Introducción
La leche es reconocida como un alimento nutritivo, saludable y común en la dieta de los individuos a lo largo de su vida a nivel mundial dado que provee energía, agua, proteínas, grasas, lactosa y vitaminas (Zabib et al., 2023). El consumo de leche cruda o no pasteurizada es una tendencia creciente, cuya práctica puede comprometer la salud del consumidor (Alegbeleye et al., 2018). La leche cruda puede ser un sustrato que albergue o soporta el crecimiento de microorganismos, y algunos de ellos podrían infectar a los consumidores (Ríos-Muñoz et al., 2019). Diversos brotes epidemiológicos se han vinculado por el consumo de leche y derivados lácteos sin pasteurizar. Entre los principales peligros biológicos están Mycobacterium spp., Campylobacter spp., Listeria monocytogenes, Salmonella spp., Staphylococcus aureus, entre otros (Grace et al., 2020).
La calidad de la leche es una preocupación importante de la industria alimentaria dado el cumplimiento de los requisitos nutricionales y especificaciones sanitarias (Zebib et al., 2023). Actualmente, la pasteurización (65 ºC por 30 min) y ultra pasteurización (135 - 150 ºC por 2 a 8 s) son las principales tecnologías empleadas para garantizar la inocuidad y prolongar la vida de anaquel de la leche. No obstante, estas tecnologías pueden afectar ligeramente el perfil nutritivo y organoléptico (Yuan et al., 2023). Cuando se emplea un tratamiento térmico el sabor y aroma de la leche cambia y difiere del de la leche cruda debido a la pérdida o modificación de compuestos volátiles (Jo et al., 2018), condicionando las preferencias del consumidor (Yuan et al., 2023).
El consumo y uso de leche sin pasteurizar esta prohibido en México (NOM-243-SSA1-2010). Las disposiciones sanitarias exigen la aplicación de tratamientos térmicos, incluyendo la pasteurización lenta (63 ºC por 30 min), pasteurización rápida (72 ºC por 15 s), ultrapasteurización (135 a 149 por 2 a 8 s), ebullición, esterilización o deshidratación (NOM-243-SSA1-2010). No obstante, se estima que, el 40 % de los productos lácteos que se elaboran y consumen en el país carecen de pasteurización o tratamiento térmico (Iñiguez-Muñoz et al., 2022). Así mismo, la preferencia de productos lácteos sin pasteurizar también ha sido expuesta en México (Chávez-Martínez et al., 2019). Este panorama advierte del riesgo de adquirir enfermedades infecciosas (Grace et al., 2020). Al respecto, la deficiente calidad microbiológica (E. coli, coliformes totales, coliformes fecales, mesófilos, Mycobacterium spp.) de la leche cruda ha sido expuesta en México (Ríos-Muñiz et al., 2019). A nivel nacional, la Dirección General de Epidemiología estima 3,021,789 y 23,692 casos anuales de infecciones intestinales mal definidas e intoxicación alimentaria bacteriana, respectivamente (DGE, 2024).
Novedosas tecnologías no-térmicas han sido propuestas como alternativa a la pasteurización preservando la calidad e inocuidad de los alimentos: procesamiento de alta presión, campo eléctrico pulsado, ultrasonidos e hidrodinámica, cavitación, irradiación UV y tecnología de plasma (Alegbeleye et al., 2018; Torrenegra et al., 2021; Pegu y Arya, 2023). El microondas, la refrigeración y el calentamiento corto también se han propuesto para el control microbiológico de la leche cruda y conservación del contenido nutrimental (Tremonte et al., 2014). Algunas de estas técnicas pueden adoptarse en los hogares para garantizar la inocuidad de la leche (Alegbeleye et al., 2018).
Particularmente, el microondas es un método promisorio para la preservación de la calidad del alimento (Torrenegra et al., 2021; Tremonte et al., 2014). Un horno de microondas convencional pasa radiación de microondas no ionizante a una frecuencia de 2.45 GHZ (122 mm) a través de los alimentos que causan un calentamiento dieléctrico de las moléculas polares (agua, azúcar, y otros), lo que favorece la absorción y dispersión de calor favoreciendo la eliminación de microorganismos (Sood et al., 2015; Martins et al., 2019; Torrenegra et al., 2021). Adicionalmente, la refrigeración de los productos lácteos está recomendada para la preservación de los lácteos frescos (NOM-243-SSA1-2010).
En este contexto, la demanda de productos lácteos sin pasteurizar en México derivados del comercio informal hace relevante la búsqueda de propuestas prácticas y eficientes que los consumidores pudieran adoptar para garantizar la inocuidad de la leche cruda. La refrigeración, calentamiento y microondas resultan prácticas promisoras para el control microbiológico (Tremonte et al., 2014) y de fácil uso en los hogares. Por lo tanto, este estudio tiene como objetivo evaluar la calidad microbiológica de la leche cruda de vaca recolectada de establos del centro-norte de Sinaloa, y evaluar el efecto de la aplicación de prácticas domésticas (microondas, calentamiento y refrigeración) sobre la inocuidad de leche pasteurizada inoculada (L. monocytogenes) y el contenido proteico en leche cruda como un estudio de caso.
Materiales y métodos
Diseño del experimento
Para este caso de estudio, la investigación se realizó en dos etapas: (i) determinación de la calidad microbiológica de la leche cruda de vaca y (ii) evaluación de técnicas domésticas para la preservación de la inocuidad y contenido proteico de la leche. Para la etapa (i) se recolectaron muestras de leche cruda en ganaderías locales, y se realizó la determinación de calidad microbiológica considerando la detección de Salmonella spp., Listeria monocytogenes, Staphylococcus aureus y Escherichia coli. Para la etapa (ii), se utilizaron muestras de leche pasteurizada y una cepa de L. monocytogenes ATCC7644 con el fin de descartar contaminación microbiológica de origen y utilizar un modelo de patógeno asociado a productos lácteos, respectivamente. La selección de las técnicas domésticas fue con base a los electrodomésticos (microondas, refrigerador y estufa) que convencionalmente se encuentran en el hogar.
Toma de muestra
En el periodo de enero a mayo de 2023, fueron recolectadas 28 muestras de leche a partir de diferentes vacas pertenecientes a dos establos ubicados en las ciudades de Culiacán y Guasave, Sinaloa, México. El total de las muestras dependió de la disponibilidad del proveedor participante. Fueron recolectadas muestras de 100 mL de leche cruda de vaca en bolsas estériles de plástico herméticas según las prácticas de ordeño de cada establo. Brevemente, los operarios higienizaban sus manos con agua y jabón y posteriormente desinfectaban con alcohol al 70 %. Adicionalmente, las ubres de la vaca se lavaban con jabón y enjuagan con agua corriente. Las vacas se concentraban en corrales cerrados y se disponían en tándem para la recolecta de las muestras de leche. Las muestras fueron recolectadas durante la ordeña habitual a las 6 am, y propiamente identificadas y almacenadas en hieleras que contenían refrigerantes durante su transporte al laboratorio. Una vez en el laboratorio, las muestras fueron almacenadas en refrigeración (5 ± 1 °C) y procesadas dentro de las primeras 4 h posteriores a su recolección.
Análisis microbiológico de la leche cruda
Los protocolos correspondientes para el enriquecimiento y aislamiento de Listeria monocytogenes (USDA, 2019) y Salmonella spp. (Andrews et al., 2023) en alimentos fueron utilizados para este estudio. Para la cuantificación de Staphylococcus aureus y Escherichia coli fue realizado el método de recuento directo en placa de la muestra primaria y diluciones seriadas (10-1 a 10-5) en medios de agar selectivos sugerido por el método estándar (Tallent et al., 2019; Feng et al., 2020). Para Staphylococcus aureus y Escherichia coli fueron utilizados los agares sal y manitol y m-Endo, respectivamente. Los resultaros fueron expresados en UFC/mL empleando la siguiente ecuación:
Donde X corresponde al promedio de colonias enumeradas, Fd es el factor de dilución y V es el volumen (mL) depositado en la superficie del agar.
Preparación del inóculo de L. monocytogenes
La cepa de L. monocytogenes ATCC 7644 fue incluida en este estudio como modelo de patógeno de transmisión alimentaria para la inoculación de la leche. La selección del patógeno fue atribuida a su relación con productos lácteos en México (Castañeda et al., 2014) y su resistencia térmica (Doyle et al., 2001). El inóculo fue preparado mediante la siembra de la cepa en agar Oxford Modificado (MOX) por estría cruzada, y consecutivamente fue incubado a 37 ± 2 C por 48 h. Posteriormente, asadas del cultivo fueron tomadas e inoculadas en solución de NaCl 0.85 % hasta alcanzar una turbidez de 0.5 en escala McFarland (1.5 x 108 UFC/mL). Diluciones en serie fueron preparadas para verificar la concentración de la suspensión bacteriana en agar MOX.
Inoculación de las muestras de leche
Muestras de leche de vaca entera pasteurizada de una marca comercial fueron obtenidas en un supermercado local en Culiacán, Sinaloa, México. La presentación del producto correspondía a una botella de 1 L almacenado a temperatura ambiente y con vida útil vigente. La selección de leche de vaca entera pasteurizada fue para garantizar la ausencia de microorganismos patógenos, benéficos y deteriorantes que pudieran interferir en el experimento. En condiciones asépticas, alícuotas de 40 mL de leche fueron distribuidas en matraces pyrex estériles para su respectivo tratamiento: microondas (45, 55 y 65 s), ebullición y refrigeración. Cada muestra fue inoculada con la suspensión bacteriana estandarizada (1.5 × 108 UFC/mL) hasta alcanzar una concentración final de ≈ 106 - 107 UFC/mL de L. monocytogenes. Las muestras fueron homogeneizadas manualmente durante 2 min, y se sometieron a los diferentes tratamientos físicos de simulación doméstica.
Tratamientos físicos de simulación doméstica para el control microbiológico de la leche
En este estudio fueron seleccionados tres prácticas domésticas comunes basadas en métodos físicos: microondas, ebullición y refrigeración. Para las muestras tratadas con microondas, fue utilizado un microondas (Daewood Electronics®), y las muestras de leche inoculadas fueron sometidas a una potencia de 950 W y frecuencia de 2450 MHz a diferentes tiempos: 45, 55 y 65 s. Los tres tiempos de exposición utilizados alcanza la temperatura de inactivación (> 75 ºC) de L. monocytogenes (Ceylan et al., 2017). Para el tratamiento por ebullición, las muestras inoculadas fueron llevadas hasta hervor aproximadamente por 1 min sobre una placa de calentamiento (Thermo Scientific®). Respecto al tratamiento por refrigeración, las muestras fueron almacenadas a 5 ± 1 C durante 21 días. Después de cada tratamiento, las muestras fueron analizadas para la determinación de la concentración de L. monocytogenes.
Cuantificación de Listeria monocytogenes
De cada tratamiento, fueron tomadas alícuotas para realizar diluciones seriadas (10-1 a 10-4) en tubos con 9 mL de NaCl 0.85%. La muestra directa y las diluciones fueron sembradas por triplicado mediante el método de siembra por goteo (10 µL) en agar Oxford Modificado (MOX). Las placas de cultivo fueron incubadas a 37 °C por 48 h. Las colonias caracteríticas fueron enumeradas, promediadas y la concentración de L. monocytogenes fue expresada en Log UFC/mL. Para descartar la presencia de L. monocytogenes en las muestras negativas (agar MOX) de la leche tratada, alícuotas (1 mL) fueron tomadas y enriquecidas en caldo Fraser Broth (FB) a 37 ºC por 48 h. La ausencia de un precipitado negro en el caldo FB evidenciaba la ausencia de la bacteria debido a la no hidrolización de la esculina.
Determinación del contenido y desnaturalización de proteína en la leche
Para el ensayo fueron utilizadas muestras de leche de vaca cruda. La muestra (≈ 300 mL) fueron adquiridas de los establos mencionados en condiciones normales de ordeña y fueron depositadas en un recipiente limpio. La muestra (40 mL) fue distribuida en matraces para su respectivo tratamiento: microondas (45, 55 y 65 s), ebullición y refrigeración (control). El contenido de proteína total fue determinado empleando el método Kjeldahl, siguiendo el procedimiento descrito en la Norma Oficial Mexicana NOM-155-SCFI-2012, con modificaciones menores. Brevemente, alícuotas de 5 mL de las muestras leche cruda tratada fueron depositadas en tubos cónicos para su homogeneización. Para la digestión, las muestras fueron vertidas en tubos de digestión que contenían una tableta (1.625 g) de catalizador Kjeldahl (6.25% en CuSO4•5H2O), y fueron adicionados 5 mL de ácido sulfúrico. Los tubos fueron incubados a 450 °C por 8 h. Transcurrido este tiempo, fueron agregados 10 mL de agua destilada a la muestra fría. Posteriormente, las muestras fueron homogenizadas hasta disolución completa y fueron destiladas utilizando soluciones de NaOH al 40 % y H3BO3 al 5 %. Finalmente, las muestras fueron tituladas con solución de HCl 0.1 N. Para la obtención del contenido (%) de nitrógeno fue utilizada la siguiente ecuación:
Donde, V es el volumen (mL) y N es la normalidad de HCl utilizado en la titulación, M es la masa (g) de la muestra, y 0.014 corresponde al número miliequivalente del nitrógeno.
El contenido (%p/p) de proteínas fue obtenido multiplicando el % de nitrógeno obtenido por el factor de 6.38, el cual corresponde al factor de conversión específico de la leche. Para la determinación del porcentaje de desnaturalización proteica fue determinada empleando la siguiente ecuación:
Donde, WPN r y WPN h son el porcentaje de nitrógeno correspondiente a la leche cruda y tratada, respectivamente.
Análisis estadístico
Todos los ensayos fueron realizados por triplicado. Para el análisis de los datos se realizó un análisis de varianza (ANOVA) de una vía, seguido de la prueba de diferencias mínimas significativas de Tukey, para determinar si existían diferencias significativas (P < 0.05) entre las medias (Log UFC/mL de L. monocytogenes, contenido (%) de proteína y desnaturalización (%) proteica) de los diferentes tratamientos (microondas, ebullición y refrigeración). Este análisis estadístico fue realizado mediante el software estadístico Minitab versión 19.
Resultados y discusión
Calidad microbiológica de la leche cruda de vaca
La presencia de L. monocytogenes, Salmonella spp. y E. coli fue descartada en las 28 muestras analizadas. En el 93 % de las muestras se detectó S. aureus con un rango de concentración de 5.0 a 9.0 x 1010 UFC/mL (Figura 1). La mayoría (86 %) de las muestras (n= 28) estuvieron fuera de especificación de acuerdo con el límite permitido (≤ 10 UFC/mL) para S. aureus en leche declarado en la norma oficial mexicana NOM-243-SSA1-2010.
Se ha reportado que la prevalencia de S. aureus en muestras de leche de vaca cruda puede variar de 1.7 a 75 % (Liang et al., 2023). De acuerdo con las especificaciones sanitarias requeridas para el proceso de leche (NOM-243-SSA1-2010) se expone la insalubridad y el riesgo del consumo directo de la leche de vaca cruda evaluada (Figura 1). La deficiente calidad de la leche de vaca cruda indica las malas condiciones higiénicas en las que se recolecta el producto durante la ordeña (entorno y/o personal) o el estado de salud de los animales que contribuyen a la transferencia de S. aureus (Gebremedhin et al., 2022;Gajewska et al., 2023).
Figura 1 Detección (a) y límites (b) de S. aureus cuantificados en las muestras de leche de vaca cruda. Límite permitido (≤ 10 UFC/mL) para S. aureus en leche declarado en la norma oficial mexicana NOM-243-SSA1-2010.

Figure 1: Detection (a) and limits (b) of S. aureus quantified in raw cow’s milk samples. Permitted limit (≤ 10 CFU/mL) for S. aureus in milk declared in the official Mexican standard NOM-243-SSA1-2010.
Si bien, la contaminación primaria de la leche cruda es el principal factor de riesgo (Gebremedhin et al., 2022), su manejo posterior y la ausencia de un tratamiento térmico en los establecimientos y el hogar puede incrementar la carga microbiana y la transferencia del patógeno (Dash et al., 2022). Al respecto, el consumo de leche sin pasteurizar y su uso para la elaboración de derivados lácteos es una costumbre en México (Ríos-Muñoz et al., 2019). Esta preferencia se atribuye a las técnicas tradicionales que prevalecen para la fabricación de productos lácteos genuinos que son buscados por los consumidores (Chávez-Martínez et al., 2019). No obstante, Iñiguez-Muñoz et al. (2022) han señalado la mala calidad microbiológica de la leche utilizada para la elaboración de productos artesanales, lo que repercute en la inocuidad del producto final.
La detección de S. aureus (5.0 a 9.0 x 1010 UFC/mL) en leche cruda es un indicador del riesgo del desarrollo de intoxicaciones alimentarias e infecciones intestinales, dado que este alimento puede consumirse sin tratamiento térmico previo a su ingesta (Ríos-Muñoz et al., 2019). Es importante resaltar que, las infecciones intestinales (3,021,789 casos anuales) son consideradas la tercera causa de morbilidad en el país (DGE, 2024). No obstante, el vehículo de infección y el agente etiológico no son especificados. Finalmente, la no detección de L. monocytogenes, Salmonella spp. y E. coli en las muestras de leche de vaca cruda no debe subestimarse dado que diversos autores han reportado la presencia de estas bacterias en leche cruda y derivados lácteos, incluyendo países como México (Soto-Beltrán et al., 2013; Castañeda-Ruelas et al., 2014; Ríos-Muñoz et al., 2019; Chávez-Martínez et al., 2019). La variación de la calidad microbiológica de la leche puede atribuirse a diversos factores como la temporada, el rebaño y las prácticas higiénicas (Lan et al., 2016).
Evaluación de prácticas domésticas
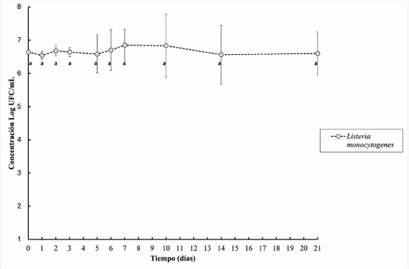
Los métodos físicos condicionan la sobrevivencia de L. monocytogenes en las muestras de leche de vaca (P < 0.05) (Tabla 1). Los tratamientos con microondas (45, 55 y 65 s) y ebullición no presentaron diferencia significativa en la eliminación total del patógeno inoculado en las muestras de leche, demostrándose su eficiencia como tratamientos físicos para el control y erradicación de L. monocytogenes. Mientras que, la refrigeración mostró control sobre el crecimiento de L. monocytogenes (P > 0.05). La Figura 2 muestra la sobrevivencia de L. monocytogenes en leche almacenada a 5 ± 1 C por 21 días.
Tabla 1 Efecto de reducción de L. monocytogenes en leche de vaca entera pasteurizada sometida a técnicas domésticas.
Table 1: Reduction of L. monocytogenes in pasteurized whole cow´s milk subjected to domestic techniques.
| Tratamiento | Condición | Temperatura | Log UFC/mL L. monocytogenes | Cultivo en caldo Fraser | |
| Inicial | Final | ||||
| Microondas | 950 W por 45 s | 86 | 6.57 ± 0.27a | 0.00b | Negativo |
| Microondas | 950 W por 55 s | 91 | 6.66 ± 0.08a | 0.00b | Negativo |
| Microondas | 950 W por 65 s | 96 | 6.72 ± 0.21a | 0.00b | Negativo |
| Ebullición | 60 s | > 100 | 6.65 ± 0.26a | 0.00b | Negativo |
| Refrigeración | 5 ºC por 24 h | 5 ± 1 | 6.64 ± 0.09a | 6.55 ± 0.11a | No realizado |
Las medias con literales diferentes indican diferencia significativa (P < 0.05). Para el tratamiento en frío se muestra solo el valor correspondiente al tiempo 24 h dado que no se observaron diferencia estadística significativa (P > 0.05) durante el tiempo de evaluación (Figura 2). Means with different literals indicate a significant difference (P < 0.05). For cold treatment, only the value corresponding to the 24-h is shown, since no statistically significant difference (P > 0.05) was observed during the evaluation time (Figure 2).
La comercialización de leche no pasteurizada no está permitida en México (NOM-243-SSA1-2010). La normatividad nacional vigente dicta las buenas prácticas higiénicas para el manejo de la leche e indica la aplicación de tratamientos térmicos como medidas de control microbiológico, incluyendo la pasteurización (63 ºC por 30 min o 72 ºC por 15 s) o ultrapasteurización (135 a 149 ºC por 2 a 8 s) (NOM-243-SSA1-2010). Cabe señalar que el tratamiento térmico (pasteurización o ultrapasteurización) prolonga la vida de anaquel de la leche hasta por 10 semanas, con empaque sellado y a una refrigeración de 4 °C (Karlsson et al., 2019). No obstante, cierto segmento de consumidores opta por productos artesanales o carentes de pasteurización (Chávez-Martínez et al., 2019). Adicionalmente, las especificaciones sanitarias indican la posibilidad de someter a la leche a un tratamiento térmico con un tiempo y temperatura determinados que garantice su inocuidad (NOM-243-SSA1-2010). Con base a ello, las alternativas domésticas evaluadas ofrecen una propuesta pertinente para mantener la calidad microbiológica y proteica cuando no se tiene acceso a productos pasteurizados.
En nuestro estudio los métodos de microondas y ebullición propuestos resultaron alternativas fáciles y eficientes para la eliminación del patógeno (Tabla 1). Respecto al efecto del tratamiento térmico sobre la leche inoculada con el patógeno, se debe considerar que el punto de ebullición de la leche se produce entre 100.17 a 101.00 C. Mientras que, la temperatura de inactivación de L. monocytogenes en alimentos en estado líquido, es de 75 a 76 ºC por 15 - 20 s (Ceylan et al., 2017). Por lo tanto, el calentamiento seguido de ebullición por 1 min resulta idóneo para el control microbiológico. En la literatura se ha descrito que, L. monocytogenes es más resistente al calor que otros patógenos no formadores de espora (Doyle et al., 2001). Por lo tanto, la eliminación de la bacteria en las muestras de leche analizadas pudiera inferir con pertinencia la eliminación de otros patógenos. No obstante, es pertinente la evaluación posterior de otras bacterias gram positivas y gram negativas asociadas a la leche. Por otro lado, debe considerarse que la termorresistencia de L. monocytogenes en la leche puede favorecerse con el contenido graso del alimento (Doyle et al., 2001), lo que hace relevante el control de los tratamientos térmicos.
La tecnología de microondas está basada en radiaciones electromagnéticas no ionizantes (300 - 300,000 MHz) que inducen fricción entre las moléculas polares de los alimentos, y en consecuencia produce calor desde el interior hacia el exterior del producto en tiempos de exposición cortos favoreciendo un calentamiento uniforme principalmente en líquidos en comparación con los métodos convencionales (Martins et al., 2019, Torrenegra et al., 2021). El uso del microondas como método de control microbiológico ofrece ventajas como tratamientos de tiempo corto, calentamiento selectivo y rápido, y mayor conservación de los atributos sensoriales y nutricionales de los alimentos (Contreras et al., 2017). Adicionalmente, la aplicación de microondas para el control microbiológico de productos envasados en diferentes materiales (plástico, papel y vidrio) ha sido sugerido (Salazar-González et al., 2012). El mecanismo de acción antimicrobiano de las microondas se atribuye al impacto del calentamiento y la radiación generando daño sobre la membrana celular, el ADN y funciones metabólicas del microbio (Zhanh et al., 2022).
Por lo tanto, al someter las muestras de leche a una frecuencia de 2450 MHz, a cualquiera de las condiciones de tiempo utilizadas (45-65 s) favoreció la erradicación total del microorganismo inoculado mediante un calentamiento sutil. Así, con los tiempos de exposición evaluados se alcanzaron temperaturas (86 - 96 ºC) consideradas para limitar el crecimiento de L. monocytogenes (Ceylan et al., 2017). En la literatura se ha justificado la aplicación de microondas para la inhibición de diversos microbios en diferentes materiales (Zhanh et al., 2022). Así mismo, el calentamiento por microondas ha demostrado su utilidad para para la destrucción de patógenos, prolongación de la vida útil y preservación de las características frescas del producto lácteo (Martin et al., 2019). Tremonte et al. (2014) ha propuesto el uso del microondas a condiciones de 900 W por 75 s para preservar la seguridad de la leche cruda expendida en máquinas, valores similares a los observados en este estudio (Tabla 1). Cabe mencionar, que algunos retos del uso de microondas se han descrito, incluyendo la falta de uniformidad de calentamiento en productos sólidos y semi-sólidos y dispositivos de control de calentamiento (Contreras et al., 2017; Martins et al., 2019), requiriendo la estandarización y validación como método de control en la industria alimentaria.
El efecto de la refrigeración (5 ± 1 ºC) como método de control microbiológico de la leche durante 21 días (504 h), permitió observar la permanencia del patógeno sin reducción significativa de la concentración (P > 0.05). No obstante, se puede observar una ligera variabilidad de la concentración de L. monocytogenes (0.7 a 0.9 Log) durante el almacenamiento prolongado de la leche (días 10 al 21) atribuido a su etapa de adaptabilidad. Al respecto se ha establecido que L. monocytogenes presenta un crecimiento lento a bajas temperaturas, alrededor de 4 a 15 °C; condiciуn que, generalmente, inhibe el crecimiento de otros microorganismos patуgenos (Szczawiсski et al., 2016). Si bien, la refrigeración de la leche es un método de control microbiológico (Tremonte et al., 2014), la contaminación primaria del alimento y su almacenamiento posterior advierte el riesgo de la permanencia del microorganismo (Figura 2). En este sentido, los productos como la leche y sus derivados que han estado en refrigeración prolongada se han vinculado con algunos brotes de transmisión alimentaria (Grace et al., 2020). Por lo tanto, las buenas prácticas higiénicas durante la ordeña, preparación, almacenamiento y cumplimiento de la vida de anaquel son medidas imperantes para minimizar el riesgo de enfermedades infecciosas por consumo de lácteos (Pal et al., 2018).
Contenido proteico de la leche cruda de vaca
En la Tabla 3 se muestra el contenido proteico de la leche sometida a los diferentes tratamientos domésticos. La determinación del contenido y desnaturalización de proteína en la leche cruda y tratada mostró diferencias significativas (P < 0.05). El tratamiento de calentamiento comprometió el contenido proteico de la leche cruda (2.47 ± 0.02 %), según los valores del contenido (2.01 ± 0.08 %) y grado de desnaturalización (0.19 ± 0.08 %) observados. Mientras que, las diferentes condiciones de microondas resultan alternativas para la preservación del contenido proteico.
El contenido de proteína en la leche cruda de vaca oscila entre 2.5 a 3.00 % (Zebib et al., 2023). La muestra de leche utilizada (tratamiento de refrigeración) para el estudio coincide con estos valores (2.47 ± 0.02 %), y las condiciones de microondas propuestas preservan la composición (Tabla 2). Los tratamientos térmicos producen alteraciones en la composición proteica y perjudica las características nutricionales de la leche (Tremonte et al., 2014). Así mismo, Mejía et al. (2017) determinaron que el incremento de la temperatura en el tratamiento térmico repercute en la concentración, solubilidad y coagulación de las proteínas. La desnaturalización de proteínas está acompañada por la liberación de compuestos volátiles (cetonas) que originan sabor a “cocido” característico de la leche tratada (Amador-Espejo et al., 2017). Los compuestos orgánicos (ésteres, alcoholes, ácidos grasos, carbonilos), azufrados y nitrogenados de la leche cruda son algunos de los factores más importantes que definen el sabor y aroma de la leche, y estos pueden verse comprometidos por la exposición a tratamientos térmicos intensos (Yuan et al., 2023). Los tratamientos alternativos al método de calor son requeridos para evitar estos efectos garantizando la inocuidad del alimento (Torrenegra et al., 2021).
Table 2: Protein quality of raw milk subjected to different domestic techniques.
| Tratamiento | Condición | Contenido de proteína (%) | Desnaturalización proteica (%) |
| Refrigeración (Control) | 5 ± 1 ºC | 2.47 ± 0.02a | 0.00b |
| Microondas | 950 W por 45 s | 2.43 ± 0.05a | 0.02 ± 0.02b |
| Microondas | 950 W por 55 s | 2.43 ± 0.08a | 0.01 ± 0.03b |
| Microondas | 950 W por 65 s | 2.41 ± 0.11a | 0.03 ± 0.04b |
| Ebullición | 60 s | 2.01 ± 0.08b | 0.19 ± 0.03a |
El leve calentamiento de la leche cruda a potencia máxima (950 W) de microondas favoreció la eliminación de L. monocytogenes (Tabla 1) sin comprometer el contenido proteico (Tabla 2) de la leche. Esto puede ser atribuido a que el microondas ejerce un efecto sutil sobre las proteínas protegiendo el contenido y la naturaleza de estas. En este sentido, la alternativa del uso de microondas sobre leche cruda resulta promisorio para garantizar la calidad proteica e inocuidad.
Conclusiones
La presencia y concentración de S. aureus determinadas en las muestras de leche de vaca cruda advierte el estado insalubre del alimento de acuerdo con las especificaciones sanitarias nacionales. Si bien, nuestro estudio propone al tratamiento térmico como un método idóneo para la seguridad de la leche y sus derivados, el efecto sobre la composición proteica es cuestionable dado su alteración. El uso de microondas (950 W a >45 s) resulta una propuesta de práctica doméstica eficiente para la eliminación de patógenos en la leche que los consumidores pueden adoptar en sus hogares cuando no se tienen acceso a leche pasteurizada. Complementariamente, la refrigeración es un método óptimo para la conservación del alimento dado que limita o disminuye el crecimiento microbiano principalmente durante su vida útil. El empleo de estas prácticas domésticas para el manejo de la leche puede minimizar el riesgo de enfermedades infecciosas.










nueva página del texto (beta)




