Servicios Personalizados
Revista
Articulo
Indicadores
-
Citado por SciELO -
Accesos
Links relacionados
-
Similares en
SciELO
Compartir
Revista electrónica de investigación educativa
versión On-line ISSN 1607-4041
REDIE vol.15 no.3 Ensenada ene. 2013
Artículos
Aplicación de un modelo de duración en programas de prevención de deserción universitaria
Application of a Duration Model in Programs for Prevention of University Attrition
Verónica Herrero,* Aldo Merlino,* Silvia Ayllón* y Gabriel Escanés*
* Universidad Empresarial Siglo 21 Monseñor Pablo Cabrera km 8.5 Los Boulevares C.P. 5000 Córdoba, Argentina. vherrero@uesiglo21.edu.ar, amerlino@uesiglo21.edu.ar, sayllon@uesiglo21.edu.ar, gescanes@uesiglo21.edu.ar.
Recibido: 15 de marzo de 2012;
Aceptado para su publicación: 20 de marzo de 2013.
Resumen
Las prácticas institucionales vinculadas con la prevención de la deserción de una carrera universitaria requieren cada vez más de instrumentos validados que permitan anticipar tal comportamiento. En este sentido han demostrado utilidad decisiva distintos modelos estadísticos generados a partir de información referida a los propios estudiantes, sus hogares y su desempeño académico, entre otros determinantes. Este estudio pretende mostrar la importancia de una serie de determinantes exploradas en otros estudios: el objetivo principal es aplicar un modelo predictivo del riesgo de deserción de estudiantes universitarios a fin de generar resultados de manera temprana y progresivamente más eficaces. El trabajo exhibe la utilidad de los modelos de duración en una muestra de estudiantes presenciales, y la capacidad anticipatoria de los comportamientos de permanencia/deserción en el tiempo, a través de estimaciones de riesgo con un modelo de Cox en cuatro momentos de los primeros meses de universidad.
Palabras clave: Deserción universitaria, Modelos de duración, Predicción de permanencia.
Abstract
Institutional practices related to the prevention of desertion of university students increasingly require validated instruments in order to anticipate such behavior. In this regard, different statistical models generated from information related to the students themselves, their homes, their academic performance, among other determinants have demonstrated to be of crucial value. This study aims to demonstrate the importance of a series of determinants explored in other studies. The main objective is to apply a dropout rate predictive model with at risk university students in order to generate early and progressively more effective results. The research demonstrates the usefulness of the duration models in a sample of classroom students and the capacity to anticipate behavior of permanence/attrition across time. This was done with risk estimates using the Cox model.
Keywords: University attrition, Duration models, Prediction of university stay.
I. Introducción
Las instituciones educativas públicas y privadas, amén de los organismos de Educación, se ocupan de desarrollar acciones que ayuden a prevenir el abandono universitario. Ser capaz de anticipar la permanencia de los alumnos ingresados en determinado período y más aún, poder prever la cantidad de períodos de actividad académica que desarrollarán, antes de un abandono, da lugar a una mejor provisión del servicio educativo, e incluso a minimizar los abandonos evitables.
Si bien el abandono es una decisión finalmente realizada por el alumno, conlleva extensas consecuencias de corto y largo plazo, que exceden el plano individual. Son evidentes los efectos financieros y organizativos que la deserción genera en las instituciones superiores. Sin embargo, están menos explicitados todos los impactos con repercusión en la sociedad: menor nivel educativo agregado que el que podría haberse logrado potencialmente, con sus consabidos ecos en términos de la productividad, la producción, el bienestar y finalmente el desarrollo de cada sociedad (Hanushek, 2000). Como señala Brock (2010), pocas decisiones a lo largo de la vida de los individuos tienen tanto impacto en sus futuras oportunidades como las de cursar estudios superiores y lograr una certificación. El conjunto de elementos reportados reflejan la importancia que reviste la prevención de la deserción, no sólo para el individuo y las instituciones educativas universitarias, sino también para la sociedad en su conjunto.
En gran medida la actividad preventiva del abandono hace uso de datos estadísticos de los estudiantes, obtenidos al inicio de los estudios, o bien, son captados durante su transcurso educativo universitario. En este contexto, los esfuerzos por sistematizar la información disponible sobre las características de la población de interés (los estudiantes universitarios del sistema o de una institución en particular), y sus diferencias según se trate de quienes en algún momento en el período de observación abandonan o de quienes se mantienen cursando o logran egresar, suelen requerir modelos de cuantificación de riesgos.
En función de lograr mejores resultados anticipatorios del comportamiento de permanencia-deserción esperado, se toma en cuenta información captada en tres momentos, tras iniciar la vinculación con la institución: (1) Al producirse la inscripción; (2) Durante el cursillo de nivelación, y (3) Al finalizar el cursado del primer cuatrimestre.
En cada una de las instancias mencionadas se dispone de diferentes tipos de datos, ya sean personales, actitudinales y académicos, que pueden servir para conocer de manera anticipada la probabilidad de permanencia en la Universidad.
La aplicación de un modelo de duración permite captar la dinámica propia del fenómeno, y comparar la calidad predictiva de los resultados en función de la cantidad de información acumulada disponible y del momento de la estimación.
Los abordajes cuantitativos de las situaciones de deserción universitarias se encuadran básicamente en alguno de los siguientes tipos de enfoque:
• Cuantificación de tasas de abandono generales y específicas para algún colectivo específico de estudiantes, tales como pueden ser segmentos determinados de alumnos, tipo de institución, modalidad, cohorte, etc.
• Estimación del riesgo de abandono con modelos binarios, que permiten detectar las variables asociadas y su importancia relativa. La característica esencial de este enfoque consiste en clasificar a los alumnos entre quienes desertaron hasta cierta fecha y quienes no lo hicieron, sin tener en cuenta de manera más específica el momento en que se produce el abandono.
• Estimación de la probabilidad de permanencia por parte de los estudiantes durante un período más, dado que permanecieron hasta cierta etapa previa. Tales modelos de duración permiten estimaciones relativas al riesgo de abandono, pero también los determinantes de diferentes extensiones temporales del estado del alumno en actividad.
El trabajo aplica modelos de duración para estimar la permanencia esperada de ingresantes a universitario, considerando datos de alumnos de la Universidad Empresarial Siglo 21, correspondientes a la cohorte que inició en el primer cuatrimestre de 2008, el cursado presencial de sus carreras.
La aplicación, con orientación predominantemente instrumental que se analiza, tiene en cuenta los datos de una cohorte de ingresantes en el año 2008, a la cual se le desarrolla un seguimiento desde su inscripción en la Universidad. El trabajo se organiza de la siguiente manera: a continuación se enlistan aplicaciones varias de los modelos de duración, introduciendo las generalidades de este tipo de modelos; en la siguiente sección se mencionan las variables explicativas que se consideran y la evidencia empírica surgida de trabajos referidos a la deserción universitaria, lo cual permite tener una base para el efecto esperado de cada una de las variables sobre el fenómeno de interés. Los resultados y su interpretación son abordados en la siguiente sección. Por último se resumen los principales puntos tratados y se explican los siguientes pasos de la investigación en marcha.
II. Aplicación de modelos de duración a la problemática de la deserción
Distintos fenómenos que permiten ser descritos por alguna sucesión de cambios de estado, con diversidad de trayectorias y prolongaciones de la permanencia en los estados, pueden ser representados a través de modelos de duración.
Los modelos de duración han sido aprovechados en diversas investigaciones aplicadas en ciencias sociales y de la salud. Entre las más difundidas, se destacan modelos considerados para estudiar la duración del desempleo (Montero, 2007; Arranz et al., 2000), la supervivencia ante la presencia de cierta enfermedad (Domènech, 1992), el tiempo transcurrido hasta la primera concepción (Miranda, 2005), o la demora de un graduado en conseguir su primer empleo (Salas-Velazco, 2007), entre otros.
En estudios sobre deserción, la utilización de un modelo de duración implica poder considerar el efecto de diversas variables sobre la permanencia de alumnos hasta la ocurrencia de un abandono.
En el caso de la Universidad Siglo 21, el cursado en la modalidad presencial está organizado en cuatrimestres. En este trabajo se considera abandono los casos en los que el alumno que ingresó en el primer cuatrimestre de 2008 no se reinscribe para cursar uno de los siguientes cuatrimestres, registrando para este estudio el cuatrimestre específico en que se produce la baja.
La Figura 1 muestra, para alumnos que ingresan en cierto período, posibles trayectorias diferenciadas en cuanto a la duración del cursado, así como a los momentos en que ocurren las interrupciones, los abandonos o el egreso.

La deserción del alumno a lo largo del tiempo no es fácilmente identificable en el momento exacto en que se produce, sino que más bien pueden contarse los períodos en que el alumno desarrolló actividades académicas. Como se expuso previamente, la manera de especificar operativamente la deserción se circunscribe a identificar el cuatrimestre en el cual el alumno deja de inscribirse. Esta restricción limita la manera de considerar el aspecto temporal, de una perspectiva continua a una discreta.
La variable aleatoria de interés en este tipo de modelos es precisamente la cantidad de períodos T=0, 1, 2, 3... que el alumno se inscribe o cursa, o desarrolla alguna actividad académica captable a través de registros de la institución.
La aplicación de un modelo de duración a este problema permite estimar la probabilidad de que un alumno abandone sus estudios en cierto período, dado que no lo ha hecho hasta ese momento (a esta probabilidad condicional la denominamos función de riesgo en los modelos de duración). Otra función que aporta información importante en este contexto es la denominada función de supervivencia, e indica cuál es la probabilidad de que la permanencia sea superior a cierto número de períodos.
En síntesis, ambas funciones relacionadas permiten dar respuesta a los interrogantes relevantes en el contexto de la prevención del abandono universitario:
• ¿Qué tan alta es la probabilidad de que un alumno que estuvo activo durante n períodos, abandone en el período n+1?
• ¿Qué tan probable es que un alumno permanezca activo n+1 períodos o más?
• ¿Cuánto se espera que permanezca un alumno, dadas sus características, hasta que se produzca un abandono (transitorio o definitivo)?
• ¿Cuánto se espera que dure un alumno que llegó hasta cierta etapa de cursado hasta que se produzca un abandono (transitorio o definitivo)?
Los modelos de duración aplicados en trabajos similares (Giovanoli, 2005; Lopera Oquendo, 2008; Castillo et al., 2010; Castaño et al., 2004) suponen riesgo proporcional. Se asume así que las funciones de riesgo sólo difieren en un factor, es decir, es constante respecto de las variables independientes.
Las ventajas concretas que conlleva la utilización de este tipo de modelos frente a otros más sencillos, como los modelos binarios, son:
• Toman en cuenta las diferencias entre individuos pero no a lo largo del período de observación considerado, y al mismo tiempo otros aspectos cuya variabilidad también está determinada por el paso del tiempo.
• El resultado que se logra no es sólo una probabilidad de ocurrencia del abandono, como en el caso de los modelos binarios, sino la probabilidad de que el abandono ocurra en cierto período.
• Permiten analizar el período de riesgo, así como las tasas de ocurrencia del evento durante el período considerado.
• Admite observaciones con censura (cuando el evento de interés aún no tuvo lugar, y en consecuencia no hay información completa sobre la duración en esos casos). En el análisis de la permanencia universitaria, tanto los alumnos que se gradúan como los que continúan activos operan como censurados en el modelo estadístico. Para quienes están habituados a los modelos binarios, esta manera de tratar los casos exitosos respecto de la trayectoria educativa (quiénes egresan y quiénes permanecen), es al menos poco intuitiva.
• Las especificaciones disponibles de tiempo discreto permiten adaptar los modelos de duración a la manera en que se suele observar la deserción: se deduce indirectamente tras detectar que el alumno no se ha reinscrito para cursar el siguiente período lectivo.
2.1 Variables explicativas
La identificación e importancia atribuida a los diferentes factores que condicionan la persistencia de los ingresantes universitarios evolucionó, resultando en perspectivas más comprensivas (Tinto, 2006-2007). Siguiendo las clasificaciones propuestas por los estudios de deserción (Rodríguez Laguna, 2008; Castaño et al., 2004) las variables explicativas de la deserción se clasifican entre aspectos individuales, socioeconómicos, académicos e institucionales. Cabe señalar que este trabajo no analiza causas de la deserción,1 sino más bien síntomas que permiten anticipar que tal proceso tiene una elevada probabilidad. A continuación se detallan las variables que preliminarmente integrarán la estimación y las relaciones cuantitativas esperadas.
III. Modelo de supervivencia de Cox
La variable aleatoria T indica la duración del cursado de los alumnos. La función de probabilidad de la variable T está dada por:

La probabilidad de que T sea mayor o igual a cierto valor t, es captada por la función de supervivencia:

Esta función indica la probabilidad de que la duración del fenómeno sea mayor o igual a t. La función de supervivencia está relacionada con la función de riesgo, como puede observarse en la siguiente expresión, ya que el riesgo señala la probabilidad de abandonar en el período corriente, dado que sobrevivió hasta el período previo:

h(t) = Pr (abandonar en el momento t dado que permaneció hasta el cuatrimestre t-1)
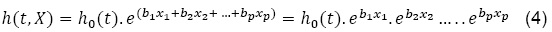
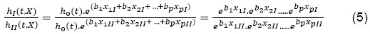
En el modelo de regresión de Cox (Domenech, 1992), la función multivariable que se estima viene dada por:

Para dos individuos cualesquiera (I y II) cumplirán que las tasas de riesgo relativo no dependen de h0(t), es decir, son constante en el tiempo, de allí la denominación modelo de riesgos proporcionales:

En resumen, los supuestos implicados en el modelo de Cox implican:
1. El efecto de las variables predictoras sobre la función de riesgo es log-lineal.
2. La relación entre la función de riesgo y la h0(t) es multiplicativa (proporcionalidad). La violación de este supuesto afecta la validez del modelo.
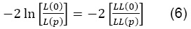
3.1 La significación del modelo
Para verificar la significación global del modelo se utiliza la prueba de razón de verosimilitud al incorporar las variables al modelo. El estadístico

Sigue una distribución Chi cuadrado con p grados de libertad para muestras grandes, donde p es el número de coeficientes estimados.
IV. Muestra considerada
Se considera una muestra de 790 ingresantes a la Universidad Empresarial Siglo 21, de la cohorte 1-2008 (primer semestre de 2008), en la modalidad presencial que cursa en la ciudad de Córdoba, Argentina.

Conforman la muestra todos los estudiantes que respondieron una encuesta vinculada con actividades, actitudes, opiniones y evaluaciones, realizada al inicio del cursado del cuatrimestre. La muestra es autoseleccionada, ya que si bien la encuesta se presentó como obligatoria, no todos los alumnos la completaron.
V. Estimaciones obtenidas
Cada uno de los modelos planteados tiene la particularidad lograr ajustes incrementalmente mejores de la predicción de permanencia o abandono, a medida que incorporan más evidencia de comportamientos de los alumnos.
Modelo 1: al realizar la inscripción. Al completarse el proceso de inscripción del conjunto de alumnos puede aplicarse un primer modelo, con relativamente poca información, el comportamiento futuro.
Entre las variables consideradas, la única que no resulta claramente significativa como determinante de la duración como alumno universitario de la institución, es la Edad (cuyo efecto estimado tiene el signo esperado: a medida que mayor es la edad de ingreso más elevado el riesgo de abandono). El resto de las variables identificadas al momento de la inscripción permiten captar la probabilidad de permanencia con niveles de significación inferiores a 0.10.
Los aspectos que resultan anticipatorios del comportamiento de abandono-permanencia, permiten describir las siguientes relaciones:
• Ser mujer implica, en igualdad de condiciones en los demás aspectos, un 25% más de riesgo de abandono, respecto de los varones.
• Provenir de la propia ciudad de Córdoba o sus alrededores reduce casi un 20% el riesgo de deserción que provenir de otro origen.
• Trabajar en relación de dependencia incrementa casi un 40% el riesgo de abandonar, frente a quienes no lo hacen.
• Si el padre del ingresante tiene estudios universitarios, ya sea por la relación con el nivel socioeconómico del hogar y/o por la importancia otorgada a la mayor escolaridad formal, disminuye un 27% el riesgo de abandono respecto de ingresantes con padres menos instruidos.
Modelo 2: Durante asistencia al cursillo de nivelación. Cuando los alumnos asisten a las clases del cursillo de nivelación, comienzan a enfrentar de forma más tangible la vida universitaria. En la Universidad Empresarial Siglo 21 se desarrolla durante esta etapa un test de habilidades, en el cual -además del contenido específico de la prueba- se indagan aspectos vinculados con la inseguridad en la elección de carrera, el tipo de carrera secundaria que cursó, la percepción de tensión durante la prueba, entre otros.
Además de las variables que habían resultado significativas al momento de la inscripción, en esta instancia también resultan anticipatorias de la supervivencia: la inseguridad en la elección de carrera (en igualdad de condiciones en las demás variables, un alumno con muchas dudas sobre la elección de carrera tiene un 23% más de riesgo de abandono que uno que no se encuentra en tal dilema) y el puntaje obtenido en el test, en particular en la prueba de Razonamiento Verbal (por cada respuesta correcta en el test, el riesgo de abandonar es un 3% menor).
Modelo 3: Durante el cursado del primer cuatrimestre. Al disponer de datos relativos a ciertas dimensiones de índole actitudinal, a partir de reactivos que posibilitan la generación de indicadores, se estima un modelo con mejor ajuste. A partir de los resultados obtenidos sólo el indicador de auto-percepciones de Responsabilidad, resulta significativo en alguna medida, como determinantes del riesgo de abandono en el siguiente período. Mientras más elevado es el indicador de Responsabilidad menor es el riesgo subyacente.
Cabe destacar que en esta instancia deja de resultar significativa la inseguridad en la elección de carrera que estaba asociada con una menor permanencia en el modelo estimado durante el cursillo de nivelación.
Momento 4: Al finalizar el cursado del primer cuatrimestre. Tras finalizar el cursado del primer cuatrimestre se dispone de información de los resultados académicos obtenidos. En esta instancia, no parecen como significativos determinantes tales como el sexo del alumno, ser de otro aglomerado, el resultado en el test DAT y nuevamente, la inseguridad en la elección vocacional. Las variables incorporadas en el modelo resultan ambas significativas como anticipadoras del comportamiento de permanencia.
A mayor Número de materias regularizadas y nota promedio en los parciales, situaciones virtuosas en lo académico, menor riesgo de deserción en el siguiente período.
VI. Consideraciones surgidas de la aplicación del modelo
El uso de modelos de duración tiene asociadas una serie de ventajas con respecto a las estimaciones de probabilidad de abandono utilizando modelos binarios.
El trabajo presenta los elementos implicados en una aplicación de un modelo de duración para el caso de los ingresantes en el primer cuatrimestre de 2008 a la Universidad Empresarial Siglo 21. El desarrollo presenta las características generales de los modelos de duración, y en particular, las del modelo de supervivencia de Cox. El uso de estos modelos tiene lugar en un contexto predictivo en cuatro instancias de la etapa de ingreso universitario.
Los resultados más destacados de la aplicación presentada son:
• Resulta relevante el momento en el cual se va cuantificando el riesgo, ya que a medida que más información se dispone, globalmente el modelo posee mayor capacidad predictiva.
• Los aspectos que resultan significativos en uno y otro momento van modificándose, ya que los elementos emergentes responden a la dinámica que va verificándose en el comportamiento concreto de deserción, es decir, a medida que se concretan algunos abandonos, las variables que implican diferencias en el comportamiento sucesivo van modificándose.
• Los diferentes determinantes identificados cuantifican el riesgo de deserción con signos consistentes con las premisas teóricas de relación entre los diferentes aspectos y la deserción (y por ende, permanencia), al tiempo que replican lo detectado en evidencias de otras aplicaciones empíricas citadas.
• Si bien al disponer de nueva información, en cada momento va ajustándose positivamente la precisión del modelo, a medida que se dispone de más tiempo observado hay más probabilidad de deserciones, y por ende reducción del tamaño de muestra para estimar los comportamientos en los sucesivos cuatrimestres.
Referencias
Arranz, J., Cid, J. C. y Muro, J. (2000). La duración del desempleo en la Argentina. Anales de la Asociación Argentina de Economía Política. Buenos Aires: AAEP. [ Links ]
Bennet, G., Seashore, H. y Wesman, A. (1997). Test de Aptitudes Diferenciales DAT Forma T, Manual. Buenos Aires: Paidós. [ Links ]
Brock, T. (2010). University Young Adults and Higher Education: Barriers and Breakthroughs to Success. The Future of Children, 20(1), 109-132. [ Links ]
Boado, M. (2005) Una aproximación a la deserción estudiantil universitaria en Uruguay. Montevideo: The International Institute for Higher Education in Latin America and the Caribbean: UNESCO. [ Links ]
Cabrera, L., Bethencourt, J., Alvarez Pérez, P. y González Afonso, M. (2006). El problema del abandono de los estudios universitarios. RELIEVE, 12(2). Recuperado de http://www.uv.es/RELIEVE/v12n2/RELIEVEv12n2_1.htm [ Links ]
Carrasco Perea, R. (2001) Modelos de elección discreta para datos de panel y modelos de duración. Cuadernos económicos, 66, 21-49. [ Links ]
Castaño, E., Gallón, S., Gómez, K. y Vásquez, J. (2004). Deserción estudiantil universitaria: una aplicación de modelos de duración. Lecturas de economía, 60, 39-65. [ Links ]
Castillo Caicedoa, M., Osorio Mejía, A. M. y Montero Cuartas, S. (2010). Deserción y retención, en la carrera de Economía de la Pontificia Universidad Javeriana Cali: un análisis de supervivencia, 2000-2008. Economía, Gestión y Desarrollo, 9, 11- 33. [ Links ]
Domènech, J. (1992). Una aplicación del análisis de la supervivencia en ciencias de la salud. Anuario de Psicología, 55, 109-141. [ Links ]
Giovanoli, P. (2002). Determinantes de la deserción y graduación universitaria: una aplicación utilizando modelos de duración. Documento de trabajo, 37. Argentina: Universidad Nacional de La Plata. [ Links ]
Hanushek, E. y Kimko, D. (2000). Schooling, labor-force quality, and the growth of nations. Documento de trabajo 5399. EUA: National Bureau of Economic Research. [ Links ]
Ishitani, T. (2006). Studying attrition and degree completion behavior among first-generation college students in the United States. The Journal of Higher Education, 77(5), 861-885. [ Links ]
Lopera Oquendo, C. (2008). Determinantes de la deserción universitaria en la Universidad del Rosario. Borradores de investigación, 95. [ Links ]
Miranda, A. (2006). Are young cohorts of women delaying first birth in Mexico? Journal of Population Economics, 19(1), 55-70. [ Links ]
Montero, R. (2007). ¿Cuánto dura el desempleo de la población más pobre en Chile?. Cuadernos de Economía, 44, 211-231. [ Links ]
Robertshaw, D. y Wolfle, L. (1983). Discontinuities in schooling and educational attainment. Higher Education, 12(1), 1-18. [ Links ]
Rodríguez Laguna, J. y Hernández Vázquez, J. M. (2008). La deserción escolar universitaria en México. La experiencia de la Universidad Autónoma Metropolitana. Actualidades Investigativas en Educación, 8(1). [ Links ]
Salas-Velasco, M. (2207).The transition from higher education to employment in Europe: the analysis of the time to obtain the first job. Higher Education, 54(3), 333-360. [ Links ]
Tinto, V. (2006-2007). Research and practice of student retention: what next? Journal of College Student Retention, 8(1), 1-19. [ Links ]
1 Parrino (2005, p.3) Indica como causas del fenómeno para el caso latinoamericano "la mala preparación que los alumnos traen por deficiencias de la escuela media, y el funcionamiento aislado que mantiene la universidad respecto del resto del sistema educativo. Sumado a la falta de una oferta que incluya alternativas distintas a las carreras tradicionales y a la inexistencia de acreditaciones parciales que permitan capitalizar el esfuerzo realizado por quien no puede concluir sus estudios".













