Introduction
For decades, beef has played a crucial role in human diet as an important source of proteins, minerals, vitamins, and other nutrients vital for human health. As ground beef constitutes 64 % of all meat consumed by humans, extending the shelf-life of this product is a major challenge for the meat industry (Ouerfelli et al., 2019; Weinroth et al., 2019). In this regard, a shelf-life of approximately ten days at refrigerated temperatures can enable a meat product to be distributed to retail outlets (Kapetanakou et al., 2020). Meat and meat products are susceptible to microbial growth, discoloration, and processes of protein and lipid oxidation (Ouerfelli et al., 2019; Kapetanakou et al., 2020). Currently, one of the methods applied to preserve meat and meat products is the use of additives with antioxidant properties such as butylated hydroxytoluene (BHT) (Ouerfelli et al., 2019).
Recognized as safe for use in food under United States regulations, BHT, a synthetic phenolic compound, is included in the Title 21 of the Code of Federal Regulations and the Food Additive Status List of the US Food and Drug Administration (FDA) (FDA, 2019; Electronic Code of Federal Regulations, 2021). In this way, BHT can be added singly or in combination with other synthetic phenolic antioxidants to fat, oils, and meat, at a concentration of 100 mg/kg (Cantú-Valdéz et al., 2020; Liu and Mabury, 2020). Nevertheless, due to their ubiquity, BHT possess several human exposure pathways, including the food intake, indoor dust ingestion, and use of personal care products (Liu and Mabury, 2020). Timing and dose exposure are important factors modulating the potentially deleterious effects of BHT use (Wang and Kannan, 2019). For example, a consumption of 1.35-5 % or 0.05-0.5 % BHT over 30 days or 10 months caused a toxic nephrosis or development of liver tumors in mice (Liu and Mabury, 2020).
In order to reduce the use of synthetic additives, preservatives obtained from natural sources have been developed to ensure safety, encourage customer acceptance, and expand shelf-life for meat products (Mtibaa et al., 2019; Zahid et al., 2019). Although several natural preservatives have been reported in the literature, BHT continues to be used extensively by the food and cosmetic industry (Liu and Mabury, 2020). One potential natural preservative is quercetin (3,3´,4´5,7-pentahydroxyflavone), which is a flavonoid found in apples, green beans, broccoli, tomatoes, onions, Ginkgo biloba, and milk thistle, among others (Bekhit et al., 2003; National Institute of Diabetes and Digestive and Kidney Diseases, 2012; Andres et al., 2018). A typical western diet provides an estimated daily quercetin intake of 4 to 40 mg (National Institute of Diabetes and Digestive and Kidney Diseases, 2012). There are numerous reports on the biological effects of this flavonoid, based on both in vitro experiments and animal studies including humans. The results of these studies reveal that quercetin has antioxidant, anti-inflammatory, immunoprotective, anticarcinogenic, and ergogenic effects (Andres et al., 2018). Currently, quercetin is marketed as an ingredient in various dietary supplements, is generally well-tolerated, and is free of discernible adverse events (National Institute of Diabetes and Digestive and Kidney Diseases, 2012; Andres et al., 2018). Quercetin is recognized as safe by the FDA, with additional mean intakes of 200 or 400 mg/day estimated for all ages or high-intake consumers, respectively (Andres et al., 2018). Although quercetin is a compound obtained from natural sources, some studies show that high doses may cause enhanced nephrotoxic effects in pre-damaged kidneys, and may promote the growth of already existing cancer cells (Andres et al., 2018).
The use of low concentrations of additives recognized as safe under a certain limit, is desirable to avoid adverse health effects by an accumulative exposure but maintaining their preservative effects on meat products. On the other hand, combination studies are common methods for identifying synergy among drugs, a phenomenon which can facilitate the reduction of dosages while maintaining superior or similar therapeutic efficacy to that obtained from drugs when administered individually and, moreover, a lower incidence of adverse events than that obtained from individual use (Chou, 2006; Zapata-Morales et al., 2021). To our knowledge, a combination approach has never been applied to preservatives added to meat products. Therefore, the present study aimed to identify the BHT-quercetin mixture with a synergic antioxidant action and, subsequently, evaluate its utility against degraded antioxidant capacity, color degradation, and protein and lipid oxidation in refrigerated beef patties to which either the selected BHT-quercetin combination, BHT or quercetin alone had been added.
Materials and methods
Reagents
Quercetin, BHT, 2,2′-diphenyl-1-picrylhydrazyl radical (DPPH), dimethyl sulfoxide (DMSO), thiobarbituric acid, trichloroacetic acid, hydrochloric acid, and 1,1,3,3-tetraethoxypropane used in the present study were obtained from Sigma-Aldrich (St. Louis, MO, USA). A food grade Spanish extra virgin olive oil (EVO) was used (Kuali® trademark, Monterrey, NL, Mexico), while methanol and ethanol were of liquid chromatography and spectrophotometry grade (Mallinckrodt Baker Inc., Mexico City, Mexico). Deionized water (MontRial, San Luis Potosi, Mexico) was used for aqueous solutions.
DPPH radical scavenging assay
A stock solution of 920 µmol/L DPPH radical was prepared in methanol, with stock solutions of 600 µg/mL quercetin and 1400 µg/mL BHT prepared in ethanol-DMSO (96:4 v/v). Subsequently, working standards for the quercetin were established between 3 and 600 µg/mL and for the BHT between 7 and 1400 µg/mL using ethanol-DMSO (96:4 v/v), while a 460 µmol/L DPPH radical solution was prepared from the stock solution of DPPH radical and methanol. For each preparation tested, the number of standards and the range of concentrations were prepared in accordance with the guidelines for an accurate IC50 estimation (Sebaugh, 2011). The antioxidant assay involved the addition of fifty microliters of sample (quercetin, BHT, or solvent) to a tube containing 200 µL of DPPH radical solution (0 or 460 µmol/L), incubated at 30 ºC for 20 min. Once the incubation had been completed, 150 µL of each mixture was placed in a vial insert (part number 5181-1270, Agilent Technologies, Palo Alto, CA, USA) which was kept under constant lighting at a fixed distance to a mobile phone with an integrated eight-megapixel camera (Moto e5 play, Motorola Mobility LCC, IL, USA).
The Red Green Blue (RGB) color response and reflectance spectrum were monitored for each sample, using a colorimeter application (Colorimeter version 5.5.1, Research Lab Tools, Sao Paulo, Brazil, purchased from Google Play) installed on the mobile phone. For each experimental sample, a ΔRG value was calculated by subtracting the experimental value (sample plus 460 µmol/L DPPH radical) from a blank value (sample plus 0 µmol/L DPPH radical) with a percentage of the ΔRG value then obtained using the following equation (Ravindranath et al., 2018):
Subsequently, the DPPH radical inhibition percentage was calculated using the ΔRG (%) values obtained from both a second blank value (sample solvent plus 460 µmol/L DPPH radical) and the experimental sample. Finally, the concentration that achieved 50 % DPPH inhibition (IC50) was calculated for each compound tested, using GraphPad Prism 5 software (San Diego, CA, USA). The antioxidant assay conducted in the present study was following the recommendations for the colorimetric quantifications on smartphones, which are rapid, simple, sensitive, low cost, and reliable analytical techniques (Ravindranath et al., 2018; Fan et al., 2021).
It should be noted that we were unable to find, in the literature, a DPPH radical scavenging assay that uses the approach set out in the present technique. Consequently, before the colorimetric assay was applied on the experimental samples, the assay was validated in accordance with FDA guidelines (US Department of Health and Human Services et al., 2018), with quercetin used as a reference standard, given that it corresponded to a new assay based on a previous spectrophotometric methodology (Martinez-Morales et al., 2020). Blank, lower limit of quantification, and between-day evaluations were performed over three consecutive days. In order to determine the stability percentage for each quality control sample, we compared the experimental value with that obtained immediately after preparation. Finally, the low, middle, and high-quality control samples presented concentrations of 23, 60, and 110 µg/mL quercetin, respectively.
Antioxidant interaction assessment
The experimental design for the constant ratio combinations followed was set out previously (Chou, 2006; Chou, 2010). Once the IC50 value of each compound was obtained via the DPPH radical scavenging assay, the BHT and quercetin (BQ) combination was assessed via the same assay using five different proportions (3:1, 1:1, 1:3, 1:5, and 1:10). The data for the individual compounds and combinations were evaluated using both the Chou-Talalay method, which is based on the median-effect equation, which, in turn, is derived from the mass-action law principle (Chou, 2006), and the isobole method described by Tallarida (2002).
The Chou-Talalay theory involves the quantitative definition of synergism, additivity, and antagonism by means of a combination index (CI) value and their visual definition by means of an isobologram (Chou, 2006). In the present study, a weighted average (wa) CI value was calculated for each combination using the following formula:
The aim of this formula was to increase the relevance of low effect levels, as the preservatives are used at low concentrations in foodstuffs (Chou, 2006; USFDA, 2019; Checkmahomed et al., 2020; Electronic Code of Federal Regulations, 2021). Therefore, a waCI value of < 0.1, 0.1-0.3, 0.3-0.7, 0.7-0.85, 0.85-0.90, 0.90-1.10, 1.10-1.20, 1.20-1.45, 1.45-3.3, 3.3-10, and > 10 indicated a very strong synergism, strong synergism, synergism, moderate synergism, slight synergism, nearly additive, slight antagonism, moderate antagonism, antagonism, strong antagonism, and very strong antagonism, respectively (Chou, 2006). If the data points fell on the hypotenuse of the isobologram, an additive effect was determined, while, if data points fell on the lower or upper left of the hypotenuse, a synergism or antagonism was determined, respectively (Chou, 2006).
The isobole method involved the calculation of theorical and experimental IC50 values (Zadd and Zexp) for each combination, values used to calculate an interaction index (γ) and to undertake a statistical comparison, where both procedures defined the type of interaction (Alonso-Castro et al., 2017) as described in the section of data analysis.
Preparation of beef patties
After all the experiments described above were completed and analyzed, the utility of the compounds and their combination in the food preservation started. In this way, the meat preparation was as described previously (Gallego et al., 2015; Cantú-Valdéz et al., 2020). In brief, fresh beef pulp, purchased from a local supermarket, was immediately transported to the laboratory and ground in a meat grinder fitted with a 4.5-mm grind plate (Tartare, Metaltex International, Molsheim Cedex, France). Five formulations were prepared: C (meat without additive); V (meat with 20 mL/kg EVO added); B (meat with 100 mg/kg BHT added); Q (meat supplemented with 36 mg/kg quercetin); and, BQ (meat with 5.2 mg/kg of BHT and 26.0 mg/kg of quercetin added, giving a 1:5 ratio).
Prior to meat supplementation, quercetin, BHT, and combination, were dissolved in EVO (20 mL/kg of meat), with the ingredients then mixed manually in a steel bowl for 2 min. Subsequently, each preparation was mixed at low speed for 2 min in a mixer (Model 64650, Hamilton Beach Brands, Inc, VA, USA) and then a 23 g portion of each meat sample was made into a 7-cm in diameter and 1-cm in height burger. Beef patties were placed in a polyethylene bag and stored in a refrigerator at 4 ºC under absence of light. Finally, the samples were analyzed for color, antioxidant capacity, metmyoglobin (MetMb) content, and thiobarbituric acid reactive substance (TBARS) value on day 0 (meat samples without addition of preservatives), 1, and 10. It is important to note that the recommended BHT concentration for meat products was used (Cantú-Valdéz et al., 2020), while the concentrations for both quercetin and selected BQ combination were determined on the basis of their antioxidant IC50 values and interaction studies, where the used concentrations presented the same antioxidant activity found in the selected BHT concentration. In addition, the volume of the vehicle (EVO) was selected based on the quantity of oily substances used for preservative proposes in ground beef (Cantú-Valdéz et al., 2020).
Color evaluation
The evaluation of beef patties color was as described by Gallego et al. (2015). At four different points, a colorimeter (Color Muse, Variable Inc., TN, USA) was directly placed on the surface of the beef patty in areas without fat or connective tissue. For each point, the L*, a*, and b* values pertaining to the CIE Lab color system were recorded to measure lightness, redness, and yellowness, respectively. Prior to the measurements recording, the calibration of the colorimeter was using a standard white plate provided, along with the instrument, by the manufacturer. The mean value for each CIE Lab parameter was calculated for each sample.
Antioxidant capacity
A beef patty sample (0.20 to 0.58 g) was placed in a tube containing 500 µL ethanol-DMSO (96:4 v/v), mixed for 1 min, and centrifuged at 1500 xg for 10 min at 4 ºC. Subsequently, the supernatant (50 µL) was processed using the DPPH radical scavenging assay as described in the section above. For these measurements, the data was expressed as the percentage radical inhibition/200 mg of meat. For some samples, a weight of > 200 mg was necessary in order to obtain a response within the analytical range of the assay. As the methodology for the radical inhibition assay had been slightly modified for these samples, a partial validation was also performed (data not shown) in accordance with FDA guidelines (US Department of Health and Human Services et al., 2018).
Metmyoglobin (MetMb) content
The quantification of MetMb was according to Mtibaa et al. (2019). Briefly, 0.2 g of beef patty was placed in a tube containing 1 mL of cold phosphate buffer solution (40 mM at pH 6.8) and mixed for 1 min, the mixture kept at 4 ºC for 1 h and centrifuged at 4500 xg for 30 min at 4 ºC. Each sample supernatant was filtered through a 0.45-µm-pore-size filter unit (Millipore Corporation, Bedford, MA, USA), after which 200 µL of the filtrate was placed into one well of a 96-well plate (Costar® 3595, Corning Incorporated, NY, USA). The absorbance was recorded at 572, 565, 545, and 525 nm using a Cytation™ 3 microplate reader and Gen5™ software (Biotek Instruments Inc., Vermont, USA). For each sample, the MetMb percentage determination was using the following formula (Mtibaa et al., 2019):
In the formula, the term A alongside a number denotes the absorbance and wavelength.
Thiobarbituric acid reactive substance (TBARS) value
The determination of TBARS was according to Eymard et al. (2005) and Mtibaa et al. (2019). A sample of the ground beef patty (0.12 to 0.18 g) was placed in a tube containing 1 mL of 50 g/L trichloroacetic acid and 6 µL of 1 g/L BHT and then mixed for 1 min. The mixture was centrifuged at 1900 xg for 10 min at 18 ºC, with the supernatant (250 µL) then added to 150 µL of 0.8 % thiobarbituric acid. This second mixture was incubated at 75 ºC for 30 min and kept at 4 ºC for 3 min. Two hundred microliters of each mixture were placed in one well of a 96-well plate (Costar® 3595, Corning Incorporated, NY, USA). The absorbance was read at 532 nm using the Cytation™ 3 microplate reader and Gen5™ software (Biotek Instruments Inc., Vermont, USA). The TBARS value was calculated using a calibration curve of malondialdehyde with a 239 µg/mL malondialdehyde stock solution and the results were expressed as µg TBARS/g of meat. For this assay, the malondialdehyde was obtained from the degradation of 1,1,3,3-tetraethoxypropane, which was induced by their exposition to 0.1 N hydrochloric acid under a boiling water bath.
Data analysis
The antioxidant IC50 values of the BHT and quercetin were analyzed using an unpaired t test, using the GraphPad Prism 5 software (San Diego, CA, USA). For the combination analyses using the Chou Talalay theory, the conformity of the data with the mass-action law was evaluated using the linear correlation coefficient (r) of the median effect plot, where an r value > 0.95 was considered an acceptable conformity (Chou, 2006). All these analyses and isobolograms were performed using the Compusyn software (Chou and Martin, 2005). Data with effects of ≥ 1.0 were not included in the analyses because the Compusyn software cannot compute values with this level.
For the isobole method, the statistical comparison of the Zadd and Zexp values alongside the γ index defined the interaction as a synergism (γ index < 1.0 and P < 0.05), additivity (γ index close to 1.0 and P > 0.05), or antagonism (γ index > 1.0 and P < 0.05) (Alonso-Castro et al., 2017). These statistical analyses were performed using the GraphPad Prism 5 software (San Diego, CA, USA).
The presentation of color, antioxidant capacity, MetMb, and TBARS data are as both the mean and standard deviation. The analysis of C, V, B, Q, and BQ group values were using a two-way ANOVA with a Bonferroni post-test, using the GraphPad Prism 5 software (San Diego, CA, USA). For all the statistical analyses, a P value of < 0.05 was considered statistically significant.
Results and discussion
Antioxidant activity
Calculated via the GraphPad or Compusyn software, the respective antioxidant IC50 values for quercetin and BHT were 89.7 ± 4.3 and 171.7 ± 8.2 µg/mL (nine points per curve, N= 5) or 50.2 and 139.4 µg/mL (eight points per curve, N= 5), respectively. Our evaluations showed that quercetin presents a higher antioxidant activity level than BHT (P <0.0001), a finding also observed in previous individual evaluations of the action of both compounds against the DPPH radical (Popovic-Milenkovic et al., 2014; Singh et al., 2018). However, the IC50 values obtained in the present study were higher than those reported previously (Popovic-Milenkovic et al., 2014; Singh et al., 2018), a difference due to some technical conditions, such as a lower DPPH concentration, different reaction medium, and the absence of a validation procedure for the antioxidant assay (Martinez-Morales et al., 2020), unlike that used in our study. Given the use of a new antioxidant assay, Table 1 shows the results obtained from the analytical validation, which measured the quercetin antioxidant activity against the DPPH radical. In order to complete the validation process, we carried out identification tests with the reflectance spectra of the samples, modifying the spectra record by means of a color change (Figure 1). All the validation and identification tests results were within the acceptability criteria stipulated by the FDA and International Conference on Harmonization (ICH) guidelines (ICH, 2005; US Department of Health and Human Services et al., 2018), except the stability results for the high QC samples stored at -18 ºC for 24 h. For this reason, the preparation of stock, standard solutions and experimental samples were on the same day they of the assays. For quantitative determinations, the application of the guidelines described by the FDA and ICH guarantees the reliability and strict control on the results, as well as the suitability, accuracy, and reproducibility of the assay (Gonzalez-Rivera et al., 2019).
Table 1 Complete validation of the DPPH radical inhibition (%) assay with quercetin.
Table 1. Validación completa del ensayo de la
inhibición del radical DPPH con quercetina
| Parameter | Value |
| Calibration curve (N= 6) | |
| Range (µg/mL quercetin) | 12-125 |
| Calibration model | Second order polynomial relationship |
| R2 value | 0.9954 ± 0.0032 |
| Accuracy (%) of calibrators | 99.0 ± 8.2 |
| LLOQ (12 µg/mL, N= 6) | |
| Accuracy (%) | 98.3 ± 16.4 |
| Precision (%CV) | 16.7 |
| Blank sample (0 µg/mL quercetin plus 450 µmol/L DPPH radical, N= 6) | |
| Accuracy (%) | The value is not calculable |
| Precision (%CV) of the ΔRG (%) values | 11.5 |
| Accuracy of QC samples (%, N= 6) | |
| Within day evaluation | |
| Low QC | 92.8 ± 12.3 |
| Middle QC | 88.7 ± 2.9 |
| High QC | 102.3 ± 3.7 |
| Between day evaluation | |
| Low QC | 95.7 ± 10.3 |
| Middle QC | 89.7 ± 4.0 |
| High QC | 99.7 ± 4.9 |
| Precision of QC samples (%CV, N= 6) | |
| Within day evaluation | |
| Low QC | 13.4 |
| Middle QC | 3.6 |
| High QC | 3.6 |
| Between day evaluation | |
| Low QC | 14.2 |
| Middle QC | 6.1 |
| High QC | 4.7 |
| Stability of QC samples under different conditions (%, N= 5) | |
| At room temperature (45 min) | |
| Low QC | 97.3 ± 2.5 |
| High QC | 89.0 ± 3.7 |
| On the vial insert (15 min) | |
| Low QC | 97.6 ± 1.7 |
| High QC | 95.5 ± 7.8 |
| Storage at -18 ºC (24 h) | |
| Low QC | 87.2 ± 0.8 |
| High QC | 53.4 ± 4.1 |
Each value is the mean ± standard deviation or percentage of coefficient of variation (%CV). DPPH: 2,2′-diphenyl-1-picrylhydrazyl; LLOQ: lower limit of quantification; QC: quality control.

Figure 1 Representative reflectance spectra for the two blank samples (a): sample solvent plus
0 µmol/L DPPH radical (s0) and sample solvent plus 460 µmol/L DPPH
radical (s460). Furthermore, the spectra records for the LLOQ and
lower (L), middle (M) and high (H) QC samples are shown (b). DPPH:
2,2′-diphenyl-1-picrylhydrazyl; LLOQ: lower limit of quantification;
QC: quality control.
Figura 1. Espectros de reflectancia representativos
para las dos muestras de blancos (a): solvente de la muestra más
radical DPPH 0 µmol/L (s0) y solvente de la muestra más radical DPPH
460 µmol/L (s460). Además, los registros de los espectros para el
LLOQ y QC bajo (L), medio (M) y alto (H) son mostrados (b). DPPH:
2,2′-difenil-1-picrilhidrazilo; LLOQ: limite más bajo de
cuantificación; QC: control de calidad.
Antioxidant interaction outcomes
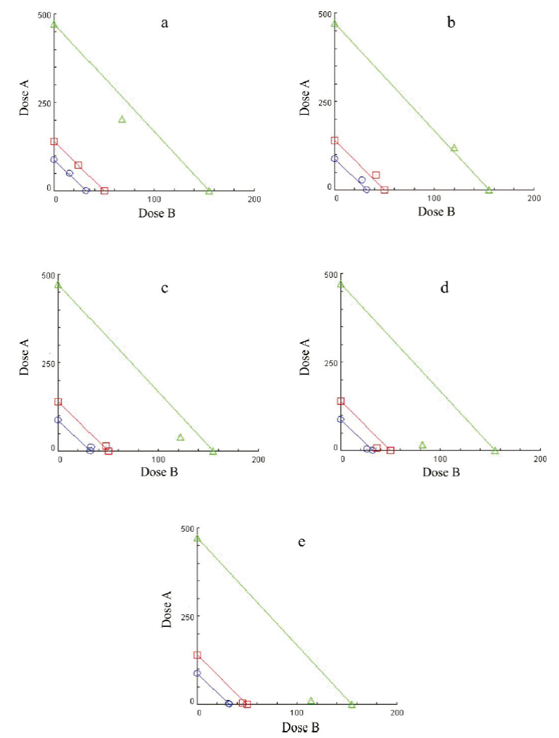
To our knowledge, there are no previous reports presenting an evaluation of the antioxidant interactions between BHT and quercetin. The antioxidant IC50 values for the 3:1, 1:1, 1:3, 1:5, and 1:10 BQ combinations were 97.1, 83.4, 63.1, 43.7, and 50.2 µg/mL, respectively (six points per curve, N= 5). Table 2 and Figure 2 show the data and isobolograms obtained from the interaction experiments conducted on the compounds. Our experiments revealed that the 1:5 BQ combination was the only combination that produced a synergistic interaction at the three levels of effects (30, 50, and 90 %). This interaction was determined using the Chou-Talalay and isobole methods, as well as a moderate level of synergy established by the Chou-Talalay theory. Consequently, we used this ratio for the utility evaluation of the BQ combination for beef patties preservation. On the other hand, the 3:1, 1:1, 1:3, and 1:10 BQ combinations presented, respectively, a nearly additive, slight antagonistic, nearly additive, and nearly additive effect, according to the Chou-Talalay method, while an antagonistic, additive, additive, and additive effect presented for the same combinations, respectively, according to the isobole method (Table 2 and Figure 2). To confirm our results, we used a second recognized methodology, such as the isobole method, since an unacceptable conformity of the data with the mass-action law was evident in the majority of the combinations when applying the Chou-Talalay approach, with the interpretation of both methods showing minor discrepancies.
Tabla 2 Evaluación de las interacciones antioxidantes entre BHT y quercetina (BQ).
Table 2. Evaluation of the antioxidant interactions
between BHT and quercetin (BQ).
| Chou-Talalay method | Isobole method | |||||
| Sample | waCI | r value | Zadd (µg/mL) | Zexp (µg/mL) | γ value | P value |
| BQ 3:1 | 1.001 | 0.9361 | 111.5 ± 2.4 | 122.0 ± 6.3 | 1.091 | 0.0081 |
| BQ 1:1 | 1.125 | 0.9479 | 90.9 ± 3.8 | 95.2 ± 2.8 | 1.045 | 0.0761 |
| BQ 1:3 | 1.051 | 0.9555 | 76.9 ± 4.6 | 73.9 ± 4.0 | 0.959 | 0.3064 |
| BQ 1:5 | 0.774 | 0.9007 | 73.1 ± 4.8 | 64.0 ± 3.2 | 0.874 | 0.0075 |
| BQ 1:10 | 0.936 | 0.9032 | 69.9 ± 4.9 | 70.4 ± 2.0 | 1.006 | 0.8571 |
For the Chou-Talalay or isobole method, BHT and quercetin concentrations ranged from 7.6 to 967.2 and 3.1 to 397.8 µg/mL (eight points per compound, N= 5) or from 7.6 to 1488.0 and 3.1 to 612.0 µg/mL (nine points per compound, N= 5), respectively. For both methods, a range of concentrations from 14.8 to 472.8, 8.3 to 267.0, 7.9 to 252.4, 6.7 to 215.6, and 6.1 to 196.7 µg/mL were used for the 3:1, 1:1, 1:3, 1:5, and 1:10 combinations (six points per combination, N= 5), respectively. For each comparison between the Zadd and Zexp value, their P value is shown in the latest column of the table. γ: interaction index; BHT: butylated hydroxytoluene; waCI: weighted average combination index.

Figure 2 Isobolograms for the 30 % (blue), 50 % (red), and 90 % (green) free radical inhibition
induced by the butylated hydroxytoluene and quercetin combination at
3:1 (a), 1:1 (b), 1:3 (c), 1:5 (d), and 1:10 (e). A: butylated
hydroxytoluene; B: quercetin.
Figura 2. Isobologramas para el 30 % (azul), 50 %
(rojo) y 90 % (verde) de inhibición del radical libre inducido por
la combinación de hidroxitolueno butilado y quercetina 3:1 (a), 1:1
(b), 1:3 (c), 1:5 (d) y 1:10 (e). A: hidroxitolueno butilado; B:
quercetina.
Shelf-life of beef patties
Before discussing the effects of the combination selected on food evaluations, it is important to note that the 1:5 BQ combination contains much lower amounts of BHT and quercetin than the individual concentration of each compound, due to the synergism found in this combination. The meat quality parameters evaluated in beef patties at day 0 and 1 did not show significant changes between them (P > 0.05, Figure 3 and 4). Meanwhile, a decay of the parameters in beef patties was observed at day 10, in comparison with the data obtained at day 0 and 1 (P < 0.05, Figure 3 and 4), which was produced by the quality deterioration in meat products during their storage (Mtibaa et al., 2019). For the present experiments, the period of refrigeration was close to the shelf-life required to distribute the meat products to retail outlets (Kapetanakou et al., 2020). However, three parameters did not show a significant deterioration through the time as described in detail below.

Figure 3 Lightness (a), redness (b), and yellowness (c) of the following groups studied:
non-added meat (white bar) or added with the vehicle (black bar),
butylated hydroxytoluene (gray bar), quercetin (brown bar), or
combination (orange bar). *P value of < 0.05 versus V for redness
and < 0.05 versus C for yellowness. **P value of < 0.001
versus C and V, and < 0.05 versus B and BQ.
Figura 3. Luminosidad (a) y abundancia del color rojo
(b) y amarillo (c) de los siguientes grupos estudiados: carne no
adicionada (barra blanca) o adicionada con el vehículo (barra
negra), hidroxitolueno butilado (barra gris), quercetina (barra
café) o combinación (barra anaranjada). *Valor de P de < 0.05
versus V para abundancia del color rojo y < 0.05 versus C para
abundancia del color amarillo. **Valor de P de < 0.001 versus C y
V, y < 0.05 versus B y BQ.

Figure 4 Antioxidant capacity (a), metmyoglobin (MetMb) content (b), and thiobarbituric acid
reactive substances (TBARS) (c), found in samples obtained from the
non-added meat (white bar) or added with the vehicle (black bar),
butylated hydroxytoluene (gray bar), quercetin (brown bar), or the
combination selected (orange bar). $P value of < 0.001 versus C.
*P value of < 0.001 versus C and < 0.05 versus V. **P value of
< 0.001 versus C and V.
Figura 4. Capacidad antioxidante (a), contenido de
metamioglobina (MetMb) (b) y sustancias reactivas al ácido
tiobarbitúrico (c) encontrados en las muestras obtenidas de la carne
no adicionada (barra blanca) o adicionada con el vehículo (barra
negra), hidroxitolueno butilado (barra gris), quercetina (barra
café) o combinación seleccionada (barra anaranjada). $Valor de P de
< 0.001 versus C. *Valor de P de < 0.001 versus C y < 0.05
versus V. **Valor de P de < 0.001 versus C y V.
Color improvement
The lightness, redness, and yellowness of the meat decrease as refrigeration time continues (Gallego et al., 2015). While after ten days of storage at 4 ºC, the lightness of the beef patty showed no modification by any supplementation (P >0.05 for all groups at any time, N= 7, Figure 3a), the redness and yellowness of the meat added with the BHT, quercetin, or BQ combination was more intensive than that found in the non-supplemented patty or that treated with vehicle alone (N= 7, Figure 3b and c). Moreover, the quercetin produced more intense redness than the other supplements and prevented the deterioration in redness through time (P > 0.05 for Q groups on day 0, 1, and 10).
Redness is the most important color parameter for the evaluation of meat oxidation and a key predictor for the acceptability of a meat product to consumers (Gallego et al., 2015). In line with our data, information presented by previous studies shows that BHT added to meat is capable of producing either higher L*, a*, and b* values, or solely higher a* values, than those observed in non-supplemented ground beef, when stored at 4 ºC for seven or eight days (Kim et al., 2013; Cantú-Valdéz et al., 2020). Similarly, quercetin is able to produce improved redness and yellowness in beef patties, unlike those made from non-supplemented meat, when stored at 2 ºC for nine days (Bekhit et al., 2003).
Antioxidant ability and inhibition of the protein and lipid oxidation
The meat added with the individual or combined compounds, showed a significant antioxidant capacity and lower MetMb and TBARS content than those values obtained from the non-supplemented meats, or those treated with vehicle solely after ten days of refrigeration (N= 7, Figure 4). However, the meat treated with vehicle also presented a beneficial effect against the presence of TBARS.
The undesirable discoloration of meat during storage is largely due to myoglobin oxidation and MetMb formation (Mtibaa et al., 2019). Moreover, the percentage of MetMb is a significant variable given that consumers reject meat products with levels higher than 40 % (Mtibaa et al., 2019). The 1:5 BQ combination produced a level of < 40 % MetMb in the ground beef patties, as did the BHT or quercetin treatments after ten days of storage (Figure 4b). As quercetin and BHT are free radical scavengers, they directly inhibited protein oxidation due to their antioxidant properties (Mtibaa et al., 2019). Previous studies have shown that BHT or quercetin maintain lower percentages of MetMb in beef than those observed in non-supplemented meat for up to ten or nine days of refrigeration, respectively. However, the effect of the quercetin was reversed after the ninth day of storage (Bekhit et al., 2003; Mtibaa et al., 2019), due to the method used to add quercetin to the meat, thus influencing the performance of this antioxidant (Bekhit et al., 2003; Bekhit et al., 2004).
Hydrogen atom transfer and single electron transfer reactions, which are the most important pathways via which an antioxidant can scavenge free radicals, are solvent and pH dependent, and in this case, our solvent for quercetin was different to the study of Borgohain et al. (2015). The foregoing study prepared quercetin in deionized water with an adjusted pH of 6.8, adding it at a ratio of 111.1 mL/kg of meat (Bekhit et al., 2003), while the present study prepared quercetin in food grade EVO, adding it at a ratio of 20 mL/kg meat. Thus, the food grade EVO was an appropriate medium for the antioxidant function of quercetin, and its use as a solvent was to obtain a homogeneous suspension of quercetin, as it is insoluble and precipitates rapidly in water at the concentration and volume used in the present study.
Because of the radical scavenger effects of the compounds tested, the meat antioxidant capacity presented by the 1:5 BQ combination was superior to that found in the non-supplemented meat, where this variable closely resembled the capacity produced by each compound when administered independently at high concentrations (Figure 4a). Moreover, the presence of BHT, quercetin or combination avoided the deterioration of the antioxidant ability in beef patties through time (P > 0.05 for B, Q and BQ groups on day 0, 1 and 10). A previous study found that BHT administered at 100 mg/kg did not produce a high antioxidant capacity in the ground meat, compared to that observed in the non-supplemented meat, after seven days of storage at 4 ºC (Cantú-Valdéz et al., 2020). However, said study added BHT in a dry form to the meat. As explained above, for the quercetin treated samples, the EVO (solvent) was also an appropriate medium for the performance of the BHT antioxidant activity (Borgohain et al., 2015). We were unable to find, in the literature, a report of an evaluation of the antioxidant capacity of ground meat or patties supplemented with quercetin. Our data shows an increase in the capacity of the meat to resist oxidative processes by the BQ mixture, a finding confirmed by our protein oxidation evaluation (MetMb content).
The TBARS results obtained supports the protection provided to ground beef patties by the 1:5 BQ combination against lipid oxidation (Figure 4c). TBARS levels increase during storage, since they are reactive aldehydes produced by lipid peroxidation of polyunsaturated fatty acids in meat (Mtibaa et al., 2019). The vehicle used in the present study, EVO, played a role in the reduction of TBARS levels in the B, Q, and BQ samples (Figure 4c), which may be due to the EVO antioxidant properties (Borges et al., 2019), although the meat antioxidant capacity induced via EVO was not found to be significant (Figure 4a). Nevertheless, the antioxidant synergism of the mixture tested (BQ group) produced a greater reduction of TBARS than that observed for the vehicle (Figure 4c). Prior data shows that the addition of BHT reduces or does not affect TBARS content in meat stored at 4 ºC for seven-eight days (Gallego et al., 2015; Mtibaa et al., 2019). Also, quercetin was not observed to significantly modify TBARS levels in meat over nine days of storage at 2 ºC (Bekhit et al., 2003), findings similar to those observed for the non-supplemented meats.
Limitation of the study
Despite in the present study we evaluated important meat quality parameters for beef patties, including key predictors for the acceptability of a meat product by consumers, such as the redness and MetMb levels (Gallego et al., 2015; Mtibaa et al., 2019), it is clear that further studies are necessary to increase the actual evidence, such as sensory evaluations. Nevertheless, the present study is the beginning for the use of synergistic combinations of antioxidants to preserve meat products.
Conclusions
For the first time, our study shows that the use of a 1:5 BQ combination (5.2 mg/kg of BHT plus 26.0 mg/kg of quercetin) was an effective, simple, and available method for the preservation of beef patties. Since this strategy produced a synergistic antioxidant interaction between BHT and quercetin, it in turn improved color, levels of protein and lipid oxidation, and antioxidant capacity of the beef patties. These beneficial changes were possible to achieve with a simple combination of these preservatives that are available in the actual market and consequently, the individual use of high concentrations of BHT and quercetin by the meat industry can be substitute for their synergistic combination.










nueva página del texto (beta)


