Introduction
Filamentous fungi are widely studied due to their role in the production of secondary metabolites and enzymes of industrial importance, as well as for their capacity to remove a great diversity of xenobiotic compounds from the environment. Filamentous fungi have an important role as natural carbon compounds degraders (Tomasini and León-Satiesteban, 2019).
Fungi growth on agar plates simulates the natural growth of fungi more than in the soil. This type of cultures is mainly carried out to isolate fungi and to determine their degree of tolerance to toxic compounds by means of radial growth (Gabiatti et al., 2006; Crane et al., 2010; de Lima Souza et al., 2017).
In bioremediation studies, the isolation of fungi from contaminated sites and the determination of their tolerance, is a strategy that leads to obtain fungal strains with the ability to remove heavy metals and toxic compounds. For example, the effect of heavy metals, like copper, cadmium, lead, arsenic, iron, and mercury, on filamentous fungi was studied using radial growth as a parameter indicating their tolerance to the studied metals (Crane et al., 2010; Baldrian, 2003). With respect to toxic compounds, the tolerance to hydrocarbons of selected filamentous fungi was studied through radial growth, finding that Aspergillus fumigatus had the highest tolerance to the assayed hydrocarbons (Gabiatti Jr et al., 2006). On the other hand, Rhizopus nigricans and Rhizopus oryzae, isolated from pentachlorophenol (PCP)-contaminated sites, were cultured in solid medium with agar and PCP to determine their tolerance to the compounds. R. nigricans presented radial growth inhibition at 500 mg PCP L-1 (Tomasini et al., 2001), while R. oryzae grew at a concentration of 100 mg PCP L-1, but radial growth was slower and 2.6-times less that the growth in cultures without PCP (León-Santiesteban et al., 2008).
The microcontaminants or emergent pollutants are compounds found recently in the environment at concentrations ranging from nanograms to micrograms per liter. This group of pollutants include the pharmaceutical active compounds (PhACs) and personal care products. These compounds are not toxic per se, since they are used by humans or animals for a beneficial purpose on health, they discharged into wastewaters through urine and feces. Finally, the PhACs reach natural water sources or the soil. Recent studies have shown that despite their low concentration in the environment, PhACs present toxic effects on some aquatic organisms such as bacteria, algae, invertebrates, and fishes; besides, the group of antibiotics can lead pathogen and non pathogen bacteria to develop resistance (Burkina et al., 2018; Kim et al., 2007; Mehinto et al., 2010; Santos et al., 2010). There are different studies on PhACs degradation by filamentous fungi such as basidiomycetes (Jelic et al., 2010, Cruz-Morató et al., 1013) and some ascomycetes (Wadhah et al., 2017; Olicón-Hernández et al., 2017). Some studies about the tolerance of filamentous fungi has been published, using mainly white-rote fungi or ascomycetes (Argumedo-Delira et al., 2012; Russo et al., 2019), but not zygomycetes.
For this reason, it is important to propose fungi that tolerate the presence of PhACs, to determine, in a future, the ability of these fungi for environmental PhACs removal. There are few publisher about PhACs toxicity to filamentous fingi.
The aim of this work was to evaluate the inhibition of radial growth of A. rouxii by 9 selected PhACs, paracetamol (PCT), ibuprofen (IBP), diclofenac (DCF), naproxen (NPX), sulfamethoxazole (SMX), trimethoprim (TMP), ciprofloxacin (CPX), ofloxacin (OFX), carbamazepine (CBZ), and 3 endocrine disrutors β-estradiol (βEDT), triclosan (TRC), and bisphenol A (BPA). Statistical analysis was made to show the effect of different concentrations of PhACs on radial growth and kinetic parameters of A. rouxii.
Material and methods
Strain
Amylomyces rouxii CDBB-H-1883, isolated from a PCP-contaminated effluent was used in this study (Montiel et al., 2004). A. rouxii spores were produced in 250 mL Erlenmeyer flasks with 25 mL of potato dextrose agar medium (PDA) during 4 to 5 d at 30°C. Later, spores were harvested using a 1 % Tween 80 solution in water by mechanical agitation. The spore’s suspension was then centrifuged at 12,000 g for 5 min, the supernatant formed was discarded and replaced by an equal volume of sterile distilled water, this was repeated at least three times.
Cleaned spores (0.5 mL) were utilized to inoculate PDA plates that were incubated at 30°C for 1 day. Once the incubation period had finished, 1-cm cylindrical agar plugs were removed from the center of the fungal colonies and used as inoculum for the PhACs tolerance experiments.
Target PhACs
All PhACs tested in this investigation were detected in urban and hospital wastewaters form Mexico City (Calderón et al., 2019). Four analgesic/anti-inflammatory compounds (PCT, IBP, DCF, and NPX), four antibiotics (TMP, SMX, OFX, and CPX), one antiepileptic (CBZ) and three endocrine disruptors (βEDT, BPA, and TRC) were assayed. PhACs with a high purity grade (> 98 %) were used, all of them purchased from Sigma-Aldrich, Mexico. A stock solution of 100 mg L-1 of each PhAC was prepared in a 50 % ethanol solution in water.
Culture Conditions
The radial growth of A. rouxii was assessed in 2X Lee agar plates. The 2X Lee agar medium contained per liter: 5 g glucose, 2.5 g (NH4)2SO4, 5 g KH2PO4, 4 g MgSO4, 10 g NaCl, 15 g agar, with a pH of 5.3. Before gelling, PhAC and ED were added to the culture media at different concentrations (100, 250, 1000, 1500, 2500, and 5000 µg L-1). Agar plates without PhACs and ED were considered as control cultures. All agar Petri dishes (90 x 15 mm) were inoculated with a 1-cm cylindrical plug containing mycelia and were incubated at 30 °C. The radial growth of A. rouxii was measured, in millimeters, at different time intervals until mycelia completely invaded the Petri dishes. All cultures were carried out quadruplicated.
Kinetic Growth Model
Unstructured models were used to describe the radial growth of A. rouxii in the presence and absence of PhACs. Lineal regression was only used to characterize the exponential growth phase (equation 1). In contrast, Logistic equation (equation 2) was applied to model both exponential and stationary phases.
Where, dR/dt is the radial growth rate (mm h-1), R is the radial growth (mm), V max is the maximum specific growth rate (mm h-1), µ max is the maximum specific growth rate (h-1), and R max is the maximum radial growth (mm). Parameters from lineal regression and logistic equations were estimated with the Levenberg-Marquardt method for non-linear regression with a confidence level of 95 % using the program OriginPro 2017.
Growth Inhibition
The inhibitory effect of PhACs on the radial growth of A. rouxii was calculated at 24 h, during the exponential growth phase. Equation 3, reported by Sagar and Singh (2011), was used to calculate the percent inhibition of A. rouxii radial growth.
Where CR c is the radial growth in control cultures at 24 h and CR f is the radial growth in cultures with PhACs and ED at 24 h.
Statistical Analysis
A completely randomized design (CRD) was applied to evaluate the effect of PhACs and ED concentrations on the inhibition of the radial growth of A. rouxii (α = 0.05). Each CRD had seven levels related to the PhAC concentrations (0, 100, 250, 1000, 1500, 2500, and 5000 µg L-1) and four replicates. The assumption of normal distribution of errors was checked by Kolomogórov-Smirnov and D’Agostino Kurtosis tests (p-value > 0.05), whereas homogeneity of variance was verified by the Levene’s test. The assumption of homogeneity of variance was proved in treatments with TRC, NPX, CPX, BPA, SMX, PCT, and TRP (p-value > 0.05), thus, the HDS Tukey post hoc test was used. On the other hand, treatments with DCF, IBP, βETD, CBZ, and OFX did not meet the assumption of homogeneity of variance (p-value < 0.05), thus, they were analyzed by the Games-Howell post hoc test. All statistical tests were carried out using the software IBM SPSS Statistics 19.0.
Results and discussion
Radial growth of A. rouxii in the presence of different PhACs and ED
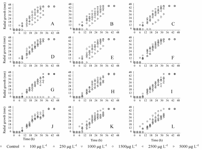
The kinetics of A. rouxii radial growth in the presence of different PhACs and ED is shown in Figure 1. Growth was measured until the mycelium invaded the Petri dish. In the control culture, the A. rouxii mycelium reached 45 mm between 29 to 30 h. In cultures with PhACs and ED, the time to reach 45 mm was between 32 and 40 h, depending on the compound and their concentration. Mycelia of A. rouxii cultured with 100 µg L-1 of TRC, CPX, OFX, or BPA, invaded the Petri dishes at 29 to 30 h as in the control culture. With the other concentrations of PhACs, fungal mycelium reached 45 mm at 32 h, except with 5 000 µg L-1, which was achieved until 38 h (Figure 1B, D, E, F ). In the presence of the other eight PhACs and ED (DCF, NPX, CBZ, SMX, PCT, TMP, IBF, βEDT), regardless of the concentration assayed, the A. rouxii mycelium covered the whole Petri dish at approximately 40 h (Figure 1A, C, G, H, I, J. K, L). Each point of Figure 1 is an average of 4 experimental points.
Modeling of kinetic radial growth
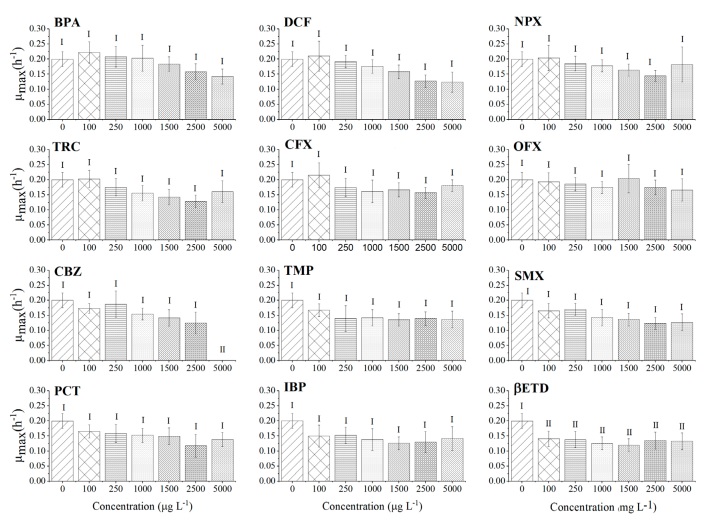
In this work, the Vmax (mm h-1) and µmax (h-1) of A. rouxii radial growth were calculated using lineal regression and the logistic equation, to determine if the presence of PhACs affects these kinetic parameters. Results showed that data fitted good with lineal regression as indicated by the R2 values (0.84 and 0.99). Statistical analysis (p-value > 0.05) showed that the Vmax value (1.56 mm h-1) of A. rouxii radial growth was not affected by the presence of PhACs and ED, no matter the concentration used in this study. The βETD was the only active compound that negatively affected the Vmax of A. rouxii radial growth, diminishing it 1.4-times.
Data of A. rouxii radial growth were also fitted with the logistic equation that allowed modeling the exponential and stationary phases, as well as obtaining the µmax value. Figure 2 shows the data of the control and the cultures with BPA fitted with the logistic equation.
Figure 2 Radial growth of A. rouxii in control culture and in cultures with different BPA concentrations in µg L-1 (A: 0, B:100, C: 250, D: 1000, E:1500, F: 2500, G: 5000). Symbols represent the experimental data (average from 6 experimental values) and the continuous line corresponds to the fit of the logistic equation.

Figura 2. Crecimiento radial de A. rouxii en cultivo control y con diferentes concentraciones de BPA en µg L-1 (A: 0, B:100, C: 250, D: 1000, E:1500, F: 2500, G: 5000).). Los símbolos representan los datos experimentales (son promedio de 6 valores) y las líneas continuas representan los datos ajustados con la ecuación logística.
The profile of A. rouxii radial growth in control cultures fitted good with the logistic model and showed a sigmoidal growth curve, R2 ≥ 0.975. In cultures with 100, 250, 1000, 1500, and 2500 µg L-1 of PhACs and ED, the growth profile was similar to the control culture and the logistic model fitted good (R2 ≥ 0.975). With the exception of cultures with 100 µg L-1 of IBP, R2 = 0.966, and with 2500 µg L-1 of PCT, R2 = 0.943, the values may be due to the experimental variation of the radial growth values.
Experimental data from cultures grown in the presence of 5000 µg L-1 of BPA, CPX, IBP, PCT, OFX, or TRC, fitted well using the logistic model (R2 ≥ 0.975). In contrast, the growth profiles of A. rouxii were modified when grown in the presence of 5000 µg L-1 of βETD, TMP, SMX, NPX, or DCF. The sigmoidal curve was not observed because most of the experimental data were mainly grouped in the lag or exponential phases and, less in the stationary phase where few experimental points were found (R2 ≤ 0.974), as shown in Figure 3 where it is observed the growth profile in presence of DCF. The modified growth profile of A. rouxii observed in the cultures with 5000 µg L-1, indicate the possibility that the primary metabolism of the fungus was affected by the PhACs. That is, probably some proteins of the energy metabolism change their expression due to the presence of these compounds. Recently, it was reported that in R. oryzae cultures the expression of some proteins like transaldolase, hydrogenase malate, and ATP synthase, related with energy metabolism, were overexpressed in the presence of PCP (Ruiz-Lara et al., 2020). A hypothesis to explain why A. rouxii modify their growth in presence of some PhACs and ED, is that the fungus must produce more proteins for energy metabolism to cope with the effect of these compounds. However, it is necessary to study the growth of A. rouxii with PhACs and ED in submerged cultures to provide more information on the effect of these compounds on the metabolism and growth of the fungus.
Figure 3. Radial growth of A. rouxii in control culture, and in cultures with different DCF concentrations in µg L-1 (A: 0, B:100, C: 250, D: 1000, E:1500, F: 2500, G: 5000). Symbols represent the experimental data (average from 6 experimental values) and the continuous line corresponds to the fit of the logistic equation.

Figura 3. Crecimiento radial de A. rouxii en cultivo control y con diferentes concentraciones de DCF en µg L-1 (A: 0, B:100, C: 250, D: 1000, E:1500, F: 2500, G: 5000). Los símbolos representan los datos experimentales (promedio de 6 valores) y las líneas contínuas representas los datos ajustados con la ecuación logística.
Experimental data of A. rouxii radial growth in the presence of CBZ at 2500 µg L-1 was not fitted, R2 = 0.949, indicating that at this concentration CBZ affects the growth of A. rouxii. At 5000 µg L-1 of CBZ, growth of A. rouxii was inhibited completely. There are some reports on CBZ toxic effects in some aquatic organisms like fish, algae and crustacean (Hai et al., 2018; Jos et al., 2003; Santos et al., 2010). The toxicity of CBZ at concentrations of 5 to 30 mg L-1 has been evaluated in the Juvenil rainbow trout, analyzing the antioxidant response in the presence of CBZ (Li et al., 2011). Growth of the algae Desmodesmus subspicatus was inhibited with 74 mg CBZ L-1. Zhang et al. (2012) reported the ecotoxic effect of the CBZ in the algae Scendesmus obliqus and Chlorella pyrenoidosa, and authors proposed that CBZ could inhibit the growth of these algae. It has been shown that chlorophyll synthesis is inhibited by CBZ. The alga Raphidocelis subcapitata was sensitive and its growth inhibited in the presence of 100 mg CBZ L-1. Growth inhibition of Chlorella vulgaris by CBZ has also been reported (Jos et al., 2003). In this work it was found that of the nine PhACs and three DE tested, CBZ was the most toxic to A. rouxii growth. There are some reports on CBZ degradation by basidiomycetes like Trametes versicolor, Pleurotus ostreatus and Phanerochaete chrysosporium, but the authors did not report growth inhibition caused by the compound. This is one of the first works that reported the toxic effect of CBZ for a zigomycete fungus.
The µmax values of A. rouxii radial growth with the logistic equation at different PhACs and ED concentrations, were calculated. Figure 4 shows the µmax values for the cultures with PhACs, ED and the control cultures, without statistical differences (p-value > 0.05), independently of the concentration of the compounds, with respect to the control cultures. Except the cultures with βETD, where µmax diminished 1.5-times with respect to the µmax of the control culture, the Vmax value calculated with lineal regression also showed a 1.4-fold decrease. Table 1 show the statistical analysis indicating that the confidence intervals do not touch each other. The effect of dichlorodiphenyltrichloroethane (DDT) on the µmax of the radial growth of Rhizopus arrhizus and Trichoderma hamatum, has been studied and authors found similar results. T. hamatum did not present differences in the growth µmax with DDT as compared to the control culture. However, the µmax for R. arrhizus diminished in the presence of DDT (Russo et al., 2019).
Table 1 Vmax (mm h-1) and µmax values (h-1), calculated by lineal regression and logistic equation respectively, of A. rouxii cultured at different concentrations of βETD, and the confidence intervals α = 0.05 according to ANOVA analysis.
Table 1. Valores de Vmax (mm h-1) y µmax (h-1), calculados mediante regresión lineal y ecuación logística, respectivamente, de A. rouxii cultivada a diferentes concentraciones de βETD, e intervalos de confidencia α = 0.05 de acuerdo a análisis ANOVA.
| βETD (µg L-1) | Vmax (mm h-1) | 95 % Confidence Interval | µmax (h-1) | 95 % Confidence Interval | ||
| lower | upper | lower | upper | |||
| 0 | 1.563 | 1.405 | 1.722 | 0.200 | 0.175 | 0.224 |
| 100 | 1.184 | 1.080 | 1.288 | 0.141 | 0.116 | 0.166 |
| 250 | 1.168 | 0.941 | 1.395 | 0.138 | 0.111 | 0.165 |
| 1000 | 1.063 | 0.967 | 1.159 | 0.125 | 0.104 | 0.147 |
| 1500 | 0.980 | 0.833 | 1.127 | 0.119 | 0.097 | 0.141 |
| 2500 | 1.070 | 0.909 | 1.232 | 0.135 | 0.107 | 0.163 |
| 5000 | 1.116 | 1.017 | 1.215 | 0.132 | 0.104 | 0.260 |
The lag phase during A. rouxii growth in the control cultures was of 3 h, and of 6 h in cultures with low PhACs concentrations (100 µg L-1). In cultures with 5000 µg L-1 of OFX, TRC, or NPX, the lag phase was between 14 h and 17 h.
Inhibition of A. rouxii growth by the PhACs and ED
As was mentioned, radial growth of A. rouxii reached 45 mm, at different times whithin a range from 29 to 40 h. For this reason, the value of radial growth at 24 h in the exponential phase was taken to determine the of radial growth inhibition caused by PhACs and ED. Growth inhibition was calculated using equation 3. The ANOVA results, with four values of radial growth for each concentration, showed that treatments were statistically different. The 95 % confidence interval for each concentration mean for the nine PhACs and the three ED assayed. The HSD Tukey and Games-Howell Post Hoc tests indicated the differences in radial growth among concentrations of each compound, with a significant mean difference (p-value < 0.05).
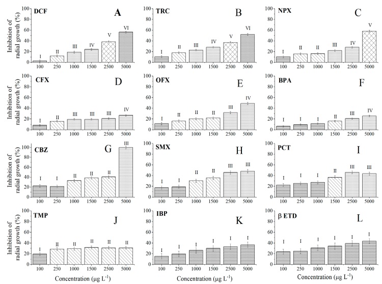
A. rouxii was more sensitive to TRC and DCF than to the other compound tested, since radial growth inhibition showed statistical differences among all concentration assayed; six subgroups were found, according to Post Hoc Tests (Figures 5A, B). At the lowest concentration (100 µg L-1), radial growth inhibition was 2.8 % and 10.8 % in cultures with DCF and TRC respectively. At 5000 µg L-1, inhibition of radial growth increased 56 % and 52 % with DFC and TRC respectively. This means that, in the presence of DCF, the inhibition rate was 19.6-times higher with respect to the lowest concentration and with TCS it was 5.6-times higher.
The effect of NPX concentration on radial growth showed five subgroups according to Post Hoc Tests (Figure 5C). The inhibition rate was 10.4 and 58.3 % for 100 and 5000 µg L-1, respectively, this means 5.6-times higher at 5000 µg L-1.
CPX, OFX, and BPA presented four subgroups with significant statistic difference. At 1000, 1500, and 2500 µg L-1 of CPX, A. rouxii presented the same inhibition rate (Figure 5D). OFX showed similar radial growth inhibition rates at 250, 1000, and 1500 µg L-1 (Figure 5E). Radial growth inhibition of A. rouxii was not different at 100, 250, and 1000 µg L-1 of BPA as shown in Figure 5F. A. rouxii was more resistant to CPX and BPA, maximal radial growth inhibition was 27 and 26 %, respectively, at 5000 µg L-1; approximately 3.5-times higher with respect to the minimal concentrations tested. In cultures with 5000 µg L-1 OFX, inhibition rate was 32 %. The HSD Tukey and Games-Howell Post Hoc tests showed that PCT, SMX, and CBZ presented three subgroups. A. rouxii was sensitive to CBZ, the inhibition rate was 23 % with the lowest concentrations, 100 and 250 µg L-1. In the cultures with 1000, 1500, and 2500 µg L-1 inhibition rates were between 33 and 42 %. A. rouxii did not grow in the presence of 5000 µg L-1 CBZ. CBZ was the only compound with an inhibition rate of 100 % (Figure 5G). Radial growth inhibition of A. rouxii in the presence of SMX was increased at higher concentrations; with 100 and 250 µg L-1, the inhibition rate was 18 %, and 33 % with 1000 and 1500 µg L-1. With the highest SMX concentrations (2500 and 5000 µg L-1), the inhibition rate was 47 % (Figure 5H). PCT presented a similar inhibition rate at concentrations of 100, 250, and 1000 µg L-1, around 23 %. With 1500 µg L-1, the inhibition rate was 37 %. A. rouxii presented high radial growth inhibition, approximately 45 % in the presence of 2500 and 5000 µg L-1 of PCT (Figure 5I).
The last subgroup, according to the Post Hoc HDS Tukey test, practically did not show a difference in the inhibition rate calculated at any tested concentration. The TMP, IBF, and βETD are in this subgroup. In the cultures with TMP and IBP, the inhibition rate of A. rouxii radial growth was between 15 and 36 % at 100 to 5000 µg L-1. With βETD, the inhibition rate at 100 µg L-1 was 24 % and 43 % with 5000 µg L-1 (Figure 5 J, 5K, 5L). Statistical analysis showed that there are no differences.
Results showed that radial growth inhibition of A. rouxii depends on the type of compound and its concentration. CBZ was the only compound that completely inhibited fungal growth at 5000 µg L-1. Radial growth inhibition of A. rouxii between 48 and 58 % was determined in the presence of 5000 µg L-1 of DCF, TRC, NPX, OFX, or SMX. In the presence of the other six compounds, at the highest concentration, the inhibition rate was between 25 and 43 %. Similar results have been published showing that radial growth inhibition of fungi depends on the type and concentration of toxic compound.
The radial growth inhibition of fungi by the presence of phenanthrene and pyrene has been reported. Results showed that in the presence of phenanthrene, growth inhibition was between 60 and 100 % for the concentration of 240 to 2040 µg L-1 for all strains except for Hypoxylon. Pyrene, at the same concentrations, showed almost no inhibitory effect on fungal growth, maximal radial growth inhibition was 15 to 20 % at 2040 µg L-1 (de Lima Souza et al., 2017). Authors reported that Trichoderma species were more resistant to phenanthrene, with radial growth inhibition of around 60 %, and only for one of the strains did the authors reported 100 % of inhibition at the highest concentration (3000 mg L-1). In the presence of naphthalene, 100 % of radial growth inhibition was found for concentrations from 250 to 300 mg L-1 (Argumedo-Delira et al., 2012). Hendricks et al. (2017) reported radial growth inhibition in Phyllosticta citricarpa by the presence of the fungicide, fenbuconazole.
Conclusions
The results of this study show that A. rouxii radial growth depends on the type and concentration of pharmaceutical compounds. The Vmax (except in cultures with βETD) and µmax values were not affected by the presence of PhACs, indicating that these kinetic parameters were not useful to predicting growth inhibition of A. rouxii. In cultures with DCF and TRC, a lineal relationship was found between concentration and percent of radial growth inhibition. The lowest inhibition of growth was observed in cultures with CPX and BPA, showing little toxicity against A. rouxii. The different concentrations of TRP, IBP, and βETD assayed in this work did not affect the fungus radial growth. The highest toxicity was caused by CBZ, A. rouxii did not tolerate concentration of 5000 µg L-1. This work is one of the first reports on fungal radial growth inhibition by the presence of PhACs. More studies, in submerged culture determining the consumpition of nutrients and the PhACs concentration during growth kinetic, must be made to understand the toxicity effect caused by the PhACs and the mechanisms of A. rouxii to deal with their toxic effect.










nueva página del texto (beta)






