Servicios Personalizados
Revista
Articulo
Indicadores
-
Citado por SciELO -
Accesos
Links relacionados
-
Similares en
SciELO
Compartir
Ingeniería, investigación y tecnología
versión On-line ISSN 2594-0732versión impresa ISSN 1405-7743
Ing. invest. y tecnol. vol.8 no.2 Ciudad de México abr./jun. 2007
Estudios e investigaciones recientes
Aplicación de los factores de participación y del método de MWMilla en la asignación de cargos por uso de redes de transmisión en mercados de electricidad
L. AlbaGómez, J.H. TovarHernández y G. GutiérrezAlcaraz
Programa de Graduados e Investigación en Ingeniería Eléctrica Departamento de Ingeniería Eléctrica y Electrónica Instituto Tecnológico de Morelia, Morelia Michoacán, México
Emails:
horaciotovar@mexico.com
ggutier@itmorelia.edu.mx
Recibido: mayo de 2006
Aceptado: septiembre de 2006
Resumen
Este trabajo presenta la asignación de costos por uso de red mediante la aplicación de Factores de Participación (FP) y el método de MWMilla. Los FP clásicos son calculados a partir del modelo lineal de flujos de potencia para lo que se requiere de establecer un nodo de referencia a fin de eliminar la singularidad de la matriz de coeficientes. Por lo tanto, los FP son dependientes de la asignación del nodo de referencia. Dos métodos alternativos para evitar la dependencia del nodo compensador en la obtención de los factores de participación son presentados.
Descriptores: Factores de participación, mercados de electricidad.
Abstract
Use of net work al location costs by shift factors and MWMile method is reported in this paper. Conventional shift factors are computed based on DC power flow. DC power flow requires to selecting a slack bus in order to avoid matrix singularity. There fore, shift factors are slack bus dependent. In order to evade slack bus dependency, two approaches are considered.
Keywords: Falta traducción, Falta traducción, Falta traducción, Falta traducción.
Introducción
La organización general previa a la reestructuración fue basada en compañías verticalmente integradas, responsables de las actividades de generación, transmisión, distribución y comercialización de la energía eléctrica
Con la reestructuración, las diferentes actividades se han desagregado, originando una estructura horizontal, en donde varias empresas pueden ofertar el mismo servicio dentro de cada actividad. Sin embargo, las actividades de transmisión y distribución continúan operando bajo un esquema de monopolio regional.
Desde un punto de vista de asignación de cargos fijos por el servicio de transmisión, las metodologías que se desarrollaron hace algunos años se han basado en la existencia de transacciones bilaterales. Si la estructura del mercado es tal que no permite establecer una relación directa entre compradores y vendedores a través de una cantidad específica de MW, entonces, los conceptos anteriores son evaluados estableciendo responsabilidades por separado a generadores y consumidores. Bajo este entorno, normalmente la única componente de costos, desglosada en varios rubros, es la relacionada con el uso de la red de transmisión. Aquí, el problema consiste en definir los costos por uso de red y desarrollar un procedimiento equitativo de asignación entre todos los agentes participantes en el mercado. Como parte de este proceso, primeramente se deben definir los costos relacionados con la infraestructura de transmisión. Posteriormente, se definen los agentes del mercado que deberán pagar los cargos correspondientes al servicio de transporte; tales agentes pueden ser los generadores o los consumidores, o ambos. En el caso de que deban pagar únicamente, ya sean generadores o consumidores, entonces, la metodología basada en flujos puede aplicar métodos de descomposición proporcional (Bialek, 1997) y (Strbac et al., 1997) o factores de participación generalizados (Rudnick et al., 1995). Lo más común es que ambos grupos de agentes paguen por el servicio de transmisión y estos métodos se pueden aplicar, definiendo previamente el porcentaje en que cada grupo habrá de cubrir los cargos totales del servicio de transmisión, lo cual puede conducir a la aplicación de criterios que pueden ser arbitrarios (Alexander y Muñoz, 2006). Cuando es difícil definir tal porcentaje, una solución adecuada es la utilización del modelo de FP convencionales, los cuales permiten definir de manera automática los cargos por uso de la red de transmisión a todos aquellos participantes del mercado que utilizan la red de transmisión, ya sea generando o absorbiendo energía a través de ella. Sin embargo, este modelo también presenta inconvenientes. El modelo convencional para el cálculo de los FP se basa en el modelo lineal de flujos de potencia, conocido como flujos de C.D. El cálculo de FP requiere establecer un nodo de referencia, a fin de eliminar la singularidad de la matriz de coeficientes asociados al modelo. Por lo tanto, los FP son dependientes de la asignación del nodo de referencia. Resulta que si j es el nodo de referencia, entonces todos los FP con respecto a j son cero. Esto significa que, para la asignación de cargos por uso de redes de transmisión, el nodo de referencia no tendría cargo alguno por el uso de la red de transmisión. Existen dos métodos para reducir este inconveniente:
a) intercambio de los ángulos de los voltajes complejos nodales y
b) inclusión del efecto capacitivo de líneas transmisión en el modelo de red.
En este trabajo se presenta un análisis de la asignación de costos por uso de la red mediante la aplicación de factores lineales de participación y el método de MWMilla. Dos métodos alternativos para reducir la dependencia del nodo compensador en la obtención de los factores de participación son presentados, los cuales están basados en ideas relativamente simples y aplicadas en la resolución de problemas de ingeniería eléctrica.
Factores lineales de participación
Factores de participación convencionales
Los FP, denotados como alj son definidos como:
.................................................(1)
donde l representa el lésimo elemento de transmisión, el cual conecta a los nodos i y m, j es el jésimo nodo del sistema.
En esta definición, se supone que ΔPj es compensado exactamente por un total de ΔPj , (considerando ΔPL = 0, es decir, cero cambios en las pérdidas), por el nodo compensador del sistema eléctrico. Entonces, alj representa la sensibilidad del flujo en la línea o transformador l, que conecta a los nodos i y m, ante un cambio de potencia activa en el nodo j.
Supóngase que se desea estudiar la salida de un generador y que tal pérdida es absorbida por el nodo compensador (referencia). Si el nodo en cuestión está generando Pj0MW, su pérdida puede representarse como:
........................................................................(2)
y el nuevo flujo de potencia, f1nuevoen cada elemento de transmisión del sistema podrá determinarse, a partir del flujo inicial, fl0, mediante la expresión:
......................................(3)
Si se tiene precalculados tales factores, estos se pueden aplicar para verificar los cambios, en forma aproximada, de flujo de potencia activa en todos los elementos de transmisión.
Los FP convencionales son calculados a partir del modelo lineal de flujos de potencia, conocido como flujos de C.D., el cual se representa matemáticamente como:
....................................................(4)
donde se considera que el nodo 1 es la referencia y además,
......................(5)
donde m ε i indica todos los m nodos conectados directamente a través de elementos de transmisión incidentes al nodo i.
Resolviendo para los ángulos de fase:
.....................................................................(6)
donde [F] = [B]1 .Con esta matriz, se determinan los factores de participación, los cuales relacionan flujos de potencia activa en la red lineal, con las inyecciones de potencia activa, tanto de generadores como de cargas. Sea el factor de participación de la inyección de potencia en el nodo j, denotada como Pj en el flujo del elemento im. Entonces, este puede calcularse de la manera siguiente:
....................................(7)
donde i y m son nodos de envío y de recepción del elemento de transmisión l, y, además, indican renglones de la matriz [F]; xim es la reactancia de la línea de transmisión entre los nodos i y m.
Permutación de ángulos
A fin de eliminar la dependencia del nodo compensador, se puede ejecutar un procedimiento de permuta de ángulos de los voltajes complejos nodales, de modo que los flujos de potencia correspondan exactamente a los obtenidos en el caso base de estudio, además de que el nodo con el ángulo de referencia, igual a cero grados, puede ser cualquiera que no tenga carga ni generación asociadas, esto es, cualquier nodo que represente a una subestación de paso en el sistema (Strbac et al., 1997).
...................................................................(8)
donde θiP es el ángulo de voltaje nodal del iésimo nodo a permutarse y θref es el ángulo de voltaje nodal del nodo de referencia.
Inclusión del efecto capacitivo
El método de FP incluyendo el efecto capacitivo consiste en recalcular la matriz de coeficientes [B] considerando el efecto capacitivo de las líneas de transmisión, lo cual implica que los elementos diagonales de esta matriz son modificados, de acuerdo a lo siguiente:
...................................................(9)
donde bm,0 es la semisusceptancia del elemento de transmisión im. Esta modificación puede hacerse más general si se incluyen elementos de compensación en derivación y transformadores con cambiador de derivación fuera del nominal.
Método de MWMilla
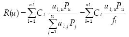
En esta sección se desarrollan las expresiones del método de MWMilla en función de los FP. El método de MWMilla asigna costos a un usuario u de la red de la siguiente manera:
..........................................................(10)
donde R(u) es el costo por uso de red del participante u, Cl es el costo total anual ($/año) del elemento l, fl(u) es el flujo en el elemento l debido a la inyección de potencia de u y fl es el flujo neto (actual o medido) del elemento l.
En función de los FP y de las inyecciones de potencia, el flujo a través del elemento l puede expresarse como:
..................................................................(11)
De la ecuación (11) resulta claro que la aportación del agente u al flujo del elemento l es:
....................................................................(12)
Entonces, el cargo al agente u por usar el elemento l, aplicando el método de MWMilla es:
...................................(13)
donde nl es el número de elementos de la red de transmisión
En la literatura se emplean tres criterios basados en este método para evaluar el costo por uso de la red de transmisión, los cuales son:
Criterio A. Al total de costos por incrementos, restar los costos por decrementos de flujos. La ecuación (13) es la que se aplica para este criterio.
Criterio B. Cada costo individual por cambio de flujo, convertirlo a valor absoluto y, posteriormente, determinar la suma total de los mismos.
.....................................................(14)
Criterio C. Únicamente se considera los costos relacionados con incrementos de flujo:
.....................................................(15)
donde:

Caso de estudio
En esta sección se presenta un ejemplo de aplicación para la asignación de cargos por usos de redes de transmisión. Para esto, se utiliza el sistema de seis nodos de Word y Wollenberg (1996). El costo de cada elemento de transmisión se considera unitario (1.0 Miles de $/mes).
A. FP convencionales
La tabla 1 presenta los FP considerando al nodo 1 como referencia.
Debido a que los FP del nodo compensador son cero, esto implica que los cargos por uso de la red de transmisión sean nulos. Ante esta situación, el generador no pagaría por uso de la red de transmisión, distribuyéndose los costos de la red entre los demás participantes del sistema. Los cargos por uso de la red elemento a elemento, a través de los criterios B y C del método de MWMilla, se muestran en la Tabla 2.
De la tabla 2, se observa que solo hay cargo por uso de red para los nodos en donde hay generación o demanda. Se observa además que, en el caso del criterio C, hay valores cero en la asignación de costos elemento a elemento. Lo anterior, es resultado de que el criterio C no considera que el contraflujo a través de algún elemento de la red (valores de FP negativos) no causa asignación de cargos. Es en el nodo 4 donde esta condición se muestra con mayor efecto en la asignación de costos. En el criterio B, los costos asociados al nodo 4 son de 2.6131 Miles $/mes mientras que la aplicación del criterio C da un valor de 4.0826, lo que representa alrededor de un incremento del 60%. Por otro lado, el nodo 2 experimenta una disminución semejante cuando se aplica el criterio B y, posteriormente, el criterio C, mientras que el nodo 5 no presenta cambios significativos.
La suma de los totales en cada criterio da el costo total de la red. Por ejemplo, para el criterio B (11 Miles $/mes):

B. Permutación de ángulos
De la figura 1, se observa que en los nodos 3 y 6 no existe generación ni carga asociadas. Entonces, la permutación de ángulos puede realizarse suponiendo que θ3 o θ6 son iguales a cero. Para estos casos, la tabla 3 muestra los resultados de la permutación, donde se nota que las diferencias angulares entre nodos adyacentes, con respecto al caso base, permanecen invariantes y que, por lo tanto, los flujos de potencia serán exactamente los mismos en ambos casos.
La tabla 3 presenta los FP considerando que θ3 es el ángulo de referencia.
Similar al caso anterior, para el nodo compensador los FP convencionales son cero. Sin embargo, la asignación de costos por uso de red para todas las inyecciones/extracciones es posible, lo cual se muestra en la tabla 4.
La tabla 5 muestra los FP convencionales cuando se hace la permutación angular entre los nodos 1 y 6, mientras que la tabla 6 presenta las asignaciones de cargos para las inyecciones/extracciones de potencia del sistema.
En ambos casos de permutación, ahora se tiene una redistribución de cargos, debido a que ahora el nodo compensador tiene cargos diferentes de cero. Sin embargo, note que los resultados para los dos casos de permutación son distintos entre sí, los cuales dependen de la localización del nodo de referencia (Tabla 7). Entonces, aquí el punto bajo discusión sería una localización neutral del nodo de referencia, pudiéndose no llegar a acuerdo alguno.
C. Inclusión del efecto capacitivo
Los FP son presentados en la tabla 8. En este caso, debido a que los FP del nodo de referencia son distintos de cero, habrá cargos por uso de red para la generación localizada de ese nodo.
Los cargos por uso de la red de transmisión, para los métodos MWMilla, Criterios B y C son presentados en la tabla 9.
De la tabla anterior se puede observar que el nodo 1 es el que presenta una mayor asignación de cargos para ambos criterios, lo cual es debido a que tiene la generación mayor en el sistema y a que FP relacionados con las lineas de transmisión 12, 14 y 15 tienen una magnitud relativamente mayor que las correspondientes a otros nodos (solo los nodos 3 y 6 tienen factores con magnitudes semejantes pero no tienen generación ni carga, por lo que no causan cargos). De aquí, se puede observar la importancia de aplicar un modelo de red adecuado para el cálculo de FP.
La tabla 10 presenta un resumen de los cálculos de cargos utilizando los criterios B y C del método MWMilla y los diferentes métodos de cálculo de factores de participación. Puede notarse que en todos los casos hay resultados diferentes, aunque puede decirse que el método convencional no asigna cargos al nodo que introduce la mayor cantidad de potencia al sistema. La permutación angular elimina este problema, pero causa otro: decidir en dónde localizar al nodo de referencia. El método de factores de participación incluyendo el efecto capacitivo (FPIEC) asigna cargos a todos los nodos donde hay carga y generación, pero no existe la dependencia con respecto a la localización del nodo de referencia.
Conclusiones
En este trabajo se ha presentado el uso de los FP con el método de MWMilla, criterios B y C, para la asignación del cargo fijo por uso de redes de transmisión en mercados de electricidad. Como se ha hecho notar, los FP son dependientes de h localización del nodo compensador, lo cual ha sido motivo de controversia en la aplicación de metodologías para la asignación de cargos por uso de redes. Una solución parcial es la aplicación del método de permutación angular, aunque esto origina un problema de localización de un nodo sin carga y generación y, en sistemas muy grandes, como es el caso del Sistema Eléctrico de México, esto puede ser también causa de controversia.
La inclusión del efecto capacitivo de las líneas de transmisión para calcular los elementos diagonales de la matriz [B] incluyendo el nodo de referencia, esto es con el fin de realizar el cargo a todos los participantes del sistema sin que se tenga una dependencia del nodo compensador se ha presentado y analizado
Agradecimientos
El autor principal agradece al CONACyT el apoyo económico para la realización de sus estudios de maestría y al apoyo por parte de la DGEST para el desarrollo de este trabajo de investigación a través del proyecto 472.05P.
Referencias
Alexander G. y Muñoz C. (2006). The New Chilean Transmission Charge Scheme as Compared with Current Allocation Methods, IEEE Trans. On Power Systems, Vol. 21, No. 1, pp 99107. [ Links ]
Aswhani K. y Srivastava S., AC Power Transfer Distribution Factors for Allocating Power Transactions in a Deregulated Market, [ Links ]
Bialek J. (1997), Topological Generation and Load Distribution Factors for Supplement Charge Allocation in Transmission Open Access, IEEE Trans. On Power Systems, Vol. 12, No. 3, pp11851193. [ Links ]
Happ H. (1994). Cost of Wheeling Methodologies, IEEE Trans. On Power Systems, Vol.9, No.1, pp. 147156. [ Links ]
Joong S., KernJoong K. (2002). Reconstruction of the Jacobian Matrix by Angle Reference Transposition and Application to the New Penalty Factor Calculation, IEEE Power Engineering Review, pp 4750. [ Links ]
Kankar B., Math H., y Jaap E. (2001). Operation of Restructured Power Systems, Kluwer Academic Publishers. [ Links ]
Kovacs R. y Leverett A. (1994). "A Load Flow Based Method for Calculating Embedded, Incremental, and Marginal Cost of Transmission Capacity", IEEE Trans. On Power Systems, Vol. 9, No. 1. [ Links ]
Marangon J. (1995). "Allocation of Transmission Fixed Charges: An Over view", IEEE/PES Summer Meeting, Portland, OR., pp 14091418. [ Links ]
Marangon J., Pereira M. y Pereira J. (1995). An Integrated Framework for Cost Allocation in a MultiOwned Transmission System, IEEE Trans. On Power Systems, Vol.10, No.2, pp. 971977. [ Links ]
Rudnick H., Palma R. y Fernández J. (1995). Marginal Pricing and Supplement Cost Allocation in Transmission Open Access, IEEE Trans. on Power Systems, Vol.10, No.2, pp 11251142 [ Links ]
Shirmohammadi D., Vieira X., Gorestin B. y Pereira M. (1996). Some Fundamental Technical Concepts about Cost Based Transmission Pricing, IEEE Trans. On Power Systems, Vol.11, No.2, pp 10021008. [ Links ]
Shirmohammadi D., Gribik P., Law E., Malinowski J. y O'Donnell R. (1998), Evaluation of Transmission Network Capacity Use for Wheeling Trans ac tions, IEEE Trans. On Power Systems, Vol.4, No.4, pp. 14051413. [ Links ]
Strbac G., Kirschen D. y Amhed S. (1997), Allocating Transmission Usage on the Basis of Traceable Contributions of Generators and Loads to Flows, PE222PWRS001, pp 527534. [ Links ]
Vojdani C., Imparato N., Saini B., Wollenberg B. y Happ H. (1995). Transmission Access Issues, IEEE/PES Winter Meeting, New York, N.Y., pp 4151. [ Links ]
Wood A., Wollenberg B. (1996) Power Generation, Operation and Control, John Wiley & Sons, Second Edition [ Links ]
Semblanza de los autores
Luís AlbaGómez. Realizó sus estudios de licenciatura y maestría en el Instituto Tecnológico de Morelia (ITM), obteniendo los grados respectivos en 2004 y en 2006.
José Horacio TovarHernández. Realizó sus estudios de licenciatura en el Instituto Tecnológico de Morelia (ITM), obteniendo el grado de ingeniero electricista en 1984. Realizó sus estudios de maestría y doctorado en ingeniería eléctrica en la Sección de Estudios de Posgrado e Investigación de la Escuela Superior de Ingeniería Mecánica y Eléctrica del Instituto Politécnico Nacional, obteniendo los grados respectivos en 1989 y en 1995. Actualmente es profesor del programa de Graduados e Investigación en Ingeniería Eléctrica (PGIIE) del ITM.
Guillermo GutiérrezAlcaraz. Realizó sus estudios de licenciatura y maestría en el Instituto Tecnológico de Morelia, obteniendo el grado de ingeniero y de maestro en ciencias, ambos en ingeniería eléctrica en 1995 y 1996, respectivamente. Actualmente es profesor del PGIIE del ITM.













