Introducción
A nivel mundial el segundo cultivo de mayor importancia es el tomate (Solanum lycopersicum L.), siendo sus frutos una fuente de fitoquímicos como; carotenoides, vitaminas y fenoles que benefician la salud humana, aunado a que es considerado como un fruto objetivo para realizar investigaciones con el fin de optimizar sus propiedades alimenticias (FAO, 2013). Es bien sabido que el consumo en fresco y de productos derivados de esta hortaliza es seguro y destacan por tener un alto valor nutricional, sobresaliendo sus actividades antioxidantes, antiinflamatorias y anticancerígenas (Salehi et al., 2019). Desafortunadamente el estrés afecta el crecimiento, rendimiento y calidad del cultivo (Bai et al., 2018).
Se ha demostrado que la aplicación foliar suplementaria de microelementos es una alternativa prometedora, ya que incrementan el rendimiento de los cultivos, fungen como cofactores de enzimas y son imprescindibles en diferentes rutas metabólicas (Wenda-Piesik et al., 2017). Dentro de los microelementos estan el boro (B), manganeso (Mn) y molibdeno (Mo).
El B, participa en el metabolismo de los glúcidos y en procesos encargados de la división celular (Gupta y Solanki, 2013), aunado a que mejora el cuajado de frutos (Gutiérrez-Gamboa et al., 2018). Islam et al. (2018) mencionan que con la aplicación foliar de H3BO3 al 4.85 mM se incrementó la firmeza y la concentración de ácido cítrico y ácido ascórbico en frutos de tomate cherry. El Mn, se desempeña como como activador y cofactor de enzimas, además ejerce un papel importante en la fotosíntesis (Schmidt y Husted, 2019). Hamouda et al. (2016) indican que con la aplicación foliar de MnSO4 (1600 mg L-1) en granado se incrementó el rendimiento, azucares, antocianinas y ácido ascórbico de la fruta. El Mo es cofactor de la enzima nitrato reductasa, la cual está involucrada en la asimilación del nitrógeno (N) (Rana et al., 2020), además, forma parte de la nitrogensa más estudiada; la molibdeno-dependiente, la cuál lleva a cabo la fijación biológica del N (Westermann, 2005). Ghafarian et al. (2013) aplicaron Mo en trigo bajo estrés por sequía e, indican que la aplicación al 1 % de (NH4)6Mo7O24 aumento el peso del grano, la longitud del pedúnculo y el número de grano por espiga.
En este contexto, la fertilización foliar suplementaria es una técnica que se está utilizando para mejorar características agronómicas y de calidad de los cultivos, ya que se basa en hacer aplicaciones en sistemas donde no existen deficiencias nutrimentales, lo cual se cree que genera un ligero estrés en las plantas que promueve la síntesis de antioxidantes como medida de defensa (Rodrigues et al., 2021). Aunado a esto, dichos elementos (B, Mn y Mo) están involucrados en procesos para llevar a cabo la fotosíntesis, proceso mediante el cual, se sintetizan los carbohidratos y, estos a su vez, son precursores de fitoquímicos (ácido ascórbico, fenoles, flavonoides, etc.) (Kollist et al., 2019). Esto indica que dichos elementos están involucrados directa o indirectamente en la acumulación de fitoquímicos. De acuerdo con lo anterior, el objetivo del estudio fue evaluar la aplicación foliar suplementaria de productos comerciales de B, Mn y Mo como inductores de crecimiento, rendimiento y fitoquímicos en tomate
Materiales y métodos
Ubicación del área de trabajo
El experimento se llevó a cabo en un invernadero de mediana tecnología, ubicado en el Departamento de Horticultura de la Universidad Autónoma Agraria Antonio Narro en Saltillo, Coahuila, México.
Material vegetal
Se utilizaron semillas de tomate saladette de crecimiento indeterminado del hibrido el CID F1 de la casa comercial Harris Moran Seed Company, Modesto, CA, USA. Se sembraron en charolas de poliestireno con una combinación de peat moss y perlita (70:30 v/v). Las plántulas se mantuvieron en charolas por 30 días, para después trasplantarlas en bolsasde poliestireno negro con capacidad de 10 L con la misma relación de sustrato utilizada para la germinación de las semillas. Para la nutrición del cultivo se utilizó la solución nutritiva Steiner (1961), la cual se aplicó en diferentes concentraciones para proporcionar los nutrientes necesarios al cultivo de acuerdo con su etapa fenológica. Se aplicó al 25 % al inicio del crecimiento vegetativo, al 50 % en el crecimiento vegetativo pleno, al 75 % en la floración y crecimiento de los frutos y al 100 % en el llenado de frutos y cosecha.
Tratamientos
En el experimento se evalúo el efecto de la aplicación foliar de B, Mn, Mo, sus interacciones y un control. Se utilizaron tres productos comerciales en forma líquida, donde el producto Basfoliar® contenía 13 % de B, el CRECITEC Mn® 5 % de Mn y el MOLIBION® 9.2 % de Mo. Los tratamientos se aplicaron en intervalos de 15 días después del trasplante, por medio de aplicación foliar a punto de goteo, con un aspersor manual, dando un total de seis aplicaciones, siendo la última a los 90 días después del trasplante (ddt) (Tabla 1).
Table 1 Applied treatments.
| Tratamiento | Descripción |
|---|---|
| TC | Agua destilada |
| T1 | B (1 mL L-1) |
| T2 | Mn (2 mL L-1) |
| T3 | Mo (1.5 mL L-1) |
| T4 | B+Mn |
| T5 | B+Mo |
| T6 | Mn+Mo |
| T7 | B+Mn+Mo |
Las dosis aplicadas fueron con base en las especificaciones de uso de los productos. TC: Tratamiento control.
The doses applied were based on the specifications for use of the products. TC: Control treatment.
Variables evaluadas
Se midió el rendimiento de frutos (de los 70 a los 120 ddt), para ello se cosecho hasta el quinto racimo, manejando cinco frutos por racimo. También se evaluó el diámetro polar y ecuatorial de los frutos (se evaluaron dos frutos por racimo de los 70 a los 120 ddt). La altura de planta, diámetro de tallo y número de hojas se evaluaron al final de la prueba que fue a los 120 ddt. Se midió la acumulación de biomasa seca del vástago y raíz al final de la prueba, para ello se cortaron las plantas desde la base del tallo para separar las partes a evaluar y posteriormente secar el material en un horno a 70 °C durante 72 h. Se cuantificaron proteínas y fitoquímicos del fruto. Para estos análisis, los frutos fueron congelados y liofilizados. Para las variables relacionadas con parámetros agronómicos y bioquímicos se utilizaron cinco y cuatro réplicas, respectivamente por tratamiento.
Proteínas y fitoquímicos del fruto
El muestreo de frutos para la cuantificación de fitoquímicos se tomó del segundo racimo (91 ddt). Los frutos se muestrearon cuando alcanzaron un color rojo intenso. Las proteínas se determinaron con la metodología descrita por Bradford (1976) utilizando el azul de Coomassie como agente de reacción. Los fenoles totales se determinaron de acuerdo con la metodología de Singleton et al. (1999) utilizando el reactivo Folin Ciocalteu al 100 %. Los flavonoides se cuantificaron siguiendo la metodología de Zhishen et al. (1999) mediante la técnica del cloruro de aluminio. El Glutatión se cuantificó siguiendo la metodología de Xue et al. (2001), mediante la reacción del ácido 5,5 ditio-bis-2 nitro benzoico. El licopeno y β-caroteno se determinaron de acuerdo con Nagata y Yamashita (1992). La capacidad antioxidante lipofílica DPPH se determinó de acuerdo con la metodología descrita por Brand-Williams et al. (1995). Para estos análisis se utilizó un espectrofotómetro Uv-Vis (Genesis 10s Uv-Vis, Thermo Scientific, Waltham, MA, USA).
Diseño experimental y análisis de datos
Se utilizo un diseño de bloques completos al azar, que contó con ocho tratamientos y 10 repeticiones, dando un total de 80 unidades experimentales. Se utilizó el paquete estadístico INFOSTAT 2020, donde se realizó un ANOVA y una comparación de medias con LSD FISHER p ≤ 0.10.
Resultados
Rendimiento y tamaño de frutos
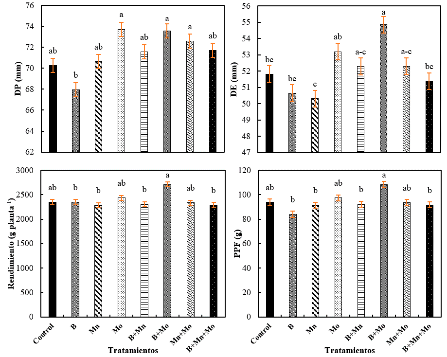
La aplicación de los tratamientos no mostró diferencias para rendimiento, diámetro polar y peso promedio de frutos, únicamente mostró resultados significativos para diámetro ecuatorial, siendo la interacción B+Mo la que superó en 5.8 % al control (Figura 1).
Variables de crecimiento
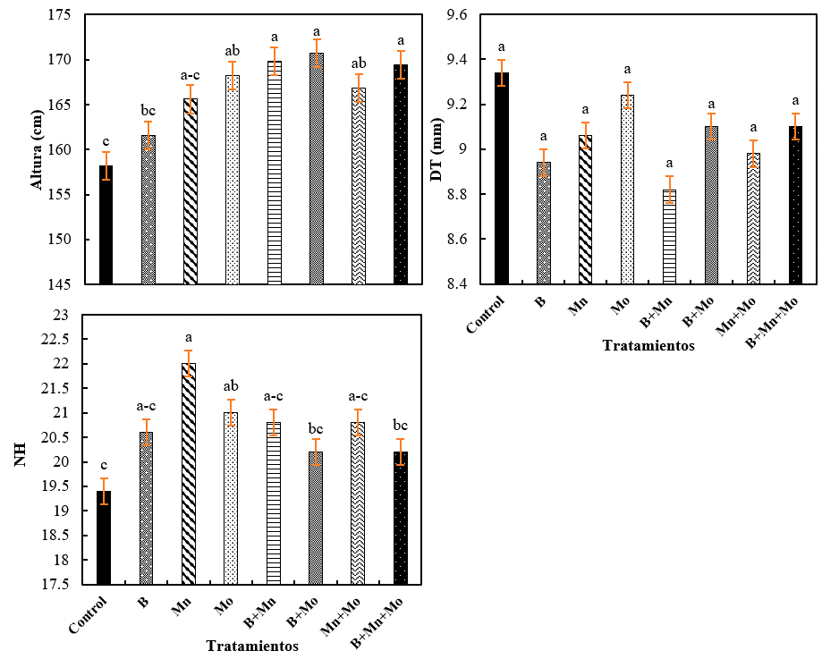
La aplicación de los tratamientos arrojó resultados significativos para las variables de: altura de planta y número de hojas (Figura 2). Respecto a la altura, los tratamientos Mo, B+Mn, B+Mo, Mn+Mo y B+Mn+Mo superaron al control en un 6.32, 7.33, 7.90, 5.43 y 7.07 %, respectivamente. Para número de hojas, se observa un incremento de 13.4 y 8.24 % con los tratamientos de Mn y Mo, respectivamente en comparación al control.
Producción de Biomasa seca
La aplicación de los tratamientos incrementó significativamente el peso seco de raíz y total (Figura 3). Para peso seco de la raíz los tratamientos Mo, B+Mn, B+Mo y Mn+Mo superaron al control en un 104.45, 47.86, 88.03 y 77.73 %, respectivamente. Para peso seco total el tratamiento de Mo superó al control en un 30.30 %.
Proteínas y fitoquímicos hidrofílicos
La aplicación de los tratamientos causó diferencias significativas sobre las proteínas, fenoles, flavonoides y GSH (Figura 4). De tal manera se aprecia, que el tratamiento de Mn superó al control con un 26.8 %, respecto a la acumulación de proteínas totales. Para fenoles, B+Mo y Mn+Mo disminuyeron su concentración en comparación con el control en un 77.01 y 161.46 %, respectivamente, el resto de los tratamientos son iguales al control. Para flavonoides, B, Mo y Mn+Mo superaron al control en un 30, 29 y 28 %, respectivamente. Respecto a GSH, B+Mn y Mn+Mo disminuyeron su concentración en comparación con el control en un 35.18 y 32.72 %, respectivamente, el resto de los tratamientos son iguales al control.
Fitoquímicos lipofílicos y capacidad antioxidante
La aplicación de los tratamientos mostró diferencias significativas en cuanto al contenido de licopeno, β-caroteno y capacidad antioxidante lipofílica (Tabla 2). Los tratamientos B, Mo y B+Mo incrementaron la concentración de licopeno en comparación al control en un 12.15, 19.92 y 23.89 %, respectivamente. Respecto a la acumulación de β-caroteno, existió una disminución en su concentración con Mo y B+Mo de un 32.24 y 56.25 %, respectivamente en comparación con el control. Para capacidad antioxidante lipofílica, B+Mn la incrementó en un 122.49 %, en comparación con el control, sin embargo, B+Mo la disminuyó en un 144.81 %, en comparación con el control.
Table 2 Lipophilic antioxidants and antioxidant capacity.
| Tratamiento | Licopeno (mg 100 g-1 PS) | β-Caroteno (mg 100 g-1 PS) | CAL DPPH (mg EβC g-1 PS) |
|---|---|---|---|
| Control | 23.44 ± 1.9de | 13.00 ± 0.9ab | 23.38 ± 7.7bc |
| B | 26.29 ± 3.1bc | 10.99 ± 1.5bc | 26.56 ± 12.3b |
| Mn | 24.38 ± 0.4c-e | 14.39 ± 1.5a | 24.67 ± 17.4bc |
| Mo | 28.11 ± 1.4ab | 9.83 ± 1.2cd | 27.69 ± 9.5b |
| B+Mn | 25.63 ± 3.1cd | 13.32 ± 3.1ab | 52.02 ± 1.3a |
| B+Mo | 29.04 ± 2.9a | 8.32 ± 5.1d | 9.55 ± 0.7d |
| Mn+Mo | 22.43 ± 0.8e | 12.66 ± 2.2ab | 15.45 ± 4.5cd |
| B+Mn+Mo | 23.85 ± 1.2c-e | 14.19 ± 0.7a | 18.92 ± 4.0b-d |
Letras distintas dentro de cada columna representan diferencias significativas entre tratamientos (LSD, p ≤ 0.10). CAL: Capacidad antioxidante lipofílica; EβC: Equivalentes de β-caroteno; PS: Peso seco. n = 4 ± error estándar.
Different letters within each column indicate significant differences between treatments (LSD, p ≤ 0.10). CAL: Lipophilic antioxidant capacity; EβC.
Discusión
Rendimiento, crecimiento y biomasa seca del cultivo de tomate
Los resultados obtenidos en el presente estudio indican que el uso de los microelementos no causó efectos significativos para el rendimiento, diámetro polar de frutos, peso de frutos y diámetro de tallo, solo existieron diferencias para diámetro ecuatorial de frutos, altura de planta y número de hojas. Ali et al. (2015) en su estudio indican que la aplicación foliar de H3BO3 (25 mg L-1) no causó cambios en el rendimiento de tomate, sin embargo, en combinación con ZnSO4 lo aumentó (12.5 mg L-1), lo mismo sucedió para altura de planta y número de hojas. Karim et al. (2012) reportan resultados similares a los del presente estudio para rendimiento con aplicaciones foliares de Na2B4O7 (0.01 %), MnSO4 (0.1 %) y ZnSO4 (0.05 %) en el cultivo de trigo bajo condiciones óptimas de desarrollo, sin embargo, bajo estrés por sequía, la aplicación de los microelementos mejoró el rendimiento. Por otro lado, Steiner et al. (2018) indican que la aplicación foliar de (NH4)6Mo7O24 (55 a 62 g ha-1) mejoró en lechuga el rendimiento y sus componentes, gracias a la mejora en la asimilación del N.
Los resultados de la aplicación foliar de microelementos estarán en función de las condiciones nutrimentales en las que se desarrollen los cultivos, en primer lugar, si están bajo deficiencias nutrimentales la aplicación foliar puede resultar benéfica en la mejora de ciertas características agronómicas de los cultivos y si la aplicación foliar es suplementaria (sin limitación de nutrientes) los resultados pueden ser positivos, negativos, nulos o mixtos (Rodrigues et al., 2021). En este sentido la aplicación fue suplementaria, por lo cual se explica que no se haya afectado el rendimiento del cultivo de tomate y sus componentes.
De forma general el B es un elemento involucrado en la sintesis de glucidos y en el cuajado de frutos, el Mn es activador de enzimas y está involucrado en el proceso fotosintético, y el Mo es cofactor de la enzima nitrato reductasa (Gupta y Solanki, 2013; Schmidt y Husted, 2019; Rana et al., 2020). Estos elementos aplicados de forma suplementaria, como ya se mencionó, pueden tener diferentes efectos a los observados cuando se aplican de acuerdo con las necesidades nutrimentales de los cultivos (Rodrigues et al., 2021). En este sentido se aplicaron las dosis recomendadas de los productos, y por lo tanto es una explicacion de que no se haya modificado el rendimiento. También es posible que al incrementar las dosis (dosis no recomendadas en los productos aplicados) se puedan incrementar o disminuir los rendimentos, lo cual también estará influenciado por las condiciones en las que se desarrolle el cultivo.
Proteínas totales y fitoquímicos
Los frutos de tomate son fuente de antioxidantes (compuestos fenólicos, carotenoides, vitaminas y glicoalcaloides), los cuales tienen la capacidad de reducir moléculas oxidantes y que, a su vez, no solo son importantes para los procesos propios de las plantas, sino también, son importantes para la salud humana, gracias a que ayudan al combate y prevención de enfermedades crónicas degenerativas (Chaudhary et al., 2018). Para poder determinar el valor nutricional de los frutos de tomate, no solo se debe tomar en cuenta los metabolitos primarios (proteínas, lípidos y carbohidratos), sino también la acumulación de los metabolitos secundarios (compuestos fenólicos, GSH, licopeno, β-caroteno) (Çolak et al., 2020).
El tratamiento con Mn aumentó la concentración de proteínas. Esto puede deberse al hecho de que el Mn está involucrado en la asimilación de N, el cual es el elemento predominante en la estructura de las proteínas (Alejandro et al., 2020). Además, es esencial para proteínas catalíticas (metaloenzimas) y el complejo proteico del fotosistema II, como lo indican Alejandro et al. (2020).
Se observaron cambios favorables para flavonoides, licopeno y capacidad antioxidante lipofílica, lo que indica que la aplicación de microelementos activa el sistema antioxidante, ya que al realizar aplicaciones suplementarias se genera un ligero estrés que activa el sistema antioxidante, esto para detoxificar a las células de las especies reactivas de oxígeno (ERO) (Rodrigues et al., 2021). Resultados similares son reportados por Islam et al. (2018) quienes indican que la aplicación foliar de H3BO3 (4.85 mM) incrementó la concentración de ácido cítrico y ascórbico en frutos de tomate cherry. De la misma manera Hamouda et al. (2016) mencionan que la aplicación foliar de MnSO4 (1600 mg L-1) incrementó las antocianinas y ácido ascórbico en frutos de granado. Sutulienė et al. (2022) aplicaron B (12.5 mg L-1) y Mo (100 mg L-1) en guisante y, sus resultados muestran que el Mo aumentó los fenoles y capacidad antioxidante, mientras que B disminuyó dichas variables.
En el experimento se observó una disminución de fenoles por efecto de B+Mo y Mn+Mo, de GSH con B+Mn y Mn+Mo y de β-caroteno y capacidad antioxidante lipofílica con B+Mo. Esto nos indica que el uso combinado de estos micronutrientes causó un efecto antagónico, por lo cual no se recomienda su combinación en caso de querer mejorar dichas variables. Estos resultados son similares a los reportados por Sutulienė et al. (2022) descritos anteriormente.
Los tratamientos que mostraron incrementos de fitoquímicos se deben posiblemente a que los micronutrientes actuaron como inductores del sistema antioxidante, ya que, el aplicarlos de forma suplementaria, provocaron un estrés que se tradujo en el incremento de moléculas antioxidantes como medida de defensa (Kollist et al., 2019).
El B, Mn y Mo son elementos que tienen una relación en el proceso fotosintético (Priadkina, 2020). El B está involucrado en la síntesis de glúcidos, el Mn en la síntesis de clorofila y, el Mo es cofactor de la enzima nitrato reductasa, es imprescindible para la asimilación de N, el cual está involucrado en la capacidad fotosintética de las hojas, ya que las proteínas de los tilacoides y las presentes en el ciclo de Calvin constituyen la mayor parte del N foliar, lo cual nos indica que los tres están involucrados en la producción de fotoasimilados (Gupta y Solanki, 2013; Sánchez et al., 2018). Estos fotoasimilados como la glucosa son metabolitos primarios precursores de metabolitos secundarios con poder antioxidante (Sarmadi et al., 2018). La glucosa por reacciones enzimáticas puede convertirse en ácido ascórbico, aunado a esto, el fosfoenolpiruvato, un intermediario de la glucólisis es precursor de compuestos fenólicos (Lynch y Dudareva, 2020). Esto nos habla de que estos microelementos están involucrados directa e indirectamente en el sistema antioxidante de las plantas.
Conclusiones
En la investigación se reforzó la importancia de la aplicación foliar suplementaria con microelementos, comprobando que tanto en su forma individual, como en interacción con otros elementos mejoraron algunas variables agronómicas como diámetro ecuatorial de frutos con B+Mo, altura de planta con B+Mo, número de hojas con Mn y el peso seco total con Mo. En cuanto a las variables fitoquímicas, algunas se mejoraron (proteínas con Mn, flavonoides con B y licopeno con B+Mo) y otras disminuyeron (Fenoles con B+Mo y Mn+Mo, GSH con B+Mn y Mn+Mo y β-caroteno con Mo y B+Mo). Existen pocas investigaciones sobre la aplicación de elementos en condiciones sin limitación de nutrientes, por lo cual se requieren más estudios en diferentes cultivos y con diferentes formas de aplicación.
Cuando se tienen niveles optimos de nutrientes en la solución que se aplica, son los que el cutlivo demanda con base a metas de rendimiento, para nuestro caso, la aplicación suplementaria y vía foliar fue para identificar los cambios en el crecimiento, desarrollo y calidad nutracéutica del tomate, es decir fue un plus en la aplicación de estos microelementos vía riego.










nueva página del texto (beta)






