Introducción
En el año 1929 el joven médico alemán Werner Forssmann se efectuó a sí mismo un cateterismo derecho a través de una vena antecubital.
La primera intervención pediátrica fue la septostomía con balón, en un recién nacido con transposición de las grandes arterias (TGA), descrita en 1966 por William Rashkind.
El cateterismo cardiaco entonces pasó de ser un procedimiento diagnóstico en las cardiopatías congénitas (CC) a una alternativa terapéutica intervencionista.
La incorporación de técnicas de intervencionismo percutáneo y el advenimiento de dispositivos para el tratamiento endovascular cambió radicalmente el escenario terapéutico.
Sin embargo, las complicaciones (C) están presentes y se incrementan en relación con la complejidad del procedimiento1-8.
El objetivo de este trabajo es presentar un score ajustado al riesgo (SR) para predecir las C con variables previas al cateterismo.
Material y métodos
Este estudio es un análisis observacional analítico, ambispectivo.
Los cateterismos fueron realizados entre octubre de 1987 y mayo de 2019 con la participación del operador (RG) en sucesivas instituciones en Argentina: Hospital de Niños Sor María Ludovica de La Plata (1987 a 1992), Instituto Universitario de Cardiología y Cirugía Cardiovascular Fundación Favaloro (1992 a 2010), Hospital de Alta Complejidad El Cruce, Florencio Varela (2010 a 2019) y Cardiovascular Villa Mercedes, San Luis (desde 1992 a 2019).
Los pacientes sometidos a cateterismo fueron niños y adultos con CC, en control y seguimiento por los servicios de cardiología infantil, ambulatorios o internados en unidad de terapia intensiva (UTIP) o recuperación de cirugía cardiovascular. Los adultos también fueron tratados por los servicios pediátricos, con manejo multidisciplinario, desde el año 19929. Se excluyeron los procedimientos electrofisiológicos.
Los casos fueron incorporados en una base de datos con el diagnóstico de su CC, tipo de cateterismo (diagnóstico o intervencionista), C mayores (CM) y menores (Cm) encontradas en relación con el procedimiento y la puntuación del SR.
Se aplicó el SR a la serie retrospectiva (n = 2,953) y se validó con la serie prospectiva (n = 551).
Las C se clasificaron como CM cuando representaron un daño irreversible o provocaron la suspensión del procedimiento: arritmia grave (que requiere cardioversión, marcapasos o suspensión del procedimiento), perforación cardiaca, C vasculares que requirieron exploración quirúrgica o nuevo intervencionismo, cirugía de urgencia (embolización de dispositivo), accidente cerebrovascular y muerte (hasta 72 h del procedimiento).
Las Cm se resolvieron durante o después del procedimiento y permitieron completar este sin dejar secuelas.
Score ajustado al riesgo
Se diseñó un SR que permite una evaluación previa al procedimiento (Tabla 1). Se estableció una sumatoria con base en cuatro variables independientes: edad, CC, tipo de procedimiento y estado clínico previo
Tabla 1 Score de riesgo
| Variable independiente | Puntos | Valor p |
|---|---|---|
| Edad | < 0.001 | |
| RN | 4 | |
| < 1 a | 3 | |
| > 18 a | 3 | |
| 1 a 17a | 2 | |
| Cardiopatía | < 0.001 | |
| Complejas UNI y BIV | 7 | |
| Moderadas | 3 | |
| Simples | 1 | |
| Procedimiento | < 0.001 | |
| INT complejo | 7 | |
| Angioplastia con stent | 7 | |
| CIA/PFO | 5 | |
| PDA | 5 | |
| INT simples | 5 | |
| DIAG | 2 | |
| Estado clínico | < 0.001 | |
| Postop CCV | 6 | |
| UTIP | 3 | |
| Ambulatorio postoperatorio | 1 | |
| Ambulatorio | 1 |
RN: recién nacido; UNI: univentriculares; BI: biventriculares; INT: intervencionismo; CIA: comunicación interauricular; PFO: foramen oval permeable; PDA: conducto arterioso; DIAG: estudios diagnósticos; CCV: cirugía cardiovascular; UTIP: unidad de terapia intensiva.
Referencias tabla 1
| Complejas univentriculares | Complejas biventriculares |
|---|---|
| Ventrículo único | Transposición de las grandes arterias |
| Atresia tricúspide | Doble salida de ventrículo derecho |
| Hipoplasia de cavidades izquierdas | Tronco arterioso |
| Isomerismos derecho o izquierdo | Anomalía total del retorno venoso pulmonar |
| Interrupción del arco aórtico | |
| Tétrada de Shone | |
| CoAo con CIV | |
| Moderadas | Simples |
| Tetralogía de Fallot | Estenosis aórtica (> 6 meses) |
| Atresia pulmonar con CIV | Coartación de aorta |
| Atresia pulmonar con septum intacto | Estenosis subaórtica |
| Hipertensión pulmonar primaria | Estenosis supraaórtica |
| Hipertensión pulmonar secundaria | Estenosis mitral congénita |
| Miocardiopatías | Estenosis de venas pulmonares |
| Estenosis pulmonar en < 6 meses | Comunicación interauricular |
| Estenosis aórtica en < 6 meses | Comunicación interventricular |
| Fístula coronaria | Anomalía parcial del retorno venoso |
| Ventana aortopulmonar | Canal auriculoventricular completo |
| Ruptura de seno de Valsalva | Estenosis pulmonar (> 6 meses) |
| Estenosis de ramas pulmonares | |
| Conducto arterioso permeable |
CIV: comunicación interventricular; CoAo: coartación de aorta.
- Edad: a los recién nacidos (RN) (hasta 30 días de vida) se les asignaron 4 puntos, a los menores de un año puntaje 3, entre 1 y 17 años puntaje 2 y los adultos ≥ 18 a recibieron 3 puntos.
- Cardiopatía: se las dividió en tres categorías: simples, moderadas (p. ej., con hipertensión pulmonar) y complejas (univentriculares [UNI] y biventriculares [BIV]), asignándoles 1, 3 y 5 puntos respectivamente.
Los defectos residuales postoperatorios alejados cambian la categoría de la CC, por ejemplo, la estenosis supravalvular pulmonar en postoperatorio del switch arterial en la TGA adquiere la puntuación de estenosis pulmonar. Se actualizar la nueva categoría de acuerdo con la situación anatómica presente.
- Procedimiento: a los diagnósticos se les asignó un valor de 2 puntos. Las intervenciones terapéuticas se categorizaron en simples-moderados con puntaje 5 y complejas (stent ductal, cierre de comunicación interventricular y angioplastias varias con stent), con 7 puntos.
- Estado clínico previo: ambulatorio 1 punto (incluye ambulatorio postoperatorio tardío), 3 puntos paciente internado en UTI con drogas inotrópicas, prostaglandinas o asistencia respiratoria mecánica y 6 puntos en postoperatorio inmediato de cirugía cardiovascular.
Se estableció empíricamente un riesgo bajo (verde) cuando la suma es entre 5 a 7 puntos, riesgo intermedio (amarillo) cuando es entre 8 a 11 puntos y riego alto (rojo) cuando el score es de 12 a 22 puntos (Tabla 1).
Análisis estadístico
Los análisis estadísticos fueron efectuados utilizando el software SPSS versión 15.0.
Se efectuó un estudio observacional, analítico y ambispectivo de 3,504 casos consecutivos. La serie prospectiva se utilizó para validación del score e incluyó los últimos 551 casos.
Los datos son presentados como porcentajes, medianas con rangos, medias ±1 desviación estándar. Las C son presentadas como porcentaje del total de procedimientos o población en riesgo de un evento. Un valor de p < 0.05 se consideró estadísticamente significativo.
Se realizaron pruebas de χ2 de Pearson para analizar la asociación de la variable dependiente C y las siguientes independientes: edad, cardiopatía, procedimiento y estado clínico.
Se efectuó un modelo predictivo mediante la regresión logística binaria; para seleccionar las variables que conformaron el modelo se usó el método «hacia adelante» o forward, para lo cual se utilizó como criterio de selección la prueba de Ward.
Para analizar la probabilidad de C, se clasificaron los casos en dos grupos establecidos por la variable dependiente C dicotómica o binaria. Para la interpretación de los resultados de la regresión logística se calcularon los odds ratios (OR).
La calibración del método se evaluó por medio de la prueba de bondad del ajuste de Hosmer-Lemeshow.
Se determinó la relación entre el score de riesgo y las C. Se efectuaron pruebas de χ2 de Pearson y posteriormente una regresión logística binaria, con las mismas especificaciones del primer modelo, pero siendo la variable dependiente C y las independientes: score alto (rojo), moderado (amarillo) y bajo (verde). Se realizó también la calibración mediante la prueba de Hosmer-Lemeshow.
La validación del score se hizo de manera interna y temporal. Se utilizó para esta la serie prospectiva, que incluyó 551 casos. Permitió comparar y analizar los últimos 10 años con los primeros 20, con 2,953 procedimientos retrospectivos. Se usó la prueba de Hosmer-Lemeshow complementado con la curva ROC (receiver operating characteristic).
Resultados
Se analizaron 3,504 cateterismos en 2.848 pacientes entre octubre de 1987 y agosto de 2019. En 381 casos (13.3%) se efectuaron dos o más procedimientos, hasta un máximo de 15 en un mismo paciente.
El rango de edad fue desde 1 día de vida hasta 81 años, mediana de 11.7 a; 1,751 casos fueron mujeres (51%). Los RN, menores de 30 días, fueron 237 (6.8%); menores de un año, 580 (16.6%); niños entre 1 y 17 años, 1,869 (53.3%), y adultos 818 casos (23.3%).
Los diagnósticos fueron 2,190 casos y las intervenciones 1,314. Se presentaron 177 C (5%), siendo CM 66 (1.9%) y Cm 111 (3.1%) (Tabla 2).
Tabla 2 Distribución de las complicaciones
| Tipo de complicación | Frecuencia (%) |
|---|---|
| Mayores | 66 (1.9) |
| Cirugía de urgencia | 19 (0.54) |
| Embolización de dispositivo | 8 |
| Perforación cardiaca | 7 |
| Crisis de hipoxia | 2 |
| Recuperación catéter | 2 |
| Muerte | 15 (0.4) |
| En relación con el CAT | 6 (0.17) |
| Emergente UTIP | 9 (0.22) |
| Vascular (cirugía) | 12 (0.34) |
| Desgarro arterial | 7 |
| Fístula AV | 3 |
| Ruptura vena femoral | 1 |
| Recuperación venosa de stent | 1 |
| Arritmia grave (MCP o suspensión) | 11 (0.17) |
| TPS | 5 |
| FV | 3 |
| FA/aleteo A | 2 |
| BAVC | 1 |
| Perforación operada | 6 (0.17) |
| ACV | 3 (0.08) |
| Menores | 111 (3.1) |
| Vasculares | 36 (1) |
| Arteriales, déficit de pulso | 32 (0.9) |
| Trombosis venosa (CAT previo) | 4 (0.1) |
| Crisis de hipoxia | 16 (0.4) |
| TF | 9 |
| TGA | 3 |
| Otras | 4 |
| Relacionado con catéter/dispositivos | 12 (0.3) |
| Embolización/malposición | 9 |
| Ruptura catéter | 3 |
| Arritmia | 9 (0.25) |
| TPS | 5* |
| BAVC | 2 |
| FA | 2 |
| Derrame pericárdico | 9 (0.25) |
| Descompensación hemodinámica | 7 (0.19) |
| Hemorragia (transfusión) | 6 (0.17) |
| Otras | 16 |
*Un paciente tuvo tres episodios en cateterismos diferentes. ACV: accidente cerebrovascular; AV: auriculoventricular; BAVC: bloqueo auriculoventricular completo; FA: fibrilación auricular; FV: fibrilación ventricular; TF: tetralogía de Fallot; TGA: transposición de las grandes arterias; TPS: taquicardia paroxística supraventricular; UTIP: unidad de terapia intensiva.
El grupo etario con mayores C fue el de los RN. Los adultos presentaron iguales C que los < 1 a y superaron a los niños entre 1 y 17 a en CM.
Las intervenciones tuvieron más C (7.7 vs. 3.4%; p < 0.001). Sin embargo, si comparamos las intervenciones con los diagnósticos en CC complejas UNIV y BIV (n = 510), estos tuvieron iguales C que las intervenciones (6.6 vs. 7.7% respectivamente; p = 0.420).
Las C vasculares fueron las más frecuentes, presentándose en el 1.3% de los casos, de las cuales un 25% fueron CM (0.34% del total de C) y necesitaron exploración vascular. La mitad de los casos fueron en menores de 1 a. No hubo diferencia entre diagnóstica y terapéutica.
La cirugía de urgencia8 fue necesaria en el 0.54% de los casos. En el 79% fueron intervenciones, habiendo ocho embolizaciones de dispositivos de comunicación interauricular (CIA) y siete perforaciones cardiacas.
En las intervenciones off label no se presentaron C serias10-14.
El análisis de los extremos de la serie, comparando dos épocas diferentes del método, demostró que en los primeros 500 casos se presentaron 7 CM (1.4%) vs. 11 (2.2%) en los últimos 500 (p = 0.341) a pesar de que las intervenciones pasaron del 13.8 al 69.2% de los casos (p < 0.001). La mortalidad fue del 0.6% en los 500 primeros y del 0.2% en los últimos (p = 0.316).
Quince pacientes fallecieron dentro de las 72 h del procedimiento (0.4%). El 73.3% fueron score rojo. El óbito en relación directa con el procedimiento se presentó en 6 pacientes (0.17). En siete de nueve casos la muerte se presentó en situación de urgencia postoperatoria y shock hemodinámico. (Tabla 3).
Tabla 3 Muertes en relación con el procedimiento*
| Fecha | Edad | Cardiopatía | CAT | Causa | Observaciones | Score |
|---|---|---|---|---|---|---|
| 04/10/1988 | 3 a | Senning | DIAG | Asistolia | POP | Rojo |
| 08/04/1991 | RN | Tronco art. | DIAG | Asistolia | Shock | Rojo |
| 20/09/1991 | RN | EP crítica | INT | Asistolia | Desgarro TSVD | Rojo |
| 16/11/1993 | 25 a | CIA OP | DIAG | Reflejo vagal | Introductor | Verde |
| 01/03/1995 | 2 m | VU CoAo | DIAG | Asistolia | POP | Rojo |
| 23/05/1995 | 66a | CIA HP | DIAG | Hemotórax | Cirugía urg. | Ama |
| 24/11/1999 | 2 a | CIA | INT | Asistolia | Cirugía urg. | Ama |
| 12/10/2000 | 3 m | VU AP ASP | INT | Shock | Trombectomía | Rojo |
| 30/05/2001 | 6 a | Fallot | DIAG | Asistolia | POP | Rojo |
| 19/01/2005 | RN | CoAo EM CIV | DIAG | Perforación AI | Shock | Rojo |
| 16/12/2005 | RN | HLHS | INT | Shock | Migra stent PDA | Rojo |
| 10/06/2006 | 25 a | Fontan rec. | INT | Shock | Stent POP | Rojo |
| 14/11/2007 | 5 a | CIV | INT | Muerte súbita | Emboliza 36 h | Ama |
| 02/08/2000 | RN | TGA | INT | Fallo multisistémico | Rashkind | Rojo |
| 02/02/2016 | RN | TGA | INT | Desgarro VCI | Rashkind | Rojo |
*En negrita: casos en donde el óbito está directamente relacionado con el procedimiento.
DIAG: diagnóstico; INT. Intervencionismo; EP: estenosis pulmonar; CIA OP: comunicación interauricular ostium primun; VU. Ventrículo único; CoAo: coartación de aorta; HP: hipertensión pulmonar; AP: atresia pulmonar; ASP: anastomosis sistémico pulmonar; EM: estenosis mitral; CIV: comunicación interventricular; HLHS: hipoplasia de corazón izquierdo; Rec: reconversión de cirugía de Fontan; TGA: transposición de las grandes arterias; VCI: vena cava inferior; AI: aurícula izquierda; POP: postoperatorio de cirugía cardiovascular; TSVD: tracto de salida de ventrículo derecho; PDA: conducto arterioso permeable; Ama: amarillo.
Con base en el SR se identificaron tres categorías: verde, amarillo y rojo. Los casos de SR verde fueron 825 (23.6%), los amarillos 2,221 (63.4%) y los rojos 458 (13%), pero el 42.4% de las CM se presentaron en el score rojo, con el 73.3% de la mortalidad.
Las CM se asociaron a los pacientes con score rojo con una diferencia estadísticamente significativa respecto de los casos con score amarillo y verde. Las CM del score verde fueron del 0.7%, las del amarillo 1.4% y las del rojo 6.3% (p < 0.001). El total de C fue del 12% para el rojo, el 4.9% para el amarillo y el 1.5% para el score verde (p < 0.001) (Tabla 4).
Tabla 4 Complicaciones según score*
| Score | CM | Muerte | Cm | Total |
|---|---|---|---|---|
| Verde (n = 825) | 6 (0.7%) p = 0.116 | 1 (0.1%) p = 0.833 | 6 (0.7%) p < 0.001 | 12 (1.5%) p < 0.001 |
| Amarillo (n = 2,221) | 32 (1.4%) p < 0.001 | 3 (0.13%) p < 0.001 | 78 (3.5%) p = 0.053 | 110 (4.9%) p < 0.001 |
| Rojo (n = 458) | 28 (6.3%) | 11 (2.4%) | 27 (6.3%) | 55 (12%) |
| Totales (n = 3,504) | 66 (1.9%) | 15 (0.4%) | 111 (3.1%) | 177 (5%) |
*Existe diferencia estadísticamente significativa (p < 0.05) entre las CM y muerte entre rojo y amarillo y entre rojo y verde. También hay diferencia significativa (p = 0.0004) en las Cm entre rojo, amarillo y verde. No existe diferencia en CM entre verde y amarillo. El score rojo es el 13% de la base de datos, con el 42.4% de las CM y el 73.35 de los óbitos. CM: complicaciones mayores; Cm: complicaciones menores.
Análisis estadístico
El análisis del comportamiento de las variables discriminadas se observa en la tabla 5. Respecto a las pruebas χ2 de Pearson, la asociación entre las C y las variables independientes presentó en todos los casos un valor de p < 0.001.
Tabla 5 Comparación de características según grupo complicaciones pruebas χ2 de Pearson
| Variable | Complicaciones (número, %) | p | |
|---|---|---|---|
| Sí | No | ||
| Edad | < 0.001 | ||
| Edad 1 (RN) | 24/177 (13.55) | 213/3,327 (6.40) | |
| Edad 2 (< 1 y > 18 a) | 87/177 (49.15) | 1,311/3,327 (39.40) | |
| Edad 3 ( 1-17a ) | 66/177 (37.28) | 1,803/3,327 (54.19) | |
| Tipo de cardiopatía* | < 0.001 | ||
| Cardiopatía 1 | 45/177 (25.42) | 540/3,327 (16.23) | |
| Cardiopatía 2 | 76/177 (42.93) | 1,265/3,327 (38.02) | |
| Cardiopatía 3 | 56/177 (31.63) | 1,522/3,327 (45.74) | |
| Tipo de procedimiento† | < 0.001 | ||
| Procedimiento 1 | 23/177 (12.99) | 115/3,327 (3.45) | |
| Procedimiento 2 | 79/177 (44.63) | 1,060/3,327 (31.86) | |
| Procedimiento 3 | 75/177 (42.37) | 2,152/3,327 (64.68) | |
| Clínica previa‡ | < 0.001 | ||
| Clínica 1 | 13/177 (7.34) | 89/3,327 (2.67) | |
| Clínica 2 | 41/177 (23.16) | 373/3,327 (11.21) | |
| Clínica 3 | 82/177 (46.32) | 2,263/3,327 (68.01) | |
| Clínica 4 | 41/177 (23.16) | 602/3,327 (18.09) | |
*Cardiopatía 1: complejas (univentriculares y biventriculares); cardiopatía 2: moderadas; cardiopatía 3: simples (ver Tabla 1).
†Procedimiento 1: cierre de CIV, angioplastia con stent; procedimiento 2: otras INT; procedimiento 3: DIAG.
‡Clínica 1: postoperatorio inmediato de cirugía cardiovascular; clínica 2: paciente en UTIP; clínica 3: ambulatorio; clínica 4: ambulatorio postoperatorio tardío. CIV: comunicación interventricular; DIAG: diagnóstico; INT: intervencionismo; RN: recién nacido; UTIP: unidad de terapia intensiva.
La asociación entre variables del score y C evidencia un valor p < 0.001.
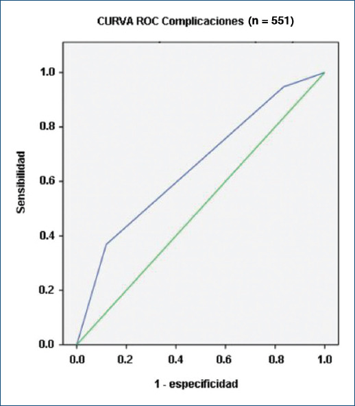
La prueba de Hosmer-Lemeshow demostró que no hubo diferencias significativas entre los resultados observados retrospectivos (n = 2,953) y los prospectivos (n = 551) por el modelo (c2: 1.669; p = 0.893). Quedó en evidencia que los valores predichos por la regresión logística son similares a los observados. También se utilizó la curva ROC. En la serie retrospectiva la curva ROC presentó un área bajo la curva (AUC) de 0.686 (intervalo de confianza del 95% [IC 95%]: 0.593-0.779) y en la serie prospectiva la curva ROC mostró un AUC de 0.69 (IC 95%: 0.659-0.738) (Tabla S1 y Figs. 1 y 2).
Discusión
Desde hace más de una década existe mucho interés por las C de los cateterismos en CC en niños y adultos1-8,15-18.
El programa C3PO es una herramienta útil para el registro multicéntrico de las C de hemodinamia en CC. Permite analizar los eventos adversos según el tipo de procedimiento, operador e institución6.
Se ha reportado un rango de C entre el 6.7 y 24%1-8. Esta casuística muestra un 5%, con un 1.9% de CM y un 3.1% de Cm.
Las publicaciones muestran que los niños pequeños tienen más eventos adversos y que las intervenciones presentan más riesgo de C que los estudios diagnósticos. En este trabajo demostramos que los adultos tienen iguales CM que los niños menores de un año. El score presentado incluye en su análisis el tipo de cardiopatía (diferente del tipo de procedimiento). Evidenciamos que los diagnósticos en CC complejas presentaron iguales C que las intervenciones. Este dato es relevante.
El score CHARM considera ocho variables de riesgo: 1) edad; 2) insuficiencia renal; 3) fisiología univentricular; 4) tipo de procedimiento; 5) baja saturación sistémica; 6) baja saturación venosa mixta; 7) elevada presión de fin de diástole del ventrículo sistémico, y 8) alta presión pulmonar15. Los cuatro últimos datos solo pueden obtenerse durante el procedimiento, lo que limita la previsibilidad del score. Los valores límites de corte fueron definidos empíricamente por consenso de expertos. La obtención de estos datos de manera no invasiva, previo al cateterismo, le resta fuerza metodológica.
El reporte del Registro IMPACT demostró un 1.9% de CM, siendo los eventos más frecuentes el paro cardiaco (0.8%), seguido de la embolización de dispositivos y la cirugía de urgencia, con 0.4 y 0.3% respectivamente. El 0.3% de los cateterismos necesitaron oxigenación por membrana extracorpórea. El registro incluye edad, raza, sexo, condición genética y datos relacionados con función renal, hepática y hematológica. Incorpora un modelo de predicción de riesgo con variables que también dependen de datos hemodinámicos obtenidos durante el cateterismo definidos como hemodynamic vulnerability indicators16.
El score CRISP fue validado y publicado en 2019. Consiste en 10 variables independientes que otorgan hasta 20 puntos ajustados al riesgo. Las variables son: 1) estado clínico; 2) edad; 3) peso; 4) inotrópicos; 5) situación respiratoria; 6) compromiso sistémico; 7) score ASA (American Society of Anesthesiology); 8) categoría fisiológica, 9) cardiopatía, y 10) tipo de procedimiento17,18.
Nuestro score de riesgo resultó útil para estratifcar a los pacientes y conocer antes la probabilidad de C. Se basa en cuatro ítems sencillos y de fácil recopilación, incluso por personal paramédico. Su sumatoria permite estratificar el riesgo del procedimiento antes de su realización e identificar el grupo de alto riesgo.
La validación interna y temporal utilizando la serie prospectiva demostró un adecuado ajuste del score a pesar de ser poblaciones y épocas diferentes.
Conclusiones
Las C del cateterismo cardiaco en las CC se siguen presentando a pesar de la evolución favorable de la técnica. Las mejoras en los dispositivos utilizados actualmente no las han eliminado, incluyendo eventos adversos serios y con riesgo de vida. Los estudios por imágenes incruentos le quitaron protagonismo al cateterismo diagnóstico, pero el intervencionismo seguirá creciendo, en reemplazo de la cirugía cardiovascular convencional, con aparición de C inherentes a los propios dispositivos implantados. La incorporación de técnicas off label puede generar nuevos eventos adversos, aunque en nuestra casuística no sucedió.
Este nuevo SR permite la estratificación rápida del paciente antes de iniciar el procedimiento, sin necesidad de recurrir a datos dependientes de la vulnerabilidad hemodinámica que solo se pueden obtener durante el cateterismo. Es útil para dar información del riesgo a los pacientes y/o sus padres, planificar el procedimiento con operadores experimentados, tener preparada la unidad de UTIP y la posibilidad de cirugía de rescate.
Limitaciones
Este estudio no tiene en cuenta la función renal, determinante para otros scores predictores de riesgo. Las comorbilidades no se consideraron ni tampoco se efectuó estudio genético para la confección del score. El score ASA fue desestimado para la valoración del riesgo.
No se consideró el tipo de anestesia (sedación o general con intubación endotraqueal y la necesidad de suplemento de oxígeno), tampoco el tiempo del cateterismo, la radiación ionizante y la cantidad de contraste por kg de peso. Estos datos se obtienen después del procedimiento y no tienen valor predictivo para el score.










nueva página del texto (beta)




