partidos en años anteriores.
El análisis muestra que los partidos mexicanos están fuertemente nacionalizados en la dimensión dinámica, y que gran parte de la variación en la dimensión estática se explica a nivel estatal. Estos hallazgos reinterpretan los bajos niveles de nacionalización estática como producto de la política estatal y no tanto por las dinámicas distritales. También mostramos las similitudes en los niveles de nacionalización para el PAN en 2006, el PRI en 2012 y Morena en 2018. En estas tres elecciones, las campañas presidenciales crearon fuertes efectos de arrastre que mueven el apoyo electoral hacia la misma dirección a través de los distritos. Este hallazgo sugiere que los cambios en las preferencias del electorado mexicano obedecen a asuntos nacionales en lugar de locales.
Para el caso particular de las elecciones de 2018, el desempeño de Morena en términos de nacionalización dinámica muestra la importancia de una campaña presidencial nacionalizada exitosa para aumentar el nivel de apoyo nacional para un partido. Durante las elecciones legislativas de 2015, Morena concentró su apoyo electoral en la Ciudad de México, Tabasco y algunos distritos de Veracruz. Para las últimas elecciones presidenciales, la popularidad y la visibilidad de López Obrador contribuyeron al aumento de apoyo al partido en cada uno de los 300 distritos del país. Se verá en las próximas elecciones si Morena puede mantener este nivel de apoyo sin la aparición de su líder de facto en la boleta electoral.
Nuestros hallazgos también sugieren una estrategia potencial para que los partidos de oposición se recuperen de su abrumadora derrota en 2018. Para reconstruir su estructura nacional, los partidos primero deben mantener el apoyo de sus bastiones locales. Los niveles relativamente bajos de nacionalización estática sugieren la importancia de que la política local establezca el apoyo base de los partidos en cada estado. Como fue el caso del PAN antes de 2000 (Lujambio, 2001) o el PRI entre 2000 y 2012 (Langston, 2017), los partidos deben comenzar en lo local, defendiendo primero sus bastiones y gradualmente avanzando hacia la construcción de una estrategia nacional.
Nuestro análisis, sin embargo, no queda libre de limitaciones. Sugerimos aquí dos de ellas, así como las posibles formas en que académicos puedan explorar preguntas relacionadas para el estudio de sistemas de partidos en México y en otros lugares. Primero, el enfoque convencional para estudiar el regionalismo en los patrones de votación en el país debe explorarse más a fondo. Como muestran nuestros hallazgos, la mayor parte de la variación en el apoyo electoral a los partidos puede explicarse a nivel estatal. Como resultado, incluir los efectos fijos de la región en el caso mexicano parece ser una forma distorsionada de explicar las variaciones en el apoyo electoral.
En segundo lugar, la naturaleza de nuestros datos no nos permite distinguir si los diferentes patrones geográficos que encontramos responden a las políticas locales o a las diferentes actitudes y comportamientos de los votantes entre estados. En particular, si bien los bajos niveles de nacionalización estática que documentamos sugieren que los partidos disfrutan de un nivel predeterminado de apoyo en todos los estados, no está claro si estas diferencias provienen de la fuerza de las máquinas políticas en cada estado o de las diferencias en actitud de los votantes que apoyan a cada uno de los partidos. Del mismo modo, dado que conocemos la importancia de los gobernadores estatales en México, hay razones para explorar cómo los partidos en los sistemas descentralizados pueden organizarse a nivel subnacional. Estas preguntas son una invitación a académicos para volver a examinar este tema y ampliar sus hallazgos.










texto en 



