Servicios Personalizados
Revista
Articulo
Indicadores
-
Citado por SciELO -
Accesos
Links relacionados
-
Similares en
SciELO
Compartir
Papeles de población
versión On-line ISSN 2448-7147versión impresa ISSN 1405-7425
Pap. poblac vol.16 no.66 Toluca oct./dic. 2010
Medición de pobreza a partir de la percepción de los individuos: Colombia y el Valle del Cauca
Measuring poverty from the point of view of individuals: Colombia and Valle del Cauca
Luis Fernando AguadoQuintero, Ana María OsorioMejía, Jaime Rodrigo AhumadaCastro y Gloria Isabel RiascosCorrea
Pontificia Universidad Javeriana, Cali
Este artículo fue
recibido el 20 de abril de 2008
aprobado el 8 de septiembre de 2010.
Resumen
Un hogar en Colombia se considera pobre si sus ingresos en pesos colombianos son menores a 1 142 097, mientras que en el Valle del Cauca esta cifra es de 872 545 pesos. La diferencia entre el valor de la línea subjetiva para el promedio nacional y la del Valle del Cauca sugiere que múltiples factores intervienen en la percepción de pobreza. La literatura empírica los asocia con diferentes estructuras económicas regionales y distintas dotaciones de capital humano y social. Las medidas subjetivas de pobreza complementan a las medidas objetivas (generalmente basadas en el ingreso) y en forma conjunta constituyen bases para una mejor comprensión de la pobreza y el diseño de políticas eficaces para superarla.
Palabras clave: línea de pobreza subjetiva, ingreso mínimo subjetivo, Colombia, Valle del Cauca.
Abstract
A Colombian household is considered poor when its income in Colombian pesos (COP) is lower than 1 142 097; while in Valle del Cauca, this figure is 872 545 COP. The difference between the value of the subjective line for the national average and for Valle del Cauca suggests that multiple issues influence the perception of poverty. The empirical literature associates them with the regional economic characteristics and the different supplies of human and social capital. The subjective measurements of poverty complement the objective measurements (generally based on income) and jointly constitute the bases for a better comprehension of poverty and the design of effective politics to overeome it.
Key words: line of subjective poverty, minimum subjective income, Colombia, Valle del Cauca.
Introducción
La pobreza es un fenómeno donde intervienen múltiples dimensiones, situación que hace complejo el proceso de su medición. En la literatura empírica generalmente se mide la pobreza en términos objetivos, a través de las denominadas 'líneas de pobreza'. Estas últimas se definen como el valor monetario asociado a un nivel de bienestar de referencia (una canasta básica de bienes y servicios): los individuos o los hogares cuyos ingresos estén por debajo de este nivel se consideran pobres. Sin embargo, el análisis subjetivo de la pobreza, es decir, las percepciones que tienen los mismos individuos sobre sus condiciones de vida y del entorno que los rodea se ha ido consolidando tanto teórica como empíricamente en el estudio de la pobreza.
En este sentido, escuchar la voz de los pobres, sus percepciones y entender sus sentimientos se ha convertido no sólo en un imperativo fundamental para mantener la cohesión social, sino que también es un instrumento indispensable para una mejor comprensión de la pobreza y el diseño de políticas más eficaces para superarla.
En el presente artículo se estima una línea de pobreza subjetiva (LPS), a partir de la aproximación al ingreso adecuado para satisfacer las necesidades de un hogar (pregunta del ingreso mínimo) en Colombia y se compara con el Departamento del Valle del Cauca. En concreto, se estima el nivel de ingreso mínimo requerido para que un hogar no se autoperciba como pobre. Para ello se emplean microdatos del capítulo M sobre condiciones de vida de los hogares colombianos de la Encuesta de Calidad de Vida 2003 (ECV2003).
El Departamento del Valle del Cauca está ubicado en el suroccidente de Colombia; tiene una extensión de 21 140 km2, lo cual constituye 1.95 por ciento del territorio nacional. Su población alcanza 4 161 425 habitantes, que es 9.7 por ciento de la población total del país, y su aporte al producto interno bruto es de 11 por ciento. Los resultados muestran que la LPS a nivel nacional alcanza un ingreso mensual por hogar de 1 142 097.78 pesos colombianos, y para los hogares vallecaucanos, de 872 545.69 pesos colombianos; es decir, éstos son los niveles de ingreso mínimo que un hogar siente que necesita para poder cubrir sus gastos mínimos y no autopercibirse como pobre.
Luego de esta introducción, el artículo se organiza de la siguiente manera. En el segundo epígrafe se analizan los enfoques objetivo y subjetivo para la medición de la pobreza y se enfatiza en la metodología de estimación de las LPS. En el tercer epígrafe se presenta el modelo y las variables empleadas para calcular las LPS para Colombia y el Valle del Cauca. En el cuarto y quinto epígrafes, respectivamente, se presentan los resultados de la estimación de las LPS y las conclusiones.
Medición de la pobreza: enfoques objetivo y subjetivo
La pobreza es un estado de privación del bienestar que se refleja en la alimentación, la vivienda, la educación y la salud. También abarca otras circunstancias de la vida misma, como la seguridad personal y de los bienes, la vulnerabilidad a los desastres naturales y a las crisis económicas, la exclusión social y política. En general, restringe la libertad de realización de las capacidades de las personas (Sen, 1999; Gissi, 1981).
Debido a las múltiples causas y dimensiones que abarca la pobreza, existen diversas formas de medirla (figura 1); no obstante, es posible diferenciar dos grandes grupos de medidas: objetivas y subjetivas. Las objetivas pueden clasificarse en no monetarias y monetarias, esta última puede abordarse desde los enfoques absoluto y relativo (DNPMERPD, 2006: 5).1
Dentro de las medidas monetarias se encuentran la línea de indigencia (LI)2 y la línea de pobreza (LP),3 las cuales se basan en la definición de un nivel de ingreso que sea justamente el necesario para garantizar un estándar de vida mínimo. Por su parte, las medidas no monetarias de pobreza centran su análisis en la privación de las personas frente a las necesidades básicas. Estas incluyen indicadores como: el índice global del hambre (IGH),4 el índice de desarrollo humano (IDH),5 el índice de condiciones de vida (ICV)6 y el índice de las necesidades básicas insatisfechas (NBI).7 Por ejemplo, desde la perspectiva de las NBI se considera como pobres a aquellos hogares o individuos que presenten insatisfecha al menos una de las cinco necesidades que este indicador define como básicas (DNPMERDP, 2006).
Entender la pobreza más allá de los indicadores monetarios, como el ingreso, ha cobrado gran relevancia en años recientes, y ha dado paso a un uso más frecuente de mediciones subjetivas. El enfoque subjetivo, es decir, el análisis de las percepciones que tienen los pobres de ellos mismos se ha convertido en fuente de análisis y estudio por parte de autores de diferentes países, tanto en vías de desarrollo como desarrollados (Kapteyn et al., 1988; De Vos y Garner, 1991; Pradhan y Ravallion, 1998, 2000; Milanovic y Jovanovic, 1999; Ravallion y Lokshin, 2000; Deaton, 2000; Lokshin et al., 2003; Alaña, Salomón y Salinas, 2003; Giarrizzo, 2005; Luccehetti, 2006).
Estos estudios enmarcan el concepto de pobreza como un sentimiento subjetivo de los individuos, que se encuentra ligado a los grados de satisfacción que se obtengan de los diferentes "dominios de la vida" (salud, educación, ocio, trabajo, etc.). Por tanto, existen diferentes tipos de pobreza asociados a un determinado dominio. Es decir, una persona puede ser pobre en un dominio específico de la vida y no serlo en otro, lo que justifica que el concepto de pobreza pueda ser considerado multidimensional (Van Praag y FerreriCarbonell, 2006).
Lo anterior implica que un estudio de pobreza no debe centrarse exclusivamente en detectar a los hogares o personas menos favorecidas desde el punto de vista de los ingresos o los gastos que efectúan, sino que también debe complementarse con información acerca de cómo perciben los propios hogares o personas su condición de vida. Si bien el enfoque subjetivo ha recibido gran atención en la literatura económica reciente, su uso es menos generalizado en la práctica (Feres y Mancero, 2001: 38).
Es importante resaltar que las medidas subjetivas de pobreza aportan valiosas sugerencias, pues exteriorizan que la percepción de la pobreza puede ser un concepto relativo a la sociedad en que el individuo se encuentre (Thorbecke, 2003). Es decir, que el sentir de los individuos va a estar ligado directamente con su entorno social, cultural y económico. Esto no implica que las medidas objetivas de pobreza sean innecesarias para las estrategias de reducción de la pobreza, se trata más bien de una complementariedad entre las medidas.
Escuchar la voz de los pobres, sus percepciones y entender sus sentimientos se ha convertido no sólo en un imperativo fundamental para mantener la cohesión social, sino que también es un instrumento indispensable en la formulación de políticas socioeconómicas más adecuadas y eficaces para la lucha contra la pobreza (Herrera, 2002: 98; Van Praag y FerreriCarbonell, 2006).
El análisis subjetivo de la pobreza radica en las respuestas que los hogares ofrecen a preguntas directas sobre su percepción del estado de pobreza. El objetivo principal de incluir preguntas de tipo subjetivo en las encuestas es buscar indicadores consistentes y reproducibles que capturen las experiencias de las personas en cuanto al manejo del presupuesto familiar, en contraposición con lo que los gobiernos definen como necesidades públicas (Miller y Mainieri, s/f). Este tipo de preguntas piden a los individuos que evalúen qué tan bien o qué tan mal se sienten respecto a: i, su nivel de ingreso actual; ii, su situación financiera o económica en general, y iii, el grado de satisfacción que tienen respecto a su salud, empleo o clase social (Ravallion, 1998). Algunos ejemplos de preguntas son los siguientes:
La pregunta del ingreso mínimo (PIM), que está diseñada para tener acceso a la problemática en torno a lo que las personas ganan y lo que realmente pueden gastar (Miller y Mainieri, s/f). En algunos casos, las respuestas a la PIM se interpretan como puntos en la función de costos del consumidor (dado el gasto mínimo necesario para asegurar un nivel determinado de utilidad) en un punto de utilidad mínima, interpretado como la línea de pobreza en el espacio de utilidad (Alaña et al., 2003: 153).

La pregunta de economía de la escalera abarca la percepción de la pobreza a partir de niveles de satisfacción. Se parte de ubicar imaginariamente a las personas en una escalera de nueve escalones, donde en el primer escalón están las personas más pobres y en el último escalón están las más ricas: se le pregunta al individuo en cuál escalón se ubicaría al momento de ser encuestado (Ravallion y Lokshin, 1999).
La pregunta de evaluación del ingreso (IEQ).8 De esta pregunta se obtiene la línea de pobreza de Leyden (LPL), y consiste en preguntarle al individuo (Kapteyn etal., 1988) lo siguiente: "Después de pagar impuestos y dadas sus circunstancias ¿cómo consideraría su nivel de ingreso?" Y las respuestas posibles serían las siguientes: muy malo, malo, insuficiente, suficiente, bueno, muy bueno. Con las respuestas a la IEQ se logra estimar la función de bienestar del nivel de ingreso.9
Aquí se consideran varias de las preguntas que se formulan en la ECV2003. Este cuestionario utiliza el ingreso como indicador monetario del nivel de vida, tiene la ventaja, frente a las medidas objetivas, de no requerir el uso de escalas de equivalencia, es decir, que el propio hogar, cuando proporciona información, tiene en cuenta el tamaño del mismo (Alaña et al., 2003). Por tanto, los resultados arrojados por las preguntas subjetivas de la ECV 2003 aportan grandes signos de cómo realmente se sienten los propios hogares frente a sus necesidades.
Algunos países han realizado estudios que se aproximan a la medición subjetiva de pobreza. Por ejemplo, Lokshin et al. (2003), con base en la encuesta nacional de hogares de Madagascar,10 calcularon lalíneade pobreza subjetiva para analizar el comportamiento del consumo en los hogares de ese país, los resultados los obtuvieron de preguntas de consumo adecuado en el hogar. Los autores, al estimar el modelo (la variable dependiente escogida fue el consumo adecuado, y las variables independientes fueron el consumo de alimentos, ropa y otros gastos de la vivienda), encontraron que los hogares rurales estaban más satisfechos con sus niveles de consumo (especialmente en alimentos), frente a los hogares de la zona urbana que presentaron estar insatisfechos con el nivel de consumo de alimentos.
De igual modo, la estimación reveló que los hogares con gran cantidad de niños y adolescentes tienen efectos negativos en el consumo del hogar (especialmente en alimentos) y que los hogares con personas enfermas perciben su nivel de consumo no adecuado frente al promedio de hogares sin personas enfermas que lo consideran adecuado.
Milanovic y Jovanovic (1999) abordaron el tema de las percepciones de pobreza en la transición de Rusia a una economía de mercado. Ante los abruptos cambios en el nivel económico y social de los rusos, el estudio permitió explorar el impacto de éstos en las personas. En relación con la pregunta de lo que la población considera como el ingreso mínimo aceptable, los investigadores concluyeron que esta pregunta tiene grandes implicaciones políticas; es decir, que si la mayoría de la población se siente pobre, serán reacios a apoyar las reformas políticas. Los investigadores también concluyen que las necesidades subjetivas varían de acuerdo con las regiones.
Giarrizzo (2005) señala para Argentina que en el análisis de pobreza subjetiva las respuestas son consistentes desde el punto de vista estadístico. Sin embargo, agrega que en realidad la gente no pretende ganar una fortuna para dejar de sentirse pobre, sino unos 200 o 300 pesos argentinos más, que mejoren algo su estándar de vida. Para Perú, Herrera (2002) aborda la percepción de las dificultades encontradas por los hogares para satisfacer lo que ellos consideran ser sus gastos necesarios para vivir de manera adecuada (línea de pobreza subjetiva); de igual modo se obtuvo mayor detalle de las estrategias que tienen los hogares para hacer frente a la insuficiencia de recursos y los impactos percibidos por los problemas sufridos.11
Líneas de pobreza subjetiva
La línea de pobreza para un individuo puede definirse como la cantidad de dinero que éste necesita para alcanzar un nivel mínimo de bienestar y no ser considerado pobre dadas sus circunstancias (tamaño del hogar, lugar de residencia, entre otros) (Ravallion, 1994, 1998; Ravallion y Lokshin, 2003, 2006). En la práctica, las líneas de pobreza se pueden clasificar entre las líneas de pobreza objetivas (LPO) y las líneas de pobreza subjetivas (LPS).
Los principales métodos para la construcción de LPO son (Feres y Mancero, 2001):
• El método del consumo calórico: bajo este método la línea de pobreza corresponde al nivel de ingreso mínimo que permite alcanzar un nivel de consumo adecuado de calorías12 requeridas para una buena salud y niveles normales de actividad.
• El método del costo de las necesidades básicas: emplea una canasta básica de bienes y servicios, por tanto, la línea de pobreza corresponde al nivel de ingreso mínimo necesario para adquirir dicha canasta básica.
Frente a las líneas de pobreza tradicionales, absolutas, que presentan una elasticidad ingreso igual a cero, o relativas, que presentan una elasticidad ingreso igual a uno, existen las denominadas líneas de pobreza subjetivas. Éstas se basan en la percepción que los propios individuos u hogares tienen de sus necesidades y presentan elasticidades de ingreso positivas pero inferiores a la unidad, lo que las hace situarse en un lugar intermedio entre los dos extremos de las líneas de pobreza tradicionales (Feres y Mancero, 2001). Estas características hacen que las LPS se adapten especialmente bien a los requisitos del mínimo de necesidad (Pinilla y Goerlich, 2004: 162).
La LPS es un concepto diferente al de pobres subjetivos. Por un lado, la LPS (ver figura 2) es el límite que separa a los pobres de los no pobres según éstos tengan ingresos suficientes para cubrir sus necesidades básicas de consumo. Si una familia o una persona no alcanzan a cubrir sus necesidades básicas son pobres. Pero si logran cubrirlas con sus ingresos, no serán pobres (Giarrizzo 2005). Se la llama LPS porque quién define cuáles son sus necesidades básicas para subsistir son las mismas familias. En cambio, por pobres subjetivos se entiende que son aquellas personas que teniendo ingresos que superan al mínimo de subsistencia (o sea que están por encima de la LPS) ganan menos de lo que necesitan ganar para no sentirse pobres.

A continuación se presenta la metodología desarrollada por Ravallion para la medición de la LPS a partir de la pregunta de ingreso mínimo (PIM) y sus modificaciones para los países en desarrollo.
Metodología para la medición de la LPS
La medición de líneas de pobreza subjetivas consiste en establecer a partir de los ingresos de los hogares, si éstos tienen o no la capacidad de satisfacer por medio de la compra de bienes y servicios un conjunto de necesidades alimentarias y no alimentarias que ellos consideren esenciales para la subsistencia. Como afirma Giarrizzo (2005), esta línea esta definida por el ingreso familiar mínimo que, según cada familia, se necesita para cubrir sus necesidades básicas. De este modo, cuando se habla de necesidades básicas son necesidades básicas de consumo de bienes y servicios. Cabe aclarar que las LPS emplean el ingreso como indicador monetario del nivel de vida, pero son las propias familias quienes definen sus necesidades.
Como se mencionó anteriormente, las LPS se basan en respuestas a preguntas que logren captar el sentir de los individuos. Por ejemplo, la 'pregunta de ingreso mínimo' (PIM) se puede expresar de la siguiente manera:
¿Cuál es el monto de ingreso mínimo (en unidades monetarias) que su familia estima necesario para satisfacer sus necesidades básicas?

Según Pradhan y Ravallion (1998), la respuesta a la PIM es el valor límite que separa las condiciones de ser pobre y no pobre. Sin embargo, estos resultados pueden ser inconsistentes, ya que personas con el mismo nivel de ingreso pueden ser tratadas de diferente manera. Además, afirman que la evidencia empírica ha encontrado que el valor esperado de las respuestas de la PIM condiciona las tendencias del ingreso actual, inflando la función de ingreso actual.
Así mismo, se ha demostrado la relación positiva y cóncava existente entre la función de ingreso actual y las respuestas a la PIM, tal como se observa en la figura 2. Las personas con ingresos por encima de Z* tienden a sentir que su ingreso es adecuado, mientras quienes están por debajo de Z* sienten lo contrario. Cuando el 'ingreso mínimo subjetivo' (IMS) es igual al ingreso actual, el hogar percibe que su nivel de ingreso es adecuado, por lo tanto Z* es el límite entre considerarse pobre o no y es llamado 'el nivel de pobreza subjetiva'.
De acuerdo con Monge y Ravina (2003) y Monge y Winkelried (2001), la función más sencilla para definir la PIM es:

Donde,
Zi: es el ingreso mínimo subjetivo (IMS)
yi: es el nivel de ingreso actual
xi: es un vector del conjunto de indicadores socioeconómicos y demográficos de los hogares
ei: es una perturbación aleatoria, con media cero y varianza constante.
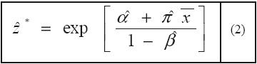
Se obtiene z* cuando zi = yi :

Donde
es el valor promedio de los indicadores contenidos en x¡ y el símbolo "^" denota 'estimado'.
Aunque la ecuación (2) es válida, como se dijo anteriormente, presenta una limitación, consistente en que el valor esperado de las respuestas de la PIM condiciona las tendencias del ingreso actual, inflando la función de ingreso actual.
Si bien la PIM se ha aplicado en varios países de la OCDE, existen pocos intentos de hacer lo mismo en un país en desarrollo. Lo anterior, debido a que hay una serie de obstáculos potenciales; por ejemplo, en la mayoría de los países en desarrollo, el ingreso no es un concepto bien definido, particularmente (pero no sólo) en las zonas rurales (Ravallion 1998).
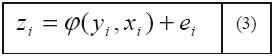
No resulta claro en absoluto si es posible o no obtener respuestas sensatas a la PIM. En ese marco es más prometedora la idea cualitativa de la adecuación del consumo (Ravallion, 1998). Por esto, Pradhan y Ravallion (1998) proponen el siguiente modelo cualitativo, donde el ingreso del hogar i viene dado por:

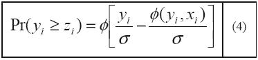
Donde φ es una función continua y ei es un error con distribución normal, media cero y varianza constante. Como la LPS es el nivel monetario por encima del cual el hogar siente que su ingreso es adecuado, zi puede obtenerse sin necesidad de utilizar el IMS, a través de preguntas cualitativas. Entonces, la probabilidad de que el ingreso observado sea adecuado es:

Donde
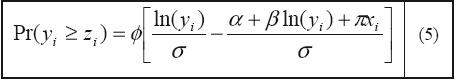
es la función de distribución que toma e / σ. Si la parametrización de φ es lineal en coeficientes, el modelo es un probit binario. Así pues, conservando el logaritmo natural de la ecuación (1) y reemplazando en (4) se obtiene:

La LPS resultante se interpreta como el pago monetario que aproxima el punto de inflexión entre considerar adecuado o no el nivel de gastos del hogar, y es determinada como:

Así, se puede resolver la línea de pobreza subjetiva sin la PIM, en la medida en que se tengan los datos cualitativos para determinar Prob(yki > Zki), para toda i y k. Por tanto, en lugar de preguntar al jefe de hogar cuál es exactamente el consumo mínimo que tanto él y su familia necesitan para sobrevivir, se pregunta simplemente si consideran o no que el consumo actual de su hogar es adecuado. Los resultados derivados de este proceso parecen dar acceso a futuras aplicaciones potenciales del análisis subjetivo de pobreza en el marco de los países en desarrollo.
Caracterización descriptiva de la pobreza subjetiva
Como se ha mencionado anteriormente, las medidas de pobreza subjetiva se basan en respuestas que los hogares ofrecen a preguntas directas sobre su percepción del estado de pobreza y condiciones de vida. A continuación se presentan los resultados encontrados a partir de los microdatos de la ECV2003:
Indicador de pobreza subjetiva: "¿Usted se considera pobre?" Se encuentra que 67.1 por ciento de los colombianos se autoperciben como pobres; en el Valle del Cauca este porcentaje es menor, alcanza a 52.2 por ciento (gráfica 1). El menor porcentaje de autopercepción de la pobreza en el Valle del Cauca revela que otros factores asociados al entorno regional frente al contexto nacional afectan esta percepción. La literatura empírica los asocia a estructuras económicas regionales y diferentes dotaciones de capital humano y social; en este artículo no se profundiza sobre esta situación.

Evolución socioeconómica de los hogares: "Con relación al hogar donde usted se crió, este hogar vive económicamente; mejor, igual, peor." En Colombia, de cada 100 hogares, 43 consideran que su situación en 2003 mejoró, 38 consideran que su situación seguía igual y 19 consideran que su situación era peor a la de su hogar de crianza. Contrastados estos resultados con los del Valle del Cauca, se encuentra la diferencia en los extremos, 45 de cada 100 hogares estaban económicamente mejor y 20.6 por ciento estaban peor (gráfica 2).

Percepción de pobreza versus suficiencia del ingreso
En Colombia, 52.4 por ciento de los hogares que se consideran pobres afirman que sus ingresos no alcanzan para cubrir sus gastos mínimos, en los hogares vallecaucanos este porcentaje es menor: 43.8 por ciento. Lo anterior sugiere que en el Valle del Cauca un hogar que se autopercibe como pobre parece requerir un ingreso menor para traspasar la frontera entre pobre y no pobre (gráfica 3).

LPS para Colombia y el Valle del Cauca
Para calcular la LPS para Colombia y el Valle del Cauca se emplea un modelo logit. La ECV2003 indaga las condiciones de vida de la población. Esta encuesta emplea una muestra de 85 150 individuos y 24 090 hogares, lo cual la hace representativa, tanto a nivel nacional como regional y para el Distrito Capital (Bogotá). En el Capítulo M de esa encuesta se abordan las condiciones de vida del hogar, de ese capítulo se han tomado las preguntas relevantes para el análisis empírico que se realiza en este trabajo.
La variable dependiente, que se identifica como si el ingreso observado fuese el adecuado (ingreso observado adecuado), es tomada de la pregunta Mil, donde se indaga al jefe del hogar si el ingreso actual del hogar alcanza para solventar los gastos mínimos del mismo. En la ECV2003 dicha variable tiene tres opciones:
1. No alcanza para cubrir los gastos mínimos.
2. Sólo alcanza para cubrir los gastos mínimos.
3. Cubre más que los gastos mínimos.
Para efectos del modelo, se debe convertir dicha variable en una binaria (tomando valores de 0 y 1), donde: 0 significa 'No alcanza para cubrir los gastos mínimos', y 1, 'Alcanza para cubrir los gastos mínimos y más'.
Las variables explicativas xi son un vector del conjunto de indicadores socioeconómicos y demográficos de los hogares. Siguiendo a Ravallion (2000), se identifican mediante la variable tamaño del hogar (número de personas que conforman el hogar). Para el ingreso observado se toma la variable ingreso del hogar, al cual se le aplica el logaritmo natural (Lningreso)
Modelo de estimación
Siguiendo a Ravallion (1998), se emplea un modelo cualitativo de elección binaria tipo logit:
Sea el modelo:

Que expresamos de manera sintética
Y = Xβ
La probabilidad que Y sea igual a 1 (de que ocurra el evento 1), condicional en los valores de las variables explicativas toma la siguiente forma (Greene, 2003; Cabrer et al., 2001):
Prob(Y = 1) = F(x, β)
Prob(Y = 0) = 1 F(x, β)
Donde Prob(Y = 1) representa la probabilidad de que el ingreso observado de un hogar sea el adecuado, x representa un vector de variables independiente (donde, y. es el ingreso actual del hogar), xi es un vector del conjunto de indicadores socioeconómicos y demográficos de los hogares), β es el vector de parámetros de la relación y F denota la función de distribución acumulada elegida en la especificación del modelo (logística o normal).
En donde F(:) tiene las siguientes propiedades:
F(1) = 0; F(1) = 1;ƒ(x) = dF(x)= dx > 0
Si la distribución acumulada es probit, entonces:

Si la distribución es logit, se tiene que:

La interpretación de los coeficientes estimados en el modelo logit difiere de la interpretación de los coeficientes estimados por mínimos cuadrados ordinarios (MCO) en dos puntos importantes (Herrera, 2002: 69):
• El valor de los coeficientes varía con el valor de la variable exógena cuyo coeficiente se ha estimado y con los valores de las otras variables exógenas del modelo. Esto es una característica común a los modelos de regresión no lineal en los parámetros. En el caso del modelo logit. aunque el impacto esperado en y = ln(z) sea el mismo sea cual sea el nivel de las variables X1, X2,..., el impacto sobre z[y no ln(z)] depende en el nivel de z . Recuérdese que z = exp(b0 +b1 x1 + b2 x2 + e).
• En los modelos no lineales, a diferencia de los modelos lineales MCO, la derivada parcial respecto a una de las variables explicativas no es necesariamente igual al ratio entre la variación de la esperanza matemática de la variable dependiente y la variación de la variable exógena o explicativa.
Lo anterior significa que los resultados se presentan respecto a cierto nivel de los valores observados de las variables explicativas. Generalmente se utilizan los valores promedios de las variables explicativas. En ciertos casos conviene presentar, de manera gráfica, los valores estimados del coeficiente de una variable precisa cuando ésta adopta diferentes valores, manteniendo las demás al nivel de sus valores promedios. Así, por ejemplo, en el caso que nos ocupa, podemos interesarnos en el impacto de la variación del tamaño de un hogar sobre la probabilidad de que éste se considere pobre manteniendo el valor de las otras variables explicativas en su nivel medio.
Con el fin de facilitar la lectura de los modelos logit, especialmente en lo concerniente a los coeficientes estimados, éstos comúnmente se expresan en términos de la razón de probabilidades (odds ratio en inglés). Los odds ratio indican la probabilidad de que el evento ocurra respecto a la probabilidad de que no ocurra. Para ello se toma simplemente los exponenciales de los coeficientes estimados así:
Si eβ > 1 entonces puede decirse que la probabilidad de que ocurra el evento aumenta en eβ veces.
Si eβ < 1 entonces puede decirse que la probabilidad de que ocurra el evento disminuye en eβ veces.
Otra alternativa de interpretación es la conocida como los efectos marginales (Matas, 2004):

El efecto marginal de xj en la probabilidad depende de x a través de g(xβ). Sin embargo, el signo del efecto viene dado por el signo de βj.
Debilidad del modelo
Existen muchos factores o variables socioeconómicas relativas al hogar que también podrían estar determinando la LPS, es decir, reflejar las razones por las cuales un jefe de hogar se pueda sentir pobre; por ejemplo: no tener trabajo, no poder mantener a quienes dependen de él, no tener para comer, no tener acceso a servicios públicos, no tener oportunidades, tener mala salud, no tener casa (Herrera, 2002).
Lo anterior ilustra que hay múltiples razones por las que un individuo pueda o no sentirse pobre, y en este modelo sólo se abordó a través de dos variables: el tamaño del hogar y el ingreso. No obstante, estas variables resumen un conjunto de factores que las hacen ampliamente relevantes para indicar el bienestar: el nivel de escolaridad, los recursos disponibles, la capacidad de comprar bienes, el nivel de hacinamiento, etcétera.
Adicionalmente, si a una persona se le pregunta si se siente pobre, antes de responder piensa en diferentes factores que lo pueden hacer sentir pobre, es decir, hace un balance de su vida. Y la respuesta puede cambiar de un momento a otro. Si la encuesta sobre bienestar subjetivo consulta sobre su pobreza en el mismo momento en que por algún hecho fortuito tuvo que hacer un gasto, la respuesta será totalmente diferente a si le preguntan luego de haber cobrado su salario, o el nacimiento de un hijo. Por tanto, los resultados de los diferentes trabajos que buscan entender las razones que llevan a que una persona evalúe su pobreza pueden resultar extremadamente ambiguos y contradictorios entre sí (Giarizzo, 2005).
Resultados
Resultados para Colombia
Los resultados muestran para Colombia que un aumento en el número de personas que conforman el hogar hace menos probable (aproximadamente 0.8 veces menos probable) que el ingreso del hogar alcance a cubrir al menos sus gastos mínimos (ingreso adecuado). Específicamente, los resultados revelan que si el tamaño del hogar se incrementa en una unidad, la probabilidad de que el ingreso obtenido por dicho hogar sea el adecuado se disminuye en 4.3 por ciento.
Por el contrario, un aumento de una unidad en el logaritmo del ingreso del hogar, aumenta la probabilidad de que dicho ingreso pueda solventar al menos sus gastos mínimos en 21.3 por ciento, es decir, hace 2.6 veces más probable que este ingreso sea el adecuado para el hogar (cuadro 1).

Tomando los coeficientes estimados en el modelo logit y como vector (xp), el tamaño promedio de los hogares en Colombia (3.71 personas), la LPS calculada implica un ingreso mensual por hogar de 1 142 097.78 pesos colombianos. Es decir, los hogares colombianos con ingresos superiores a esta cifra sienten que su ingreso es adecuado (cubre al menos sus gastos mínimos o más), mientras los que reciben ingresos por debajo de este nivel sienten lo contrario.
El cálculo de la LPS, siguiendo una distribución logit, se realizó de la siguiente manera:
Se tiene,
Como p = 0.5 (probabilidad de que ocurra o no el evento)

La situación de pobreza subjetiva por número de hogares se observa en el cuadro 2. En el año 2003, siete de cada diez hogares en Colombia se sentían pobres según LPS, es decir, que el ingreso mensual que recibían no lograba satisfacer sus gastos mínimos.

Al hacer la comparación de la situación de pobreza subjetiva con un indicador objetivo de pobreza, como las NBI, se observa que de cada 100 hogares considerados no pobres por NBI hay 68 cuyo ingreso mensual no satisface sus gastos mínimos. Por otra parte, 93.6 por ciento de los hogares considerados pobres por el método de las NBI perciben que su ingreso recibido mensualmente no cubre sus gastos mínimos (cuadro 3).

Resultados para el Valle del Cauca
Los resultados indican para el Valle del Cauca, tal como sucedió a nivel nacional, que un aumento en el número de personas que conforman el hogar hace menos probable que el ingreso del hogar alcance a cubrir los gastos mínimos. De igual forma, un aumento de una unidad en el ingreso hace 2.6 veces más probable que el ingreso generado por el hogar sea el adecuado (cuadro 4).

En cuanto a los efectos marginales de las variables explicativas, se tiene que si el tamaño del hogar se incrementa en una unidad, la probabilidad de que el ingreso obtenido por dicho hogar sea el adecuado se disminuye en 3.4 por ciento. De otra parte, un aumento de una unidad en el logaritmo del ingreso del hogar aumenta la probabilidad de que dicho ingreso pueda solventar al menos los gastos mínimos de éste en 20.6 por ciento.
Con el mismo procedimiento se encuentra una LPS para el Valle del Cauca de 872 545.69 pesos colombianos mensuales por hogar, el tamaño promedio de los hogares en el Valle es 3.76 personas. Según la LPS calculada para el Valle, 52 por ciento de los hogares en 2003 percibían que su ingreso no era adecuado para al menos solventar sus gastos mínimos (cuadro 5).

Al hacer la comparación de la situación de pobreza subjetiva con el NBI, se observa que del total de hogares que son considerados no pobres según NBI, la mitad de ellos perciben que su ingreso no es el adecuado para cubrir al menos sus gastos mínimos. Por otra parte, 18.7 por ciento de los hogares pobres según NBI perciben que el ingreso que reciben alcanza para cubrir al menos sus gastos mínimos (cuadro 6).

Nivel de ingreso mínimo requerido
La LPS a nivel nacional fue de un ingreso mensual por hogar de: 1 142 097.78 pesos colombianos, y para los hogares vallecaucanos fue de 872 545.69 pesos colombianos. Estos son los niveles de ingreso mínimo que un hogar siente que necesita para poder cubrir sus gastos mínimos y no percibirse como pobre.
Según esta diferencia, se puede intuir que la estructura de gastos y las condiciones de vida de los hogares vallecaucanos es diferente a la del promedio nacional, descontando el tamaño del hogar. Estos diferenciales podrían estar sujetos a variaciones en el consumo de alimentos, en el pago de servicios públicos, movilidad en el mercado de trabajo, estructura económica regional, etc. Esto muestra que en un mismo país las percepciones de pobreza son diferentes según el entorno económico y social de cada región.
Para estudios posteriores queda por responder la pregunta: ¿por qué en el Valle del Cauca un hogar deja de sentirse pobre a partir de un menor nivel de ingreso que en Colombia? Y extender el análisis a todas las regiones colombianas.
Conclusiones
La medición subjetiva ofrece una visión de la pobreza desde la perspectiva de los mismos individuos, es decir, proporciona un acercamiento a la problemática desde los verdaderos afectados. No se puede desconocer que la voz de los pobres envía mensajes que contribuyen a mejorar la comprensión y las políticas para superar la pobreza:
• En el Valle del Cauca un hogar se considera pobre si sus ingresos están por debajo de 872 545 pesos, mientras que para el promedio nacional estos ingresos son de 1 142 097 pesos.
• 72 por ciento de los hogares colombianos están por debajo de la LPS; para el Valle del Cauca, esta cifra corresponde a 52 por ciento.
• El tamaño del hogar tiene un impacto negativo sobre el ingreso que los hogares consideran adecuado para cubrir por lo menos sus gastos mínimos. En Colombia, éste disminuye en 4.3 por ciento cuando se incrementa una persona al hogar; en el Valle del Cauca, esta disminución es menor: 3.4 por ciento.
• El aumento del ingreso afecta positivamente las percepciones de los hogares sobre el nivel de ingreso adecuado para satisfacer sus gastos mínimos.
• 6.4 por ciento de los hogares colombianos que son considerados pobres según el NBI están por encima de la LPS; en el Valle esa proporción es de 18.7 por ciento.
Estos resultados exhiben diferencias entre el promedio nacional y el Valle del Cauca, las cuales pueden ser explicadas por los distintos patrones de consumo, los precios relativos de los bienes y servicios, la estructura económica, etc. Por esto, resulta interesante seguir indagando sobre estas diferencias y las comparaciones con el resto de departamentos.
Bibliografía
AGUADO, L. F, y OSORIO, A, M, 2006, "Percepción subjetiva de los pobres: una alternativa a la medición de la pobreza", en Reflexión Política, 8 (15). [ Links ]
ALAÑA, C. J., M. T. SALOMÓN y J. F. SALINAS, 2003, "Generación de un enfoque metodológico para la medición de la pobreza subjetiva", en Revista Venezolana de Análisis de Coyuntura, 9 (2). [ Links ]
BANCO MUNDIAL, 2004, La pobreza mundial se reduce a la mita desde 1981, pero el progreso es irregular ya que el crecimiento económico no llega a muchos países, Banco Mundial, Comunicado de Prensa (2004/309/s), 23 de abril. [ Links ]
CABRER, B., A. SANCHO y G. SERRANO, 2001, Microeconomia y decisión, Ediciones Pirámide, Madrid. [ Links ]
CORDERO, L, J. HERRERA y G. YAMADA, 2003, Lineas de pobreza ajustadas por la necesidad de salud: el caso peruano, Documento para Discusión. Organización Panaramericana de la Salud. [ Links ]
DE VOS, K, y T. GARNER, 1991, "An evaluation of subjective poverty definitions: comparing results from the US and the Netherland", en Review of Income and Wealth, 373 (3). [ Links ]
DEATON, A, 2000, Counting the world's poor: problems andpossible solutions, Research Program in Development Studies, Princeton University, 29. [ Links ]
DNPMERPD, 2006, Metodologia de medición y magnitud de la pobreza en Colombia, Misión para el diseño de una estrategia de reducción de la pobreza y la desigualdad, Departamento Nacional de Planeación y Misión para el Diseño de una Estrategia de Reducción de la Pobreza y la Desigualdad, Bogotá [ Links ].
PNUD, 1999, Informe de Desarrollo Humano para Colombia, Tercer Mundo Editores, Bogotá [ Links ],
FERES, J, y X. MANCERO, 2001, Enfoques para la medición de la pobreza, breve revisión de la literatura, Comisión Económica para América Latina y el Caribe, Serie de Estudios Estadisticos y Prospectivos (4), 18. [ Links ]
FRANCKE, P, 1999, "La pobreza vista desde distintos ángulos", en R. WEBB, M. VENTOCILLA, y J. J. WICHT (Edits.), Pobreza y economia social, análisis de una encuesta ENNIV1997, Instituto Cuantoqo/Fondo de las Naciones Unidas para la Infancia (UNICEF)/Agencia para el Desarrollo Internacional de los Estados Unidos (USAID). [ Links ]
GIARRIZZO, V, 2005, La pobreza subjetiva en Argentina: una aproximación al bienestar de la población, XI Jornadas de Epistemología de la Economía, FCE/UBA. [ Links ]
GREENE, W, 2003, Econometric analysis, Pearson Education, New Jersey. [ Links ]
GRISSI, J., 1981, "Sobre el concepto de pobreza", en Estudios Sociales, 2829. [ Links ]
HAGENAARS, A., y K. C. DE VOS, K, 2003, "The definition and measurement of poverty", en The Journal of Human Resources, 23 (2). [ Links ]
HERRERA, J, 2002, La pobreza en el Perú 2001: una visión departamental, ineiird. [ Links ]
HERRERA, J., M. RAZAFINDRAKOTO y F. ROUBAUD, 2006, The determinants of subjective poverty: a comparative analysis between Madagascar and Peru, DIAL Documento de Trabajo. [ Links ]
INE, 2005, La pobreza y su medición: presentación de diversos métodos de obtención de medidas de pobreza. Instituto Nacional de Estadística de España. [ Links ]
KAPTEYN, A, P. KOOREMAN y R. WILLEMSE, 1988, "Some methodological issues in the implementation of subjective poverty definitions", en The Journal of Human Resources, 23 (2). [ Links ]
LOKSHIN, M, N. UMAPATHI y S. PATERNOSTRO, 2003, Robustness of subjective welfare analysis in a poor developing country: Madagascar 2001, The World Bank, Washington, DC. [ Links ]
LÓPEZ, L., F., L. RODRÍGUEZCHAMUSSY y F. TRUJILLO, 2004, Cada quien habla de la feria: características socioeconómicas de los hogares y percepciones de la pobreza y la política social, Serie Documentos de Investigación, Secretaría de Desarrollo Social, (16), 9, México. [ Links ]
LUCCHETTI, L, 2006, Caracterización de la percepción del bienestar y cálculo de la linea de pobreza subjetiva en Argentina, Documentos de Trabajo, Centro de Estudios Distributivos, Laborales y Sociales (CEDLAS), Universidad Nacional de La Plata (40). [ Links ]
MATAS, A, 2005, Econometría aplicada ii: los modelos de elección discreta, Programa de Doctorado de Economía Aplicada, Universidad Autónoma de Barcelona. [ Links ]
MEDINA, E, 2003, Modelos de elección discreta. Universidad Autónoma de Madrid. [ Links ]
MILANOVIC, B, y B. JOVANOVIC, 1999, Changes in the perception of the poverty line during the times of depression: Russia 199396, Development Research Group, The World Bank, Washington DC. [ Links ]
MILLER, D, y MAINIERI, T, 1997, Subjective assesments of economic wellbeing: understanding the question, University of Michigan. [ Links ]
NARAYAN, D, 2000, La voz de los pobres ¿hay alguien que nos escuche?, Mundiprensa, Madrid. [ Links ]
PINILLA, R, y GOERLICH, F, J, 2004, "Lineas de pobreza subjetiva en el cálculo del potencial de calidad de vida (QLP) en España. Aplicación a partir de la EPF 199091", en Investigaciones Regionales, (5). [ Links ]
PRADHAM, M, y M. RAVALLION, 1998, "Measuring poverty using qualitative perceptions of wellfare", en Review Of Economics and Statistis. [ Links ]
PRADHAN, M, y M. RAVALLION, 2000, "Measuring poverty using qualitative perceptions of consumption adequacy", en The Review of Economics and Statistics. [ Links ]
RAVALLION, M, 2000, "¿Should Poverty measures be anchored to the national accounts?", en Special Articles, Economic and Political Weekly, August 26September 2. [ Links ]
RAVALLION, M, 1994, "Measuring social welfare with and without poverty lines", en American Economic Review, 82 (2). [ Links ]
RAVALLION, M, 1998, Poverty lines in theory andpractice, World BankLiving Standard Measurements, Study Working Paper (133). [ Links ]
RAVALLION, M, y M. LOKSHIN, 1999, Subjective economic wellfare, World Bank Policy Research Papers Series 2106, 143. [ Links ]
RAVALLION, M, 2007, Povery lines, en L, BLUME, y S. DURLAUF (Edits.), The new palgrave dictionary of economics, Palgrave Macmillan. [ Links ]
RAVALLION, M, y B. BIDANI, 1993, How robust is a poverty profile?, World Bank Working Papers (1223). [ Links ]
RAVALLION, M, y M. LOKSHIN, 2000, Identifying wellfare effects from subjective question, World Bank Policy Research Papers Series (2301). [ Links ]
RAVALLION, M, y M. LOKSHIN, 2003, On the utility consistency of poverty lines, World Bank Policy Research Working Papers Series (3157). [ Links ]
RAVALLION, M., y M. LOKSHIN, 2006, "Testing poverty lines", en Review of Income and Wealth, 52 (3). [ Links ]
SEN, A, 1999, Develpment as freedom, Oxford University Press, New York. [ Links ]
SEN, A, J. MUELLBAUER y G. HAWTHOM, 1987, The standard of living, Cambridge University Press. [ Links ]
THORBECKE, E, 2003, Conceptual and measuremnt issues in poverty análisis. Cornell University. [ Links ]
VAN PRAAG, B, y A. FERRERICARBONELL, 2006, A multidimensional approach to subjective poverty, [Versión modificada de un artículo presentado en la apertura del seminario sobre La Medición Multidimensional de la Pobreza, Evidencia y Teoría en Brasilia, Agosto 29 de 2005] [ Links ].
VAN PRAAG, B, J. SPIT y H. VAN DE SADT, 1982, "Comparison between the food ratio poverty line and the leyden poverty line", en The Review of Economics and Statistics, 64 (4). [ Links ]
WEISSMAN, D, 2006, Global hunger index: a basis for crosscountry, International Food Policy Research Institute, Washington DC. [ Links ]
1 El análisis absoluto se basa en el concepto del mínimo estándar de subsistencia. Internacionalmente, el Banco Mundial ha establecido que las personas que vivan con un dólar o menos al día se consideran pobres extremos o indigentes y las personas que vivan con menos de dos dólares al día son considerados pobres. Estas dos medidas generalmente son utilizadas para hacer comparaciones entre países. El análisis relativo compara los segmentos más bajos de la población con los más altos, usualmente medido en quintiles o deciles de ingreso. Es una medida de desigualdad del ingreso (DNPMERPD, 2006; Feres y Mancero, 2001).
2 Por ejemplo, en América Latina se usa el método de la canasta básica de alimentos para determinar la línea de indigencia, que requiere: i, una definición previa de estándares nutricionales por edad, sexo y otras condiciones personales; ii, el conocimiento del contenido nutricional de los diversos alimentos, y iii, la elección de una población de referencia para la determinación de los hábitos alimenticios en un año base (cantidades, precio) (DNPMERPD, 2006: 21).
3 Puede calcularse fijando también estándares de consumo para los gastos diferentes a los alimentos, como vivienda, vestuario, transporte, entre otros (DNPMERPD, 2006: 22).
4 El International Food Policy Research Institute (IFPRI) construye el índice global del hambre (GHI) para monitorear la situación de los países en desarrollo con respecto a la alimentación de la población, empleando tres variables: insuficiencia alimentaria, insuficiencia ponderal en niños menores de cinco años y tasa de mortalidad en menores de cinco años (Wiesmann, 2006).
5 Este indicador abarca tres dimensiones del bienestar: vivir una vida larga y digna, disponer de educación y tener acceso a los recursos de un nivel de vida digno. Fue diseñado por el Programa de las Naciones Unidas para el Desarrollo (PNUD) en 1990 y utiliza como enfoque la búsqueda de medios para mejorar las condiciones de vida y aumentar las libertades de los individuos (PNUD, 2007).
6 El propósito de este indicador es hacer un análisis más profundo de la satisfacción de las necesidades básicas y calidad de vida. Logra combinar indicadores como bienes físicos (características de la vivienda y acceso a servicios públicos), capital humano presente y potencial (años de educación de jefes de hogar y de mayores de 12 años, asistencia escolar de niños y jóvenes) y composición del hogar (hacinamiento y proporción de niños menores de seis años) (DNPMisión Social y PNUD, 1999).
7 El índice de NBI integra cinco indicadores: i, Vivienda inadecuada: vivienda con piso de tierra o material precario en las paredes; ii, Vivienda sin servicios: hogar sin agua por acueducto o en áreas urbanas, sin conexión a alcantarillado o pozo séptico; iii, Hacinamiento crítico: número de personas por cuarto superior a 3; iv, Inasistencia escolar: hogar con niños de 7 a 11 años que no asisten a la escuela, y v, Alta dependencia económica: hogar con más de tres personas por miembro ocupado y cuyo jefe tenga, como máximo, tres años de educación primaria aprobados.
8 Por su sigla en inglés income evaluation question.
9 Para ampliar este tema véase Van Praag et al., 1982.
10 Esta encuesta es una larga escala multipropósito que tiene los datos de aproximadamente 500 hogares.
11 Recibieron ayuda pública o de ONG, se endeudaron, se descapitalizaron (usaron ahorros, empeñaron o vendieron bienes), disminuyeron consumo, trabajaron más, entre otros.
12 2 100 calorías según la Organización Mundial de la Salud.












