1. Introducción
La mayoría de los datos paleomagnéticos de América del Sur provienen de flujos de lava y restos arqueológicos de arcilla producidos después de la llegada de los europeos en 1500 AD. Los recientes avances en la adquisición de datos arqueomagnéticos en Sudamérica (Gogorza et al., 2017, 2018; Goguitchaichvili et al., 2019, 2023; Poletti et al., 2016; Roperch et al., 2015; Tarduno et al., 2015) son esenciales para la reconstrucción de la evolución del campo magnético terrestre durante el Holoceno en la región y solo contribuyen un 2.8% a la base de datos geomagnética mundial (Brown et al., 2015). Como consecuencia, los únicos y escasos registros continuos del campo geomagnético para Sudamérica que permiten estudiar en escala de tiempo milenaria las variaciones durante el Holoceno provienen de estudios de sedimentos lacustres (Gogorza et al., 2004, 2006, 2011, 2012, 2018, 2021; Irurzun et al., 2006, 2017; Palermo et al., 2019) y espeleotemas (Trindade et al., 2018), pero ninguno de ellos fue realizado en el noreste de la Patagonia argentina.
Además, la presencia de la Anomalía del Atlántico Sur (SAA, por sus siglas en inglés), una región de baja intensidad de campo magnético en Sudamérica, hace que los estudios en esta área sean aún más relevantes. Los datos históricos geomagnéticos muestran que el tamaño de la anomalía ha aumentado de forma concomitante con la disminución de la intensidad del campo dipolar y que la anomalía ha migrado continuamente hacia el oeste (Finlay et al., 2016; Hartmann & Pacca, 2009; Pavón-Carrasco y De Santis, 2016).
Su longevidad a escalas de tiempo milenarias es difícil de determinar debido a la escasez de datos geomagnéticos continuos en África y Sudamérica (Trindade et al., 2018). Por lo tanto, es necesario contar con más estudios paleomagnéticos de sedimentos lacustres en Sudamérica para mejorar los modelos geomagnéticos mundiales y para estudiar una de las características más importantes del campo magnético terrestre, la SAA.
Además, la reconstrucción de la variabilidad ambiental del pasado reciente tiene gran importancia para definir las tendencias naturales y el impacto de la acción humana, así como para predecir futuros escenarios ambientales. Los cambios ambientales en el área alrededor de la cuenca (períodos de lluvias y sequías, temperatura, tasas de sedimentación, entre otros) se reflejan en las variaciones de los parámetros magnéticos (Maher y Thompson, 1999). En particular, las variaciones en la concentración, mineralogía y tamaño de grano de los minerales magnéticos se utilizan para caracterizar los sedimentos. Las propiedades magnéticas de los sedimentos nos ayudan a establecer modelos y correlaciones con estudios anteriores, aunque es necesario realizar un análisis multiparamétrico que incluya técnicas magnéticas y no magnéticas para interpretarlos correctamente (Geiss et al., 2004; Maher y Thompson, 1999). Numerosos estudios han utilizado parámetros magnéticos para investigar sedimentos lacustres en Argentina (e.g.,Irurzun et al., 2009, 2014; Lisé-Pronovost et al., 2014, 2015; Recasens et al., 2012) pero ninguno de ellos se ha hecho en la meseta de Somuncurá y en la región noreste de la Patagonia Argentina.
Este trabajo presenta la Variación Paleosecular (PSV, por sus siglas en inglés) direccional registrada en los sedimentos de Laguna Azul y su comparación con 4 modelos geomagnéticos globales. Además, se presenta un análisis de magnetismo de rocas y estimaciones de materia orgánica en las unidades sedimentarias identificadas en los sedimentos, con el objetivo de inferir en forma preliminar posibles escenarios paleoambientales en Laguna Azul.
2. Descripción del área de trabajo
La meseta de Somuncurá se halla comprendida entre los 66° y 68° de longitud O y 41° y 43° de latitud S, y se ubica entre las provincias de Chubut y Río Negro de Argentina. Es un macizo geológico que se distingue por su altitud, superando los 1000 metros sobre el nivel del mar, y su cobertura geológica de lava, se formó durante el período Terciario (Lynch y Terranova, 2019). Este macizo, compuesto en su mayoría por rocas precámbricas y tectónicamente estable (Brune 1969 en Aguilera, 2005), se extiende desde la región andina hasta la costa atlántica de manera discontinua, caracterizado por formaciones rocosas como los basaltos de olivino de la Formación Somuncurá, que presentan un color gris y una estructura vesicular o amigdaloidal, además de cuerpos volcánicos posteriores a la creación de la meseta (Maro y Remesal, 2012).
El clima en esta región es árido y fresco, con precipitaciones anuales que raramente superan los 300 milímetros, lo que genera un marcado déficit hídrico en distintos períodos del año (Masera, 1998). Asimismo, como resultado de los distintos procesos erosivos que tienen lugar en la región, en la meseta se registran bajos de distintas dimensiones. La erosión eliminó fácilmente esas rocas friables, profundizando las incipientes depresiones por combinación de factores concurrentes, como meteorización, deflación y sublavado, sumándose más tarde los deslizamientos.
Dentro de la meseta se presentan estos bajos donde actualmente se encuentran diversas cuencas endorreicas siendo la Laguna Azul una de ellas. Esta laguna se sitúa a los 41° 17' S y 66° 50' O, en la zona noreste de la Meseta de Somuncurá, a una altitud de aproximadamente 1179 metros sobre el nivel del mar, y presenta una morfología única con dimensiones de aproximadamente 1.24 kilómetros de ancho, 0.69 kilómetros de largo y una profundidad de 50 metros (Franchi et al., 2001).
3. Metodología
En el mes de mayo de 2022 se realizó una campaña de muestreo para extraer testigos de la laguna Azul. Se recogieron dos testigos, LAZ2 de 35 cm de longitud y LAZ3 de 16 cm de longitud (Figura 2), de sitios opuestos, uno al norte y otro al sur (Figura 1). Los testigos se extrajeron utilizando un tubo cilíndrico de 63 mm de diámetro externo que fue hincado en el sedimento utilizando una masa. Luego fueron llevados al laboratorio y almacenados en una cámara oscura y fría (4°C). Los testigos se abrieron por la mitad y se describieron litológicamente. Sobre una de las mitades se midió la susceptibilidad magnética (k) cada 0.5 cm con un sensor de lectura puntual Bartington MS2E. Luego se sub-muestrearon colocando cubos plásticos de 20 mm de lado uno a continuación del otro. Se obtuvieron un total de 15 muestras para el testigo LAZ2 y 7 muestras para el testigo LAZ3.

Figura 2 (a) Registro de LOI en función de la profundidad para LAZ2. Litología de los testigos (b) LAZ2 y (c) LAZ3.
Sobre las muestras cúbicas se midió la susceptibilidad magnética (k) a 0.47 kHz (klow) y 4.7 kHz (khigh) utilizando un susceptibilímetro magnético Bartington MS2 (mediciones realizadas en CIFICEN, UNICEN, Argentina). Estos valores se utilizaron para calcular el factor de susceptibilidad F dependiente de la frecuencia (F=100 •(klow - khigh) / klow). Luego, se midió la intensidad de la Magnetización Remanente Natural (NRM, por sus siglas en inglés) y las direcciones (declinación D, e inclinación I). La estabilidad de la NRM de las muestras se analizó mediante la desmagnetización progresiva por campos alternos (AF, por sus siglas en inglés) decrecientes con intensidades de pico máximas de 5, 10, 15, 20, 25, 30, 35, 40, 50, 60, 70, 80 y 100 mT para determinar a qué valores de campo magnético se eliminan las magnetizaciones secundarias y se rescata la Magnetización Remanente Primaria. Las direcciones de la magnetización remanente estable se determinarán por medio del análisis vectorial de los resultados de la desmagnetización según Kirschvink (1980).
Sobre las muestras de LAZ2 se realizaron las mediciones de Magnetización Remanente Anhisterética (ARM, por sus siglas en inglés) que fue adquirida utilizando un campo pico AF de 100 mT y un campo continuo de 0.05 mT. Para las mediciones de NRM y ARM se utilizó un magnetómetro 2G Rapid Superconducting Rock y un desmagnetizador AF ASC D2000T (mediciones realizadas en IPGP-Université Paris Cité, Francia).
Para la adquisición de la Magnetización Remanente Isotérmica (IRM, por sus siglas en inglés) se utilizó con un magnetómetro de muestra vibrante (VSM) Micromag 3900 (mediciones realizadas en IPGP-Université Paris Cité, Francia) empleando campos crecientes hasta 1.2 T, alcanzando la saturación (SIRM). Posteriormente, se aplicaron campos opuestos hasta 300 mT para calcular el campo para el que la magnetización se hace cero (campo coercitivo remanente, BCR). Se calcularon los parámetros asociados Sratio (-IRM-300mT/SIRM, Turner, 1997), SIRM/k, ARM/k y ARM/SIRM.
Se seleccionaron cuatro muestras del testigo LAZ2 para realizar curvas termomagnéticas. Se midió k durante el calentamiento (entre 20 y 700°C) y enfriamiento (entre 700 y 20°C) cada aproximadamente 2°C, utilizando un Sistema KappaBridge KLY3-Agico (mediciones realizadas en IPGP-Université Paris Cité, Francia). En estas mismas cuatro muestras se determinaron ciclos de histéresis utilizando el magnetómetro de muestra vibrante anteriormente mencionado.
También, se cuantificó la cantidad de materia orgánica utilizando la técnica de pérdida de masa por calcinación (LOI, por sus siglas en inglés). Las muestras fueron secadas a 105°C durante 12 horas, pesadas, calcinadas durante 3 horas a 550°C y nuevamente pesadas. Se consideró que el material volatilizado es la fracción orgánica (Walter, 1974).
3.1. LITOLOGÍA
Basándose en la composición granulométrica, se identificaron cuatro unidades sedimentarias en el testigo LAZ2 y una unidad sedimentaria en el testigo LAZ3.
En el testigo LAZ2 (Figura 2b), la unidad I (UI) se extiende desde la base del testigo hasta los 25.5 cm. Está conformada mayoritariamente por limos arcillosos y los valores de LOI (Figura 2a) indican una baja proporción de materia orgánica. En la unidad II (UII), que se extiende desde una profundidad de 25.5 cm hasta los 13.5 cm, la textura del sedimento cambia y se observa un tamaño de grano predominantemente mayor y la presencia de limos arenosos.
La unidad III (UIII) se extiende desde la base de la unidad UII y hasta los 10 cm, siendo una franja que se diferencia del resto del testigo por la presencia de arenas finas y medias.
La unidad IV (UIV) se caracteriza por tener una textura muy similar a UII, pero el contenido de materia orgánica aumenta alcanzado los valores más altos de LOI (Figura 2a), notable incluso por el cambio de coloración a más oscuro en los sedimentos.
El testigo LAZ3 (Figura 2b) está conformado por arcillas y una menor proporción de materia orgánica que en el testigo LAZ2. El nivel más blanco que se observa en la foto corresponde a un nivel con mayor tamaño de grano, en el que predomina una textura limo-arcillosa.
3.2. CORRELACIÓN DE LOS TESTIGOS
Las variaciones de k en ambos testigos se utilizaron para correlacionarlos. En la Figura 3 los puntos de unión están marcados con líneas punteadas. Por otro lado, la intensidad de k para el testigo LAZ3 es menor que el testigo LAZ2. Esta diferencia es coincidente con la litología ya que LAZ2 presenta mayor proporción de arenas. Además, esta correlación indicaría una diferencia en el ritmo de sedimentación de los testigos que podría deberse a que los testigos fueron extraídos de distintos sitios de la laguna.

Figura 3 Registros de k en función de la profundidad para (a) LAZ2 y (b) LAZ3. Las líneas punteadas muestran los puntos de correlación entre los testigos.
El testigo LAZ2 presenta en general un mayor tamaño de grano (tipo siliciclásticos) que el testigo LAZ3 si comparamos sus descripciones litológicas. Se observa que, cercano al sitio de extracción de LAZ2, se encuentra una zona de escurrimiento de la laguna, por lo que es esperable que el testigo se encuentre bajo un ambiente de mayor energía que el testigo LAZ3.
3.3. MAGNETISMO DE ROCAS
Los registros de k, NRM, ARM y SIRM del testigo LAZ2, junto a las unidades litológicas (UI, UII, UIII y UIV) se muestran en la Figura 4. Los registros de k, ARM y SIRM muestran en general variaciones con correspondencia en picos y valles. La NRM presenta un comportamiento diferenciado a las otras magnetizaciones y k, sobre todo en la UII. Esto puede deberse a que la NRM en las muestras de esta unidad esté dominada por alguna magnetización viscosa.

Figura 4 Registros de (a) χ, (b) ARM, (c) SIRM, (d) NRM y (e) F (%) en función de la profundidad para el testigo LAZ2. Las líneas negras indican los límites entre las diferentes unidades litológicas.
Los cocientes indicadores de las variaciones de tamaño de grano magnético, ARM/SIRM, ARM/k y SIRM/k (Figura 5a-5c), muestran una tendencia decreciente hacia el tope en UI, y un comportamiento constante en UII y UIII, lo que indica un aumento del tamaño de grano magnético desde la base del testigo hasta los 25 cm, que luego se mantiene sin grandes variaciones hasta los 10 cm. En UIV se observa una notoria disminución en el tamaño de grano respecto a las unidades anteriores. Este comportamiento también se observa en el gráfico SIRM vs k (Figura 6a), donde además se evidencia una menor concentración magnética en UIV en comparación con las otras unidades, excepto en la muestra ubicada en el tope, que presenta un importante incremento (Figura 4).

Figura 5 Registros de (a) ARM/SIRM, (b) ARM/k, (c) SIRM/k, (d) BCR y (e) Sratio en función de la profundidad. Las líneas negras indican los límites entre las diferentes unidades litológicas.

Figura 6 Biplots de a) SIRM vs. k (Thompson y Oldfield, 1986) y b) SIRM/k vs. B1/2 (Peters y Dekkers, 2003) como indicador de la mineralogía magnética.
Esta diferencia es notable en todos los parámetros asociados a las variaciones de la concentración magnética y coincide con un crecimiento abrupto del LOI (Figura 2a). El factor de susceptibilidad dependiente de la frecuencia (F) es inferior al 2% para todas las muestras (Figura 4e), lo que indicaría que no hay presencia importante de partículas superparamagnéticas en el testigo. Los valores de Sratio y BCR (Figura 5d - 5e) varían en los rangos 0.88-0.95 y 41.0-57.9 mT, respectivamente, indicando la presencia mayoritaria de minerales magnéticamente blandos como magnetita, (titano) magnetita y/o maghemita (Turner, 1997). El registro SIRM/k vs. B1/2 (Peters y Dekkers, 2003) también sugiere que la mineralogía magnética es magnetita, (titano)magnetita y/o maghemita (Figura 6b).
Las curvas de histéresis muestran un comportamiento que indica la presencia dominante de minerales ferrimagnéticos (Fig. 7a-b). Los componentes dia/paramagnéticos de la susceptibilidad se pueden determinar ajustando una pendiente a través de la rama descendente del ciclo de histéresis en el intervalo [400-500] mT. Podemos identificar si esta parte del ciclo está influenciado por minerales magnéticos de alta coercitividad, si la curva de histéresis inicial no se solapa con la rama descendente del ciclo en ese rango de campos (Kosareva et al., 2015).

Figura 7 Ciclos de histéresis de las muestras (a) 10 (UII) y (b) 15 (UI) del testigo LAZ2. Curva verde (a) y azul (b): sin la contribución dia/paramagnética. Curvas k vs T para las muestras (a) 10 (UII) y (d) 15 (UI) del testigo LAZ2. Las líneas rojas (c-d) representan el comportamiento de k durante el calentamiento y las azules (c-d) durante el enfriamiento.
Las muestras 10 y 15 (Figura 7a, 7b respectivamente) son representativas del comportamiento de todas las muestras analizadas y presentan ciclos de histéresis simétricos (calculados tras la corrección dia y paramagnética), lo que apunta a que los conjuntos de partículas son de dominio pseudo-simple (DPS, por sus siglas en inglés) ya que muestran valores similares cerca del origen (Dunlop, 2002).
Las curvas de calentamiento y enfriamiento k vs T se muestran en la Figura 7c y 7d. El parámetro k decae en un rango de temperaturas (marcado con una recta en cada gráfico en la figura) por lo que se estimó la temperatura de Curie a partir del valor medio con un intervalo de confianza asociado al rango de temperaturas (Prévot et al., 1983). Se analizó una muestra de cada unidad sedimentaria.
Las muestras de las unidades UII, UIII y UIV presentaron un comportamiento similar al de la Figura 7c, con dos fases termomagnéticas con temperaturas de Curie cercanas a los 265 ± 35 °C y 550 ± 50 °C (Figura 7c). Este tipo de comportamiento sugiere la presencia combinada de diferentes tipos de (titano)magnetita, presentando una componente principal con una baja proporción de titanio (temperatura de Curie cercana a la de la magnetita) y una componente secundaria con una mayor proporción de titanio representativa de la temperatura de Curie más baja (Dunlop y Özdemir, 1997).
Las muestras de la unidad UI (Figura 7d) presentan una sola fase termomagnética con una temperatura de Curie cercana a los 530 ± 70 °C lo que sugiere la presencia de (titano)magnetita con baja proporción de titanio (Dunlop y Özdemir, 1997).
4. Resultados paleomagnéticos
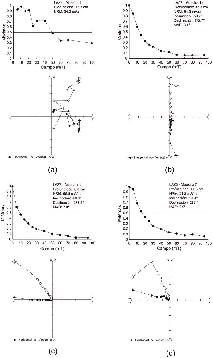
La Figura 8 muestra los diagramas de desmagnetización por campos alternos decrecientes de dos muestras de cada uno de los testigos analizados.

Figura 8 Diagramas de vectores ortogonales y curvas de desmagnetización para dos muestras representativas de cada testigo.
Las muestras sobre la base de LAZ2 (UI) se caracterizan por tener una NRM mono componente que se aísla después de eliminar una componente viscosa de baja coercitividad a los 10 mT. La dirección paleomagnética permanece estable hasta los 60 mT (campo al que la magnetización es cercana al 10% de la NRM) para las muestras de UI en LAZ2 y las muestras de LAZ3. Los vectores de desmagnetización muestran trayectorias lineales h acia el origen en los diagramas vectoriales ortogonales (Figura 8b-8d). No ocurre lo mismo para las muestras de UII, UIII y UIV del testigo LAZ2 donde algunas de las muestras no tienen una desmagnetización estable y otras presentan un grado alto de viscosidad (Figura 8a). Por este motivo sólo 4 muestras de la base del testigo pudieron ser analizadas para obtener datos direccionales.
Para futuros trabajos paleomagnéticos en la laguna se recomienda como sitio de extracción la región norte de la laguna, en algún punto cercano al sitio LAZ3 ya que el área cercana al sitio LAZ2 presenta un ambiente de mayor energía.
Se calculó la inclinación y declinación magnética (I y D, respectivamente) de la magnetización remanente primaria y la Desviación Angular Máxima (MAD, por sus siglas en inglés) en las muestras a partir del análisis de componentes principales (Kirschvink, 1980) utilizando Remasoft 3.0 (Chadima and Hrouda, 2006).
Dado que los testigos no estaban orientados con respecto al norte magnético, los valores de declinación se centraron en torno a 0°, después de haber restado la declinación media de todo el testigo en cada caso. Las inclinaciones varían entre -60.8° y -41.6° para las muestras de UI de LAZ2 y -64.4° y -26.3° para LAZ3. Los registros muestran variaciones en torno a la inclinación esperada, según el modelo del dipolo geocéntrico axial (GAD, por sus siglas en inglés) en el sitio de estudio, que es de -60.1° (McElhinny y McFadden, 1999) lo que sugiere el potencial del sitio para realizar estudios paleomagnéticos.
En la Figura 9a y 9b se muestran los registros de inclinación (I) y declinación (D) de ambos testigos. Además, se muestra con un óvalo gris el punto de unión entre los dos testigos correlacionado mediante sus perfiles de k (Figura 2). Aunque no pueden analizarse las variaciones seculares del testigo LAZ2 porque contar sólo 4 muestras con direcciones confiables, se observa que para esas muestras y tomando la correlación por k, hay coincidencias de los valores de inclinación y declinación.

Figura 9 Registros de (a) inclinación y (b) declinación de los testigos LAZ2 (negro) y LAZ3 (rojo). Con un óvalo gris se muestra el punto de unión entre los dos testigos correlacionado mediante sus perfiles de k (Figura 2). Registros de (c) inclinación y (d) declinación de los modelos geomagnéticos globales ArchKalmag14K.r (Schanner et al., 2022), CALS.3k4 (Korte et al., 2009), SHA.DIF.14k (Pavón-Carrasco et al., 2014), y SHAWQ2k (Campuzano et al., 2019) calculados para el último milenio en el sitio de estudio.
En la Figura 9c y 9d, se incluyen los registros de inclinación y declinación de los modelos geomagnéticos globales ArchKalmag14K.r (Schanner et al., 2022), CALS.3k4 (Korte et al., 2009), SHA.DIF.14k (Pavón-Carrasco et al., 2014), y SHAWQ2k (Campuzano et al., 2019) calculados para el último milenio en el sitio de estudio. Las variaciones de inclinación del registro LAZ3 muestran una tendencia general similar con los modelos pero es más difícil realizar una comparación del registro de declinación ya que los modelos presentan diferencias entre sí.
Cabe mencionar que la diferencia entre la media de la declinación de los modelos (cercana a 15°C) y la de los registros de laguna Azul, se debe a que las variaciones se centraron 0°.
La comparación con los modelos remarca la importancia de este sitio de estudio como fuente de datos valiosos para ajustar los modelos globales de campo geomagnético.
4.1. MARCADOR CRONOESTRATIGRÁFICO
Hasta el momento no se cuenta con dataciones por radioisótopos de los registros sedimentarios de Laguna Azul. Córdoba et al. (2017) realizó un estudio en diferentes registros de la Región Pampeana Argentina donde encontró un marcador estratigráfico en 1980 ± 2 AD y que corresponde a un nivel rico en carbono orgánico que coincide con el aumento del nivel lacustre más notable ocurrido durante el siglo XX. Dicho indicador es observado en registros instrumentales y paleolimnológicos en el centro de Argentina y fue asociado con el fenómeno del Niño-Oscilación Sur (ENOS).
Este marcador cronoestratigráfico fue detectado a los 7 cm en el testigo LAZ2, donde se observa un aumento repentino de LOI (Figura 2a), y es de utilidad para dar un primer paso hacia el contexto temporal de este registro, obteniéndose así un ritmo de sedimentación de 1.66 mm/año aproximadamente para esa sección del testigo.
4.1. ANÁLISIS PALEOAMBIENTAL POR UNIDAD SEDIMENTARIA DEL TESTIGO LAZ2
La unidad UI se caracteriza por una proporción de materia orgánica estable y baja indicando que la productividad lacustre fue escasa (Figura 2a). Los valores de k, ARM y SIRM mayores a la media del testigo sugieren que el ingreso de material detrítico fue alto (Figura 4). Los cocientes indicadores de tamaño de grano magnético ARM/SIRM, ARM/k y SIRM/k, presentan valores mayores a la media indicando un tamaño de grano más pequeño (Figura 5). Además, la descripción litológica indica la presencia de limos arcillosos en esta unidad, con el tamaño de grano más fino del perfil. Las muestras de esta unidad se caracterizan por una desmagnetización de la NRM estable indicando que el ambiente en el que se depositaron los sedimentos fue suficientemente estable (tal vez con un nivel de la laguna mayor que en las unidades suprayacentes) lo que permitió registrar la magnetización del campo magnético terrestre. Aunque esta no es la única condición para obtener datos paleomagnéticos de calidad, ya que también influyen la mineralogía y tamaño de grano magnético, es una condición necesaria (Tauxe, 1993).
Las unidades UII y UIII que se caracterizan por presentar los valores más bajos de LOI, más altos de k, ARM y SIRM, y el tamaño de grano magnético más grande del perfil (Figura 2a, 4, 5). Coincidentemente, estas unidades están compuestas por los tamaños de grano más gruesos según la litología, limos arenosos y arenas finas y medias (Figura 2b). Además, se caracterizan por no haber grabado bien la NRM lo que podría estar relacionado con un menor nivel del lago y un ambiente de mayor energía para ese período (Figura 8a).
Por último, la unidad UIV representa el período más reciente y se distingue por presentar valores altos de LOI en comparación con el resto del perfil (Figura 2a). Además, exhibe los valores más bajos de k, ARM y SIRM, y al mismo tiempo algunas de las muestras presentan un tamaño de grano magnético notablemente más pequeño que el resto del perfil (Figura 4, 5). Las características de este período parecen estar asociadas a un cambio ambiental h acia condiciones de menor llegada de material detrítico y un aumento de la productividad en la laguna (e.g.,Achaga et al., 2022; Das et al., 2008; Moreno et al., 2007; Talbot y Livingstone, 1989).
5. Conclusiones
Se presentan resultados paleomagnéticos y de magnetismo de rocas en dos testigos cortos de la laguna Azul de la meseta de Somuncurá en Argentina. Se identificaron cuatro unidades sedimentarias en el testigo LAZ2 y una en el testigo LAZ3. En general en el testigo LAZ2 se encontró un mayor tamaño de grano (siliciclásticos) que en LAZ3. La estimación del contenido de materia orgánica a través de la medición de LOI permitió encontrar un marcador cronoestratigráfico en el testigo LAZ2. Las mediciones de inclinación y declinación magnética permitieron la obtención de datos direccionales en ambos testigos, aunque en el testigo LAZ2 solo fue posible para las muestras de UI. Estos datos fueron contrastados con los modelos geomagnéticos globales ArchKalmag14K.r (Schanner et al., 2022), CALS.3k4 (Korte et al., 2009), SHA.DIF.14k (Pavón-Carrasco et al., 2014), y SHAWQ2k (Campuzano et al., 2019) mostrando características similares para los registros de inclinación. Al mismo tiempo se observó que los modelos presentan diferencias entre sí para el sitio de estudio durante el último milenio, lo que remarca la importancia de continuar realizando estudios paleomagnéticos en esta región.
El análisis de magnetismo de rocas sobre LAZ2 reveló la presencia de (titano) magnetita, así como variaciones en el tamaño de grano magnético a lo largo del perfil que se ajustan bien a los cambios litológicos y permitieron hacer un análisis preliminar de las posibles variaciones paleoambientales en la Laguna Azul. Este estudio preliminar se destaca por ser pionero en la meseta de Somuncurá, Argentina.
Contribuciones de los autores
(1) Conceptualización: RVA, CGSG, MAI, AG; (2) Análisis o adquisición de datos: RVA; (3) Desarrollo metodológico/técnico: RVA; (4) Redacción del manuscrito original: RVA, CG, MAI, AG; (5) Diseño gráfico: RVA; (6) Trabajo de campo: RVA; (7) interpretación: RVA, MAI, CGSG.
Financiamiento
Las mediciones de los parámetros magnéticos se realizaron en el Institute de Physique du Globe de Paris gracias a una beca Saint Exupéry financiada por Campus France y el Ministerio de Educación Argentino.
Conflicto de interés
Los autores hacen constar que no existen conflictos de interés con otros autores, instituciones u otros terceros sobre el contenido (total o en parte) del artículo.
Editora a cargo
Milagrosa Aldana










nueva página del texto (beta)



