Servicios Personalizados
Revista
Articulo
Indicadores
-
Citado por SciELO -
Accesos
Links relacionados
-
Similares en
SciELO
Compartir
Ingeniería, investigación y tecnología
versión On-line ISSN 2594-0732versión impresa ISSN 1405-7743
Ing. invest. y tecnol. vol.14 no.3 Ciudad de México sep. 2013
Modelo del transporte y deposición de Fe y Mn en el curso alto del río Lerma
Fe and Mn Transport and Settling Modelling in the Upper Course of the Lerma River
García-Aragón Juan Antonio1, Zarazúa-Ortega Graciela2, Díaz-Palomarez Víctor3, Tejeda-Vega Samuel4 y Ávila-Pérez Pedro5
1 Centro Interamericano de Recursos del Agua, Facultad de Ingeniería, UAEM, Toluca. Correo: jagarciaa@uaemex.mx
2 Instituto Nacional de Investigaciones Nucleares, Gerencia de Ciencias Ambientales, México DF. Correo: graciela.zarazua@inin.gob.mx
3 Centro Interamericano de Recursos del Agua, Facultad de Ingeniería, UAEM, Toluca. Correo: palomarez64@hotmail.com
4 Instituto Nacional de Investigaciones Nucleares, Gerencia de Ciencias Ambientales. Correo: samuel.tejeda@inin.gob.mx
5 Instituto Nacional de Investigaciones Nucleares, Gerencia de Ciencias Ambientales. Correo: pedro.avila@inin.gob.mx
Información del artículo: recibido: septiembre de 2011.
Reevaluado: julio de 2012.
Aceptado: octubre de 2012
Resumen
En este trabajo se desarrolló un modelo de transporte y deposición de metales utilizando datos obtenidos con una campaña de muestreo de concentraciones de los metales Fe y Mn, en el curso Alto del río Lerma, Estado de México. Para alimentar el modelo numérico de transporte se midieron en campo las secciones hidráulicas del río Lerma en un tramo de 27.9 km. Se desarrolló una ecuación de balance de masa, considerando mezcla completa en cada tramo, para tramos seleccionados del río Lerma, la cual se resolvió por el método de diferencias finitas. Simultáneamente se efectuó una campaña de muestreo de agua y sedimentos, tanto en suspensión como depositados, lo que permitió determinar las concentraciones de los metales Fe y Mn en cada fase, en cada uno de los tramos seleccionados. Para el cálculo de las concentraciones de metales se utilizó la técnica de fluorescencia de rayos X en la modalidad de energía dispersiva (EDXRF). Se obtuvieron los coeficientes de partición agua-sedimento suspendido y agua-sedimento depositado. El modelo de transporte de metales muestra periodos de transporte de metales y zonas de depósito bien definidos, que coinciden con la tendencia en la variación espacial y temporal de los coeficientes de partición. Se concluye que en zonas fluviales de deposición de sedimentos, durante los eventos hidrológicos extremos, para efectos del modelado del transporte de metales no se pueden considerar constantes los coeficientes de partición, lo cual se acostumbra en numerosos modelos.
Descriptores: sedimentos, Fe, Mn, coeficientes de partición, EDXRF, Río Lerma.
Abstract
A metal transport and deposition model together with concentration measurements of Fe and Mn was developed in the Upper Course of the Lerma River, Mexico State. The hydraulic sections of 27.9 km of the Lerma River were measured in the field in order to supply the numerical model. A general mass balance equation considering full mixing in selected reaches of the Lerma River was developed and solved using the finite-difference method. At the same time a sampling campaign of water and sediment allowed us to obtain Fe and Mn concentrations in each phase. Metal concentrations were obtained by Energy Dispersive X-Ray Fluorescence Method (EDXRF). Partition coefficients for water and suspended sediment and for water and deposited sediment were calculated. Well defined periods and areas of deposition of Fe and Mn were obtained by the transport model and the spatial variation of the partition coefficients agree with the pattern obtained in the simulation. It is concluded that the current practice of constant values of the partition coefficients could not be used in modelling transport and deposition of metals if we are dealing with hydrologic extreme events and river sediment deposition areas.
Keywords: sediments, Fe, Mn, partition coefficients, EDXRF, Lerma River.
Introducción
El Curso Alto del río Lerma comprende desde su nacimiento en las faldas del volcán Xinantécatl (volcán nevado de Toluca) hasta un escalamiento topográfico situado 5 km aguas debajo de la presa José Antonio Alzate (figura 1) y corresponde a la región hidrológica Núm. 168, según CNA. La longitud del río hasta el embalse Alzate es de 52 km. Esta sub-cuenca presenta elevaciones que fluctúan entre los 4570 msnm y los 2570 msnm, con pendientes muy fuertes y alta precipitación, lo cual favorece el fenómeno de erosión de suelos (García et al., 2007). Los sedimentos originados se depositan a lo largo del río en la zona de planicie y en el embalse José Antonio Alzate. Esta cuenca sufrió una acelerada urbanización e industrialización a partir del terremoto de 1985. El nacimiento del río Lerma se encuentra en las lagunas de Almoloya del río, las cuales han disminuido radicalmente su volumen por la exportación de agua al Valle de México (Antón y Díaz, 2000), lo cual ha afectado el flujo base del río. Son varios los tributarios que influyen en la calidad del agua entre los que se cuentan de aguas arriba hacia aguas abajo, la descarga de la planta de tratamiento de aguas residuales industriales Reciclagua, el canal Totoltepec que proviene de la zona industrial Lerma, el río Xonacatlán, la descarga de la planta de aguas domésticas Toluca-Norte, el río Santa Catarina, el río Verdiguel que atraviesa la ciudad de Toluca, el río Tejalpa y el río Temoaya. Estudios previos han demostrado la contaminación por metales de los sedimentos de la presa Alzate (Barceló, 2000, García et al., 2003). Entre los metales más abundantes se han encontrado el Fe y el Mn. En este trabajo se pretenden establecer los mecanismos de transporte de estos metales y los periodos y zonas de depósito a lo largo del río Lerma. Estos metales tienen una componente natural, sin embargo, las concentraciones que se encuentran en este estudio sobrepasan los criterios para sedimentos fuertemente contaminados de la EPA (1975).
Los modelos clásicos de transporte de metales en ríos (Mok y Wal, 1990; Quemerais y Lum, 1997) consideran valores constantes de los coeficientes de partición. En este trabajo se demuestra que esos coeficientes varían en el tiempo y a lo largo del río, especialmente durante las épocas de creciente y en zonas de deposición.
Materiales y método
Modelado del transporte de Fe y Mn
Se efectúo un levantamiento topográfico de secciones hidráulicas del río Lerma entre el puente sobre la carretera México-Toluca y la entrada a la presa José Antonio Alzate. Las secciones están ubicadas cada 250 m siguiendo la corriente del agua del río. En todas las secciones se midió la profundidad a cada 5 m aproximadamente o donde su geometría lo permitió; también se midió el ancho del cauce. Estas mediciones se repitieron a lo largo de los 27.9 km del río, dando un total de 113 secciones transversales, la sección número 1 se obtuvo en el punto de la carretera México-Toluca, así sucesivamente hasta la sección 113 antes del embalse J.A. Alzate. Los datos topográficos obtenidos (Diaz, 2008) permitieron calcular los volúmenes en cada tramo del río Lerma y las profundidades medias para diferentes condiciones hidrológicas.
Con relación al flujo, se obtuvo la información de caudales de diferentes años de las estaciones hidrométricas localizadas en la cuenca. Se utilizaron datos de caudal medidos en la estación hidrométrica "La Y", localizada sobre el río Lerma en las coordenadas 99° 35' 22", 19° 24' 22", 2.5 km aguas arriba de la entrada a la presa José Antonio Alzate. Los datos de caudales medios y máximos con que cuenta la estación hidrométrica "La Y", son los registrados durante 50 años. Se determinó el caudal máximo diario que corresponde a 24.39 m3/s, del 9 de septiembre de 1969. El gasto promedio máximo mensual se presentó en el mes de septiembre con 10 m3/s y el promedio anual fue de 6 m3/s (Antón y Díaz, 2000).
Como condiciones iniciales se consideraron el tirante inicial para obtener el caudal y la concentración inicial de Fe y Mn proveniente de las campañas de muestreo.
Una vez definida la hidrodinámica del río Lerma para diferentes condiciones hidrológicas, se efectuó un cálculo del transporte de Fe y Mn en el tramo del río entre la carretera México-Toluca y la entrada al embalse J. A. Alzate.
El cálculo de la concentración de metales se efectuó mediante la conceptualización usada en el modelo QUAL2 EU (Brown y Barnswell, 1987), en la cual se considera una serie de tramos, equivalentes a elementos de diferencias finitas. Para cada elemento computacional se escribe un balance hidrológico en términos de flujo y balance de masa en valores de concentraciones.
Se estableció una ecuación general de balance de masa en que considera la dispersión longitudinal (tercer término a la derecha de la ecuación 1) y la sedimentación de metales (cuarto término de la derecha en la ecuación 1) en el tramo. El coeficiente de partición Kd involucra los procesos físicos de adsorción de metales a los sedimentos. La ecuación se escribe de la siguiente forma

donde
Ci = concentración del metal en el tramo i, (μg/L)
Ci-1= concentración del metal en el tramo anterior (μg/L)
Df= coeficiente de dispersión longitudinal
Ws = velocidad de caída de los sedimentos adsorbentes del metal (m/s)
Kd = coeficiente de partición agua-sedimento suspendido (L/kg)
Vi = volumen del tramo del río (L)
Qii, Qi-1 = caudal en el tramo i del río y en el anterior, respectivamente (L/s)
H = altura promedio de agua del tramo (m)
ρs = densidad del sedimento adsorbente del metal (kg/L)
ΔS = entradas externas de metales en el tramo.
Para el tramo carretera México-Toluca a presa Alzate, el modelo se resolvió a través de la técnica de diferencias finitas, con datos iniciales de concentración, producto de las mediciones en la zona de muestreo 3, tirantes y velocidades medias provenientes de la simulación con HEC-RAS. La estructura del modelo permitió ingresos de datos en cada tramo del río, dando lugar a la variación de concentración de metales de manera espacial.
El coeficiente de dispersión longitudinal se calculó mediante la ecuación de Fisher, citada por Velz (1970), que se presenta en la ecuación 2.

donde
k1 = factor de dispersión longitudinal, se le asignó un valor de 0.2.
h = profundidad de flujo
u* = velocidad de corte

donde
Rh = radio hidráulico en (m)
τ0 = esfuerzo de corte en el fondo (Pa)
γ = peso específico del agua (N/m3)
S = pendiente del río.
La velocidad de caída se calcula de la siguiente manera

donde v es la viscosidad cinemática del agua y d50 es el diámetro medio de los sedimentos El número de Reynolds de la partícula se calcula con la fórmula de Hallermeier (1981).

donde
Rep = número de Reynolds de la partícula
Dgr = diámetro de grano

donde
g = aceleración de la gravedad
s = densidad relativa.
La tabla 1 en la sección de resultados, muestra los datos que se utilizaron en el modelo HEC-RAS para alimentar la ecuación de balance de masa en diferencias finitas, obteniéndose las concentraciones de metales para diferentes condiciones iniciales de concentración y para cada estación a lo largo del río. El coeficiente de partición Kd se calculó con valores de concentraciones de metales en agua, sedimento suspendido y depositado, medidos de manera directa en el terreno en las zonas de muestreo 3 a 7. El valor Kd1 corresponde a concentración de sedimento suspendido (ecuación 7) y el Kd2 (ecuación 8) a sedimento depositado, según la definición clásica (Allison, 2005) y sus valores se muestran en el apartado de resultados.
Concentración de Met sedimento suspendido (mg/Kg)


donde Met corresponde a Fe o Mn.
Con lo anterior se determinó la capacidad de transporte de Fe y Mn en agua en el tramo de 27.9 km del río Lerma entre la carretera México-Toluca y la entrada de la presa Alzate.
Determinación de las concentraciones de Fe y Mn en sedimento suspendido y depositado del río Lerma
Tomando como base las características actuales del Curso Alto del río Lerma, en especial la entrada de tributarios, se diseñó un plan de muestreo (Fall et al., 2008) en el cual se definieron 8 zonas de muestreo: 1-Almoloya, 2-Mezapa, 3-Carretera México-Toluca, 4-Totoltepec, 5- Carretera Toluca-Naucalpan, 6-Villa Cuauhtémoc, 7-Temoaya, 8-Salida presa J.A. Alzate, (figura 2). Las zonas 3 a 7 coinciden con las zonas de modelado del transporte de sedimentos. En esas zonas se colectaron muestras de agua y sedimento suspendido, así como depositado en los meses de febrero, mayo, agosto y noviembre que corresponden con dos meses de la temporada seca y dos meses de la temporada de lluvias.
Sedimento suspendido
Se tomaron muestras compuestas de agua superficial con un muestreador tipo "Grab" o Van Dorn a 30 cm de profundidad y se colocaron en frascos de polietileno acondicionados especialmente para muestreo de aguas (Zarazúa et al., 2006). Se tomaron 10 litros en cada zona de muestreo para diferentes propósitos, 1 litro de muestra se guardó en refrigeración antes de ser procesado en el laboratorio para la determinación de metales solubles y los presentes en el sedimento suspendido. La muestra se centrifugó a 5000 rpm durante 30 minutos, el precipitado se recuperó sobre un filtro Millipore de 0.45 |jm de tamaño de poro, previamente tarado, el cual se dejó secar a temperatura ambiente, se obtuvo el peso de la muestra y se montó sobre un portamuestras de aluminio para su posterior análisis por fluorescencia de rayos X en la modalidad de energía dispersiva (EDXRF) (Renoldi et al, 1996, Dekov et al., 1998, Ávila et al, 2007, Zarazúa, 2008).
Sedimento depositado
El sedimento depositado se obtuvo de manera superficial a una profundidad máxima de 15 cm, su extracción del lecho del cuerpo de agua se realizó con una pala de acero inoxidable y una draga manual de tipo Petite Ponar marca Wildco, la primera se usó para obtener muestras en la orilla del río, mientras que la segunda para extraerlas del centro del río donde la profundidad permitió la inclusión con una lancha. Una vez obtenido se colocó en bolsas de polietileno y se mantuvo en refrigeración hasta su procesamiento (IAEA, 2005, SCFI, 2005).
Con respecto a la composición del sedimento fino del río se puede distinguir una alta actividad planctónica producida principalmente por las diatomeas tipo navícula, que producen un número muy amplio de exoesqueletos compuestos de silicio y calcio, de formas geométricas y simétricas, depositadas sobre el lecho de los sedimentos. Estas formas de origen biológico se asociaron con partículas de arcillas fragmentadas que predominaron en todos los sedimentos del curso alto del río Lerma, que variaron en tamaño. El análisis químico por EDS permitió detectar principalmente elementos como O, Si, Al, K, Ca, Ti y Fe. Las partículas identificadas permitieron observar restos de microorganismos y partículas con morfologías relacionadas con microorganismos planctónicos.
Los sedimentos se secaron a temperatura ambiente durante diez días en charolas de polietileno y se descompactaron, para más tarde, con un tamiz de apertura de 63 μm, obtener la fracción fina formada por arcillas y limos. Por el método de cuarteo se obtuvo una alícuota de 20 g de sedimento, la cual se homogeneizó durante 10 minutos en una homogeneizadora marca SPEX. Después se prepararon pastillas con 1.5 g de muestra con un troquel marca "SPEX", al cual se le aplicó una presión de 7 toneladas durante 3 minutos, mediante una prensa marca "CARVER". Las pastillas que se obtuvieron se depositaron en un contenedor para la cuantificación de los metales por EDXRF (Vaithiyanathan et al., 1993; Dekov et al., 1998; Zarazúa, 2006a; Tejeda et al., 2005; Tejeda, 2006).
Con el propósito de determinar la concentración de los metales pesados Mn y Fe en el sedimento depositado y suspendido, las muestras se analizaron por triplicado empleando un espectrómetro de fluorescencia de Rayos X marca "Ital-Structures" modelo TX 2000 usando un tubo de molibdeno y con un tiempo de conteo de 1000 segundos. El análisis de los espectros se realizó empleando el programa EDXRF 32 y la cuantificación de los metales se realizó por el método de "Corrección por compton con estándar externo" (ASTM, 1999 y 1996; IAEA, 1997, Rouessac, 1992, Zarazúa, 2006b).
Como control de calidad y para garantizar la confiabilidad de los resultados analíticos obtenidos se analizó el material certificado de referencia, NIST (2003), obteniéndose un coeficiente de variabilidad menor a 10%.
Resultados
La tabla 1 presenta un resumen de los datos de entrada para el modelo HEC-RAS y los resultados obtenidos con éste, para un caudal de 6 m3/s. Se presentan las entradas referentes a diámetro medio de los sedimentos del lecho (d50 ), pendiente del río (S) y los resultados correspondientes a radio hidráulico (R), área hidráulica (A) y velocidad media (Umedia) en las secciones cada kilometro entre el puente de la carretera México-Toluca (km 0) y la entrada a la presa J.A. Alzate (km 27+866).
La figura 3 presenta el perfil obtenido con el modelo HEC-RAS, para un caudal de 6 m3/s. Se observa que la pendiente es suave y constante entre el puente carretera México-Toluca y el km 15 aguas abajo. Posteriormente hay dos tramos donde se observa un cambio en la pendiente y el tirante, entre los km 15 y 20 y más adelante del km 20, debido a que el río se vuelve menos profundo y más ancho en su cauce. La variación en el tirante entre los km 0 y 20 es consecuencia del proceso de dragado que se realiza en el río en los meses previos a las intensas lluvias para extraer sedimentos de fondo.
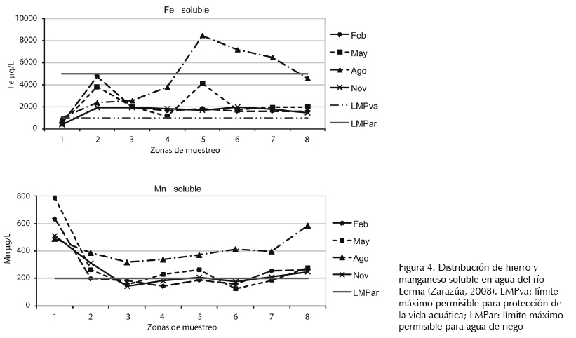
Las concentraciones iniciales de Fe y Mn que se utilizaron son aquellas medidas en las campañas de muestreo de metales en la zona 3 (figuras 4, 5 y 6).
Los resultados de concentraciones medidas de los metales Fe y Mn presentes en el agua, sedimento suspendido y depositado se muestran respectivamente en las figuras 4, 5 y 6. Es evidente que el comportamiento en la distribución de Fe soluble en agua del río es distinto a la distribución de Mn, porque el Fe presentó los valores más bajos en los sitios 1 y 8, mientras que se observó el caso opuesto para el Mn con valores máximos en los sitios 1 y 8. Precisamente la concentración de Fe fue superior al límite máximo permisible para agua de uso en riego en el mes de agosto que corresponde a la temporada de máximas lluvias. Los resultados de Fe en el sitio 1 de Almoloya del río se mantuvieron por debajo del límite para la protección de la vida acuática en los cuatro meses correspondientes con las campañas de muestreo.
Las diferencias en la concentración de Fe y Mn en los diferentes periodos analizados y en diferentes sitios, tanto en agua, sedimento suspendido y sedimento depositado indicaron que los valores del coeficiente de partición es distinto en cada temporada y sitio del río, por lo que en este trabajo se utilizaron para las simulaciones numéricas los Kd medidos, con lo cual se demuestra que se debe variar el coeficiente de partición dependiendo del periodo analizado y del sitio del río. Para evaluar la variación del comportamiento de las concentraciones de estos metales se calcularon los coeficientes de partición agua-sedimento de 5 zonas de muestreo, que corresponden con el tramo del río entre las secciones; carretera México-Toluca y presa Alzate, para cada campaña de muestreo, por medio de las ecuaciones 7 y 8. Los valores obtenidos se muestran en las tablas 2 a 5 (4).




La figura 7a presenta el resultado de las simulaciones del transporte de Fe entre el puente de la carretera México-Toluca (zona 3) y la entrada de la presa José Antonio Alzate (zona 7) para el caudal medio de 6 m3/s. Se muestran los valores promedio por zona en una simulación de 20 horas con paso de tiempo de 600 s. Se utilizaron los valores de Kd1 obtenidos durante el muestreo (tablas 2 y 3 para el mes de agosto). Se consideró una entrada de Fe en las zonas 3 y 4 provenientes de la zona industrial Lerma-Toluca. Los resultados concuerdan favorablemente con los obtenidos en el muestreo de Fe en agua realizados en el mes de agosto (figura 4).
La figura 7b presenta los resultados del modelado de Mn entre las zonas 3 y 8 del río Lerma. Los valores numéricos coinciden bastante bien entre las zonas 3 y 6 (al considerar una descarga en la zona 4 debido a la presencia de la zona industrial Toluca-Lerma). El aumento en las concentraciones del muestreo de agosto en la zona 7 no se refleja en la simulación. No se tiene información de concentraciones de metales en las descargas de esa zona del río por lo cual no se tuvo en cuenta en la simulación.
Con respecto a los coeficientes de partición medidos, el valor de Kd1 en el sitio 3 que corresponde con el cruce de la carretera México-Toluca presentó un valor promedio de 4.14, con diferencia estrecha con el Kd1 de 3.78 sitio de Totoltepec (sitio 4), de forma similar con diferencias un poco menores con los Kd1 de Naucalpan (5), Villa Cuauhtémoc (6) y Temoaya (7). Sin embargo, los resultados entre Kd1 y Kd2 son claramente diferentes, por lo que para el uso de un coeficiente de partición en el proceso de simulación de la distribución de sedimentos en ríos debe preverse la variación del valor de Kd1 y Kd2.
Para el Fe no se nota una clara tendencia a aumentar o disminuir en el coeficiente de partición Kd1 en las campañas de muestreo de febrero y mayo entre las zonas 3 y 7. Por el contrario, durante el muestreo de agosto se nota una clara tendencia al aumento hacia aguas debajo del coeficiente de partición, para el Fe, la cual se presenta en la figura 8a. El ajuste lineal arroja un buen coeficiente de correlación r2 = 0.825, lo cual corrobora esa tendencia al aumento del coeficiente de partición, la cual no se presenta en las otras campañas.
Con respecto al Mn igualmente sólo se presenta una clara tendencia al aumento del coeficiente de partición Kd1 en la campaña de muestreo de agosto (figura 8b). De la misma manera, el coeficiente de correlación del ajuste es muy bueno r2 = 0.869.
En cuanto al coeficiente de partición Kd2, para la campaña de agosto, en el caso del Fe muestra un aumento entre las zonas de muestreo 3 y 8 aunque más moderado. Para el Mn el comportamiento del Kd2 es más estable y no se nota una tendencia a disminuir o aumentar a lo largo del río Lerma en ninguna de las campañas de muestreo.
En la tabla 6 se muestran coeficientes de partición para diferentes metales producto de diferentes trabajos, los cuales fueron promediados por Allison (2005).

Los valores encontrados en este trabajo se encuentran en rangos similares, sin embargo, se presenta la variación en el espacio debida a condiciones netas de depósito de sedimentos en un tramo del río Lerma.
Conclusiones
El modelo de transporte de metales permitió definir la variación de concentraciones de Fe y Mn en un tramo del río Lerma comprendido entre la carretera México-Toluca y el embalse José Antonio Alzate. Se pudo comprobar una zona de deposición comenzando en la zona de muestreo Villa Cuauhtémoc hasta la presa Alzate. Los muestreos de concentraciones de Fe en agua y sedimentos suspendidos y depositados confirman una disminución de las concentraciones de Fe en sedimentos suspendidos y un aumento de las concentraciones de metales depositados a partir de Villa Cuauhtémoc. Esto se demuestra con el comportamiento de los coeficientes de partición Kd1 y Kd2. Las simulaciones con el modelo numérico, utilizando las variaciones de Kd1 tanto temporal como espacial, concuerdan con los muestreos efectuados.
Un modelo del transporte de metales clásica considerando coeficientes de partición agua-sedimento constantes no puede determinar satisfactoriamente las concentraciones de metales durante la época de crecientes (agosto) en esas zonas de depósito. En este trabajo se comprueba que los coeficientes de partición deben calcularse según el comportamiento hidrosedimentológico del cauce en estudio. Es probable que la variación de concentración de metales en ríos en su etapa madura, con condiciones de equilibrio sedimentológico, pueda calcularse de manera satisfactoria con coeficientes de partición agua-sedimento constantes. Éste no es el caso del tramo del río Lerma estudiado el cual presenta, épocas de creciente y una zona de depósito. Los resultados del cálculo de los coeficientes de partición demuestran ese hecho tanto para el caso del Fe como del Mn.
Referencias
Allison J.D y Allison T.L. Partition Coefficients for Metals in Surface Water, Soil and Waste. Technical Report, EPA/600/ R-05/074. US Environmental Protection Agency, Washington DC, 20460, 2005. [ Links ]
Anton D. y Díaz Delgado C. Sequía en un mundo de agua, capítulo 9: Un ejemplo de contaminación de aguas superficiales el curso Alto del río Lerma, Uruguay, ed. Piriguazú, 2000, 407 p. [ Links ]
Ávila-Pérez P., Zarazúa G., Carapia-Morales L., Tejeda S., Díaz-Delgado C., Barceló-Quintal I. Evaluation of Heavy Metals and Elemental Composition of Particles in Suspended Matter of the Upper Course of the Lerma River. Journal of Radioanalytical and Nuclear Chemistry, volumen 273 (número 3), 2007: 625-633. [ Links ]
ASTM. Standard Practice for Sample Digestion Using Closed Vessel Microwave Heating Technique for the Determination of Total Metals in Water. American Society for Testing and Materials, D 4309-96, 1996. [ Links ]
ASTM. Standard Test Method for On-Line Measurement of Low Level Particulate and Dissolved Metals in Water by X-Ray Fluorescence (XRF). American Society for Testing and Materials, D 6502-99, 1999. [ Links ]
Barceló I. Estudios de la movilidad de Ca, Cd, Cu, Fe, Mn, Pb y Zn en sedimentos de la Presa José Antonio Alzate en el Estado de México, México, tesis (doctorado), Universidad Autónoma del Estado de México, Facultad de Ingeniería, Centro Interamericano de Recursos del Agua, 2000. [ Links ]
Brown L.C. y Barnwell T.Q. The Enhanced Stream Water Quality Models QUAL2E and QUAL2E-UNCAS: Documentation and User Manual, Env. Res. Lab., USEPA-EPA/600/3-87/007, Athens , GA-USA, 1987. [ Links ]
Chien N. y Wan Z. Mechanics of Sediment Transport, USA, ASCE press, 1999. [ Links ]
Díaz Palomarez V. Modelación del transporte de sedimentos aplicado al curso Alto del río Lerma, tesis (maestría), Centro Interamericano de Recursos del Agua, Facultad de Ingeniería-UAEM, 2008. [ Links ]
Dekov V.M., Komy Z., Araújo F., Van Put A., Van Grieken R. Chemical Composition of Sediments, Suspended Matter, River Water and Ground Water of the Nile (Aswan-Sohag ). The Science of the Total Environment, volumen 201, 1997: 195-210. [ Links ]
Dekov V.M., Araújo F., Van Grieken R., Subramanian V. Chemical Composition of Sediments, Suspended Matter from the Cauvery and Brahmaputra Rivers (India). The Science of the Total Environment, volumen 212, 1998: 89-105. [ Links ]
EPA, United States Environmental Protection Agency. Regulations Concerning the Discharge of Dredged or Filled Material in Navigable Waters. Federal Register 40:41, 1075, pp. 292-98. [ Links ]
Fall C., Quentin E., Díaz-Delgado C., Hinojosa A., Gómez M., Jiménez-Moleón M., Ávila-Pérez, P., Ba K., García-Aragón J.A., Tejeda S., Zarazúa G. Propuesta de una red de monitoreo de calidad en el curso Alto del río Lerma. Ingeniería Hidráulica en México, volumen XXIII (número 2), 2008. [ Links ]
García-Aragón J.A, Díaz Delgado C., Quentin E., Hunt J. Watershed Level Analysis of Sediment Filling in a Mexican Highland Reservoir. Limnetica, volumen 26 (número 2), 2007: 209-217. [ Links ]
García-Aragón J.A, Ávila-Pérez P., Díaz-Delgado C., Zarazúa G., Morales P., Tejeda S. Concentración de metales en sedimento y su relación con patrones de deposición en la presa J.A. Alzate, Edo. de México. Ingeniería Hidráulica en México, volumen 18 (número 4), 2003: 55-62. [ Links ]
Hallermeir J. Terminal Settling Velocity of Commonly Occurring Sand Grains. Sedimentology, volumen 28, 1981: 859-865. [ Links ]
International Atomic Energy Agency (IAEA). Sampling, Storage and Sample Preparation Procedures for X-Ray Fluorescence Analysis of Environmental Materials. IAEA-TECDOC-950, 1997, 55 p. [ Links ]
International Atomic Energy Agency (IAEA). Fluvial Sediment Transport: Analytical Techniques for Measuring Sediment Load. IAEA-TECDOC-1461, 2005, 75 p. [ Links ]
Mok W. y Wal C.M. Distribution and Mobilization of Arsenic and Antimony Species in the Coeur D'Alene River, Idaho. Environmental Science & Technology, volumen 24 (número 1), 1990: 102-108. [ Links ]
NIST, National Institute of Standard and Technology, Urban Particulate Matter 1648, SL-1:Trace Elements in Lake Sediments, International Atomic Energy Agency (IAEA), 2003. [ Links ]
Quemerais B. y Lum K.R. Distribution and Temporal Variation of Cadmium in the St. Lawrence River. Aquatic Sciences, volumen 59, 1997: 243-259. [ Links ]
Renoldi M., Camusso M., Tartaru G. The Highly Polluted Lambro River (N. Italy): Disolved and Solid Transport of Cu, Cr and Fe. Water, Air and Soil Pollution, volumen 83, 1996: 99-117. [ Links ]
Rouessac F. Analyse Chimique. Méthodes et Techniques Instrumentales Modernes, ed. Dunon, 1992, 222 p. [ Links ]
Secretaría de Comercio y Fomento Industrial (SCFI). Agua naturales epicontinentales, costeras y marinas-muestreo. ProyNMX-AA-121-SCFI-2005. Diario Oficial de la Federación. Noviembre 30 de 2005, 2005, 62 p. [ Links ]
Tejeda S., Ávila-Pérez P., Zarazúa G., Carapia-Morales L., Díaz-Delgado C., Lugo J. La medición de sedimentos en México. Distribución de metales pesados en sedimentos: estudio del curso alto del río Lerma, Jiutepec, Morelos/Villahermosa, Tabasco, México, ed. IMTA-UJAT, 2005, 318 p. [ Links ]
Tejeda S. Distribución espacial y temporal de Ti, Mn, Fe, Cu, Zn y Pb en sedimentos del Curso Alto del Río Lerma, tesis (maestría), México, Universidad Autónoma del Estado de México, Facultad de Química, 2006. [ Links ]
Velz C.J. Applied Stream Sanitation, New York, ed. Wiley-Interscience, 1970, 619 p. [ Links ]
Vaithiyanathan P., Ramanathan A., Subramanian V. Transport and Distribution of Heavy Metals in Cauvery River. Water, Air and Soil Pollution, volumen 71, 1993: 13-28. [ Links ]
Zarazúa G. Preparación de muestras para su análisis por Fluorescencia de Rayos X en energía dispersiva. Procedimiento P. EA(LFX)-2. ININ. Rev. 3, 2006a. [ Links ]
Zarazúa G. Análisis cuantitativo multielemental por fluorescencia de rayos X en energía dispersiva. Procedimiento P.EA(LFX)-3. ININ. Rev. 3, 2006b. [ Links ]
Zarazúa G., Ávila-Pérez P., Tejeda S., Barceló-Quintal I., Martínez T. Analysis of Total and Dissolved Heavy Metals in Surface Water of a Mexican Polluted River by Total Reflection X-Ray Fluorescence Spectrometry. Spectrochimica Acta Part B, volumen 61, 2006: 1180-1184. [ Links ]
Zarazúa G. Evaluación de las contribuciones naturales y antropogénicas de los metales pesados Cr, Mn, Fe, Cu, Zn y Pb y su distribución en agua y sedimento del curso Alto del Río Lerma, tesis (doctorado), Centro Interamericano de Recursos de Agua, Facultad de Ingeniería, Universidad Autónoma del Estado de México, 2008. [ Links ]
Semblanza de los autores
Juan Antonio García-Aragón. Ingeniero civil por la Universidad de los Andes, Colombia. Ms.C. en ingeniería civil por la Universidad Laval, Canadá. Es doctor en ingeniería civil y mecánica aplicada por la Universidad McGill, Canadá. Miembro nivel I del Sistema Nacional de Investigadores. Profesor-investigador del Centro Interamericano de Recursos del Agua (CIRA) de la Universidad Autónoma del Estado de México.
Graciela Zarazúa-Ortega. Es química farmacobióloga por la Universidad Michoacana de San Nicolas de Hidalgo. Maestra en ciencias del agua por la Universidad Autónoma del Estado de México y doctora en ciencias del agua por el Centro Interamericano de Recursos del Agua (CIRA) de la Universidad Autónoma del Estado de México. Es investigadora en la gerencia de ciencias ambientales del Instituto Nacional de Investigaciones Nucleares (ININ).
Víctor Díaz-Palomarez. Ingeniero civil por la Universidad Autónoma Metropolitana (UAM)-Azcapotzalco. Maestro en ciencias del agua por la Universidad Autónoma del Estado de México (UAEM). Aspirante a doctor en ciencias del agua por la Universidad Autónoma del Estado de México. Es profesor de carrera de la escuela preparatoria de la UAEM.
Samuel Tejeda-Vega. Es químico farmacobiólogo por la Universidad Michoacana de San Nicolas de Hidalgo. Maestro en ecología por la Universidad Autónoma del Estado de México. Doctor en ingeniería ambiental en el Instituto Tecnológico de Toluca. Investigador en la gerencia de ciencias ambientales del Instituto Nacional de Investigaciones Nucleares (ININ).
Pedro Ávila-Pérez. Biólogo por la Universidad Autónoma de Guadalajara, es doctor en ciencias del agua por la Universidad Autónoma del Estado de México. Gerente de ciencias ambientales del Instituto Nacional de Investigaciones nucleares (ININ). Miembro del Sistema Nacional de Investigadores Nivel I. Obtuvo el premio del Estado de México en ciencia y tecnología en 2007.













