Introducción
El peat moss es el sustrato principal para la producción de plántulas en contenedor, y se produce en su mayor parte en los Países Bajos; sin embargo, por su explotación a escala desde 1950 sus reservas disminuyeron porque no es renovable; esto se relaciona con la destrucción de ecosistemas frágiles y el incremento de emisiones de carbono (Gerding et al., 2015), y por consecuencia su costo es alto y su uso se limita. Ante esto, se buscan sustratos renovables alternativos y de costo accesible para sustituir al peat moss (Luna-Fletes et al., 2021). Entre estos están los sustratos inorgánicos perlita y vermiculita (Haygert-Lencina et al., 2017) y los sustratos orgánicos como compostas y cascarilla de arroz (Castoldi et al., 2014; Guerrero-Guerrero, 2021). La cascarilla de arroz en el cultivo de plantas se ha estudiado carbonizada (aunque la carbonización genera contaminación por lo que existe controversia por su uso), expandida, y cruda entera o fragmentada (Quintero et al., 2013).
Existen algunos estudios de la cascarilla de arroz cruda fragmentada en mezcla con peat moss en la producción de plántula de algunas especies, más los resultados son controversiales. Zanin et al. (2011) refirieron que el incremento de la cascarilla de arroz cruda fragmentada hasta en 50 % en mezcla con peat moss disminuyó la altura, la biomasa fresca de la parte aérea y el número de hojas de plántulas de Solanum lycopersicum L. y Capsicum annum L., pero en Cichorium intybus ‘Leonardo’ estas variables permanecieron sin cambio cuando la cascarilla de arroz aumentó hasta 75 %, y en Cichorium intybus ‘N 01’ las mismas variables incrementaron de valor; los autores infirieron que las propiedades físicas de los sustratos pudieron ser en parte las responsables de la respuesta del crecimiento, pero estas no se evaluaron. Bassan et al. (2014) observaron que el crecimiento de plántulas de tomate disminuyó cuando la cascarilla de arroz cruda fragmentada incrementó en 33, 67 o 100 % en la mezcla con peat moss. Sobre el uso de la vermiculita en mezcla con cascarilla de arroz solo se tienen algunos antecedentes con cascarilla de arroz entera, pero no con cascarilla de arroz fragmentada. De acuerdo a lo antes expuesto es necesario ampliar la investigación sobre el uso de la cascarilla de arroz cruda fragmentada para alguna especie en particular, sin dejar de lado las propiedades físicas. Por otra parte, la temperatura del sustrato puede ser relevante en el crecimiento de las plantas, y aún más en las épocas del año con alta temperatura donde la cascarilla de arroz podría jugar un papel importante dada su baja conductividad térmica, propiedad que reportó Vargas et al. (2013).
La albahaca se produce en México para exportación, y Nayarit figura entre los estados productores (Moncayo et al., 2015). Para la producción en campo de esta se utiliza plántula proveniente de charolas, donde se utilizan sustratos comerciales a base de peat moss (Sunshine®). Existen reportes de sustratos orgánicos como vermicompost, compost, estiércol solarizado para la producción de albahaca, más en Nayarit se cuenta con cascarilla de arroz, la cual es una opción para la producción de plantas. La hipótesis fue que las variables del crecimiento de plántulas de albahaca incrementarán por el aumento de la cascarilla de arroz cruda fragmentada, hasta cierta proporción, en relación con el peat moss o a la vermiculita, y el crecimiento contrastará entre otoño y primavera. El objetivo fue evaluar la cascarilla de arroz cruda fragmentada, sola y en combinación con peat moss o vermiculita (25:75, 50:50, 75:25 v/v) sobre el crecimiento de plántulas de albahaca (Ocimum basilicum L.) en otoño y en primavera, y a partir de esto obtener los sustratos más adecuados para cada ciclo de producción.
Materiales y métodos
En un invernadero con cubierta de plástico y paredes de malla anti-áfidos, con 3 m de altura a la canaleta, y 5 m de altura a la línea cumbrera, se realizó el experimento, en dos ciclos: 1) otoño, del 1 al 30 de octubre de 2017, con intensidad de luz de 390 y 375 μmol fotón m-2 s-1, 34 y 16 ºC, y HR de 85 y 40 %, máxima y mínima, respectivamente; 2) primavera, del 1 al 30 de mayo de 2018, con intensidad de luz de 475 y 465 μmol fotón m-2 s-1, 38 y 19 ºC, y HR de 78 y 36 %, máxima y mínima respectivamente.
Los sustratos (tratamientos) fueron: peat moss (Premier®), vermiculita Alux® de 2 mm, cascarilla de arroz de la planta arrocera “La Villita” de 0.2 a 3 mm, y mezclas de estos sustratos en proporciones volumétricas diferentes. La cascarilla de arroz se desinfectó con agua de la llave a 80 °C, después se fragmentó en un molino Jersa TL3000 (México) con criba de 3 mm de diámetro. En todos los sustratos se determinaron las propiedades físicas de acuerdo con Pire y Pereira (2003) (Tabla 1).
Tabla 1 Propiedades físicas de la cascarilla de arroz cruda fragmentada, peat moss, vermiculita y sus mezclas.
Table 1: Physical properties of the fragmented raw rice Husk (FH), peat moss (PM), vermiculite (V), and their mixtures.
| Sustratos | Composición (%, v/v) | Clave | PM (%) | CA (%) | CaRA (%) | DA (g cm-3) |
| CF | 100 | CF | 75.13 | 26.43 | 48.70 | 0.28 |
| PM | 100 | P | 84.90 | 7.87 | 77.02 | 0.15 |
| V | 100 | V | 76.75 | 13.56 | 63.20 | 0.17 |
| CF+PM | 25:75 | CF+P-25:75 | 82.31 | 14.16 | 68.15 | 0.19 |
| CF+PM | 50:50 | CF+P-50:50 | 80.12 | 20.40 | 59.72 | 0.23 |
| CF+PM | 75:25 | CF+P-75:25 | 75.70 | 20.70 | 55.00 | 0.26 |
| CF+V | 25:75 | CF+V-25:75 | 81.03 | 21.87 | 59.17 | 0.20 |
| CF+V | 50:50 | CF+V-50:50 | 80.93 | 24.83 | 56.10 | 0.23 |
| CF+V | 75:25 | CF+V-75:25 | 78.50 | 28.00 | 50.51 | 0.25 |
| C.V. | - | - | 12.00 | 8.00 | 7.55 | 5.34 |
PT: porosidad total; CA: capacidad con aire; CaRA: capacidad de retención de agua; DA: densidad aparente; CF: cascarilla de arroz cruda fragmentada; PM: peat moss; V: vermiculita.
En la cascarilla de arroz cruda fragmentada, peat moss y vermiculita se obtuvo el extracto de saturación (2:1) y en este se determinó N, P, K, Ca y Mg conforme con APHA (2012) (Tabla 2). Cada sustrato se colocó en charolas germinadoras de unicel de 200 cavidades, después se sembró O. basilicum cultivar Thai, una semilla por cavidad. Cada tercer día, a las 12:00 h, se registró la temperatura de los sustratos con un termómetro de varilla Hanna HI 145 (Italia) a 3 cm de profundidad (Figura 1).
Los riegos se suministraron diario con solución nutritiva, un riego las primeras dos semanas y dos riegos las dos semanas siguientes; el gasto fue de 550 mL por riego. La solución nutritiva fue la de Steiner (1984) al 25 %, pH 5.5 y conductividad eléctrica de 0.56 dS m-1. En el cálculo del requerimiento de los macroelementos se consideró el análisis de agua, y éstos se suministraron con los fertilizantes Ca(NO3)2•4H2O Yara Liva®, MgSO4•7H2O Sulmag®, KNO3 Ultrasol®, K2SO4 Vitagrow®, KH2PO4 Peño les® y HNO3 J. T. Baker®.
Los microelementos se suministraron en el riego con el producto comercial Ultrasolmicro Rexene Mix®. El control preventivo de enfermedades se realizó con el fungicida Captan 500® (1 g L-1). El diseño experimental fue completamente al azar con arreglo factorial 9 x 2, con 20 repeticiones. La unidad experimental consistió de 10 plántulas.
Las variables evaluadas fueron: 1) altura de plántula, se midió de la base del tallo a la yema apical, con cinta métrica; 2) diámetro de tallo, se midió 1.5 cm arriba del nivel del sustrato, con vernier digital Trupper® mod.CALDI-6MP (México); 3) área foliar, las hojas se pasaron por un integrador de área foliar LI-3100C (Estados Unidos); 4) biomasa fresca y seca de la parte aérea, las plántulas se cortaron a nivel de sustrato y se pesaron en una balanza analítica A&D mod. GR200 (0.0001 g) (Japón), después se colocaron en bolsas de papel y se secaron a 60 °C en una estufa con circulación de aire Blue M® mod. SW-17TA (Estados Unidos) hasta peso constante que se midió con la balanza analítica; 5) biomasa fresca y seca de raíz, la raíz libre de partículas de sustrato se pesó y se secó como se describe en el inciso 4); 6) volumen de raíz, en una probeta graduada con agua la raíz se sumergió y se midió el volumen desplazado; 7) longitud de raíz, se midió con cinta métrica. Las variables se obtuvieron a los 30 días después de germinación. Con los datos se realizó un análisis de varianza y las medias de los tratamientos se compararon con la prueba de Tukey (p ≤ 0.05) en el paquete estadístico SAS versión 9.
Resultados y discusión
El análisis de varianza mostró que los factores principales tuvieron efecto sobre las variables diámetro de tallo (DT), biomasa fresca de raíz (BFR) y longitud de raíz (LR) (Cuadro 3); en tanto que la interacción sustrato por ciclo de producción mostró efecto sobre la altura de plántula (AP), el área foliar (AF), la biomasa fresca y seca de la parte aérea (BFA, BSA), la biomasa seca de la raíz (BSR) y el volumen de raíz (VR).
Cuadro 3 Análisis de varianza para las variables de crecimiento de la parte aérea y raíz de albahaca Thai, a los 30 días después de la germinación.
Table 3: Analysis of variance for growth variables of the Thai basil aerial part and root, at day 30 post-germination.
| Factor | AP | DT | AF | BFA | BSA | BFR | BSR | LR | VR |
| S | < 0.008 | < 0.001 | < 0.001 | < 0.001 | < 0.001 | < 0.001 | < 0.0001 | < 0.001 | < 0.001 |
| Ci | < 0.006 | < 0.001 | < 0.001 | < 0.001 | < 0.001 | < 0.001 | < 0.0001 | < 0.005 | < 0.001 |
| S X Ci | < 0.0001 | ns | < 0.0001 | < 0.0002 | < 0.0002 | ns | < 0.0001 | ns | < 0.001 |
ns: diferencias no significativas; AP: altura de planta; DT: diámetro de tallo; AF: área foliar; BFA: biomasa fresca de la parte aérea; BSA: biomasa seca de la parte aérea; BFR: biomasa fresca de raíz, BSR: biomasa seca de raíz, LR: longitud de raíz, VR: volumen de raíz; S: sustrato; Ci: ciclo de producción.
Efecto de los factores principales
La comparación de medias para el factor sustrato indicó que el mayor DT se presentó en CF y en CF+PM-25:75, en segundo término, quedaron CF+V-50:50 y CF+V-75:25 y después PM, CF+PM-50:50 y CF+PM-75:25, CF+V-52:75 y V; por el ciclo de producción, el DT fue mayor en otoño (Cuadro 4). La BFR con el valor más alto se obtuvo con CF+PM-50:50 y CF+PM-75:25, en segundo lugar, se ubicaron CF, PM, CF+PM-25:75, CF+V-50:50 y CF+V-75:25, por último, CF+V-25:75 y V; la BFR fue mayor en primavera. La LR obtuvo su valor más bajo solo en el sustrato V, los demás sustratos fueron iguales entre sí; también la LR fue mayor en el otoño en comparación con la primavera. Estos resultados no guardan similitud con otros estudios, Kratz et al. (2017) reportaron incremento lineal del diámetro de tallo, de la biomasa seca de la parte aérea y de la raíz, y de la altura de plántulas de Eucalyptus benthamii cuando el peat moss aumentó de 10 al 90 % en la mezcla con cascarilla de arroz entera carbonizada; Auler et al. (2015) evidenciaron que en plántulas de lechuga (Lactuca sativa L.) las variables de la parte aérea y de la raíz aumentaron con el incremento de vermiculita en 25 y 50 % en mezcla con peat moss, en comparación a solo peat moss.
Tabla 4 Comparación de medias de diámetro de tallo, biomasa fresca de raíz y longitud de raíz de albahaca Thai por efecto de los factores principales sustrato y el ciclo de producción, a los 30 d después de la germinación.
Table 4: Comparison of averages for stem diameter, fresh root biomass, and root length of length of Thai basil affected affected by the main substrate and production-cycle factors, at day 30 post-germination.
| Factor | DT (mm) | BFR (g) | LR (cm) | Factor | DT (mm) | BFR (g) | LR (cm) |
| Sustrato (S) | Ciclo prod (Ci) | ||||||
| CF | 3.01 a | 23.91 b | 7.23 a | Otoño | 3.06 a | 18.34 b | 7.39 a |
| PM | 2.73 c | 23.83 b | 7.25 a | Primavera | 2.38 b | 27.77 a | 6.66 b |
| V | 2.13 e | 12.08 d | 5.49 b | ||||
| CF+PM-25:75 | 2.91 ab | 23.12 bc | 7.38 a | ||||
| CF+PM-50:50 | 2.74 c | 29.49 a | 7.12 a | ||||
| CF+PM-75:25 | 2.72 c | 27.30 a | 7.28 a | ||||
| CF+V-25:75 | 2.52 d | 21.20 c | 7.03 a | ||||
| CF+V-50:50 | 2.81 bc | 23.10 bc | 7.28 a | ||||
| CF+V-75:25 | 2.81 bc | 23.44 bc | 7.23 a | ||||
| DSH | 0.1588 | 2.23 | 0.76 | DSH | 0.046 | 0.673 | 0.2208 |
| C.V. | 3.00 | 9.79 | 5.69 | ||||
Medias con letra diferente en cada columna indican diferencia estadística (Tukey; p ≤ 0.05); DSH: diferencia significativa honesta; DT: diámetro de tallo, BFR: biomasa fresca de raíz; LR: longitud de raíz; CF: cascarilla de arroz cruda fragmentada; V: vermiculita; PM: peat moss.
En esta investigación los valores de las variables no siguieron una tendencia de incremento de acuerdo con el aumento de la proporción de un sustrato de 0 a 100 %; en el caso del DT los valores fueron iguales en los sustratos CF y CF+PM-25:75, y la BFR fue igual entre CF+PM-50:50 y CF+PM-75:25.
Por otra parte, Garbanzo y Vargas (2014) indicaron que en peat moss la longitud de raíz de plántulas de tomate fue mayor en comparación con compost/bocashi/cascarilla de arroz entera, y en compost/bocashi/fibra de coco, argumentando que esto se debió a la densidad aparente más baja del peat moss. En la presente investigación en el sustrato V se obtuvo la menor LR, aunque la densidad aparente de este sustrato fue baja y de valor similar al PM (Tabla 1).
Efecto de la interacción sustrato por ciclo de producción
La interacción entre factores indicó que la AP fue de valor mayor en el otoño en todos los sustratos. En referencia con los sustratos CF+V, en otoño CF+V-50:50 obtuvo el valor más alto en la AP en comparación con CF+V-25:75 y CF+V-75:25, pero en primavera CF+V-75:25 obtuvo la AP mayor en relación con CF+V-25:75. En los sustratos CF+PM, en primavera la AP fue igual en las tres proporciones, pero en otoño CF+PM-25:75 obtuvo la AP mayor en relación con CF+PM-50:50 y CF+PM-75:25 (Figura 2A).
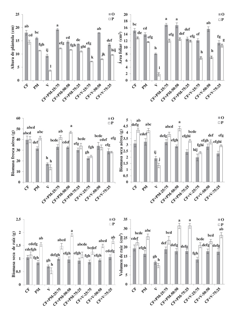
Figura 2 Interacción sustrato x ciclo de producción para altura de plántula. (A), área foliar (B), biomasa fresca aérea (C), biomasa seca aérea (D), biomasa seca de raíz (E) y volumen de raíz (F) de albahaca Thai, a los 30 d después de la germinación. CF: cascarilla de arroz cruda fragmentada; PM: peat moss; V: vermiculita; O: otoño, P: primavera.

Figure 2: Substrate production-cycle interaction in terms of seedling height. (A), leafy area (B), fresh aerial biomass (C), dry aerial biomass (D), dry root biomass (E), and volume (F) of the Thai basil, at 30 days post-germination. FH: fragmented raw rice Husk; PM: peat moss; V: vermiculite; O: autumn; P: spring.
El AF fue mayor en otoño en todos los sustratos, a excepción de CF+PM-75:25 y CF+V-75:25 en los cuales el AF fue igual en ambos ciclos de producción (Figura 2B). En los sustratos CF+V, en otoño el AF fue mayor en CF+V-50:50 en comparación con las proporciones 25:75 y 75:25; en primavera el AF fue mayor en CF+V-75:25 comparado con las otras dos proporciones.
En los sustratos CF+PM, en otoño CF+PM-25:75 y CF+PM-50:50 obtuvieron la AP mayor en comparación con CF+P-75:25; en primavera el AF se mantuvo sin diferencia entre las tres proporciones (Figura 2 B).
La BFA de las plántulas fue igual en los dos ciclos de producción en todos los sustratos, a excepción de CF+PM-50:50 y PM, en los cuales la BFA fue mayor en la primavera (Figura 2 C). En los sustratos CF+PM, en primavera la BFA fue menor en CF+PM:75:25, en el otoño no se observó diferencia entre las tres proporciones. En los sustratos CF+V, en primavera la BFA fue igual entre las tres proporciones, pero en otoño CF+V-50:50 obtuvo el valor mayor (Figura 2 C).
La BSA de las plántulas en todos los sustratos fue igual en otoño y en primavera, a excepción de CF y CF+PM:50:50 en donde la BSA fue mayor en primavera (Figura 2 D). En los sustratos CF+V, la BSA fue igual entre las tres proporciones en primavera y en otoño; en los sustratos CF+PM, en otoño la BSA fue igual en las tres proporciones, en primavera en el sustrato CF+PM-75:25 la BSA fue menor en referencia con CF+PM-50:50 (Figura 2 D).
La BSR en los sustratos CF, CF+PM-25:75, CF+PM-75:25, CF+V-25:75 y V fue igual en los dos ciclos de producción, en cambio en los sustratos PM, CF+PM-50:50, CF+V-50:50 y CF+V-75:25 se obtuvieron valores más altos en la primavera (Figura 2 E). En los sustratos CF+PM la BSR no fue diferente entre las tres proporciones, en primavera ni en otoño; en los sustratos CF+V, en otoño la BSR fue igual en las tres proporciones, en cambio en primavera la BSR fue más baja en CF+V-25:75 en relación con las proporciones 50:50 y 75:25 (Figura 2 E).
En el VR los sustratos CF, CF+PM-25:75, CF+V-50:50 y V mantuvieron valor similar en los dos ciclos de producción, en cambio en primavera el sustrato PM, CF+PM-50:50, CF+PM-75:25, CF+V-75:25 y CF+V-25:75 el VR fue mayor (Figura 2 F). En los sustratos CF+PM, en primavera el VR fue menor en el sustrato CF+PM-25:75 en comparación con las proporciones 50:50 y 75:25; en otoño el VR fue igual en las tres proporciones. En los sustratos CF+V, el VR fue igual entre las tres proporciones en ambos ciclos de producción (Figura 2 F).
En los resultados se esperaba que los sustratos CF+PM:25:75, CF+PM-50:50, CF+V-25-75 y CF+V-50:50 se presentaran los valores más altos de las variables de crecimiento, tanto en otoño como en primavera, esto por ser los sustratos con las propiedades físicas que más se aproximaron a los valores óptimos (Cuadro 1) según Ansorena (1994) (CA 10-30 % y CaRA 55-70 %). Sin embargo, los resultados por el efecto de los factores principales y de la interacción de estos, mostraron que en otoño los sustratos que se ubicaron en los primeros tres lugares por el valor más alto para cada una de las variables fueron CF+PM-25:75 (AP, DT, AF, BFA, BSA, BFR, VR), CF (AP, DT, BFA, BSA, BFR, BSR, VR), CF+V-50:50 (AP, AF, BFA, DT) y CF+PM-50:50 (AF, BFR, VR) (Figura 2; Cuadro 4), lo que evidenció que los sustratos CF+PM-25:75 y CF favorecieron el mayor número de variables del crecimiento de albahaca. Esto se explica en parte, a las propiedades físicas (Cuadro 1), ya que en el sustrato CF, la CA fue alta y la CaRA fue la más baja, en comparación con los demás, lo que pudo favorecer el crecimiento de raíces y lograr con ello la absorción de agua y nutrientes suficientes, puesto que el VR y la BSR no fueron menores en comparación con CF+PM-50:50 y CF+V-50:50 (Figura 2 E y F). El Sharkawi et al. (2014) indican que la proporción entre la CA y la CaRA determina la eficiencia del intercambio de oxígeno y dióxido de carbono en la raíz en sustrato, lo que afecta la absorción de agua y nutrimentos. Por otra parte, la concentración de oxígeno baja disminuye la producción de ATP y afecta el metabolismo de carbohidratos en la planta y también se altera la morfología de la raíz y la fotosíntesis con efecto negativo en el crecimiento general de la planta (Moreno et al., 2020). En este trabajo el sustrato PM fue el que presentó la CA más baja, y en otoño este no favoreció el crecimiento de las plántulas. En plantas de fresa (Fragaria sp.) cultivadas en suelo, el cual se acondicionó para su uso como sustrato, se encontró que el crecimiento de las raíces (biomasa seca de raíz) fue mayor cuando la CA fue mayor (entre 13 % y 25 %) (González et al., 2016). No obstante, en este trabajo, en los sustratos CF y CF+PM-25:75 no se descartó que el agua fácilmente disponible (AFD), componente de la CaRA, pudo contar con un valor tal que favoreció el crecimiento de las plántulas durante el otoño; en tanto, en los sustratos V y CF+V (25:75, 50:50, 75:25), donde no se favoreció la mayor parte de las variables del crecimiento, el AFD pudo contar con un valor bajo. Esto se sustenta mediante Sambo et al. (2008) quienes encontraron que la cascarilla de arroz cruda fragmentada, en diferentes tamaños de partícula, la porosidad total y la capacidad de retención de agua obtuvieron valor menor en comparación con peat; sin embargo, el AFD fue mayor en la cascarilla de arroz en todos los tamaños de partícula. Esto coincide para la cascarilla de arroz cruda fragmentada y peat moss de este trabajo, a excepción del AFD, la cual no fue evaluada (Cuadro 1). También, en los sustratos en mezcla en proporciones crecientes, pueden tener porosidad total y capacidad de retención de agua de valor igual, pero el AFD puede ser diferente o igual, dependiendo de los sustratos en la mezcla, tal como señala Cruz-Crespo et al. (2019) quienes encontraron que los sustratos lombricomposta + cascarilla de arroz cruda entera (L+C), lombricomposta + piedra pómez (L+PP) y lombricomposta + tezontle (L+T), en 80:20, 65:35, 20;80 v/v, obtuvieron porosidad total y CaRA similar entre las diferentes proporciones, más el AFD en L+C fue mayor, en L+PP fue igual y en L+T fue menor cuando incrementó la proporción de lombricomposta. Esto pudo haber sucedido entre las mezclas de sustratos de este trabajo (Cuadro 1).
Otros factores que se consideraron fueron el aporte nutrimental (Cuadro 2) y la temperatura de los sustratos (Figura 1). En el extracto de saturación de CF se encontraron en mayor cantidad los nutrimentos N, P, K, Ca y Mg en relación con los sustratos PM y V, a excepción del N, por lo que no se descartó su contribución en el crecimiento de las plántulas en especial en el sustrato CF, ya que estos son elementos nutritivos esenciales para el crecimiento de las plantas. En referencia a la temperatura de los sustratos en otoño, los sustratos CF, PM y CF+PM (25:75, 50:50 y 75:25 v/v) presentaron 26, 25.9, 26, 25.8 y 25.9 °C, respectivamente; en tanto que, para V y CF+V (25:75, 50:50, 75:25 v/v) fue de 27.2, 26.8, 26.4 y 26.4 °C, respectivamente (Figura 1). En estos últimos la temperatura fue mayor, lo que puede explicar en parte el valor menor de las diferentes variables del crecimiento en estos sustratos. Van y Dove (2014) mencionan que el aumento de la temperatura en el sustrato disminuye la solubilidad del oxígeno en la solución y a la vez aumenta la demanda de oxígeno por la raíz de la planta.
En primavera, los resultados mostraron que los sustratos que se ubicaron en los primeros tres lugares por el valor más alto en cada variable fueron CF+PM-50:50 (AP, AF, BFA, BSA, BFR, BSR y VR), seguido de CF (AP, DT, AF, BSA y BFR), PM (AF, BFA, BSA y BSR) y CF+PM-25:75 (AP, BFA, DT) (Figura 2; Cuadro 4).
De acuerdo a lo que señalaron Van y Dove (2014) sobre la relación de la temperatura y el nivel de oxígeno en sustratos, se dedujo que debido la capacidad de aire más alta (CA) del sustrato CF+PM-50:50 este desplazó a CF+PM-25:75 en primavera (el cual se ubicó en primer lugar en otoño), lo que favoreció el incremento del VR y BSR en relación con el otoño y a la vez de las variables del crecimiento de la parte aérea; en tanto que, en los sustratos CF+PM-25:75 y CF el VR y BSR tuvieron valor igual en ambos ciclos de producción (Figura 2 E y F). En la primavera la temperatura máxima del aire en el invernadero fue 4 °C mayor en comparación con el otoño, esto influyó en los sustratos (Figura 1) ya que en estos las temperaturas máximas promedio fueron de 26.9, 26,8, 26.7, 26.8, 26.8 °C para los sustratos CF, PM y CF+PM (25:75, 50:50 y 75:25 v/v), respectivamente; en los sustratos V y CF+V (25:75, 50:50 y 75:25 v/v) se registraron 29.4, 28.9, 28.4 y 28.4 °C, respectivamente. Moreno et al. (2020) señalaron que en sustratos con CA alta el nivel de oxígeno puede disminuir en épocas o en zonas con temperaturas ambientales altas, ya que el crecimiento y la tasa de respiración de la raíz aumentan y por lo tanto la demanda de oxígeno también. Estas situaciones se presentaron en la presente investigación, y fue en los sustratos V y CF+V-25:75 donde las variables del crecimiento de la parte aérea y de raíz obtuvieron los valores más bajos (Figura 2; Cuadro 4). Witcher et al. (2020) evidenciaron que en plantas de tuya (Thuja standishii) la biomasa fresca y seca de la parte aérea, y de la raíz fueron de valor mayor en la mezcla de peat moss más corteza de pino (80:20 v/v) en contraste con corteza de pino, donde la mezcla presentó menor temperatura, lo cual lo atribuyeron al mayor contenido de agua. El Sharkawi et al. (2014) reportaron para cascarilla de arroz entera compostada (CAC) 27.8 °C, y para las mezclas de CAC-hundzsoil, CAC-polvo de coco, CAC-biochar de cascarilla de arroz y CAC-arena 26.3, 27.2, 26.6 y 27 °C, respectivamente; en los sustratos en mezcla las plantas de pepino (Cucumis sativus) obtuvieron el valor más alto del diámetro de tallo, área foliar, biomasa seca de la parte aérea y biomasa seca de raíz en contraste con CAC. Nieto-Garibay et al. (2016) señalaron que la adaptación de las plantas a ambientes diferentes puede implicar respuestas diversas, donde una de estas puede ser la adaptación morfológica que incluye cambio en el tamaño de los órganos de la planta. En este trabajo se obtuvo mayor biomasa de la parte aérea en el sustrato CF+PM:50:50 en la primavera (donde la radiación y la temperatura del aire fueron mayores) en relación con el otoño, y también la mayor diferencia de biomasa entre los dos ciclos de producción en relación a los demás sustratos (Figura 2). Esto permitió inferir que la respuesta de las plántulas de albahaca Thai se afectó por las condiciones ambientales de cada ciclo de producción, y también por las condiciones en la raíz, lo cual varió en cada sustrato. De lo anterior, se dedujo que la temperatura en el medio de crecimiento de la raíz depende de la presentación de la cascarilla de arroz, del sustrato con el cual se mezcle y de la zona o época en el año, por lo que se sugiere continuar con investigaciones al respecto.
Los sustratos PM y CF se ubicaron en segundo término en primavera por favorecer cinco variables del crecimiento, aun cuando la CA del sustrato PM y la CaRA en el sustrato CF fueron de valor bajo. En el sustrato PM el VR y la BSR fueron de mayor valor en primavera, y de valor similar con CF+PM-50:50, CF+PM-75:25, CF+V-75:25 (Figura 2 E, F); en tanto que, en CF y CF+PM-25:75 estas variables fueron iguales en ambos ciclos de producción, pero de valor menor en contraste con los sustratos PM, CF+PM-50:50 y CF+PM-75:25 en primavera. Es probable que el AFD de los sustratos PM, CF y CF+PM-50:50 haya tenido un papel importante en el crecimiento de las plántulas durante el ciclo de primavera, y también en otoño, sin dejar de lado la importancia de las demás propiedades físicas de los sustratos y factores ya señalados. También, el aporte de nutrimentos de los sustratos en primavera se consideró importante, tal como se explicó para el ciclo de otoño.
De acuerdo con lo expuesto anteriormente se recomienda llevar a cabo más investigación sobre sustratos alternativos para el crecimiento de plántulas considerando todos los factores que puedan estar implicados y que afectan el crecimiento tal como las propiedades físicas de los sustratos, los tipos de sustratos, ciclo de producción o condiciones ambientales, y posible aporte de nutrimentos por los sustratos utilizados.
Conclusiones
La cascarilla de arroz fragmentada al 100 %, y en mezcla con peat moss en proporción 25:75 v/v fueron los sustratos más adecuados para el crecimiento de plántulas de albahaca ‘Thai’ en otoño; en primavera, la cascarilla de arroz fragmentada más el peat moss proporción 50:50 v/v fue el más adecuado, lo que permitió sustituir en estas proporciones el uso del peat moss en las condiciones de la investigación.










nueva página del texto (beta)



