Servicios Personalizados
Revista
Articulo
Indicadores
-
Citado por SciELO -
Accesos
Links relacionados
-
Similares en
SciELO
Compartir
Ingeniería, investigación y tecnología
versión On-line ISSN 2594-0732versión impresa ISSN 1405-7743
Ing. invest. y tecnol. vol.12 no.2 Ciudad de México abr./jun. 2011
Arranque suave para un motor de CD a través de un convertidor reductor CDCD
Smooth Starter for a DC Machine through a DCtoDC Buck Converter
LinaresFlores J.1, AntonioGarcía A.2 y OrantesMolina A.3
1 Instituto de Electrónica y Mecatrónica Universidad Tecnológica de la Mixteca. Email: jlinares@mixteco.utm.mx
2 Instituto de Electrónica y Mecatrónica Universidad Tecnológica de la Mixteca. Email: agarcia@mixteco.utm.mx
3 Instituto de Electrónica y Mecatrónica Universidad Tecnológica de la Mixteca. Email: tonito@mixteco.utm.mx
Información del artículo: recibido: octubre de 2007.
Reevaluado: junio de 2010.
Aceptado: octubre de 2010.
Resumen
En este artículo se presenta el diseño e implementación de un controlador de velocidad para un motor de CD a través de un convertidor reductor, el cual sigue una trayectoria de referencia suave diseñada mediante un polinomio de interpolación Bézier. El sistema reduce los picos súbitos de voltaje y corriente en el circuito de armadura del motor durante el arranque. El cálculo del control de velocidad se obtiene de una salida F llamada salida plana (calculada a través de la matriz de controlabilidad de Kalman). Este control se basa en la retroalimentación de todos los estados reescritos en términos de la salida plana y de sus derivadas sucesivas para el seguimiento de la trayectoria. Con la ayuda de la técnica de ubicación de polos es posible sintonizar adecuadamente el controlador en lazo cerrado. La efectividad del sistema se verifica experimentalmente mediante una plataforma que está compuesta por el convertidor reductormotor CD y un modulador PWM.
Descriptores: convertidor reductor, arrancador suave de velocidad, planitud diferencial.
Abstract
This article presents the design and implementation of a speed controller for a DC motor through a buck converter, which tracks a smooth reference trajectory designed by a Bezier polynomial interpolation. The system reduces voltage and current sudden peaks in the armature circuit of the motor during the start. The calculation of the speed control is obtained from an output F called flat output (calculated through the Kalman controllability matrix). This control is based on feedback from all states rewritten in terms of the flat output and its successive derivatives for tracking the trajectory. With the aid of the pole placement technique it is possible to properly tune the controller in closed loop. The effectiveness of the system is verified experimentally by means of a platform that consists of the DC motorbuck converter and a PWM modulator.
Keywords: buck converter, velocity smooth starter, differential flatness.
Introducción
Tradicionalmente se han utilizado tres tipos de motores para funcionar en régimen de velocidad variable para diferentes aplicaciones, los cuales son: motor síncrono, motor de inducción y motor de CD. De estos tres tipos, el que habitualmente ha sido más utilizado para funcionar en régimen de velocidad variable es el motor de CD con conmutador en las categorías de baja a mediana potencia (hasta de 10MW), ya que sus características eléctricas permiten variar su velocidad de una forma sencilla, manteniendo una buena eficiencia (Benavent et al, 2001). Los motores de este tipo proporcionan un alto par de arranque y permiten regular su velocidad dentro de márgenes más amplios. Los métodos para controlar su velocidad son más fáciles de implementar y el costo de su impulsor eléctrico es menor al de uno de corriente alterna (Boldea et al., 1999). En la industria este tipo de motores tiene una amplia aplicación, debido a sus características electromecánicas, ya que permiten diferentes tipos de conexiones (excitación separada, derivación, serie, excitación compuesta). Los motores en serie son los más empleados por su alto par de arranque (Chapman, 2004). Por ejemplo, en la ciudad de México, desde 1990 se han venido utilizando este tipo motores de CD en la tracción eléctrica de los trolebuses de la serie 7000 de la firma MASAKiepe (STE, 2010).
Al impulsor eléctrico de CD para tracción eléctrica se le conoce también con el nombre de chopper que en castellano quiere decir interruptor periódico (Benavent et al., 2001 y Boldea et al., 1999). Este dispositivo de CD es un convertidor electrónico de potencia CD/CD de conmutación forzada, el cual se utiliza para el control del voltaje en el circuito de la armadura de los motores de CD. La fuente de energía de CD que abastece a los choppers se genera mediante baterías o fuentes de CA con diodos rectificadores con filtros a la salida. Estos choppers son utilizados en sistemas de transporte eléctrico urbano (Mohan et al, 2003 y Rashid, 2004). Uno de los problemas que presentan los impulsores de CD son los transitorios eléctricos que se producen en el circuito de armadura en los motores de CD cuando se arranca o se varía su velocidad.
(Boldea et al, 1999 y Nasar et al., 1993) realizan un estudio para resolver el problema de los transitorios eléctricos por medio del diseño de controladores de velocidad, posición y par mediante funciones de transferencia y soluciones analíticas. El control de velocidad y par del motor se implementan en cascada, donde el lazo interno es para el control del par y el lazo externo es para el control de velocidad, empleándose en ambos el mismo tipo de compensador PI clásico. Las ganancias de los controladores por retroalimentación lineal se calculan mediante el método de respuesta a la frecuencia, basada en los conceptos de margen de fase y margen de ganancia (Kailath, 1980). Estos controladores resuelven parcialmente el problema de los transitorios, ya que usan referencias constantes y éstas siempre producen sobretiros en las respuestas de las variables físicas del sistema.
En este artículo se propone un controlador de velocidad por retroalimentación para un motor de CD accionado a través de un convertidor CD/CD tipo reductor. La variable de referencia deseada de velocidad usada por el controlador se diseña vía un polinomio de interpolación Bézier, mediante la cual el controlador consigue reducir los picos súbitos de corriente y de voltaje en el circuito de la armadura del motor de CD en el arranque. La técnica de control por retroalimentación empleada en dicha propuesta se basa en el concepto de planitud diferencial, el cual proviene de sistemas diferencialmente planos (Fliess et al., 1995). Esto fue dado a conocer hace 15 años en Francia por el profesor Michel Fliess y sus colaboradores (Levine, Martin, Rouchon). La planitud diferencial ha tenido importantes aplicaciones dentro de las áreas de robótica, procesos de control, sistemas aeroespaciales, sistemas de optimización, planeación de trayectorias en aspectos lineales y no lineales, y sistemas de dimensión infinita descritos en ecuaciones diferenciales parciales controladas con condiciones de frontera (Fliess et al., 1995, 2000; Linares et al., 2004a; Sira et al, 2004).
El artículo está dividido en seis secciones, la segunda sección trata a detalle el modelado matemático en forma promedio del acoplamiento del convertidor CD/ CD tipo reductor con el motor de corriente directa. En la tercera sección se diseña un controlador de seguimiento suave de velocidad basado en la técnica de planitud diferencial. En la cuarta sección se presenta el diseño y las características de la plataforma experimental. En la quinta sección se presentan los resultados experimentales del desempeño del controlador en lazo cerrado y finalmente en la sexta sección se dan las conclusiones de todo el trabajo.
Modelo dinámico del convertidor reductormotor CD
La figura 1 muestra el sistema de acoplamiento entre el convertidor CD/CD tipo reductor con el motor CD, en donde el modelo dinámico lineal del sistema, presenta una entrada y una salida. La composición del sistema se expresa mediante las siguientes ecuaciones diferenciales:


En donde L, C, G y E son la inductancia, capacitancia, conductancia y voltaje de entrada constante del convertidor reductor, respectivamente. La corriente i es la corriente en el inductor y v es el voltaje en el capacitor del convertidor. Lm, Ke, Km son la inductancia del circuito de armadura, la constante de fuerza electromotriz y la constante de par del motor, respectivamente. Las variables denotadas como ia y w son la corriente del circuito de armadura y la velocidad angular de la carga mecánica del motor cuyo momento de inercia es J. El parámetro B es el coeficiente de fricción viscosa rotacional. La entrada de perturbación
L representa un par de carga constante desconocido. La entrada de control se representa por la variable u, la cual simboliza la posición del interruptor que toma valores en el conjunto discreto {0,1}.
El modelo promedio se representa exactamente por el mismo modelo matemático de (1) con la diferencia de que ahora la entrada u se denota como la entrada de control promedio uav, la cual toma valores en el intervalo cerrado [0,1] (Ortega, et al., 1998). Por lo tanto, el modelo promedio del convertidor reductormotor cd se describe como sigue:

en donde,
x= [i v ia ω]T;

Nótese que la descripción de este sistema lineal solamente es válida mientras no ocurran efectos de saturación en el inductor L del convertidor reductor.
Controlador promedio por planitud diferencial
En esta sección se utiliza la propiedad de planitud diferencial para el cálculo de las trayectorias de referencia de las variables físicas del sistema convertidor reductormotor CD. Este sistema lineal de cuarto orden tiene la forma típica dada en (2), donde la matriz de controlabilidad de Kalman se calcula mediante la siguiente expresión, C=[B, AB, A2 B, A3B], la cual está dada como:

El determinante de la matriz de (4) está dado por:

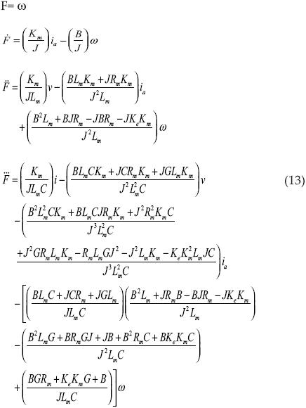
Como el determinante es diferente de cero, entonces el sistema es controlable y, por lo tanto, es diferencialmente plano (Sira et al., 2004). La salida plana de un sistema lineal de una entrada una salida (UE/US), se obtiene de la multiplicación de la matriz inversa de controlabilidad por el vector de estados x, asociado al sistema. Del vector columna resultante de la multiplicación se escoge el último renglón para obtener la salida plana (Linares et al., 2004a). En particular, para el sistema convertidor reductormotor CD, la salida plana F se calcula como:

De (5) se toma como salida plana simplemente a la velocidad angular del motor (ω), ya que esto no infringe la propiedad de planitud diferencial para calcular la parametrización diferencial de todo el sistema (Sira et al., 2004).
De ahí, se tiene que todas las variables de estado y la entrada de control uav, son parametrizables en términos de F y de sus derivadas sucesivas, donde se denota a la velocidad angular como F. Por ende, la parametrización diferencial de todas las variables de estado del sistema y de la entrada de control promedio, están dadas como:





La parametrización diferencial proporcionada por la propiedad de planitud diferencial contiene información útil acerca de las variables de estado del sistema, relacionando cada una de ellas en términos de la salida plana (la salida que permite hacer la linealización entradasalida) de un sistema diferencialmente plano (Sira et al., 2004). Las conjeturas para usos directos de esta parametrización surgen de los sistemas diferencialmente planos como:
Una parametrización estática del sistema en equilibrio relaciona los valores de equilibrio de las variables de estado en términos de la salida plana en equilibrio. Para un seguimiento dinámico de trayectoria en lazo cerrado, la parametrización es muy útil, ya que a través de ella se establecen los valores de inicio, los valores intermedios y los valores finales de los puntos de equilibrio de las variables de estado.
Inspección directa de la propiedad de fase mínima y de fase no mínima de cada una de las variables de estado cuando se toman como salida.
Inspección directa de la entrada de control en términos de la salida plana y sus derivadas sucesivas para la reconstrucción de estados (Detectabilidad).
La mayor ventaja de esta propiedad es la planificación de trayectorias para el control de seguimiento en sistemas diferencialmente planos. La parametrización diferencial de forma natural proporciona una relación explícita con los estados y la entrada de control, para la planificación de la trayectoria de la salida plana. Permite una evaluación fuera de línea de los estados nominales y de las trayectorias de la entrada de control, sin tener que resolver las ecuaciones diferenciales.
De lo expuesto anteriormente, se diseña el controlador promedio basado en la propiedad de planitud diferencial. A partir de (10), se sustituye la derivada de alto orden por un controlador auxiliar de seguimiento de trayectorias vaux, lo cual produce:

donde el controlador auxiliar vaux, se diseña para lograr el seguimiento suave de velocidad angular incluyendo un término de acción integral que proporciona la robustez al sistema en lazo cerrado frente a perturbaciones constantes de par de carga acotadas desconocidas, el cual está dado por:

La salida plana F y sus derivadas
,
y
se calculan en términos de los estados del sistema de la manera siguiente,

Las trayectorias deseadas
*,
*,
* y F(4)* se calculan mediante un polinomio del tipo Bézier (Sira et al., 2004), dado por:

donde el polinomio p(t,t0,T) debe interpolar suavemente entre los valores 0 y 1 para t
(t0, T) de la siguiente forma:

con r1=252, r2=1050, r3=1800, r4=1575, r5=700 y r6=126.
La dinámica del error de seguimiento en lazo cerrado se obtiene a partir de igualar (10) con (11) que incluye al controlador auxiliar, derivando una sola vez con respecto al tiempo la ecuación integro diferencial del error. Se tiene la dinámica del error, e = ω ω* de la siguiente forma:

El polinomio característico del sistema en lazo cerrado es

La selección adecuada de los coeficientes constantes {γ4,γ3,γ2,γ1,γ0} como coeficientes de un polinomio Hurwitz, garantiza la estabilidad exponencial del equilibrio cero del error de seguimiento de la salida plana. Por lo tanto, se escogió un polinomio de quinto orden dado por:

De aquí, se tiene que los valores finales de los coeficientes del controlador auxiliar vaux, para un buen seguimiento de velocidad están dados por:

Plataforma experimental
La plataforma experimental que se muestra en la figura 2 se compone de los siguientes módulos:
Motor eléctrico de corriente directa.
Convertidor reductor.
Control por planitud diferencial (computadoratarjeta de adquisición de datos).
Modulador de ancho de pulso (PWM) (circuito analógico).
Sensores eléctricos.
Tacómetro.
Freno magnético (carga mecánica).

A. Módulo del motor eléctrico de corriente directa
El motor de corriente directa de colector utilizado fue de la serie GR42x25 de potencia de 14 W, par nominal de 4 (Ncm), voltaje nominal de 24 V, velocidad nominal de 3600 rpm, corriente de arranque de 4 A (Dunker, 2010). La obtención de los parámetros del motor se realizó en forma experimental, debido a que algunos de ellos no fueron proporcionados por el fabricante. En la tabla 1 se presentan los parámetros obtenidos del motor de CD.
B. Módulo del convertidor reductor (diseño del inductor L del convertidor)
En la figura 3a) se muestra el circuito eléctrico del sistema convertidor reductormotor de CD, mientras que la figura 3b) muestra el circuito eléctrico equivalente del análisis en CD. La fuente dependiente de la figura 3a) se hace cero en el análisis de CD, debido a que el voltaje en la salida del convertidor tiene un valor nominal de 10% del voltaje nominal de entrada de alimentación, lo cual no provoca movimiento en el eje del motor. Por lo tanto, el voltaje en la resistencia R del circuito de la figura 3b) es:


Por otra parte, el valor del resistor equivalente del circuito de la Figura 3b) se calcula de la siguiente forma:

La resistencia de carga R conectada a la salida del convertidor reductor mostrada en el circuito eléctrico de la figura 3a) y 3b) tiene dos funciones, la primera limitar la corriente en el circuito de armadura del motor, la segunda disipar la energía proveniente del capacitor. Mediante el análisis en CD del circuito eléctrico de la Figura 3a), se calcula el valor crítico de la inductancia del convertidor, así como su valor de corriente de rizo. Para asegurar que el convertidor esté siempre trabajando en el Modo de Conducción Continuo (MCC), el valor crítico de la inductancia Lcrit del convertidor se hace a través de la siguiente expresión, dada como (Batarseh, 2004):

El convertidor de topología reductora se diseñará a una frecuencia de conmutación f de 45 kHz, para tener un menor porcentaje de rizo en la corriente y en el voltaje, además de tener una mejor aproximación en forma promedio del modelo matemático del sistema (1) (Ortega et al., 1998). De (21) se obtiene el valor crítico de la inductancia del convertidor como:

Con este valor crítico se calcula el valor de corriente de rizo a través de la siguiente expresión:

De (23) resulta que el valor de rizo de la corriente que circula por la inductancia del convertidor es:

Como se desea que este valor de rizo de corriente sea aún más pequeño que en (24), se propone un rizo de corriente de

Para conseguir esto último se selecciona un valor de la inductancia del convertidor de

Esta inductancia se construye usando un núcleo de ferrita con un hueco de aire de 1mm. Este hueco de aire evita los efectos de saturación en el núcleo para valores nominales de corrientes de 3A (Kassakian et al., 1992). El núcleo tiene una resistencia de aproximadamente 0.3 Ω. La razón del ciclo útil de trabajo constante de Uav en equilibrio está definido en el intervalo cerrado [0,1].
C. Filtro de salida del convertidor reductor
El inductor y el capacitor forman el filtro pasobajos de segundo orden, el cual se usa para filtrar las componentes de alta frecuencia en el voltaje de salida del convertidor, causadas por las conmutaciones del transistor IRF540 y el diodo de conmutación rápida MBR1045 (figura 2). La frecuencia de corte de este filtro está dada mediante la siguiente expresión:

Para el diseño del filtro de salida del convertidor reductor la frecuencia de corte se escoge en el siguiente intervalo de frecuencias

A partir de los límites de frecuencia de corte de (28), se calculan los límites superior e inferior en el intervalo de valores de la capacitancia del filtro para esas frecuencias, dados como:

Para no reducir demasiado la velocidad de la respuesta en el tiempo del convertidor, se elige el valor de la capacitancia cinco veces más grande que la cota inferior de (29), por tanto, se escoge un valor de C=470μF. De ahí, se tiene que el valor de la frecuencia de corte del filtro del convertidor es de:

D. Módulo del controlador promedio implementado en MATLABSIMULINK
El diseño del controlador promedio dado en (11) en la sección de controlador promedio por planitud diferencial se programó en Matlab/Simulink® utilizando una computadora personal que usa como interfaz una tarjeta de adquisición de datos del tipo DAQ6025E de la firma National Instruments, para la comunicación entre los circuitos analógicos de monitoreo y de modulación PWM. El periodo de muestreo utilizado en la implementación del controlador fue de 200μs. La figura 4 muestra el diagrama a bloques del programa elaborado en Matlab/Simulink® del controlador promedio.

E. Módulo del PWM
El modulador de ancho de pulso se implementó mediante dos circuitos integrados analógicos, el primero es un comparador de señales analógicas de alta respuesta, LM311 y el segundo es un circuito generador de señales analógicas de alta precisión ICL8038. A través de la comparación en el circuito LM311 entre la señal de control promedio de (11) con la señal triangular de frecuencia fija se produce la señal pulsante que dispara periódicamente al semiconductor de potencia del convertidor. La señal triangular generada por el circuito ICL8038 se configuró para una frecuencia de conmutación de 45KHz.
Los resultados experimentales del desempeño del controlador obtenidos en esta plataforma fueron casi los mismos que los conseguidos en una plataforma a nivel de simulación de este mismo controlador, por ejemplo, el trabajo publicado en (Linares et al., 2004a) utiliza un modulador SigmaDelta para la implementación del controlador.
La figura 5 muestra el diagrama electrónico del modulador PWM basado en la configuración dada en (Mohan et al., 2003).

F. Módulo de los sensores eléctricos
La figura 6 muestra el sensor de corriente que utiliza un circuito integrado de Efecto Hall. A la salida de este circuito integrado con número de parte LEM HAW15P, se le acondiciona un circuito integrado analógico (TL082), compuesto por un par de amplificadores operacionales del tipo inversor en cascada. El circuito electrónico para el monitoreo de corriente tiene una escala de conversión de 1A/1V, es decir por cada amperio que circule por el circuito integrado de efecto Hall (HAW15P) se tiene un voltaje unitario a la salida (pin 7 de la figura 6).

La figura 7 muestra el circuito para el monitoreo del voltaje de salida del convertidor reductor. Este mismo circuito se utilizó como acondicionador de la señal que proviene del tacómetro TG11 en el monitoreo de la velocidad angular del motor GR42x25. El valor nominal del voltaje de salida del circuito es tres veces menor que el valor nominal del voltaje de entrada, siendo su escala de conversión de 3V/1V.
G. Módulo del tacómetro analógico o tacogenerador
El tacogenerador de corriente directa (TG11) es un dispositivo que da un voltaje proporcional a la velocidad angular del motor. Este dispositivo es apropiado para la regulación de velocidad angular del motor por su amplio intervalo de trabajo. Se construye rígidamente y está libre de mantenimiento durante su vida útil (Dunker, 2010). Uno de los datos más importantes proporcionados por el fabricante para el tacogenerador TG11 es su voltaje de inducido, el cual tiene una escala de conversión de 1000 RPM/3V, el resto de los datos se muestran en la tabla 2 de las especificaciones del tacogenerador TG11.
H. Módulo del freno magnético
El freno magnético utilizado para accionar la carga en el eje del motor de CD se activa mediante una señal digital proporcionada por la tarjeta de adquisición de datos. Para aplicar diferentes valores nominales de par de carga a través del freno magnético, éste utiliza un circuito de potencia alimentado por una fuente de voltaje de corriente directa variable (figura 2).
Resultados experimentales
El polinomio de interpolación suave de décimo orden propuesto en (14) se implementó mediante el programa Matlab/Simulink® para generar las referencias deseadas requeridas por el controlador en lazo cerrado. La propuesta de la referencia deseada variante con el tiempo dada en (14) junto con el controlador en lazo cerrado consiguen arrancar al motor sin provocar picos súbitos de voltaje y de corriente dentro del circuito de la armadura y dentro del circuito del convertidor reductor (ver figuras 8 y 9).
Las gráficas de la figura 8 muestran el seguimiento de trayectoria de cada una de las variables del sistema en lazo cerrado. La trayectoria suave de velocidad angular se programó con los siguientes datos:

En la figura 8 se observa que la variable de velocidad angular del motor en el arranque presenta un seguimiento casi perfecto con respecto a su referencia deseada y con un pico de velocidad angular menor al 10% del valor nominal inicial. En cuanto a los picos de corriente y de voltaje dentro del circuito de la armadura del motor, se observa que los valores nominales máximo de corriente y de voltaje en la armadura del motor no sobrepasan los valores nominales de corriente y de voltaje al cual fue fabricado el motor de CD con número de serie GR42x25 (Dunker, 2010).
Por otro lado, a través de la parametrización diferencial de (7) y (8) se obtienen las variables de referencia para la corriente y el voltaje de la armadura del motor de CD, las cuales se programaron con los siguientes datos:

Las figuras 8 y 9 muestran la respuesta de la corriente en el inductor del convertidor y la respuesta de la entrada de control promedio, en ellas se observan ligeras diferencias en su inicio con respecto a su referencia deseada. Estas diferencias no impiden en ningún momento el conseguir disminuir en forma considerable los picos súbitos de corriente y de voltaje dentro del circuito del convertidor al poner en marcha al motor. El valor nominal instantáneo de estos picos de corriente y de voltaje no sobrepasa los valores nominales a los cuales fue diseñado eléctricamente el semiconductor de potencia (IRF540) del convertidor. Las respuestas de la entrada de control promedio no presentan picos súbitos de voltaje que rebasen el límite superior del intervalo [0,1], en donde está definida la entrada de control promedio.
La figura 9 muestra las respuestas de las variables del sistema en lazo cerrado para una velocidad angular de referencia deseada dada por (14), con los siguientes valores:

En t =3s se aplica un par de carga constante al eje del motor con un valor aproximado de
L ≈ 0.01Nm. Se puede observar que la velocidad angular del motor en presencia del par de carga aplicado al eje no cambia su valor final programado, debido a que el controlador presenta una robustez en cuanto a la recuperación de la señal de referencia en un tiempo muy corto. La acción de control integral del error añadida a ley de control dada en (12), hace posible minimizar el error en estado estable en la variable de velocidad del sistema.
Nótese que los cambios en la amplitud de las variables de la corriente en el inductor del convertidor, corriente de armadura del motor, voltaje de armadura del motor y entrada de control promedio en presencia del par de carga desconocido aplicado al eje con respecto a sus referencias deseadas, se deben a que sus variables de referencia no incluyen el valor del parámetro del par aplicado al eje (ver figura 9).
El par de carga
L aplicado al eje de motor de CD a través del freno magnético se encuentra acotado en el siguiente intervalo

Este intervalo permite conocer los límites que tiene el controlador en lazo cerrado en minimizar el error en estado estable de la velocidad angular ante la presencia del par de carga. La razón de par continuo máximo que puede producir el motor fue obtenido de la hoja de datos dada por el fabricante (Dunker, 2010) y también comprobado en forma experimental mediante la plataforma.
Conclusiones
La ley de control propuesta, basada en la técnica de planitud diferencial para el sistema convertidor CD/CD tipo reductormotor CD tiene dos objetivos fundamentales:
El primero, arrancar el motor sin que se produzcan picos de voltaje y de corriente súbitos en el circuito de la armadura que sobrepasen los valores nominales a los cuales se fabrica el motor.
El segundo, que la variable de velocidad en el eje del motor conserve su velocidad programada, aún en presencia de una perturbación externa de par de carga constante desconocida por el sistema.
Estos dos objetivos se cumplieron de forma significativa mediante la ley de control de seguimiento suave de velocidad angular basada en la técnica de planitud diferencial. Las pruebas experimentales realizadas en la plataforma así lo demuestran.
Las respuestas de variables físicas del sistema en lazo cerrado presentan el mismo comportamiento dinámico de la trayectoria de referencia deseada variante con el tiempo calculada vía el polinomio interpolar Bézier.
La robustez en la variable de salida requerida por el controlador basado en la propiedad de planitud diferencial del sistema, cuando al mismo se le somete a una perturbación de par de carga constante desconocido, se resuelve a través de incorporar una parte de acción integral en la ley de control.
La sintonización del controlador por planitud diferencial más un término integral en lazo cerrado es realmente sencilla y ésta se realiza de la misma forma que para los controladores por ubicación de polos.
Haciendo una comparativa con controladores clásicos, esta propuesta presenta una mejor respuesta estática y dinámica en lazo cerrado, debido a que su parte proporcional, su parte integral y su parte derivativa del error actuante de la salida plana (velocidad), se calcula sin omitir ninguna dinámica del vector de estado de la planta.
La técnica de control por Planitud Diferencial aporta resultados sobre controlabilidad de sistemas lineales y no lineales; uno de los aportes es la parametrización diferencial.
La metodología para el diseño del controlador es realmente sencilla y su implementación práctica se realiza en forma analógica.
Agradecimientos
Un agradecimiento especial a cada uno de los revisores de este artículo, ya que con su ayuda enriquecieron este trabajo.
Referencias
Batarseh I. Power Electronic Circuits. John Wiley & Sons, Inc. 2004. Pp. 136147. [ Links ]
BenaventGarcía J.M., AbellánGarcía A., FigueresAmoros E. Simulación de circuitos electrónicos de potencia con Pspice. México. Alfaomega.Universidad Politécnica de Valencia. 2001. Pp. 209234. [ Links ]
Boldea I., Nasar S.A. Electric Drives. CRC Press LLC. 1999. [ Links ]
Chapman S.J. Electric Machinery Fundamentals. Fourth Edition. Mc GrawHill, Inc. 2004. Pp. 204270. [ Links ]
Dunker, advanced motion solutions [en línea]. [fecha de consulta 22 de Febrero de 2010]. Disponible en: http://www.dunkermotoren.com [ Links ]
Fliess M., Lévine J., Martin P., Rouchon P. Flatness and Defect of NonLinear Systems: Introductory Theory and Applications. Internat. J. Control, 61:13271361. 1995. [ Links ]
Fliess M., Marquez R. Continuos Time Linear Predictive Control and Flatness: A Module Theoretic Setting with Examples. Internat. Journal of Control, 73:606623. 2000. [ Links ]
Kailath T.T. Linear Systems. Prentice Hall, 1980. [ Links ]
Kassakian J.G., Schlecht M.F., Verghese G.C. Principles of Power Electronics. AddisonWesley Publishing Company. 1992. [ Links ]
LinaresFlores J., SiraRamírez H. A Smooth Starter for a DC Machine: A Flatness Based Approach. International Conference on Electrical and Electronics Engineering and X Conference on Electrical Engineering, Acapulco Guerrero, México, September 810, 2004a. [ Links ]
LinaresFlores J., SiraRamírez H. DC Motor Velocity Control through a DCtoDC Power Converter. 43rd IEEE Conference on Decision & Control, pp. 52975302, 2004b. [ Links ]
Nasar S.A., Boldea I. Electric Machines: Dynamics and Control. Boca Raton. CRC Press. 1993. [ Links ]
Mohan N., Undeland T.M., Robbins W.P. Power Electronics Converters, Aplications, and Design. John Wiley & Sons, Inc. 2003. [ Links ]
Ortega R., Loría A., Nicklasson P.J., SiraRamirez H.J. PassivityBased Control of EulerLagrange Systems. Springer, 1998. [ Links ]
Rashid M.H. Power Electronics: Circuits, Devices, and Applications. Third Edition. Prentice Hall. 2004. [ Links ]
Servicio de Transporte Eléctrico [en línea] DF, México, 22 de Febrero de 2010. Disponible en: http://www.ste.df.gob.mx. [ Links ]
SiraRamírez H., Agrawal S.K. Differentially Flat Systems. Marcel Dekker, Inc. 2004. [ Links ]
Semblanza de los autores
Jesús LinaresFlores. Realizó sus estudios de licenciatura en electrónica en la BUAP, posteriormente realizó sus estudios de maestría en ciencias en la UDLAPUE con la especialidad en electrónica de potencia, en el año del 2006 recibió el grado de doctor en ciencias, otorgado por el CinvestavIPN en el Departamento de Ingeniería Eléctrica, Sección Mecatrónica, desde el año 2006 pertenece al SNI. Actualmente es director del Instituto de Electrónica y Mecatrónica de la Universidad Tecnológica de la Mixteca.
Alberto AntonioGarcía. Obtuvo el grado de doctor en ciencias en ingeniería mecánica en la sección de estudios de posgrado e investigación del Instituto Politécnico Nacional (ESIMEIPN). Su tesis sobre el cálculo de coeficientes rotodinámicos de chumaceras hidrodinámicas fue reconocida por el IIE y la CFE con el segundo lugar en los XXIII Certámenes Nacionales de Tesis 20052006 en la disciplina de generación de energía eléctrica en el nivel doctorado. Actualmente es profesor investigador de la carrera de ingeniería en mecatrónica en la Universidad Tecnológica de la Mixteca.
Antonio OrantesMolina. Realizó estudios de licenciatura en ingeniería en electrónica y comunicaciones en la UDLAP, posteriormente obtuvo la maestría en el ITT en electrónica con especialidad en computación y sistemas digitales. En octubre del 2005, alcanza el grado de doctor en sistemas automáticos en el INSAT, en Toulouse, Francia. Actualmente pertenece al SNI y es profesor investigador, tiene el cargo de jefe de la carrera de ingeniería en mecatrónica de la Universidad Tecnológica de la Mixteca en Oaxaca, México.















