1 Introduction
The properties that evidence the nature of the fractal origin of traffic flows in high-speed computer networks have been extensively studied and reported in the literature during the last twenty years, and it is generally accepted that their rescaled dynamic behavior must be carefully considered in performance analyses.
There are, therefore, numerous explanations and models that attempt to give an answer to this origin, e.g. [1-3].
On the other hand, admitting that the localities of a fractal process can only be analyzed from the standpoint of multifractal analysis, in view of their construction from multiplicative cascades that ensure an exact characterization as a result of the high frequency analysis [9,10], it is accepted that the traffic flows present in current high-speed computer networks are of a multifractal nature, and this gives rise to a new flow model that attempts to explain the locality phenomenon present in the estimation of the H [4,8,10].
From the results obtained by the use of computational simulations, it is inferred that the model contributes to the knowledge of the actual dynamics of the traffic in current high-speed computer networks, and that it can be used to simulate realistic traffic flow from real networks.
2 On the Multifractal Traffic Flows
In computer networks traffic flows is represented by means of a self-similar process Y(k) such that:
where =d represents the equal finite-dimensional distributions and H ∈ (0,1) is the Hurst exponent of the self-similar stochastic process (H-ss) Y(k).
An H-ss process with stationary increments described in terms of the behavior of its aggregations is obtained by the multiplexation of X(k) = Y(k +1) - Y(k) increments over non-superposed blocks of size n according to:
The resultant process has finite dimensional distributions similar to X(k). Specifically for each n we have that:
The stationary process X(k) that fulfills (3) is called a self-similar stationary process, H-sss, with Hurst exponent H. A typical example is the fractional Gaussian noise (fGn) given by the expression X(k) = B(H)(k + 1) - B(H)(k), which is the only known H-sss Gaussian process [5].
There are several ways of studying the statistical properties of X(n)(k). The cumulants of the aggregate series, which are defined in terms of Taylor coefficients of the cumulant generating function, are considered in [5]:
where cummX(k) = g(m)(0). In [7] it is shown that the m-th order cumulants of an H-sss aggregate process scales according to a power law given by:
If a H-sss process fulfills (5) ∀ n, m ∈ ℕ, then |log cummX(n)(k)| behaves in such a way that its values scale linearly with those of log n, with mHs coefficients that are a linear function of m. In other words, mHs= mH(m), i.e:
In [5], it is shown that a generalization of a self-similar process to a multifractal process is given as follows: a stationary process X(k) with k ∈ ℤ is a multifractal process if:
for every m, n ∈ ℕ, allowing the exponent H to vary with the order m.
The general form of mH(m) is given by:
which corresponds to the linear fractal model, where the coefficients α and β are determined directly during the fitting of the cumulants.
In [8,9], it is shown that the only known process of this kind takes the form:
and it is called a unifractal process.
In [5], the unifractal model is compared with the self-similar model using empirical flows. The analysis of Figures 3 and 4 in [5] puts in evidence that both models are capable of capturing the main trends of the real flows in the estimation of H, but also that none of them harmonizes with the locality phenomenon of the Hurst exponent.

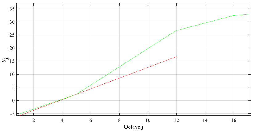
Fig. 4 Phenomena observed in the joint behavior of the previous series with α1 = α2 in (10)5 Conclusions
Fig. 1 gives an illustration of the locality phenomenon. In the current case the X-axis stands for log n and the Y-axis stands for log cumulant. The slope of the fitting curve crossovers from a small value to a notably larger value. Therefore the curve consists of three parts: a line segment with a gentler slope when log n is small, the intermediate transition part, and another line segment with a steeper slope when log n is large.
3 A Multifractal Model for the Locality Phenomenon
The reference [10] reports that the PCA (Principal Components Analysis) of the spectrum of proper values that result from mixing fractional Brownian motion signals with different Hurst exponents (H) produces a bi-scalar behavior. This precise fact is what motivates the statement of a multifractal flow traffic model capable of reproducing the locality phenomenon of the Hurst exponent.
Let us assume a network traffic process, W(k), composed of the addition of two independent self-similar stochastic processes; X1(k) and X2(k), with Hurst exponents H1 and H2, respectively, i.e:
where Var{X1} = Var{X2} and the scale coefficients α1 and α2 (α1, α2 > 0) controlling the variance of the components of (10). Also, without loss of generality, that H1 < H2.
The same as for the case of (2), we can define the aggregate process Z(n)(k) through multiplexing increments Z(k) given by the expression Z(k) = W(k + 1) - W(k), considering non-overlapping blocks of size n as:
Due to the independence for the self-similar and unifractal models it is verified that:
with c1(m) and c2(m) partially determined by the coefficients α1 and α2, respectively.
Then, if c1(m) > c2(m), there is a unique positive solution n* (not necessarily integer) of the equation in terms of variable n:
Thus, it is easy to verify that:
For every m the logarithmic scale diagram of the m-th order cumulant of Z(n)(k) consists of three segments: a first linear segment with slope given for m + 2(H1 - 1) when n is small; an intermediate transition section (often very short), and finally a linear segment with slope m + 2(H2 - 1) when n is large.
Therefore, the locality phenomenon of the Hurst exponent is put in evidence.
Fig. 2 shows the locality phenomenon in the behavior of a fGn series with H = 0.6 generated spectrally, while Fig. 3 shows the phenomenon for a fGn series with H = 0.8; Fig. 4 shows the joint behavior of both series with α1 = α2 in (10) [11].
It is interesting to notice that the theoretical inconsistency of a single value of the Hurst exponent and the locality phenomenon can be solved using a simple model that adds second order self-similar temporal series. On the other hand, it is possible to generate various processes with different Hurst exponents using any of the existing methods for the generation of second order self-similar series and then adding them.
The above is completely consistent with the conclusion of [12], which states that it is necessary to multiplex several traffic sources to generate more appropriate and realistic simulations for traffic flows.
Most of the previous models that deal with the origins of traffic flow self-similarity in high speed networks can be adopted, from the perspective of their application to the proposed model, with the purpose of stressing the coexistence in real flows of multiple self-similar heterogeneous components. It can therefore be stated that if in the On/Off model of [13] one assumes the existence of two different values for the Pareto exponents that control the distribution of the "On" periods and the "Off" periods of the sources, then the aggregate final process flow will present two different components in terms of their Hurst exponents and therefore the locality phenomenon will appear.
In general, for large coverage networks, i.e. with very complex structures, the data channel is shared by multiple sources in a manner that can be considered approximately independent and additive. Because of diversity of sources and transfer mechanisms, the incoming flow coming from each source has different Hurst exponents. This leads to the statement of the following conjecture: it is more probable to observe the locality phenomenon in traffic flows of trunk networks than of local area networks.










nueva página del texto (beta)





