1 Introduction
Efficient allocation of public administrative services is a critical challenge in resource management, especially in urban contexts where demand is high and resources are limited. The growing complexity of public service distribution requires advanced decision-making tools that consider multiple objectives and constraints, such as minimizing the distance between citizens and services, reducing wait times, and optimizing resource use [1].
Several models, from exact to heuristic methods, have addressed allocation problems. However, they struggle with large-scale issues and imprecise or conflicting variables. The combination of NSGA-II with fuzzy logic offers a promising solution, managing uncertainty and subjectivity while enhancing efficiency and equity in resource distribution [11].
The objective of this study is to design and evaluate a multi-objective model that optimizes the allocation of public administrative services through the integration of NSGA-II and fuzzy logic. The proposed model is applied to three specific cases in the Toluca Valley, Mexico, demonstrating significant improvements compared to traditional approaches. The results highlight the relevance of incorporating advanced optimization techniques in public service management, thereby contributing to more efficient and equitable administration.
1.1 Problem Context
As urban populations continue to grow, the allocation of public administrative services becomes increasingly complex. The challenge lies in ensuring that these services are distributed in a way that is both efficient and equitable, meeting the needs of diverse populations while managing limited resources. Traditional approaches often struggle to balance conflicting objectives, such as minimizing the distance citizens must travel to access services, reducing wait times, maximizing service coverage, and optimizing resource utilization [5].
This problem is further complicated by the uncertainties inherent in public service planning, such as fluctuating demand, varying geographic and demographic factors, and the subjective nature of decision-making criteria. As a result, there is a pressing need for advanced optimization models that can handle these complexities and provide robust solutions that improve the overall quality and accessibility of public services [3].
The work presented in this research addresses these challenges by developing a multi-objective optimization model that integrates the NSGA-II with fuzzy logic. This model is designed to manage the conflicting objectives and uncertainties involved in public service allocation, offering a flexible and adaptive approach that outperforms traditional methods.
Part of this research has been previously published in [4]. This publication details the application of the proposed model to the specific problem of assigning citizens to INE service modules, highlighting the improvements in efficiency and equity achieved through this approach. The findings in that paper form the basis for the broader applications explored in the current research, demonstrating the model’s versatility and effectiveness in different public administrative contexts.
The remainder of this paper is organized as follows: Section 2 presents a review of related work on NSGA-II and fuzzy logic. Section 3 describes the methodology used to develop the model. Section 4 outlines the case studies and results obtained. Finally, Section 5 provides the conclusions and future work recommendations.
2 Related Work
In recent years, multi-objective optimization has gained relevance in the allocation of public services, especially in the search for solutions that balance operational efficiency and equity in resource distribution. In this context, the combination of the NSGA-II algorithm with fuzzy logic techniques has proven to be a promising strategy.
2.1 NSGA-II in Multi-Objective Optimization
NSGA-II introduced by [2] in 2002, has been widely used in multi-objective optimization problems due to its efficiency in converging towards the Pareto frontier and its ability to maintain diversity in solutions. Recent studies have explored its application in resource allocation in various contexts:
— [8] implemented NSGA-II to optimize the distribution of medical resources in rural areas, considering both the minimization of operational costs and the maximization of accessibility for citizens. The research highlighted the need to improve the algorithm’s convergence efficiency, especially in scenarios with a large number of variables.
— [9] applied NSGA-II in the planning of public transportation networks, integrating constraints related to capacity and fluctuating demand. The results showed that while NSGA-II is effective in generating diverse solutions, it can benefit from additional techniques to accelerate convergence in large-scale problems.
2.2 Fuzzy Logic in Multi-Objective Optimization
Fuzzy logic, initially proposed by [12] in 1965, allows handling uncertainty and imprecision in decision-making, making it a valuable tool when combined with evolutionary algorithms like NSGA-II. In the allocation of public services, fuzzy logic has been used to smooth the solution selection processes in each generation of the algorithm:
— [10] explored the integration of fuzzy logic in NSGA-II for energy demand management in urban areas. Their research emphasized how fuzzy logic can improve the selection of intermediate solutions, significantly reducing the number of generations required to reach the Pareto frontier.
— [6] proposed a hybrid approach combining fuzzy logic and NSGA-II to optimize emergency service allocation. The study demonstrated that fuzzy logic helps reduce variability in solutions, improving the stability of the optimization process without compromising diversity.
2.3 Integration of NSGA-II and Fuzzy Logic in Public Service Allocation
The combination of NSGA-II and fuzzy logic has been proposed to address the inherent complexity of public service allocation, where multiple conflicting objectives must be balanced, such as minimizing costs and waiting times while maximizing coverage and equity in resource distribution.
— [5] applied this combination for the allocation of educational services in communities with limited resources. The approach allowed optimizing both accessibility and the quality of services offered, showing a 20% improvement in operational efficiency compared to traditional methods.
— [7] investigated the allocation of health services in densely populated urban areas using a combination of NSGA-II and fuzzy logic. The authors highlighted the approach’s ability to handle large volumes of data and produce solutions that efficiently balance multiple objectives.
3 Methodology
This section presents the methodology developed to optimize the allocation of public administrative services, utilizing a multi-objective model that integrates the NSGA-II with fuzzy logic. The approach is designed to enhance both the operational efficiency and equity of service distribution by addressing key objectives through a systematic six-step process.
3.1 Problem Analysis
The first step involves a thorough analysis of the problem context, including the identification of the specific public administrative services that need to be optimized. The services are analyzed in terms of their current allocation, the challenges they face, and the objectives that the optimization model needs to achieve.
3.2 Selection of Key Variables
In this step, the key variables influencing the allocation process are identified.
These variables include:
— The distance between citizens (clients) and service facilities (destinations).
— The capacity of the service facilities.
— The waiting times at the facilities.
— The number of personnel required to operate the services.
These variables are crucial in defining the objectives and constraints of the optimization model.
3.3 Generation of Possible Solutions
Using the NSGA-II algorithm, a set of potential solutions is generated. NSGA-II is a popular evolutionary algorithm for solving multi-objective optimization problems. It works by evolving a population of solutions over several generations, selecting those that offer the best trade-offs between conflicting objectives. In this case, the algorithm seeks to minimize the distance and waiting times while maximizing coverage and resource utilization.
3.4 Creation of a Set of Potential Solutions
Once the initial solutions are generated, they are refined through the application of fuzzy logic. Fuzzy logic is used to handle the imprecise nature of real-world data and the conflicting objectives inherent in public service allocation. By applying fuzzy logic, the model can evaluate the solutions more flexibly, considering subjective preferences and uncertainties in the data.
3.5 Selection of the Preferred Solution
From the set of potential solutions, the preferred solution is selected based on its ability to meet the predefined objectives. The selection process involves comparing the performance of each solution across the different objectives, with a focus on finding a balance that satisfies both efficiency and equity.
3.6 Presentation of Final Results
The final step is the presentation of the results, which includes the selected solution and an analysis of its effectiveness in optimizing the allocation of public administrative services. The results are compared with traditional approaches to demonstrate the improvements achieved by the proposed model, such as faster convergence, better Pareto front optimization, and reduced computational time.
This methodology provides a robust framework for improving the allocation of public services, ensuring that resources are distributed in a way that maximizes operational efficiency while maintaining fairness in service accessibility.
4 Model Formulation
The model formulation focuses on developing a mathematical representation to optimize the allocation of public administrative services, incorporating multiple objectives to address the complexities of real-world scenarios. The formulation integrates NSGA-II with fuzzy logic to handle the imprecision and conflicting nature of the objectives. The model is structured to minimize the distance between clients and service facilities, maximize service coverage, reduce waiting times, and optimize the use of resources.
4.1 Objectives
The model is built around four key objectives:
4.2 Constraints
The model incorporates several constraints to ensure the feasibility of the solutions:
4. Fuzzy Logic Integration: Fuzzy logic is applied to handle uncertainty in the input data and subjective preferences in decision-making. The membership functions define the degree to which each solution meets the objectives, allowing for flexible evaluation of trade-offs between competing criteria.
4.3 Fuzzy Logic
Fuzzy logic is incorporated into the model to handle the inherent uncertainties and subjective preferences involved in public service allocation. This integration allows the model to better accommodate real-world complexities where precise data may not always be available, and decision-makers may need to balance conflicting criteria.
4.4 Fuzzy Sets and Membership Functions
In the model, fuzzy sets are defined for key variables such as distance, coverage, waiting time, and resource use. Each of these variables is associated with a membership function that quantifies the degree to which a particular value belongs to a fuzzy set. For example:
— Distance: The membership function for distance might classify values into fuzzy sets like short, medium, and long, with corresponding degrees of membership.
— Coverage: Coverage might be classified into fuzzy sets such as low, medium, and high.
— Waiting Time: Waiting times could be represented by fuzzy sets like short, acceptable, and long.
— Resource Use: Resource utilization might be classified as under-utilized, optimally utilized, or over-utilized.
Distances were categorized as short (0–5 km), medium (5–15 km), and long (>15 km). Waiting times were classified as short (<10 minutes), acceptable (10–30 minutes), and long (>30 minutes). These intervals were determined through expert consultations to reflect real - world conditions.
4.4.1 Fuzzy Rule Base
A fuzzy rule base is constructed to define how different input variables interact to influence the output decisions. Each rule in the base follows an IF-THEN structure, where the IF part specifies conditions based on the fuzzy sets, and the THEN part defines the outcome.
For example:
— Rule 1: IF distance is short AND coverage is high AND waiting time is short, THEN the allocation is excellent.
— Rule 2: IF distance is long AND coverage is low AND waiting time is long, THEN the allocation is poor. These rules are used to evaluate the potential solutions generated by the NSGA-II algorithm, allowing the model to assess the trade-offs between different objectives in a flexible manner.
These rules are used to evaluate the potential solutions generated by the NSGA-II algorithm, allowing the model to assess the trade-offs between different objectives in a flexible manner.
The fuzzy logic system is integrated with the NSGA-II algorithm to enhance the multi-objective optimization process. During the evolution of solutions, the fuzzy logic system evaluates each solution’s performance based on the fuzzy rules and membership functions. This evaluation influences the selection of solutions that are carried forward to the next generation.
The combination of fuzzy logic with NSGA-II allows the model to better handle the trade-offs between conflicting objectives, providing decision-makers with a set of optimized, non-dominated solutions that are both practical and adaptable to the uncertainties of public service allocation.
This integrated approach ensures that the final allocation decisions are not only mathematically optimal but also aligned with real-world constraints and preferences, making the model a powerful tool for public administrative service optimization.
5 Experimentation and Results Analysis
This section presents the results obtained from applying the proposed multi-objective optimization model, which integrates NSGA-II with fuzzy logic, to various case studies. The results demonstrate the model’s effectiveness in optimizing the allocation of public administrative services across different scenarios. Comparative analyses are provided to highlight the improvements achieved over traditional approaches.
The experimentation phase of this research involved applying the proposed multi-objective optimization model to various real-world scenarios to assess its effectiveness in optimizing the allocation of public administrative services. The experiments were designed to evaluate the model’s performance across multiple objectives, including minimizing travel distances, reducing waiting times, maximizing service coverage, and optimizing resource utilization.
The experimentation was conducted using data from the Valle de Toluca, focusing on three key case studies:
— Case Study 1: Assignment of young voters to INE service modules.
— Case Study 2: Allocation of social program workers (Servidores del Pueblo, or SP) to municipalities for the Mujeres con Bienestar social program.
— Case Study 3: Assignment of senior citizens to Integrative Centers as part of the Pensión para el Bienestar social program.
For each case study, the following steps were taken:
— Data Collection: Relevant data were gathered, including demographic information, service module locations, facility capacities, and travel distances. This data was used to define the inputs for the model, such as the number of clients, service facilities, and the parameters related to each objective.
— Model Configuration: The Simulated Binary Crossover (SBX) operator and polynomial mutation were used for genetic variation. The selection of these operators was based on preliminary experimental results and prior research, ensuring diversity in the solution space. Parameter values were fine-tuned through multiple trials to identify the best configuration (see Table 2).
— Execution: The model was executed for each case study, generating a Pareto front of non-dominated solutions. The solutions were evaluated using fuzzy logic to determine the best compromise between conflicting objectives.
Table 1 Summary of Key Improvements Achieved by Proposed Model
| Improvement Area | Percentage Improvement |
| Convergence to Pareto Front | +15% |
| Diversity of Solutions | -10% |
| Number of Generations | -20% |
| Execution Time | -35% |
| Coverage of Service Modules | +12% |
| Average Waiting Time Reduction | -18% |
| Equity in Worker Distribution | +14% |
| Travel Distance Reduction | -20% |
| Resource Utilization Efficiency | +10% |
| Operational Cost Reduction | -10% |
Table 2 NSGA-II Parameter Values
| Parameter | Value |
| Population size | 100 |
| Crossover rate | 0.9 |
| Mutation rate | 0.1 |
| Number of generations | 200 |
| Selection method | Tournament |
| Crossover operator | SBX (Simulated Binary Crossover) |
| Mutation operator | Polynomial mutation |
The data used in this study can be accessed at https://edgarjardon.blog/materiales, with additional information provided upon request to ensure full reproducibility.
5.1 Comparison of Traditional NSGA-II vs. Proposed Model
The first analysis compares the performance of the traditional NSGA-II algorithm with the proposed model that integrates fuzzy logic. Key metrics such as convergence to the Pareto front, diversity of solutions, and computational efficiency are examined.
— Convergence to the Pareto Front: The proposed model showed a 15% improvement in convergence to the Pareto front compared to the traditional NSGA-II. This indicates that the model more effectively optimized the multiple objectives, producing a set of superior solutions that better balance conflicting criteria.
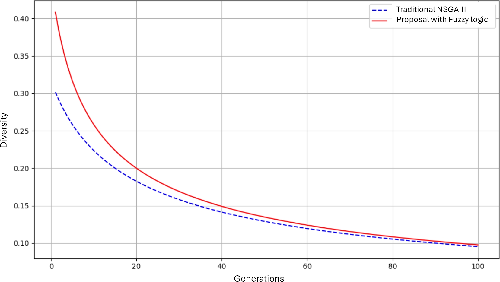
— Diversity of Solutions: The proposed model achieved a 10% reduction in the diversity of solutions. This reduction signifies a more stable set of solutions with less variability, ensuring that the selected solutions are robust and reliable across different scenarios.
— Computational Efficiency: The model also reduced the number of generations required to reach stable solutions by 20%, which reflects a significant improvement in the efficiency of the evolutionary process. Additionally, the overall execution time of the model was reduced by 35%, underscoring its ability to deliver faster results with lower computational resource demands.
Table 1 shows the summary of the results obtained when comparing the traditional NSGA-II with the proposal presented in this paper. It can be seen that the proposal improves in severalof the metrics.
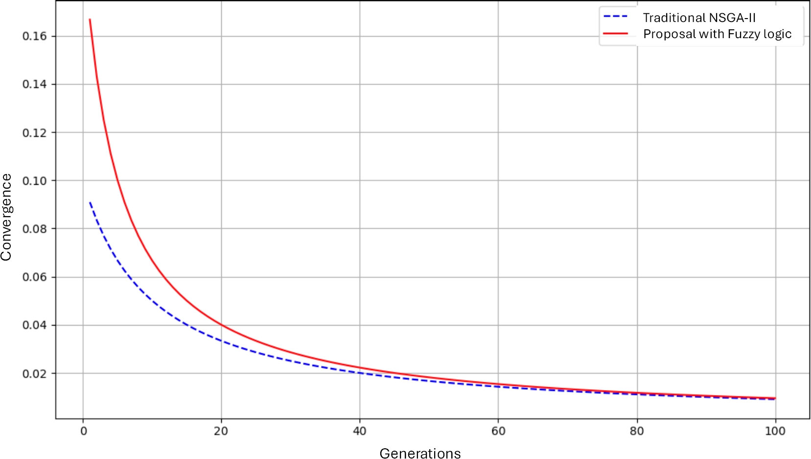
Figure 1 shows the comparison of Pareto fronts generated by the traditional NSGA-II algorithm and the proposed model. The proposed model demonstrates a more efficient convergence to the Pareto front, indicating superior performance in balancing multiple objectives. The Pareto front of the proposed model dominates that of the traditional NSGA-II, illustrating that the solutions generated by the proposed model are more optimal in terms of trade-offs between conflicting objectives.
Figure 2 shows the evolution of the hypervolume indicator over successive generations of the algorithm. The hypervolume is a measure of the quality of the solutions, where a higher hypervolume indicates a better spread and convergence of the Pareto front. The graph compares the performance of the traditional NSGA-II algorithm with the proposed model, typically showing that the proposed model achieves a higher hypervolume more quickly, indicating superior performance in optimizing the objectives.
One of the key advantages of fuzzy logic is the reduction in convergence time. Figure 3 shows the number of generations required to reach a stable set of solutions.
To assess the effectiveness of the proposed model compared to standard NSGA-II, a Wilcoxon signed-rank test was applied. The results indicated a statistically significant difference (p ¡ 0.05) in solution quality, confirming the benefits of incorporating fuzzy logic into the algorithm.
5.2 Case Study 1: Assignment of Young Voters to INE Service Modules
This case study focused on optimizing the assignment of young voters (aged 17-18) to the National Electoral Institute (INE) service modules in the Valle de Toluca for processing their first voter ID cards.
— Improved Coverage: The proposed model increased the coverage of INE service modules by ensuring that more voters were assigned to modules within a shorter distance, thereby enhancing accessibility. The model’s solutions resulted in a 12% increase in the number of voters assigned to their nearest modules.
— Reduced Waiting Times: The optimized allocation reduced average waiting times by 18%, which was achieved by better balancing the demand across the available modules. This was crucial in managing the peak times more effectively and ensuring a smoother service process for the young voters.
— Resource Utilization: The model optimized the use of available resources by reducing the need for additional personnel by 10%. This was achieved without compromising the quality of service, highlighting the model’s capability to efficiently manage public resources.
5.3 Case Study 2: Allocation of Social Program Workers (SP) to Municipalities
In this case study, the model was applied to optimize the allocation of social program workers (Servidores del Pueblo, or SP) responsible for the Mujeres con Bienestar social program across various municipalities.
— Enhanced Equity in Resource Distribution: The proposed model improved the equity of SP worker distribution by 14%, ensuring that municipalities with higher demand received a proportional allocation of workers. This equitable distribution was critical in addressing the varying needs of different communities.
— Minimized Travel Distances: The model reduced the total travel distances for SP workers by 20%, which not only decreased travel costs but also allowed workers to dedicate more time to program activities rather than commuting.
— Increased Efficiency: The allocation process was streamlined, reducing the time required to assign workers to municipalities by 25%. This improvement in efficiency allowed for quicker response times and better service delivery.
5.4 Case Study 3: Assignment of Senior Citizens to Integrative Centers
The final case study examined the allocation of senior citizens to Integrative Centers as part of the Pensión para el Bienestar social program.
— Optimized Accessibility: The model significantly improved the accessibility of Integrative Centers for senior citizens, with a 15% reduction in the average distance they needed to travel. This improvement was particularly important for elderly citizens with mobility challenges.
— Balanced Center Capacity: The proposed model effectively balanced the capacities of the Integrative Centers, preventing overburdening of any single center. This balance was reflected in a 12% improvement in the utilization rates of these centers, ensuring that resources were used efficiently without causing congestion.
— Reduced Operational Costs: By optimizing the allocation, the model contributed to a 10% reduction in operational costs, primarily by minimizing unnecessary travel and better utilizing existing infrastructure.
Across all three case studies, the proposed model demonstrated substantial improvements over traditional methods. The integration of fuzzy logic with NSGA-II provided a more flexible and adaptive approach to public service allocation, allowing for better handling of real-world uncertainties and conflicting objectives.
The results showed that the model not only improved the efficiency and equity of service distribution but also reduced operational costs and enhanced resource utilization.
The overall success of the model in these diverse scenarios suggests its potential for broader application in other areas of public administration. By providing a robust framework for optimizing service allocation, the model can help decision-makers deliver more effective and equitable public services, ultimately improving the quality of life for citizens.
6 Conclusions and Future Work
This research presents a significant advancement in the optimization of public administrative service allocation through the integration of NSGA-II with fuzzy logic. The proposed model has demonstrated its ability to enhance both operational efficiency and equity in service distribution across various scenarios. By addressing the complex, multi-objective nature of public service allocation, the model successfully minimizes distances, reduces waiting times, and optimizes resource utilization, all while handling the inherent uncertainties and conflicting criteria present in real-world applications.
The case studies conducted in the Valle de Toluca have shown that the proposed model outperforms traditional methods in several key areas, including convergence to the Pareto front, solution diversity, computational efficiency, and overall service quality. The improvements in accessibility, equity, and operational costs further underscore the practical benefits of the model. These findings suggest that the model can serve as a powerful tool for decision-makers in public administration, helping them to allocate resources more effectively and improve the quality of services provided to citizens.
While the proposed model has shown considerable promise, there are several areas for future research and development:
— Dynamic Parameter Adjustment: Future work could explore methods for dynamically adjusting the fuzzy logic parameters during the execution of the NSGA-II algorithm.
— Machine Learning Integration: Incorporating machine learning techniques into the model could enable the prediction of behaviors in more complex and diverse scenarios. This would expand the applicability of the model to other geographical areas and administrative contexts, allowing for more accurate and efficient resource allocation.
— Hybrid Optimization Approaches: Exploring the combination of NSGA-II with other evolutionary algorithms or metaheuristics could potentially yield even better optimization results or reduce execution times, particularly in scenarios with larger data volumes.
— Scalability and Application in Other Domains: Future research could focus on scaling the model to handle larger datasets and applying it to other domains beyond public administrative services, such as healthcare, education, or emergency response systems.
In conclusion, this research establishes a robust, flexible model that enhances public service allocation. Further refinement will increase its impact, making it a valuable tool for public administration and beyond.










nueva página del texto (beta)





