1. Introduction
The Chicxulub crater was formed by an asteroid impact ~66 Ma ago at the Cretaceous/Paleogene (K/Pg) boundary. The crater has a 200 km rim diameter located in the northwestern sector of the Yucatan peninsula, with center in Chicxulub Puerto in the coastline (Figure 1). In the target area, fragmented material was ejected at high velocities and high temperatures, forming a central plume and lateral curtains. The impact ejecta had a global distribution, with fine grained material reaching the stratosphere and blocking the solar radiation. The impact affected the life support systems, resulting in the extinction of 76 % of species in the continents and oceans (Alvarez et al., 1980; Schulte et al., 2010).

Figure 1 (a) Location of Chicxulub impact crater in Yucatan peninsula. The location of the Santa Elena borehole is indicated. The two other boreholes that intercepted impact breccias are Peto (U6) and Tekax (U7) boreholes. Locations of Yucatan 6 Y6 in the central crater sector and M0077A over the peak ring in the marine sector are also indicated.
As part of the oil exploration programs in southern Mexico, geophysical surveys documented a large semicircular gravity anomaly in the northern Yucatan peninsula (Cornejo-Toledo and Hernandez-Osuna, 1950). Drilling found an igneous-textured unit and the structure was interpreted as a large volcanic center of Late Cretaceous age (Lopez Ramos, 1975). In the 1970's an aero-magnetic survey documented a high amplitude anomaly within the center of the gravity anomaly, which Penfield and Camargo-Zanoguera (1981) interpreted as an impact crater.
The report of a large crater generated interest in relation to the Alvarez et al. (1980) impact theory for the K/Pg boundary mass extinction. Several years later search for the K/Pg impact site focused on the Gulf of Mexico-Caribbean Sea (Bourgeois et al., 1988), which led to revising the oil exploration data. Hildebrand et al. (1991) proposed that the Chicxulub structure was the K/Pg boundary impact site, with the igneous-textured rocks interpreted as impact melt and breccias formed by the impact. Radiometric studies on melt and melt-rich breccias from the Yucatan-6 and Chicxulub-1 cores reported dates coinciding with the K/Pg boundary (Sharpton et al., 1992).
Paleomagnetic studies on Chicxulub impactites showed reverse polarity magnetizations in cores from the Yucatan-6 and Chicxulub-1 boreholes, consistent with the expected reverse polarity for ch29r chron (Sharpton et al., 1992; Urrutia-Fucugauchi et al., 1994). Paleomagnetic studies of the impact breccias cored in subsequent drilling programs in the Chicxulub crater reported mixed reverse and normal polarity magnetizations for the breccia sequence (e.g.,Steiner, 1996; Urrutia-Fucugauchi et al., 2004). The secondary magnetizations have been interpreted in terms of remagnetizations associated with an extended magnetization acquisition interval and hydrothermal alteration (Pilkington et al., 2004; Velasco-Villarreal et al., 2011; Kring et al., 2020).
Impact cratering involves conditions of high energy and extreme pressures and temperatures, with deformation and fragmentation of target material (Melosh, 1989; Pierazzo and Melosh, 2000; Collins et al. , 2008; Urrutia-Fucugauchi and Pérez-Cruz, 2009). Impact ejecta formed by mixtures of fragmented, melted and vaporized target and bolide material. Collapse of the ejecta plume results in crater fill deposits and adjacent proximal deposits, which record the ejecta emplacement and conditions. The high temperatures formed a thick melt sheet and a long-lived hydrothermal system (Kring et al., 2020). The high temperatures, shock effects and hydrothermal fluids affect the magnetic mineralogy.
Paleomagnetic studies have proved well suited for providing constraints on age, impact effects and post-impact alteration (e.g.,Halls, 1979; Urrutia-Fucugauchi et al., 1994; Urrutia-Fucugauchi et al., 2004; Elmore and Dulin, 2007; Louzada et al., 2008; Pohl et al., 2010; Yokoyama et al., 2012; Fairchild et al., 2016). The accuracy and reliability in paleomagnetic studies of impact structures and shocked lithologies depend on the remagnetization effects, with the primary and secondary magnetization isolated. The impact breccias are characterized by diverse mineralogical arrangements of clasts and matrix, shock effects, different textures and alteration processes, which are reflected in the paleomagnetic record.
Here we present results of a paleomagnetic study of the impactite section in the Santa Elena borehole (Figure 1), further examining the magnetostratigraphy and implications on emplacement and hydrothermal system.
1.1. CHICXULUB CRATER AND SANTA ELENA BOREHOLE
Chicxulub formed by an asteroid impact on the Yucatan platform, in the southern Gulf of Mexico. The crater has a multiring morphology with a peak ring (Hildebrand et al., 1991; Sharpton et al., 1993; Urrutia-Fucugauchi et al., 2011; Gulick et al., 2013; Morgan et al., 2016). The impact affected the life support systems, resulting in the extinction of 76 % of species in continents and oceans and marking the Cretaceous/Paleogene boundary (Alvarez et al., 1980; Schulte et al., 2010). The impact involved high energy conditions, with extreme pressures and temperatures and deformation and fragmentation of target material (Melosh, 1989; Pierazzo and Melosh, 2000; Collins et al.,,2008).
The ejecta formed by dynamic mixtures of fragmented, melted and vaporized target and bolide material (Navarro et al., 2020; Navarro et al., 2021). Collapse of the ejecta plume resulted in crater fill deposits and adjacent proximal deposits that record the ejecta emplacement and conditions. The K/Pg boundary sites are marked by distinct ejecta characteristics related to distance from Chicxulub crater: (1) very proximal, (2) proximal, (3) intermediate and (4) distal sites (Schulte et al., 2010). The very proximal sites up to 500 km away from the impact site show thick ejecta deposits. Distal sites are characterized by a few centimeters thick double layer ejecta, with a basal spherulite layer and a fine-grained clay layer (Alvarez et al., 1980; Schulte et al., 2010).
Within and around the crater, drill boreholes show impactite sequences up to several hundred meters thick. The breccias show an inverted stratigraphy with the basement and melt rich breccias above the carbonate rich breccias (Urrutia-Fucugauchi et al., 1996). The K/Pg sections around the Gulf of Mexico Caribbean Sea region show ejecta deposits several meters thick, with high energy debris flows and tsunami deposits emplaced between the basal spherulitic layer and the clay layer (Schulte et al., 2010).
The aeromagnetic studies over the central sector of crater show a high amplitude dipolar anomaly of reverse polarity with high frequency small amplitude anomalies (Penfield and Camargo-Zanoguera, 1981; Hildebrand et al., 1991; Hildebrand et al., 1998; Ortiz-Aleman and Urrutia-Fucugauchi, 2010). The central dipolar anomaly is associated with the basement uplift, with contributions of the melt and impact breccias. The small anomalies are likely associated with the melt and impact breccias, with contributions from crater structures involving basement units. The magnetic anomalies are constrained within the zone of high amplitude gravity anomalies, within the annular trough. Joint models of the aeromagnetic and gravity anomalies characterize the crater structures and the crater units. Constraining the sources of the magnetic anomalies requires further data on the physical property contrasts with depth, associated with the basement uplift, breccias and melt (Pilkington and Hildebrand, 2000; Urrutia-Fucugauchi et al., 2022).
The Santa Elena drilling site is in the southern sector of Ticul Sierra about 3.5 km northwest of Santa Elena town at 20.34° N, 89.66° W (Urrutia-Fucugauchi et al., 1996; Urrutia-Fucugauchi et al. , 2014). The radial distance is 110 km from Chicxulub Puerto (Figure 1). The drilling included a continuous core recovery program, providing core samples from the post-impact carbonates and the impactite section (Figure 2).

Figure 2 Lithologic column for the Santa Elena borehole and the impact breccia section with the breccia units drilled in the 332 to 504 m depth range. Core images at different intervals through the section are included.
The post-impact sequence consists in about 1 m of calcareous soils, followed by 56.5 m of crystalline limestones, then 145 m of dolomitized limestones, 15 m of cream-white argillaceous fractured limestones, 115 m of argillaceous limestones with lutite beds partly affected by dolomitization and dissolution, 114 m of cream-white argillaceous limestones with lutite intercalations, and 45.5 m of limestones and lutites with evaporites.
The drilling sampled 172 m of impact breccia. The impact breccia begins from 332 to 504 m in depth and has been defined as a suevite polymictic breccia with clay-silty matrix, rich in carbonate clasts, impact glass, impact melting rock and granite clasts of the basement (Figure 2). Breccia units have been defined from analyses of matrix and clasts, with the lithological, textural and mineralogical changes, clasts and matrix (Escobar-Sánchez, 2002; Urrutia-Fucugauchi et al., 2014). Subunits are marked, based on the magnetic susceptibility and magnetization intensity logs (Figure 2).
2. Methods
For the study, samples were cut from the cores that were not azimuthally oriented. The declinations are referred to orientation chosen for the core segments. Part of the samples are cubes and part are cylinders.
The magnetic susceptibility was measured with a Bartington MS2 susceptibilimeter with a dual frequency sensor (Dearing, 1999). The intensity and direction of natural remanent magnetization (NRM) were measured with a JR6-A spinner magnetometer. Demagnetization by alternating fields (AF) was done with a Molspin Limited shielded demagnetizer NE2 2HE, in steps up to 100 mT at 180Hz. For thermal demagnetization, a Schonstedt TSD-1 furnace with a special metal shield was used, with a capacity of 16 samples. It has two chambers, one for heating and one for cooling. For AF demagnetization, 14 cylindrical samples (~2cm high by 2.4cm diameter) were selected. For thermal demagnetization 15 cubic samples (~ 8cm3) were used.
For the analysis of vector components and calculation of characteristic magnetizations (ChNRM), vector plots, end point analysis and principal component analysis (PCA) were used (Zijderveld, 1967; Kirschvink, 1980; Dunlop, 1979).
3. Results
The impactite sequence is divided into four units and seven subunits (see text for description). Both parameters have similar behavior and allow the column to be divided in two parts. A lower section from 450m to ~504m depth and upper section from 332m to ~450m of depth. Average clast abundance (%) and clast sizes show a correlation with the magnetic susceptibility and magnetization intensity.
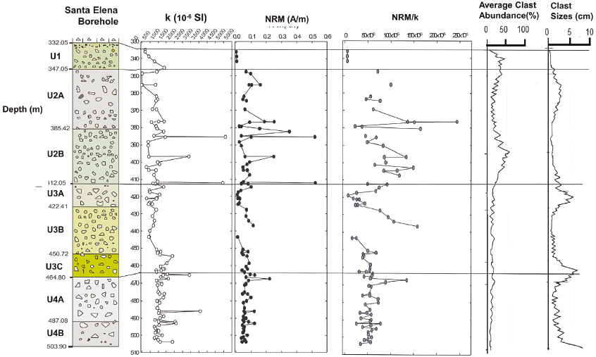
The measurements of the magnetic susceptibility and NRM intensity, as well as the size of the clasts and their abundance as a function of depth are plotted in Figure 3. Magnetic susceptibility varies from 5 to 2000 10-6 SI, with some high values > 5000 10-6 SI.

Figure 3 Logs of magnetic susceptibility, NRM intensity, NRM intensity-magnetic susceptibility ratios (this study) and average clast abundance (%) and clast sizes (cm) (Escobar Sánchez, 2002; Urrutia-Fucugauchi et al., 2014). The impactite sequence is formed by four units and seven subunits (see text for description).
The ratios of NRM and magnetic susceptibility show variable behavior in the upper section with higher values than in the lower section. The clast sizes and average abundance (%) depending on the depth show that 50% of the clasts are in the lower part of unit U2A and upper part of unit U2B; while the large clast sizes are in U3A and U3B units (Figure 3).
Demagnetization vector plots and intensity diagrams for thermal demagnetization are shown in Figure 4. Vector plots show one characteristic component defined from 500°C The demagnetization for U2 shows unblocking temperatures for secondary components between 450°C and 525°C and inflexion point between 550o-580°C. In the samples from U3A and U3B units show an increment of the magnetization intensity and starts in 150°C. The vector plots show one to three secondary components. The characteristic vector is determined in the 450o-500°C range. For U3C Mir41, U4A Mir55 and U4B Mir74, vector plots show one to three components like Mir41 with a characteristic component defined >550°C. Vector plots show a magnetization change at 650-680°C suggesting a new magnetic phase, with a characteristic component defined from 200°C.

Figure 4 Vector demagnetization plots and intensity diagrams for samples with thermal demagnetization. The horizontal component is indicated by circles and the vertical component by squares. Samples from upper section units U2 to U3B, with one to two components. Samples from lower section U3C and U4 units with univectorial magnetizations Observe the similarity of unblocking temperature spectra for different units.
AF demagnetization shows univectorial components, with some samples showing two or three components (Figure 5). Vector plots show magnetization components isolated between 30 and 50 mT, some up to 70 mT. The intensity diagrams show an inflexion point in 40-45 mT, with some showing an increase above 80-90 mT.

Figure 5 Vector demagnetization plots and intensity diagrams for samples of upper section with alternating field demagnetization. The horizontal component is indicated by circles and the vertical component by squares.
Vector plots and principal component analysis were used to determine the magnetization components from thermal and AF demagnetization. Cores are not azimuthally oriented, and the inclination is used for the discussion. The results show dominantly upward magnetic inclinations, with few downward inclinations, consistent with reverse polarity magnetizations acquired in ch29r chron.
4. Discussion
The K/Pg boundary sites record distinct ejecta deposits related with the distance from Chicxulub crater: 1) very proximal sites, 2) proximal sites, 3) intermediate sites and 4) distal sites (Schulte et al, 2010). Paleomagnetic studies of the K/Pg boundary intermediate and distal sections have documented a magnetostratigraphy consistent with the impact occurring during reverse polarity ch29r chron. The boundary sections at proximal sites in the circum-Gulf of Mexico and Caribbean Sea show complex stratigraphy, associated with high energy debris flows and tsunami deposits. Sections at or close to the crater that include the breccia sequences are in addition affected by post-impact processes and hydrothermal alteration.
During thermal vector demagnetization, orthogonal projections show one to two components in most samples (Figure 4). The characteristic vector is well defined in samples from units U2 to U3. The samples in units U3C to U4 present a single component from almost the start of demagnetization up to 525 °C, and up to 680 °C in others. The magnetization graphs show an increase to 200-250 °C and on some samples at 350 °C and 525° C. Samples Mir16 and Mir 41 show large changes at low unblocking temperatures, indicating removal of a secondary component. An inflection is noted defining the characteristic vector in unit 2 and unit 3 samples. Unit 4 samples show small increases in Mir55 or none in Mir74. The inflection at 450-500° C suggests removal of secondary components.
During alternating field demagnetization, the orthogonal projections (Figure 5) show single component magnetizations. In some cases, there is a secondary component removed in low fields 3 to 10-15 mT, observed in U4 and in samples of U3C. A secondary component removed between 20 and 45 mT indicates intermediate components. The characteristic component shows linear trajectories; in some cases, a single vector component from the beginning to 90 mT, and some from 10 to 50 or 70 mT. In some cases, vector components deviate from the origin (M64, M98) coercivity suggesting remagnetization during treatment or incomplete separation. Secondary components of high and intermediate coercivity are observed in U2 and U3B.
Principal component analysis on the demagnetization data was used to define the characteristic inclinations, which are plotted referred to stratigraphic position (Figure 6). The magnetostratigraphic results show mainly negative inclinations, between -20 ° and -55 ° with an average inclination of -31.12°. This contrasts with the paleomagnetic results for the Yaxcopoil-1 breccia sequence, where upward and downward magnetic inclinations are recorded (Urrutia-Fucugauchi et al., 2004; Velasco-Villarreal et al., 2011).

Figure 6 Plot of characteristic remanent inclination after AF and thermal demagnetization for samples of the impactite sequence. ChRM inclinations are plotted as a function of stratigraphic position through the sequence. Upward inclinations fall in the range -20° to -55°.
Paleomagnetic analysis of impact melt rocks from Yucatan-6 borehole recorded a characteristic inclination of -42.6 ° ± 2.4°, interpreted as reverse polarity (Urrutia-Fucugauchi et al., 1994). The inclination of the geomagnetic field at the Chicxulub site in northern Yucatan during the late Cretaceous was -43 ° (Besse and Courtillot, 1991; Gordon and Van der Voo, 1995). The average inclination of the characteristic NRM magnetizations of -40° to -45 ° in Yucatan-6 breccias and melt are consistent with reverse polarity (Urrutia-Fucugauchi et al., 1994). The 40Ar/39Ar dating in Yucatan-6 melt samples gave an estimated crystallization age of 65.2 ± 0.4 (Sharpton et al., 1992).
Magnetostratigraphic studies of the basal carbonate sequence and upper breccias drilled in the Santa Elena, Peto and Tekax boreholes are consistent with the impact occurring at the reverse ch29r chron (Rebolledo-Vieyra and Urrutia-Fucugauchi, 2006). Radiometric and stratigraphic studies by Renne et al. (2013) provide an age around ~66 Ma. The magnetic polarity time scale has been revised, which provides additional constraints on the chronology for ch29r chron (Ogg, 2020). The upward inclinations of samples throughout the section indicate that the ejecta acquired its magnetization during emplacement at high temperatures in a reverse polarity field.
In the lower U3C to U4 units, upward inclinations in univectorial components in the high temperature range of 525° C and 680 °C and alternating fields of 10 to 50-70mT are observed.
Large clast sizes, angular shapes and lower abundance, in addition to melt-rich matrix, suggest turbulent flow conditions for the deepest section U3C and U4 units, but less than those in Yaxcopoil-1. In Yaxcopoil-1, the basal surges suggest collapse of the ejecta plume under turbulent conditions as proposed by Wittmann et al. (2007) with data on the particle shapes, lack of particle selection and their random orientations. For the Yax U3 or US units considered as a fallback ejecta a temperature gradient towards the top is indicated. The deposit for Yax U1 and U2 units, suggests less turbulence, indicated by clast selection (Wittmann et al., 2007).
The vector diagrams for thermal demagnetization of samples from the upper section U2 to U3B units show single to two component magnetizations, with characteristic components. Some samples show inflection points, in 350°C and 525 °C. The AF demagnetization vector diagrams show one or two components of medium coercivity between 20 and 45mT and high coercivity from 50 to 70mT.I In some cases the component deviates from origin indicating remagnetization o incomplete separation of high coercivity components.
The upper section shows zones with fewer clasts but large sizes such as the upper part of the unit U2A, lower part of units U2B, unit U3A, and lower part of the U3B. Zones with small size clasts are the lower part of the unit U2A and upper part U2B and U3B. U3B-U2 units may have been deposited in less turbulent environmental conditions and temperatures, which correspond with the fallback suevites drilled in the Yaxcopoil-1 borehole. The U1 appears similar to the USS and LSS units from Yaxcopoil-1 borehole, interpreted as late fall back breccias, but more studies are needed.
Pilkington et al. (2004) reported that Fe-oxide phases comprising limonite-goethite, magnetite, and Fe-Ti oxides occur in the impactite section of Yaxcopoil-1. Magnetite, Fe-oxyhydroxides and Fe-Ti oxides are secondary minerals in the matrix, in addition of microlites, diopside, and plagioclase, vesicles associated with quartz and clay minerals, and veins with K-feldspars and albite. Planar deformation features PDFs are observed in up to three directions. Diaplectic glass mosaicism and fluidal morphologies have been documented in Tuchscherer et al. (2004), also in the Yaxcopoil-1 breccias.
The characteristic inclinations vary over a wide range, larger than expected from paleo-secular variation effects (Figure 6). This could indicate magnetization components acquired over extended periods and incomplete removal of secondary magnetizations. Impact breccias are characterized by complex paleomagnetic records, associated with the magnetic mineralogy, high energy emplacement and alteration processes (Halls, 1979; Elmore and Dulin, 2007; Fairchild et al., 2016).
Further analyses are needed to constrain the magnetization components in the breccias and the relations to emplacement mode. The Santa Elena polymictic breccias are highly heterogeneous, with clasts of melt, basement and carbonates in a melt rich or carbonate rich matrix. Different emplacement conditions were involved, from high temperature basal surges to fall back breccias and reworking (Stoeffler et al., 2004; Tuchscherer et al., 2004; Kring et al., 2004; Wittmann et al., 2007). The remanent magnetization is probably a ther-mochemical or chemical magnetization, acquired after breccia emplacement. Studies of the geomagnetic field in the Mesozoic have documented an interval of constant polarity during the Cretaceous normal polarity superchron. Recent studies have focused on the paleointensity record during the superchron and extended to the K/Pg boundary interval (Goguitchaichvili et al., 2004, 2023). Studies have analyzed the relationships among the frequency of reversals, secular variation and the intensity of the magnetic field. In the period before the K/Pg boundary the reversal frequency increased to around a reversal per million years.
The studies with high resolution magneto-stratigraphy at the K/Pg boundary consider the paleosecular variation changes and strength of the field, in addition to the polarity changes (Zhu et al., 2003; Goguitchaichvili et al., 2004).
The characteristic magnetizations with upward inclinations are carried by magnetite and Ti-poor titanomagnetites, with low-intermediate coercivities and distributed 300o-600o C unblocking temperatures. Pilkington et al. (2004) analyzed the magnetic mineralogy of the breccia section in the Yaxcopoil-1 borehole, showing that the dominant magnetic phase is magnetite formed by low temperature <150o C alteration. The secondary magnetite is associated with quartz and clays and in fine plagioclase-diopside aggregates in the melt. This association is observed for the Fe-Ti oxides and Fe-oxyhydroxides. Rock magnetic properties indicate magnetite and Ti-poor titanomagnetites (Urrutia-Fucugauchi et al., 2014). Hysteresis loops for melt-rich breccias show saturation at low applied fields indicating low coercivity magnetic minerals. In the magnetization-coercivity ratio plot samples fall in the pseudo-single and multi-domain fields. Curves of magnetic susceptibility as a function of temperature show irreversible behavior, with magnetic phases formed after heating to 700o C. Well defined Hopkinson peaks are observed between 500o and 570o C. Samples subjected to a second heating run to 700o C showed similar cooling/heating curves, with reduction of magnetic susceptibility.
The remanent magnetizations carried by the secondary magnetite are likely chemical remanent magnetizations, acquired after emplacement of the breccias. The hydrothermal activity, with hot fluids circulating through the fractured porous breccias might have resulted in secondary overprints acquired over an extended period, which accounts for the multicomponent and mixed polarity magnetizations in the Yaxcopoil-1 section (Urrutia-Fucugauchi et al., 2004; Pilkington et al., 2004; Velasco-Villarreal et al., 2011).
5. Conclusions
Results of a study in the Santa Elena borehole are used to investigate the paleomagnetic record of the impact breccias. The impact breccias cored between 332 and 504 m depth are formed by melt, basement and carbonate clasts in carbonate-rich and melt-basement-rich matrix. Thermal and alternating field demagnetization show univectorial and two-component magnetizations, with upward inclinations and few downward inclinations. The dominantly upward magnetization inclinations in the breccia sequence are interpreted in terms of reverse polarity thermoremanent magnetizations acquired during the reverse polarity ch29r chron. Magnetic susceptibility varies from 5 to 5000 10-6 SI, with most between 5 to 2000 10-6 SI. The upper section has low susceptibilities, while the lower section shows higher susceptibilities. NRM intensity log shows similar trends, with intensities between 0 to 0.5A/m, mostly between 0 to 0.15A/m. The trends correlate with the lithological and mineralogical composition, with the textural and clasts and matrix composition, with melt and basement rich in the upper section and less abundant melt particles in the lower section.
The magnetic susceptibility and remanent magnetization intensity variations throughout the upper section suggest emplacement as a fall air deposit in relatively less turbulent conditions. The trend for magnetic susceptibility and NRM in the lower unit, clast composition and petrography suggest a high temperature gas emplacement as a basal surge deposit. Analysis of thermal and AF demagnetization vector diagrams and coercivity and unblocking temperature spectra support that the upper unit is a fallback suevite and the lower unit a high temperature basal surge.
Mineralogical and chemical analyses show hydrothermal alterations that vary with location in the crater and surroundings. This resulted in formation of secondary magnetic minerals. Additional studies are needed to analyze the secondary overprints and the magnetization acquisition mechanisms.
Conflict of interest
Authors confirm that there are no known conflicts of interest.
Handling editor
Leda Sánchez Betucci.










nueva página del texto (beta)


