Introducción
A pesar de los grandes avances en el tratamiento, la prevalencia de la insuficiencia cardiaca (IC) se encuentra en aumento1, y continúa siendo un importante problema de salud por su alta morbilidad y mortalidad2. Aproximadamente entre el 25 y el 30% de los pacientes hospitalizados por IC aguda descompensada son readmitidos dentro de 30 a 90 días posteriores al alta, y el 50% a los seis meses3-5.
En las últimas décadas se han producido importantes avances en el tratamiento de pacientes con IC con fracción de eyección reducida (ICFEr) con la introducción de fármacos que prolongan la sobrevida y reducen las hospitalizaciones por IC6. Actualmente, la terapia médica modificadora de la enfermedad (TMO) incluye un inhibidor del receptor de angiotensina-neprilisina, un inhibidor de la enzima convertidora de angiotensina (IECA) o un antagonista de receptor de angiotensina II (ARA II), betabloqueante (BB), antagonista de los receptores de mineralocorticoides (ARM) y, más recientemente incorporado, un inhibidor del cotransportador de sodio-glucosa 2 (iSGLT-2)6-8.
La adherencia al TMO se asocia con mejores resultados9-11, sin embargo está infrautilizado12. Los resultados del estudio prospectivo CHAMP-HF mostró brechas significativas en el uso y dosis del TMO13. En relación con datos regionales, disponemos los resultados del registro REPORT-HF, los países de mediano y bajo ingresos presentaron menor tasa de TMO con BB, IECA/ARA II o ARM que en los países de ingresos altos (19 frente a 41% al alta y 15 frente a 37% a los 6 meses)14.
Durante la pandemia de COVID-19 las consultas virtuales aumentaron exponencialmente en este grupo de pacientes15, pero presentan como limitación la imposibilidad de valorar precisamente los signos vitales (SV)16. Siendo esto sumamente importante, dado que se pierde la oportunidad de titulación de medicación específica que modifica el pronóstico de los pacientes con ICFEr.
Este problema podría potencialmente solucionarse mediante una herramienta que pueda medir con precisión la presión arterial (PA) y frecuencia cardiaca (FC) de manera precisa y conveniente en cualquier lugar y en cualquier momento. Los teléfonos móviles inteligentes equipados con tecnología de imágenes ópticas transdérmicas pueden cumplir con estos requisitos, utilizando una nueva aplicación llamada Anura (www.anura.ai, Nuralogix). Esta utiliza una nueva variante de la tecnología de fotopletismografía de videollamada imagen óptica transdérmica para extraer información del flujo sanguíneo de cambios de color imperceptibles en la cara que se capturan con una cámara de teléfono inteligente convencional16,17. Fue creada utilizando un algoritmo basado en machine learning desarrollado con datos de flujo sanguíneo con más de 150 características extraídas de una señal de flujo sanguíneo continuo recopilados simultáneamente de un sistema de medición de PA autorizado por la Food and Drug Administration (FDA) para calcular un equivalente de PA braquial17. La app fue recientemente validada en población de referencia18, cumpliendo con las normas internacionales con respecto a la precisión de la medición de PA. Las características diferenciales de los pacientes con IC podrían afectar la precisión del método para medir los SV en este grupo de pacientes. Hasta nuestro conocimiento, no existen estudios publicados sobre la precisión de este novedoso método de medición de SV en pacientes con IC.
El objetivo de nuestro estudio fue evaluar la precisión de una app basada en una nueva variante de tecnología de fotopletismografía de vídeo facial llamada imagen óptica transdérmica para estimar los SV en relación con la valoración clínica en pacientes con IC.
Métodos
Estudio de cohorte prospectivo, de febrero a abril del 2022. Fueron incluidos pacientes mayores de 18 años con historia de IC diagnosticada por signos, síntomas y objetivación de anormalidad cardiaca estructural o funcional (preferente, pero no exclusivamente, en un ecocardiograma), en seguimiento por una unidad de IC. Se incluyeron pacientes atendidos en tres consultorios ambulatorios con atención semanal durante el horario de 8 a 17 horas.
Se excluyeron los pacientes en ritmo de fibrilación auricular o ritmo irregular al momento de la evaluación y aquellos que no desearon participar. Adicionalmente fueron excluidos aquellos pacientes en los que no se pudo tomar un registro adecuado con la app móvil luego de tres intentos.
Se valoró simultáneamente con una diferencia menor a 10 minutos la presión arterial sistólica (PAS) y diastólica (PAD) y FC mediante la app y el examen clínico por dos médicos especialistas en IC de forma ciega a los resultados. En la figura 1 se resume el diseño.

Figura 1 Diseño de estudio. FC: frecuencia cardiaca; PAD: presión arterial diastólica; PAS: presión arterial sistólica.
Medición no invasiva mediante examen clínico
Para la medición de PA se utilizó el tensiómetro de brazo automático Omron®. Luego de un reposo de 5 minutos, la PA se midió inicialmente en la parte superior de ambos brazos y se tomaron tres registros de PAD y PAS del brazo con mayor valor. Se repitió una cuarta medición cuando entre las mediciones hubo una diferencia > 10 mmHg. Se utilizó un manguito de presión estándar (12-13 cm de ancho y 35 cm de largo) y se colocó la mano del paciente al nivel del corazón, con la espalda y el brazo apoyados para evitar incrementos de PA dependientes de la contracción muscular y el ejercicio isométrico19.
La FC se midió por palpación del pulso braquial durante un minuto.
Aplicación móvil
Anura® es una aplicación para teléfonos inteligentes que determina la PA y FC a partir de la información del flujo sanguíneo facial obtenida de un vídeo facial20. El proceso de obtención de imágenes ópticas transdérmicas implica: 1) capturar vídeo de la cara con una cámara convencional; 2) extraer imágenes espacio-temporales de la concentración de hemoglobina de los planos de bits de los canales de imagen rojo, verde y azul mediante el uso de aprendizaje automático avanzado; 3) procesar la señal de hemoglobina de 17 regiones de interés diferentes localizadas en frente, nariz, mejilla, labio, barbilla y surco nasolabial; 4) extraer características de estas señales, y 5) utilizar un modelo de predicción de la PA entrenado con algoritmos avanzados de aprendizaje automático para indicar la PA a partir de estas señales17 (Fig. 2). Está diseñado para usarse con luz ambiental con el teléfono inteligente en la mano y el usuario mirando la pantalla con la cara a la vista de la cámara frontal.

Figura 2 Aplicación móvil para determinar signos vitales con esquema de imágenes ópticas transdérmicas (adaptada de Luo et al., 201917).
Luego de la evaluación clínica en consultorio los pacientes fueron dirigidos a una sala de estudio tranquila y sentados frente a iluminación natural y artificial, donde permanecieron en reposo 5 minutos. Se tomó la captura cuando la calidad de iluminación y de vídeo fue máxima (5 puntos/5 total) y realizó la medición durante 30 segundos (Fig. 2). Se tomaron tres mediciones.
Criterios de evaluación
Se realizó el análisis de acuerdo con los criterios de precisión de los estándares universales ANSI/AAMI/ISO 81060-2:201321,22. Para el criterio 1, calculamos la diferencia media (sesgo) entre la medida de referencia y la medida de app (referencia – app) y su desviación estándar (DE) en los pares de medidas tanto para PAS como PAD. El dispositivo cumple el criterio 1 si el error medio está dentro de los 5 mmHg de cero y su DE es menor o igual a 8 mmHg. Para el criterio 2, se calculó la diferencia media promedio para cada sujeto, y luego se calculó la DE y media de este valor en todos los pacientes. El dispositivo de prueba cumple el criterio 2 si su DE está por debajo de un valor de corte determinado (basado en la diferencia media).
Ocultamiento y procesos de cegamiento
Tanto el médico que realizó la medición de PA y FC mediante la app como el que realizó la medición por examen clínico estarán ciegos a los resultados de los SV obtenidos por el otro método.
Análisis estadístico
Las variables continuas se expresaron según su distribución, como media o mediana, con su correspondiente DE y rango intercuartílico. Se utilizó la prueba de Kolmogorov-Smirnov o Shapiro-Wilk según el tamaño de la muestra para determinar la normalidad de la distribución. Para comparación de las variables continuas se utilizó la prueba t de Student o la prueba U de Mann-Whitney, según su distribución. Las variables categóricas se expresaron como números y porcentajes.
Los datos se analizaron de acuerdo con los requisitos ANSI/AAMI/ISO y ESH IP2. Los datos se expresaron como la media ± DE, y también se describieron los valores mínimo y máximo. La media de cada par de mediciones del observador se calculó como valor de referencia. La diferencia entre el valor medio del observador y los valores de prueba se calcularon de acuerdo con los protocolos y se mostraron como gráficos de Bland-Altman frente a la media entre los dos valores. Se realizó un análisis de regresión lineal para evaluar el sesgo proporcional.
Consideraciones éticas
Este estudio fue evaluado por el comité de ética ICBA y está registrado en la plataforma PRIISA.BA del Ministerio de Salud de la CABA. El estudio se llevó a cabo en concordancia con las normas nacionales e internacionales de protección de sujetos en investigación como Declaración de Helsinki última versión, resolución ministerio de salud nacional 1480/2011, ley CABA (si aplica) 3301, resolución ANMAT 6677/10 y modificaciones 4008 y 4009. Los pacientes firmaron un consentimiento informado posterior a la explicación del estudio.
Resultados
Se incluyeron 30 pacientes, con una edad media de 66 (± 13) años, el 53.3% de sexo masculino. La fracción de eyección ventricular izquierda media fue de 37 ± 15%, con hospitalizaciones previas por IC el 63.3%, en CF II-III el 63.4%. En la tabla 1 se resumen las características basales de los pacientes incluidos.
Tabla 1 Características basales
| n = 30 | |
|---|---|
| Edad en años (media ± DE) | 66 ± 13 |
| Sexo masculino (n, %) | 16 (53.3) |
| Hipertensión arterial (n, %) | 14 (46.7) |
| Dislipemia (n, %) | 13 (43.3) |
| Extabaquista (n, %) | 9 (30) |
| Diabetes (n, %) | 7 (23.3) |
| Fibrilación auricular paroxística (n, %) | 8 (26.7) |
| Enfermedad coronaria (n, %) | 7 (23.3%) |
| Fracción de eyección del ventrículo izquierdo < 40% (n, %) | 16 (53.3) |
| Fracción de eyección del ventrículo izquierdo (media ± DE) | 37 ± 15 |
| Hospitalización previa por IC (n, %) | 19 (63.3) |
| Clase funcional NYHA (n, %) | |
| I | 8 (26.7) |
| II | 14 (46.7) |
| III | 5 (16.7) |
| IV | 3 (10) |
| Tratamiento basal | |
| Betabloqueantes (n, %) | 22 (73.3%) |
| Antagonista de mineralocorticoides | 20 (66.7%) |
| IECA, ARA II o sacubitrilo-valsartán | 23 (76.7) |
| iSLGT-2 (n, %) | 9 (30) |
| Furosemida (n, %) | 21 (70) |
DE: desviación estándar; NYHA: New York Heart Association; iSGLT-2: inhibidores del cotransportador sodio-glucosa 2; IECA: inhibidores de la enzima convertidora de angiotensina; ARA II: antagonista de los receptores de angiotensina II.
Se analizaron un total de 540 mediciones de PA y de FC por ambos métodos. La PAS media por clínica y app fue 116 ± 22 mmHg y 112 ± 22 (p = 0.1), la PAD por clínica fue 70 ± 14 mmHg y por la app 68 ± 13 (p = 0.4) y la FC 65 lpm ± 13 en la valoración clínica y por app 66 lpm ± 13 (p = 0.7) (Tabla 2).
Tabla 2 Signos vitales según medición clínica y por app
| Clínica | app | p | |
|---|---|---|---|
| PAS (media y DE) | 116 ± 22 mmHg | 112 ± 22 mmHg | 0.1 |
| PAD (media y DE) | 70 ± 14 mmHg | 68 ± 13 mmHg | 0.4 |
| FC (media y DE) | 65 ± 13 lpm | 66 ± 13 lpm | 0.7 |
DE: desviación estándar; PAS: presión arterial sistólica; PAD: presión arterial diastólica; FC: frecuencia cardiaca.
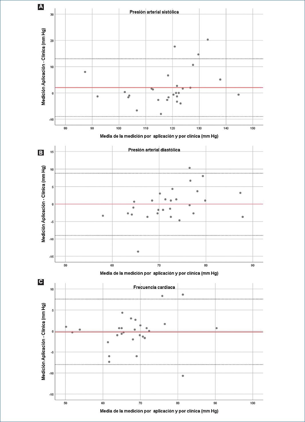
La diferencia media entre la medición de la app y su medición de referencia clínica fue de 3.6 ± 0.5 mmHg para PAS; 0.9 ± –0.2 mmHg para PAD; y 0.2 ± 0.4 lpm para FC (Figs. 3A, B y C). Ambos están dentro del límite aceptable de 5 ± 8 mmHg y, por lo tanto, satisfacen el criterio de precisión 1. Cuando se promedian las diferencias medias emparejadas para cada paciente, la media entre los 30 pacientes es de 2 ± 6 mmHg para PAS, –0.14 ± 4.6 mmHg para PAD y 0.23 ± 4 lpm para FC. Estos están dentro de límites aceptables y, por lo tanto, satisfacen el criterio de precisión 2. Con el modelo de regresión lineal aplicado para el análisis de Bland-Altman, los dos métodos no parecieron tener un sesgo proporcional (PAS p = 0.161, PAD p = 0.056 y FC p = 0.48).
Discusión
En nuestro trabajo, la utilización de una app con tecnología de imagen óptica transdérmica fue comparable a la medición no invasiva en pacientes con IC, ya que permitió medir con una precisión aceptable la FC y la PA.
Yang et al. también evaluaron esta aplicación constatando una adecuada correlación de valores entre el método convencional y el transdérmico18. Sin embargo, los individuos incluidos en este estudio eran sujetos sanos.
En la actualidad existe un creciente interés en dispositivos que puedan evaluar los SV sin contacto (contactless), ya sea por teléfono inteligente o cámara web23. Recientemente en una revisión sistemática y metaanálisis se evaluó un dispositivo sin contacto vs. dispositivo médico de referencia; y utilizó la cara de los participantes para la medición. Se incluyeron 26 estudios en la revisión, el 92% de los estudios midieron la FC (92%) y solo el 12% la PA. La mayoría de los estudios tenían un tamaño de muestra pequeño (≤ 30 participantes) y se realizaron en un entorno de laboratorio. Este metaanálisis encontró que los monitores de SV sin contacto de grado de consumidor eran precisos en comparación con un dispositivo médico para medir la FC y se necesitan más estudios para evaluar la precisión de los monitores de PA24.
Creemos que a pesar de que los pacientes con IC suelen tener algunas características que podrían afectar la medición transdérmica de sus SV, su presión fue satisfactoria en nuestro trabajo porque eran ambulatorios y estaban relativamente compensados. Es posible que en pacientes descompensados gravemente, la utilización de esta tecnología pueda no ser tan precisa.
De confirmarse esta información en otros trabajos, podría incluirse esta tecnología dentro de las herramientas útiles para manejar a los pacientes con IC a distancia. El uso de la telemedicina en este grupo de pacientes ya ha mostrado ser factible y útil. Cualquier avance tecnológico que facilite la salud digital por medio del celular probablemente sea beneficiosa no solo por mejorar el acceso y reducir traslados innecesarios, sino también por facilitar la titulación de fármacos con probada eficacia para reducir la morbimortalidad de estos pacientes.
La medición presenta múltiples ventajas, en la actualidad los teléfonos inteligentes con esta tecnología se encuentran ampliamente disponibles sin requerir ningún otro equipamiento especial y la ubicuidad de los teléfonos inteligentes hace que se pueda medir la PA en cualquier momento y lugar. Las mediciones de PA basadas en manguitos requieren un equipo que es inconveniente para algunas personas y disuade del monitoreo regular en el hogar.
Como limitaciones de este estudio debemos mencionar que la medición fue realizada en condiciones controladas y supervisadas por un médico garantizando la técnica e iluminación adecuada. Este estudio evaluó su precisión en estrecha conformidad con el estándar ANSI/AAMI/ISO 81060-2:2013 para dispositivos de medición de PA, sin embargo estos estándares no fueron creados para dispositivos sin manguito. Adicionalmente los pacientes con fibrilación auricular o pulso irregular no se encuentran representados en este estudio.
Finalmente, podemos plantear como perspectivas futuras que la utilización de esta nueva tecnología brinda datos prometedores, que deberán ser corroborados en cohortes de mayor tamaño.
Conclusión
A partir de este estudio podemos concluir que la estimación de PA y FC por una app con tecnología de imagen óptica transdérmica fue comparable a la medición no invasiva en pacientes con IC. Cumple los criterios de precisión de la medición de PA en este grupo de pacientes.
La utilización de esta nueva tecnología brinda datos prometedores, que deberán ser corroborados en cohortes de mayor tamaño. Planteando en un futuro la hipótesis de guiar la titulación de medicación modificadora de pronóstico en pacientes con IC y fracción de eyección reducida de forma remota mediante aplicaciones móviles ampliamente disponibles y accesibles en teléfonos inteligentes que estimen con precisión los SV.










nueva página del texto (beta)



