Introducción
En México, la insuficiencia alimentaria es el principal indicador en el atraso en desarrollo cognitivo, físico y social, influyendo directamente en la salud pública y bienestar socio-económico (FAO, 2017). Entre el 40-45 % de la población rural y urbana presentan un acceso insuficiente a alimentos con calidad nutricional (Gutiérrez et al., 2012), considerando al sure y seureste del país, como uno de los principales puntos deficientes en el consumo de alimentos ricos en zinc y hierro (Ramírez-Jaspeado et al., 2020). Incrementar los rendimientos de cultivos y el acceso de alimentos con altos aportes nutrimentales, ayuda a combatir la creciente demanda alimentaria y el acceso insuficiente de alimentos de calidad en zonas prioritarias (OMS, 2018).
La calabacita Cucurbita pepo es un importante recurso fitogenético de valor cultural (componente estructural de los sistemas de producción tradicional) y económico en México (Egularte et al., 2018). La calabacita var. “Grey Zucchini”, específicamente es la variedad económicamente más importante, por su alto interés agroalimentario, al ocupar la quinta posición en producción a nivel mundial con más de 700,000 ton por año (2.6 % de la producción mundial) (FAO, 2022). En México, se encuentra entre los ocho principales cultivos agrícolas en producción y consumo anual per cápita (1 kg/año) (SIAP, 2022). Por lo tanto, es importante proponer prácticas eficientes en el manejo de este cultivo para un mayor desarrollo vegetal que incrementen rasgos agronómicos, para el fortalecimiento de su sustentabilidad y combatir la insuficiencia alimentaria (Montenegro-Gómez et al., 2017).
La asociación de comunidades de microorganismos benéficos del suelo empleadas como técnicas agronómicas, es considerada una estrategia novedosa por su potencial uso, sostenibilidad y afinidad en casi todos los cultivos agrícolas (Upadhayay et al., 2022). La simbiosis de hongos formadores de micorrizas arbusculares con cultivos de interés agrícola, es una de las estrategias productivas que permite mejorar los atributos agronómicos de los cultivos, incrementando los rendimientos y la calidad del fruto (Lehmann, y Rillig, 2015). En los suelos tropicales los hongos micorricícos arbusculares (HMA) representan una fracción importante (Brundrett y Tedersoo, 2018). La aplicación de HMA en la agricultura se efectúa por medio de inoculación de cepas nativas y/o comerciales, propagadas mediante el método de cultivo trampa, considerando al cultivo en sustrato sólido, como la técnica con mayor propagación masiva de esporas (Berruti et al., 2016). No obstante, la principal problemática idntificada en la multiplicación de HMA en cultivos trampa, es la capacidad micotrófica del hospedero, método de inóculación y obtención de cepas inoculantes de HMA (Habte y Osorio, 2001). El uso de cepas inoculantes nativas de HMA, representa una mayor plasticidad bioogica y diversidad funcional de los HMA a las condiciones autóctonas del suelo. Reflejandose en una mayor sustentabilidad de los sistemas agrícolas (reducción de costos, producción vegetal, etc.) (Cruz et al., 2014; Aguilar-Ulloa et al., 2016). Para determinar la especie hospedera se han tomado en cuenta atributos clave para aumentar los procesos de multiplicación de HMA. Por ejemplo, se emplean especies con capacidad micotrófica (Yao et al., 2010), adaptadas a las condiciones edafoclimáticas, de manejo moderado (Cuenca et al., 2003) y de crecimiento rápido, ya que ciclos prolongados de un cultivo, limitan la prevalencia de esporas de HMA (Trejo-Aguilar et al., 2013). En estudios previos sobre C. pepo asociada con HMA, frecuentemente se utilizan inóculos comerciales, con el propósito de mejorar los rendimientos, producción y aspectos organolépticos del fruto (Díaz-Franco et al., 2016; Alvarado-Carrillo et al., 2018). La asociación con cepas nativas de HMA ha sido poco evaluada, especialmente como hospedero para la propagación de esporas de HMA (Esquivel-Quispe et al., 2021). Una de las ventajas de utilizar a un cultivo como hospedero para la propagación micorrízica previo a su establecimiento en campo es generar inóculos con mayor afinidad y probabilidad de establecimiento naturales, garantizando su interración y efectividad simbiótica. El objetivo del estudio fue evaluar la propagación de hongos micorrizogénos arbusculares provenientes de suelos con diferente manejo. inoculados en plantas de C. pepo var. “Grey Zucchini”.
Materiales y métodos
Obtención del inoculo micorrízico
Se seleccionaron tres sistemas definidos como un sistema de vegetación secundaria (VS), agrícola (SA), multipropósito (SMP), localizados en Conkal, Yucatán, México; donde los atributos de las zonas se determinaron de acuerdo con el tipo de manejo y vegetación (Durán-García et al., 2016) (Tabla 1). En cada una de ellos se muestrearon cinco sitios (Figura 1). La toma de muestras se realizó en temporada de sequía (marzo-abril de 2021), temporalidad con mayor incidencia de esporas, esporulación e interacción con la zona radicular (Barriga, et al., 2011). El tamaño de muestra consistió en nueve muestras de suelo, a una profundidad de 0-20 cm, empleando un muestreo aleatorio sistemático (Bautista et al., 2011). Posteriormente, las nueve muestras se homogenizaron en tres muestras compuestas por sitio de estudio. El suelo fue trasladado al Laboratorio de Suelo, Agua, Planta del TECNM, Campus Conkal, secado al aire libre hasta peso constante y tamizado a 2 mm para su posterior análisis. Las zonas de obtención del inóculo nativo se caracterizaron de acuerdo con sus parámetros fisicoquímicos del suelo. El contenido mineral se realizó por el método de fluorescencia de rayos X (µ-XRF).
Tabla 1 Comparativo de los atributos (manejo) y tipo de vegetación de los sistemas seleccionados para la obtención del inoculante micorricíco.
Table 1 Comparison of the attributes (management) and vegetation type of systems selected to obtain the mycorrhizal inoculant.
| Atributo | Sistema multipropósito | Sistema de producción agrícola | Vegetación secundaria |
|---|---|---|---|
| Vegetación | Vegetación subcaducifolia, perenne, costera, ornamental (epifitas, cactáceas, etc.). | Vegetación secundaria con diferente enfoque productivo hortícola, frutal, forrajero, de grano, etc.). | Selva baja caducifolia (SBC) |
| Manejo | Manejo que involucra quemas localizadas y manejo de arvenses, etc. | Historial de manejo que involucra quemas, labrado, aplicación de fertilizantes y control de arvenses. | Sitios de extracción selectiva (tala). Entre 10-15 años de barbecho |
Tratamientos
El material vegetal fueron semillas criollas de Cucurbita pepo var. “Grey Zucchini”, HYDRO ENVIROMENT®, sembradas en charolas con capacidad de 50 g por cavidad, empleando una mezcla de sustrato Peat Moss y suelo estéril (Luvisol, IUSS, 2015) en relación 50:50 (v/v). Se empleó oxidación por H2O2 al 2.24 % como método de esterilización (Cuervo-Usán et al., 2014).
Los tratamientos del estudio corresponden a consorcios nativos de HMA provenientes de una vegetación secundaria (T1), sistema multipropósito (T2) y sistema agrícola (T3). Para el estudio se emplearon dos grupos control, un control positivo (CP), empleando un producto comercial de consorcios micorrizícos (GLUMIX®, BIOKRONE) y un control negativo (CN), sin inoculación micorricíca. La inoculación de los tratamientos inició desde la etapa de semillero, empleando el método de inoculación por sustrato (Habte y Osorio, 2001). Aplicando 12.5 g de sustrato inoculante por cavidad (semillero). Previo a la aplicación del inóculo, se realizó un conteo de esporas por tratamiento. Por lo tanto, T1 = 46 esporas; T2 = 32 esporas y T3 = 22 esporas. En CP se empleó 5 g de producto 100 esporas. El producto comercial GLUMIX®, BIOKRONE, presenta una formulación compuesta solamente de esporas seleccionadas de HMA, de las especies Glomus geosporum, Glomus fasciculatum, Glomus constrictum, Glomus tortuosum, Glomus intraradices.
Establecimiento del cultivo trampa
Se estableció en invernadero el cultivo trampa en sustrato sólido (Sieverding, 1990), durante el ciclo febrero-mayo de 2022. El trasplante del semillero se realizó a los 17 días después de la siembra (DDS) en bolsas plásticas (20 x 20 cm), con 2.5 kg de sustrato por bolsa, distribuidas a distancia de 50 x 90 cm. Como sustrato sólido se empleó sustrato estéril (oxidación por H2O2 al 2.24 %). El sustrato presentó un pH neutro (6.9) y una textura media (Franco-Limoso) de acuerdo a la NOM- 021-RECNAT-2000. El cultivo trampa se estableció a los 66 DDS, realizando muestreos destructivos de raíz y suelo. El manejo agronómico consistió en un riego manual a razón de 400 ml por planta, manteniendo la humedad en capacidad de campo hasta el inicio de la floración (33 DDS), restringiendo los riegos para fomentar el estrés en la planta, incentivar la simbiosis y acelerar la esporulación micorrízica. No se realizó fertilización química y control fitosanitario para evitar cualquier efecto adverso al establecimiento de la simbiosis y su composición. La temperatura durante todo el estudio en condiciones controladas de irradiación osciló en promedio en 29.5°C, con máxima de 30.2 y mínima de 28.5°C. La humedad relativa fue de 50.66 % en promedio.
Evaluación del potencial micorrízico
Para evaluar la densidad de esporas por medio del protocolo de tamizado en húmedo y centrifugación en sacarosa al 60 % (Gerdemann y Nicolson, 1963). Por su parte, se empleó el método de Sieverding (1983) para el conteo manual de esporas. La identificación de esporas se realizó a nivel de familia, agrupándolas de acuedo a los parámetros morfológicos de su color, agrupaciones (aglomeradas o solitarias), estructura de las paredes e hifa de sostén. Asimismo, el morfotipo (M) se diferenció de acuerdo con la clasificación taxonómica Phylogeny and taxonomy of Glomeromycota.
Diseño experimental
El diseño del estudio consistió en un diseño en bloques, distribuidos en cinco tratamientos con 15 repeticiones cada uno. Los datos fueron analizados a través de una ANDEVA y se determinaron las diferencias estadísticas por el método de Tukey (p≤0.05), empleando el software InfoStat/L 2020, FCA-UNC, Argentina.
Resultados y discusión
Descripción de las zonas de estudio
Las zonas evaluadas como fuente para la obtención de inóculos nativos de HMA presentaron atributos heterogéneos entre sí (Tabla 1). Los suelos presentaron tonalidades pardo oscuro-rojizo, agrupándolos en Leptosol litico (IUSS, 2015) y Haylu´um, (nomenclatura maya) por su coloración, profundidad, pedregosidad y fisiografía (Bautista, 2021). La caracterización física no presentó variaciones estadísticas (Tabla 2). En contraste, los parámetros químicos presentaron diferencias significativas en materia orgánica (p≤0.0006), conductividad eléctrica (CE) (p≤0.0001) y en el contenido mineral, específicamente, en el Potasio (K) (p≤0.0190), Calcio (Ca) (p≤0.0010), Hierro (Fe) (p≤0.0003), Molibdeno (Mo) (p≤0.0005) y Cobre (Cu) (p≤0.004) (Tabla 2 y 3). De acuerdo con los parámetros del suelo, las zonas se identifican como suelos con porosidad alta (>60%), ricos en materia orgánica (>8%) y se agrupan como ligeros/bajo, al presentar una textura media, densidad aparente de entre 0.13 y 0.15 g/cm3, CE ligeramente salina, pH ligeramente alcalino y textura Franco Limoso (Arena 10%-limo 60 %-arcilla 30 %) (NOM-021-RECNAT-2000). Los resultados nos indican similitudes con lo reportado por Borges-Gomes et al. (2014), al determinar en la misma zona fisiográfica del estado de Yucatán, suelos de textura ligera (Franco limosos), valores similares de porosidad (63-65%), que involucran una densidad aparente baja. Características propias de suelos Leptosol nudilítico/líticos, de poca retención de agua y poca profundidad (Bautista, 2021). Lo que implica una heterogeneidad en propiedades químicas del suelo a pesar de corresponder a la misma zonificación de Yucatán, relacionados directamente con una mayor aireación y drenaje en el suelo, lo que implicaría mayores fluctuaciones en sus propiedades químicas y físicas (Borges-Gomes et al., 2014).
Tabla 2 Parámetros físicos y químicos de los suelos muestreados para la obtención del inóculo micorrizico arbuscular.
Table 2 Physical and chemical parameters of soils sampled to obtain the arbuscular mycorrhizal inoculum.
| Descripción física | Descripción química | |||||
|---|---|---|---|---|---|---|
| ID | Densidad aparente (g/cm3) | Porosidad (%) | Textura | Materia orgánica (%) | pH | CE (ds/m) |
| SPA | 0.13±0.06 a | 61.34±8.71 a | Franco limoso | 9.53±1.19 b | 7.24±0.22 b | 47.90±8.92 c |
| SMP | 0.12±0.03 a | 63.41±5.08 a | Franco limoso | 8.60±1.06 b | 7.27±0.06 ab | 64.13±7.70 b |
| VS | 0.15±0.02 a | 66.73±4.35 a | Franco limoso | 10.87±2-03 b | 7.39±0.13 a | 78.89±16.44 a |
Medias ± D.E.; Medias con una letra en común no son estadísticamente diferentes (p ≤ 0.05); SPA = Sistema de producción agrícola; SMP = Sistema multipropósito; VS = Vegetación secundaria.
Means ± SD; Means with a letter in common are not statistically different (p ≤ 0.05); SPA = Agricultural production system; SMP = Multipurpose System; VS = Secondary vegetation.
Tabla 3 Composición mineral de los suelos muestreados para la obtención del inóculo micorrizico arbuscular.
Table 3 Mineral composition of soils sampled to obtain the arbuscular mycorrhizal inoculum.
| ID | Minerales totales (ppm) | ||||||
|---|---|---|---|---|---|---|---|
| P | K | Ca | Fe | Mn | Zn | Cu | |
| SPA | 1212 a | 59281 b | 112176 c | 457785 a | 6438 a | 1537 a | 1872 a |
| SMP | 1327 a | 70509 a | 227925 b | 457785 a | 6438 a | 1361 a | 570 b |
| VS | 988 a | 61101 b | 310393 a | 384137 b | 4767 b | 1230 a | 587 b |
Medias ± D.E.; Medias con una letra en común no son estadísticamente diferentes (p ≤ 0.05); SPA = Sistema de producción agrícola; SMP = Sistema multipropósito; VS = Vegetación secundaria.
Means ± SD; Means with a letter in common are not statistically different (p ≤ 0.05); SPA = Agricultural production system; SMP = Multipurpose System; VS = Secondary vegetation.
Obtención del inóculo micorrízico nativo
En las tres zonas muestreadas para la obtención del inoculante nativo de HMA se registraron diferencias estadísticas en el número de esporas entre cada uno de los sitios de estudio (p≤0.0001), contabilizando un total de 1,206 esporas (26.8 ± 11 esporas) en las 135 muestras de suelo seco analizadas (10g de suelo por muestra). La vegetación secundaria aportó 554 (18.27 ± 6.55) esporas nativas de HMA, representando la zona de estudio con mayor número de esporas de HMA cuantificadas. Seguido del sistema multipropósito, con 378 (25.20 ± 6.45) esporas de HMA identificadas (Figura 2). Con relación a las zonas de muestreo, el 45.94 % del inóculo micorrízico nativo obtenido de las tres zonas de muestreo fue cuantificado en un ecosistema de vegetación secundaria. En este contexto, la vegetación secundaria representa un importante resorvorio de material biológico para ser empleado como inoculantes de HMA. Lo anterior concuerda con Ramos-Zapata et al. (2013) en un estudio en ecosistemas secundarios, al registrar una densidad de esporas similar con 565 esporas en suelo rizosférico de plantas estructurales de los ecosistemas en recuperación. Lo que implica que las comunidades de HMA y sus propágulos infectivos, estarían ligadas con la fenología de las plantas ruderales y pioneras en ecosistemas secundarios como huéspedes temporales hasta el establecimiento a largo plazo de especies leñosas y anuales (Guadarrama et al., 2007). Al contrario, la menor densidad de esporas en las zonas agrícolas y multipropósito, se relacionan directamente al manejo agrícola y los parámetros fisicoquímicos del suelo analizados previamente, señalan que valores altos de Fe, P y porcentajes elevados de materia orgánica, indican condiciones no óptimas para desarrollar los mecanismos de acción requeridos entre el hongo-planta, al no generar un estrés en la planta y servir como amortiguador de condiciones desfavorables de las plantas. Concordante con autores como Covacevich et al. (2012) y Thougnon-Islas et al. (2014), al indicar que la multiplicación de HMA se ve reducida en zonas agrícolas por la aplicación de fertilización química, influyendo en las concentraciones altas de P y Fe. Del mismo modo, concentraciones altas de Cu y Mn influyen en la el establecimiento de la simbiosis, según lo reportado por Sensoy et al. (2013).
Propagación micorrízica
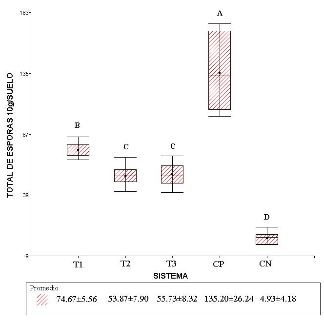
Al término del cultivo trampa se contabilizaron en las 75 muestras de suelo rizosférico (10g de suelo por muestra), un total de 4,886 esporas de HMA (Figura 3). Lo que indica un incremento de esporas proporcional al término de la multiplicación desde su inoculación inicial. El número de esporas de los consorcios de HMA nativos mostró diferencias signifitivamente estadísticas entre los tratamientos (p≤0.0001). Los tratamientos 1 (vegetación secundaria) y T3 (sistema agrícola), presentaron el mayor número de esporas nativas de HMA, al encontrarse 1,120 (74.67 ± 5.56) y 836 (55.73 ± 8.32) esporas en las 15 unidades experimentales. Con respecto al incremento de esporas nativas de HMA, en el tratamiento T1 se registró un incremento del 50.71 %. No obstante, en el tratamiento T2 (multipropósito) y T3 se presentaron los mayores incrementos con el 53.22 y 67.34 %, respectivamente. Por otra parte, el grupo control positivo, presentó el mayor número de esporas de HMA cuantificadas en el estudio 2,028 (135.20 ± 26.24) esporas de HMA. No obstante, solo presentó un incremento del 26.03 % (Figura 3). Lo que implica, que el inoculante conformado de consorcios HMA nativos presentó el mayor incremento (>50 %) en comparación a la formulación comercial. Por otro lado, el CN (Sin inoculación), presentó un número de 74 esporas de HMA. Lo que señala la presencia de contaminación durante la etapa de semillero o bajos resultados de desifección por parte del método de oxidación por H2O2 al 2.24 % (Cuervo-Usán et al., 2014), empleado para la esterilización del sustrato sólido del cultivo trampa.
Figura 3 Número de esporas de hongos micorrízícos arbusculares en 10 g de suelo propagadas por tratamiento en el estudio. T1 = Vegetación secundaria; T2 = Sistema multipropósito; T3 = Sistema agrícola; CP = Producto comercial inoculante de micorrizas arbusculares; CN = Sin inoculante micorrizico. Medias ± D.E.; Medias con una letra en común no son estadísticamente diferentes (p ≤ 0.05).

Figure 3 Number of spores of arbuscular mycorrhizal fungi in 10 g of soil propagated per treatment in the study. T1 = Secondary vegetation; T2 = Multipurpose system; T3 = Agricultural system; CP = Commercial inoculant product for arbuscular mycorrhizae; CN = Without mycorrhizal inoculant. Means ± SD; Means with a letter in common are not statistically different (p ≤ 0.05).
Referente a la propagación de HMA empleando a Cucurbita pepo L var. “Grey Zucchini” como modelo de multiplicación de esporas, los resultados que se presentan en este estudio son similares en cantidad de esporas reportadas en otros cultivos trampa empleando especies agrícolas alternativas (hortalizas, frutales y ornamentales) para el trampeo de HMA. Salas y Blanco (2000), registraron en hortalizas Capsicum annum, Cucumis sativus, Allium porrum, una densidad de esporas mayor a 1000 esporas en 100 g de suelo. Asimismo, en especies ornamentales como en Begonia sp., var. Rex, se reportó una producción de entre 20-50 esporas en 50 g de suelo (Morales-Alvero et al., 2011) y Tajetes erecta, 679 esporas en 100 g de suelo (Usanga-Osorio et al., 2008). Para Leguminosas, se reportó un total de 170.60 y 400 esporas de HMA multiplicadas en cultivos trampas de Phaseolus vulgaris (Aguilar-Ulloa et al., 2016) y Pisum sativum (Esquivel-Quispe, 2020). No obstante, la mayor productividad en la producción de esporas de HMA en sustrato se ha registrado en especies con alto potencial micotrófico, un ciclo de vida corto, manejo moderado y adaptabilidad a condiciones edafoclimáticas adversas, consideradas condiciones ideoneas para la producción de esporas de HMA (Cuenca et al. 2003; Yao et al., 2010; Trejo-Aguilar et al., 2013). En Trifolium repens, Zea mays y Sorghum bicolar se ha reportado 1,061, 3,936 y 2,323 esporas de HMA por kg de suelo (Yao et al., 2010). Ademas, Carrenho et al. (2002), registró 4,152 y 3,498 esporas de HMA por kg de suelo en cultivos trampa de Zea mays y Sorghum bicolar.
Composición de HMA por morfotipo
Durante la fase de multiplicación de HMA, la estructura del inóculo micorrizico nativo se agrupó en morfotipos con características similares a las familias Glomaceae y Gigasporaceae. El morfotipo Glomaceae (M1) representó el 94.97 % de la incidencia de HMA en el estudio, seguido de Gigasporaceae (M2) con el 5.03 %. Al contrario, el CP positivo (Glumix®), presentó el 100% de incidencia del morfotipo Glomaceae (M1) (Tabla 4), dado que, su formulación estuvo conformada de cepas de morfoespecies de interés comercial pertenecientes al género Glomus. En términos generales, por morfotipo, Glomaceae (M1) fue considerado el más representativo en el estudio. Autores como Esquivel-Quispe et al. (2021), menciona al morfotipo Glomaceae, como el principal agente biológico presente en formulaciones comerciales y nativas de HMA en los diferentes estudios recabados sobre infectividad y propagación de hongos micorricícos arbusculares. La mayor incidencia de HMA pertenecientes a la familia Glomaceae, se relaciona directamente a su mayor distribución en una gran diversidad de ecosistemas naturales. Incluido ecosistemas perturbados por diferentes actividades antropogénicas (Brundrett y Tedersoo, 2018). Relacionados a una tasa de esporulación mayor contraria a otras familias y la plásticidad biológica propia de sus propagúlos fúngicos que condiconan una mayor prevalencia en el suelo. En contraste, a una menor tasa de esporulación y prevalencia, influenciada principalmente por la estructura vegetal de un ecosistema, las esporas de la familia Gigaspoaraceae (M2), representa el morofotipo con menor incidencia en el estudio, dado que las esporas de Gigaspoaraceae, requieren de una estructura vegetal ya establecida, principalmente de especies leñosas para su prevalencia (Guadarama et al., 2007). Del mismo modo, la estructura micelial de cada morfotipo, puede determinar su prevalencia. Glomaceae presenta una capacidad mayor de extensión de su red micelial. Por lo que le brinda mayor probabilidad de establecimiento (Voets et al., 2006). Contrariamente, Gigasporaceae, está compuesta de hifas gruesas y cortas que limitan su extensión (de la Providencia et al., 2005).
Table 4 Arbuscular mycorrhizal fungi morphotype composition by study treatment.
| ID | Glomaceae | Gigasporaceae |
|---|---|---|
| T1 | 68.13±6.32 c | 6.53±2.97 a |
| T2 | 49.20±7.47 c | 4.67±3.31 a |
| T3 | 51.47±8.34 c | 4.07±2.96 a |
| CP | 137.00±26.17 a | 0.53±0.74 b |
| CN | 4.60±3.76 d | 0.33±0.62 b |
T1 = Vegetación secundaria; T2 = Sistema multipropósito; T3 = Sistema agrícola; CP = Producto comercial inoculante de micorrizas arbusculares; CN =Sin inoculante micorrizico. Medias ± D.E.; Medias con una letra en común no son estadísticamente diferentes (p ≤ 0.05).
T1 = Secondary vegetation; T2 = Multipurpose system; T3 = Agricultural system; CP = Commercial inoculant product for arbuscular mycorrhizae; CN = Without mycorrhizal inoculant. Means ± SD; Means with a letter in common are not statistically different (p ≤ 0.05).
Conclusiones
La calabacita, Cucurbita pepo L., var. “Grey Zucchini”, presenta una afinidad micotrófica con la interacción de hongos micorrizogénos arbusculares y puede ser tomada en cuenta como un modelo adecuado para implementar el trampeo y multiplicación de hongos micorrízicos arbusculares. Asimismo, los inóculos de HMA nativos presentan mayor afinidad e incremento en comparación a la formulación comercial empleada en el estudio. Lo que infiere que el usó de inóculos de HMA nativos permitirá obtener un recurso bioologico con mejor adaptación a las variaciones en composición de los sustratos y condiciones edafoclimáticas de la región.










nueva página del texto (beta)




