Servicios Personalizados
Revista
Articulo
Indicadores
-
Citado por SciELO -
Accesos
Links relacionados
-
Similares en
SciELO
Compartir
Papeles de población
versión On-line ISSN 2448-7147versión impresa ISSN 1405-7425
Pap. poblac vol.14 no.58 Toluca oct./dic. 2008
El índice de Thompson en el estudio de la extinción de poblaciones que hablan lenguas indígenas
Thompson index in the study of the extinction of populations that speak indigenous languages
Manuel Ordorica Mellado
El Colegio de México.
Resumen
El propósito de este artículo es presentar el análisis realizado mediante el índice de reemplazo de Thompson para determinar qué poblaciones hablantes de lengua indígena están en proceso de extinción, a fin de establecer programas orientados a la supervivencia de esos grupos indígenas. Con base en la información sobre la estructura por edad derivada de un censo de población, es posible obtener una estimación de la tasa de reproducción. Según los resultados, las lenguas en proceso de extinción acelerada en México son: chontal, mayo, chontal de Oaxaca y matlatzinca; mientras que las que están en proceso de extinción lenta son: mazahua, mame, maya, chontal de Tabasco y otomí.
Palabras clave: diversidad cultural, diversidad lingüística, lenguas extinguidas, tasa de reproducción, chontal, mame, maya, mayo, matlatzinca, mazahua, otomí, México.
Abstract
This article's aim is to present the analysis carried out by means of Thompson replacement index in order to determine which populations, according to their indigenous language are undergoing extinction so as to establish programs oriented to foster these indigenous peoples' survival. Based on the information on the structure by age derived from a population census, it is possible to obtain an estimation of the reproduction rate. According to the results, the languages in accelerated extinction process are: Chontal, Mayo, Chontal from Oaxaca and Matlatzinca; whereas those undergoing slow extinction are: Mazahua, Mame, Maya, Chontal from Tabasco and Otomi.
Key words: cultural diversity, linguistic diversity, extinct languages, reproduction rate, Chontal, Mame, Maya, Mayo, Matlatzinca, Mazahua, Otomi, Mexico.
Ante todo, la diversidad cultural es un hecho permanente. Pero, además de ser inevitable, es también
deseable por muchas razones. Primero, como manifestación de la creatividad del espíritu humano, la
diversidad cultural es preciosa en sí misma. Segundo, se debe preservar por principio, en nombre de la
equidad, de los derechos humanos y de la autodeterminación. Tercero, al igual que la diversidad biológica,
puede ayudar a la humanidad a adaptarse a los recursos limitados de su medio ambiente. Cuarto, es un
antídoto necesario frente a la dependencia y a la opresión política y económica. Quinto, la rica diversidad de
culturas es fuente de satisfacciones estéticas. Sexto, la diversidad es también estimulante para el espíritu. Por
último, constituye una reserva de conocimientos y experiencias sobre modos de actuar prácticos y útiles.
Informe mundial sobre la cultura (Unesco, 1999).
Marco de referencia
Hoy en día es común decir que no hay un solo México, sino muchos Méxicos. Pero independientemente de lo paradójico que pudiera ser el señalamiento antes mencionado, es evidente que existe mucho de verdad en tal afirmación. Es posible mencionar que México es uno de los países más polifacéticos que puedan encontrarse tanto en lo geográfico como en lo cultural, como lo demuestra el hecho de que existen más de 50 grupos indígenas distinguibles por la lengua que hablan.
La lengua de un pueblo forma parte de su cultura, y lo que le ocurra a una, será el destino de la otra; sin lengua y sin tierra no se tiene identidad. La cultura se moldea a lo largo del tiempo a fin de expresar sus valores, sus objetos y sus creencias. "Cuando un pueblo pierde su lengua como un código de interacción social pierde su esencia misma como grupo, al olvidar sus propios símbolos de su cosmovisión" (Uranga, 2005).
En el mundo existe un gran número de lenguas, muchas han desaparecido por la poca población que las hablaba o porque se han asimilado a otras lenguas. Este fenómeno trae consigo un sentimiento de pérdida, como cuando se extingue una especie.
Una de las mayores preocupaciones que puede tener la humanidad es su extinción, porque significa su desaparición como especie en el planeta. En ocasiones ponemos poca atención a problemas porque los ubicamos en el largo plazo. Los atendemos cuando ya los tenemos encima. Así ocurrió con la elevada fecundidad observada en nuestro país a mediados de la década de 1960. Se planteó una política demográfica cuando el ritmo de crecimiento de la población era de los más elevados del mundo, del orden de 3.5 por ciento anual. Dicha cifra significa que la población se duplicaría cada 20 años si continuara ese aumento poblacional. Se tomó una decisión de política cuando ya teníamos el problema.
Los seres humanos estamos interesados en que nuestra descendencia continúe, que nuestro apellido no desaparezca, que nuestra lengua permanezca. Cuando escuchamos que ha desaparecido un número muy grande de especies, nos alarma y pensamos que eso podría continuar ocurriendo en el futuro.
Durante varios años, especialmente a finales del siglo XIX y principios del XX, investigadores en el campo de la Demografía y la Estadística estuvieron muy interesados en calcular la probabilidad de extinción de una descendencia. La lista comprende los nombres de Watson (1889),1 Galton (1889), Lotka (1931), Fisher (1929), entre otros. Este problema también interesó y sigue interesando a reyes, quienes lo consideran de especial relevancia, puesto que significa tener o no tener heredero al trono. Además, está muy relacionado con un tema de probabilidades llamado proceso de ramificación, que tiene sus raíces en la discusión de Francis Galton sobre la decadencia de las familias de hombres que ocuparon posiciones importantes en tiempos pasados.
El tratamiento de este tipo de problemas ha sido desarrollado ampliamente en el campo de los procesos estocásticos y en el campo de la Demografía, donde la probabilidad de extinción de una descendencia está vinculada al índice de reproducción. Esta misma idea puede utilizarse para calcular el índice de reemplazo de la lengua, siguiendo la analogía con la tasa de reproducción. Las herramientas y fuentes del análisis demográfico permiten cuantificar la tasa de reproducción de la población según la lengua que habla, usando la estructura por edad de la población indígena.
Una buena parte de las lenguas de los pueblos indígenas se ha extinguido, sobre todo en lo que concierne a las que se hablaban en el norte, noroeste y occidente del país. Dichas lenguas correspondían a grupos pequeños, guerreros y nómadas, características que incidieron en su extinción, la cual se presentó debido a una elevada mortalidad y una baja fecundidad. Esto último se explica por la dificultad que implicaba cargar a los hijos en una situación de continuo movimiento y migración. También es posible señalar la posible asimilación a otros grupos, como parece que ocurrió con los eudeves, que se integraron a los ópatas (INI, 1982). Con base en el censo de población del año 2000, es posible señalar que las lenguas indígenas con menos de 500 hablantes y que en consecuencia están en peligro de extinción por ser una población pequeña son las siguientes:2 aguacateco (23), cakchiquel (210), cochimi (82), cucapá (178), ixcateco (351), ixil (90), kiliwa (52), kumai (161), lacandón (40), kikapú (138), motocintleco (174), ocuilteco (466), ópata (4), paipai (201), papabuco (5), pápago (141), quiché (246), seri (458), solteco (6), entre otras (Uranga, 2005). Otros grupos, si bien tienen un número elevado de hablantes, cuentan con niveles de fecundidad por abajo del reemplazo, lo que origina una elevada probabilidad de extinción de su población.
No son pocas las lenguas que se han extinguido a lo largo de la historia de nuestro país. En el cuadro 1 se presentan algunas de las diversas lenguas que han desaparecido.

Los grandes imperios, por lo numeroso de su población y por el desarrollo alcanzado, tuvieron un crecimiento demográfico importante. En este sentido, como ya mencionamos, el tamaño pequeño de la población es un elemento clave en este proceso de desaparición de un grupo de personas. Otros pequeños grupos sucumbieron porque habitaban en abruptas serranías, que los defendieron del ataque de los conquistadores.
Si bien es cierto que no es posible generalizar, parecería que, por una parte, la concentración de población permitió la supervivencia de las comunidades indígenas, y por la otra, la dispersión derivada de la migración fue un elemento que podría explicar la extinción de las lenguas.
Objetivo
El propósito de este trabajo es analizar mediante técnicas demográficas qué poblaciones según su lengua indígena están en proceso de extinción, cuáles en equilibrio y cuáles en acelerado crecimiento, a fin de establecer programas orientados a la supervivencia de esos grupos indígenas.
Metodología
A fin de analizar este proceso construiremos un indicador semejante a la tasa de reproducción, el cual se interpreta como el número de hijas que van a sustituir a una madre. Este indicador generalmente se calcula a partir de las estadísticas vitales o en función de un censo o una encuesta de fecundidad. Es posible calcularlo en forma directa o por medio de métodos indirectos de estimación demográfica. La tasa de reproducción es la suma de las tasas de fecundidad multiplicada por el índice de feminidad. El resultado es el número de niñas que van a reemplazar una madre.
Una forma indirecta de aproximarse a la tasa de reproducción es por medio del índice de reemplazo de W. S. Thompson (Lotka, 1979). Con base en la información sobre la estructura por edad derivada de un censo de población es posible obtener una estimación de la tasa de reproducción. Los pasos a seguir son los siguientes:
1. Calcular el cociente entre el número de niñas con edades comprendidas entre cero y cuatro años y el total de mujeres comprendidas entre 15 y 49 años, que es el grupo de edades en que se encuentra el periodo fértil de la mujer. Esta información se deriva del censo de población del año 2000. En la aplicación del índice en este trabajo se utilizó la información de cinco a nueve años en vez del grupo de cero a cuatro años como lo hace Thompson, debido al elevado nivel de subregistro de la población en las primeras edades que se observa en los censos de población, además de que es la etapa de la vida en que los niños y las niñas empiezan a hablar.
2. Calcular el mismo cociente para una población estacionaria correspondiente a la de la tabla de vida aplicable al mismo momento. Debido a que no se dispone de tablas de vida para poblaciones indígenas se utilizó la tabla para Oaxaca en 1990, considerando que este estado podría tener cifras de mortalidad semejantes a las poblaciones indígenas, debido a que es un estado mayoritariamente indígena (Villalobos y Aremis, 2004).
3. Dividir el primer cociente entre el segundo. Las edades límites de ambos grupos son arbitrarias tanto para las niñas como para las mujeres. Debido a que disponemos tanto de la estructura por edad de los hombres como de las mujeres, e interesa saber el reemplazo de la lengua para ambos sexos, se tomó un promedio aritmético entre el índice para hombres y el índice para mujeres. El límite de las mujeres y de los hombres adultos fue de 15 a 49 años. El límite de las niñas y de los niños fue de cinco a nueve años cumplidos, tanto en el caso de la información censal como en el caso de la población de la tabla de vida. Como es lógico, en el caso de hablantes de lengua indígena en los hogares, el límite inferior empieza a partir de los cinco años, una vez que el niño o la niña ya saben hablar.
Una ventaja de este índice es que requiere de una sola fuente de información, que es el censo de población, el cual cuenta con una elevada cobertura. La fórmula se expresa de la siguiente manera:

A este indicador lo llamaremos índice de reemplazo de la lengua y lo denotaremos con la letra L, donde c(a) es la estructura por edad de la población y P(a) es la probabilidad de vida a la edad a. Al tomar integrales definidas nos queda la población y la probabilidad de vida entre una edad y otra. Si el índice L se encuentra por arriba de uno significa que la población tiene un crecimiento positivo y por tanto crecerá el número de hablantes de esa lengua. Si en cambio es menor a uno, el crecimiento es negativo y esa población tenderá a la extinción, y por tanto significaría la desaparición de la lengua.
Es importante hacer notar que al calcular este índice con base en la población de niños y de niñas de cinco a nueve años, la tasa de reproducción debe estar referida a algunos años en el pasado. Los niños censados en el año 2000 nacieron entre 1990 y 1995. La tasa neta de reproducción en ese periodo fue de 1.5, según Naciones Unidas (United Nations, 2005).
El modelo
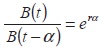
En una población estable y con crecimiento exponencial se tiene:

Donde B(t) son los nacimientos en el momento t.
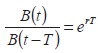
En el caso de que α = T entonces:

Por otro lado, también en una población estable se tiene:

Donde T es el tiempo medio entre dos generaciones sucesivas de mujeres y Ro es la tasa neta de reproducción.
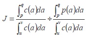
Definamos

Donde c(a) es la estructura por edad y p(a) es la función de supervivencia de una tabla de vida.

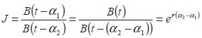
Si α2 - α1 = T entonces
J = erT
Pero sabemos que erT = R0.
Esto significa que J también es un estimador de las tasa de reproducción, siempre y cuando se cumpla que α2 - α1 = T.
Si tenemos la estructura por edad de la población indígena y una tabla de mortalidad, entonces es posible estimar J. En este caso J se puede interpretar como el índice de reproducción de la población según la lengua que habla. En realidad es una medida del nivel de la fecundidad y de que los niños o niñas mantengan o no la lengua de los padres.
Lo que es igual a

En una población estable se tiene:

Sustituyendo en J se tiene:

Como las funciones B(t-a) y p(a) son continuas y positivas es posible aplicar el teorema del valor medio para integrales, por lo que J es igual a:

Donde α1 es el promedio ponderado entre p y q, y α2 es el promedio ponderado entre u y v.
Cuando J < 1 es posible señalar que esa población está decreciendo y con ello la población que habla esa lengua. Si J = 1 es el reemplazo exacto de la población. Si J > 1 significa que esa población tiene un crecimiento mayor a cero. Lo que quiere decir que esa población está creciendo.
Es importante reconocer que la población indígena no cumple con las características de un modelo estable, debido a que tanto los niveles de fecundidad como los de mortalidad han descendido. Sin embargo, los resultados proporcionan una idea de la velocidad del crecimiento de su población, el cual puede ser usado para fines de política.
Resultados
Con base en los datos del censo del año 2000, se obtuvo la población de cinco años y más que habla alguna lengua indígena, por sexo, tipo de lengua y grupos quinquenales de edades. Se consideraron sólo las poblaciones con más de 500 habitantes que hablan algún tipo de lengua indígena, por ser las más representativas. El procedimiento que se siguió para el cálculo del índice fue el siguiente:
1. Se obtiene la población que habla alguna lengua indígena, por sexo, de cinco a nueve años y de 15 a 49 años, y se calcula la relación entre ambas.
2. A partir de las tablas de vida para hombres y para mujeres de Oaxaca en 1990 se obtienen las poblaciones estacionarias de la tabla de vida tanto para cinco a nueve años como para 15 a 49 años, y se calcula el cociente entre L5-9 y L15-49.
3. Finalmente se calcula la relación entre ambos cocientes. Dicho índice representa el nivel de reemplazo de la población según la lengua que habla.
La tasa de crecimiento de la población que habla lengua indígena de cinco años y más entre 1990 y el año 2000 fue de 1.4 por ciento anual, lo que muestra el lento incremento de esta población. Lo anterior se constata con el índice de reemplazo etnolingüístico a nivel nacional para las poblaciones con grupos de 500 o más hablantes, que fue de 1.44. Esta cifra marca un punto de referencia intermedio. Otro punto de referencia es el cálculo de este índice a nivel de todo el país para el año 2000, el cual fue de 1.55 (incluye ambos sexos), cifra muy parecida a la tasa neta de reproducción calculada para el periodo 1990-1995, que, como ya dijimos, fue de 1.5 (incluye sólo mujeres).
A partir de los índices obtenidos es posible clasificar a las poblaciones en cinco grupos:
1. Expansión acelerada: L mayor que dos.
2. Expansión lenta: L entre 1.1 y dos, inclusive.
3. Equilibrio: L entre 0.9 y 1.1.
4. Extinción lenta: L entre 0.51 y 0.90.
5. Extinción acelerada: L menor o igual a 0.5.
Un índice igual a uno significa que la población se encuentra en el reemplazo perfecto, es decir, es el crecimiento cero. Una niña sustituye a su mamá y un niño sustituye a su papá. Por arriba de uno es un crecimiento positivo y por debajo de uno es un crecimiento negativo.
¿Por qué un índice que relaciona la población real de 15 a 49 años con la población de cinco a nueve años también real, con respecto a la población de 15 a 49 años en relación a la de cinco a nueve años pero de una tabla de vida proporciona una estimación muy cercana al índice de reproducción?
El resultado de este cociente es igual a los nacimientos en el momento t entre los nacimientos en el momento t menos el tiempo entre dos generaciones sucesivas. Además, esta razón se aproxima a la tasa neta de reproducción, la cual se puede interpretar también como un índice de crecimiento demográfico. Si el resultado es igual a dos, significa que dos niñas sustituyen a una madre o dos niños a un padre. Si es igual a uno quiere decir que una hija sustituye a una madre o un hijo a un padre.
El índice nos dice cuántas hijas de cinco a nueve años sustituyen a una madre que su edad se encuentra entre 15 y 49 años, y cuántos hijos a un padre que también se ubica en los mismos grupos de edades. Si tenemos una base amplia en la estructura por edad con relación a la población de 15 a 49 años, que es la población en edad fértil, indicaría una elevada fecundidad y viceversa, una base angosta respecto a la población en edad fértil mostraría una baja fecundidad.
En el cuadro 2 se presentan los resultados del índice para el caso de México. Se encuentra que el crecimiento más rápido se observa entre los tacuates, con un índice de 3.2; además, los huicholes, con 2.51, y los coras, con 2.21, se ubican, entre otros, en aumento rápido. En equilibrio, con 1.09, se encuentran los zapotecos. Por otro lado, los chontales tienen un índice de 0.11. También en extinción se encuentran los mayas, con 0.78, y los mazahuas, con 0.60. Esto significa que no hay reemplazo de esta población y tiende, aunque de manera lenta, hacia la extinción. Este es un fenómeno vinculado a la migración. Un caso interesante es el de los mayas, que con una elevada población tienen un reducido índice de reemplazo. Esto quiere decir que en el largo plazo podrían tender hacia la extinción. En este caso la política de población debería promover la elevación de sus niveles de fecundidad.

Limitaciones y conclusiones
Este índice refleja, por un lado, el comportamiento de la fecundidad de la población, pero por otro, muestra el interés de las poblaciones indígenas en preservar su lengua. La información disponible no permite separar ambos factores, el demográfico y el cultural, a fin de poder cuantificarlos. Sin embargo, da una idea del aumento o disminución de la población según la lengua que hablan. Un modelo más complejo debería considerar el paso de una situación a otra como: un niño indígena que no sabe la lengua de sus padres y no aprende la lengua, y un indígena que no sabe la lengua de sus padres y la aprende. El problema para captar el paso de un estado a otro es que no se dispone de datos sobre estos procesos. Es importante destacar que se ha observado en algunos grupos indígenas que los padres y las madres son fundamentales en la no transmisión de los conocimientos lingüísticos.3
Un hecho que podría presentarse desde un punto de vista demográfico es que, para la población femenina, debido a su mayor esperanza de vida con respecto a los hombres y a su nivel elevado de marginalidad en la sociedad, podría observarse el siguiente escenario: mujeres solas, enfermas, pobres y sin seguridad social. Si a esto añadimos que sean indígenas, el problema de las mujeres se vuelve desolador.
La política de población establecida por el gobierno de la república había tenido como finalidad, entre otras acciones, la disminución del ritmo de crecimiento demográfico, por medio de la regulación de la fecundidad. La política dirigida a la población en general no necesariamente es aplicable a ciertos grupos indígenas. Habría que revisar dicha política cuando se trate de preservar a los hablantes de lenguas indígenas en peligro de extinción.
Finalmente es importante destacar que el Índice de Thompson, aun con sus limitaciones, permite dar pistas de las poblaciones indígenas que presentan un ritmo lento de incremento demográfico y tomar medidas para evitar su probable desaparición.
Bibliografía
ÁVILA, José Luis y Carlos FUENTES, 2000, "La marginación en México: trayectorias y perspectivas", en Conapo, La situación demográfica de México, 2000, México. [ Links ]
ÁVILA, José Luis y Jorge CHAVARRIA, 1999, "Índice de rezago sociodemográfico urbano", en Conapo, La situación demográfica de México 1999, México. [ Links ]
BUNGE, Mario, 1983, La investigación científica, Ariel, México. [ Links ]
COMISIÓN NACIONAL PARA EL DESARROLLO DE LOS PUEBLOS INDÍGENAS, 2004, Consulta a los pueblos indígenas sobre sus formas y aspiraciones de desarrollo, Informe final. [ Links ]
CONAPO y PROGRESA, 1998, Índices de marginación, 1995, México. [ Links ]
CONAPO, 2001, Índices de marginación 2000, colección índices sociodemográficos, México. [ Links ]
CONAPO/COMISIÓN NACIONAL DEL AGUA, 1993, Indicadores socioeconómicos e índice de marginación municipal 1990, México. [ Links ]
COPLAMAR, 1982, Necesidades esenciales en México: situación actual y perspectivas al año 2000, tomos 1 a 5, Siglo XXI, México. [ Links ]
DE LA VEGA ESTRADA, Sergio, 2001, Índices de desarrollo social de los pueblos indígenas. INI, PNUD. [ Links ]
FISHER, R. A., 1929, The genetical theory of natural selection. [ Links ]
GALTON, F., 1889, Natural inherintance, McMillan, Londres. [ Links ]
INSTITUTO NACIONAL INDIGENISTA, 1982, Grupos étnicos de México, INI, México. [ Links ]
LAZARSFELD, P., 1973, "De los conceptos a los índices empíricos" en Raymond Boudon y Paul Lazarfeld, Metodología de las ciencias sociales, Laia, vol. I, Barcelona. [ Links ]
LÓPEZ CALVA, Luis F. y Roberto VÉLEZ GRAJALES, 2003, "El concepto de desarrollo humano, su importancia y aplicación en México", en PNUD, Estudios sobre desarrollo humano, núm. 1, México. [ Links ]
LÓPEZ CALVA, Luis F., Cristina RODRÍGUEZ GARCÍA y Roberto VÉLEZ GRAJALES, 2003, "Estimación del IDH estatal en México, análisis de sensibilidad a distintas decisiones metodológicas y comparaciones internacionales", en PNUD, Estudios sobre desarrollo humano, núm. 2, México. [ Links ]
LÓPEZ CALVA, Luis F., Lourdes RODRÍGUEZ CHAMUSSY y Miguel SZÉKELY, 2003, "Medición del desarrollo humano en México: Introducción", en PNUD, Estudios sobre desarrollo humano, núm. 2003-6, PNUD, México. [ Links ]
LOTKA, A., 1931, "Population analysis: The extinction of families", en Journal of the Washington Academy of Sciences, 21: 377-380. [ Links ]
LOTKA, Alfred, 1979, Teoría analítica de las asociaciones biológicas, Centro Latinoamericano de Demografía, Santiago de Chile. [ Links ]
MANCERO, Xavier, 2001, "La medición del desarrollo humano: elementos de un debate" en Serie, Estudios Estadísticos y Prospectivos de Cepal, División de Estadística y Proyecciones económicas, Santiago de Chile. [ Links ]
PNUD, 1991-2002, Informe sobre desarrollo humano. [ Links ]
SEN, Amartya, 2000, Desarrollo y libertad, Planeta, Barcelona. [ Links ]
TUIRÁN, Rodolfo y Virgilio PARTIDA, 2001, "Índice de desarrollo humano municipal, 2000" en Conapo, La población de México en el nuevo siglo, México. [ Links ]
THOMPSON, 1920, The ratio of children to women, Publicación del Bureau of the Census, Washington. [ Links ]
TUIRÁN, Rodolfo, 2000, "Desarrollo humano en México", en Conapo, La situación demográfica de México, 2000, México. [ Links ]
UNITED NATIONS, 2005, World population prospects, the 2004 revision, vol. 1, comprehensive tables, Nueva York. [ Links ]
URANGA, Alfredo, 2005, Por el rescate de las lenguas indígenas en peligro de extinción, mimeo. [ Links ]
VILLALOBOS H. y Aremis LITAÍ, 2004, Mortalidad por causas en el estado de Oaxaca y su comparación con el nivel nacional: 1990-2010, Tesis de maestría en Demografía, Centro de Estudios Demográficos, Urbanos y Ambientales, El Colegio de México. [ Links ]
1 H. W. Watson citado por F. Galton, 1889.
2 En el paréntesis se coloca el número de personas según el tipo de lengua que hablan.
3 Comisión Nacional para el Desarrollo de los Pueblos Indígenas. Consulta a los pueblos indígenas sobre sus formas y aspiraciones de desarrollo. Informe final. 2004.
Información sobre el autor
Manuel Ordorica Mellado. Maestro en Demografía por El Colegio de México y doctor en Ingeniería por la Universidad Nacional Autónoma de México. Ha sido director del Área de Estudios de Población en el Consejo Nacional de Población, 1977 a 1987; consultor en educación en la Unesco, 1987 a 1988; coordinador de la Maestría en Demografía y del Doctorado en Estudios de Población del Centro de Estudios Demográficos, Urbanos y Ambientales de El Colegio de México. Es miembro del Sistema Nacional de Investigadores y Premio Nacional de Demografía. Entre sus publicaciones más importantes destacan Evaluation of the mexican fertility survey, 1976-1977 (en coautoría con Joseph E. Potter); The impact of rapid fertility decline on the geographical redistribution of the population in developing countries, y Ajuste de una función expologística a la evolución de la población total de México, 1930-1985. Correo electrónico: mordori@colmex.mx













