1. Introducción
La Organización Mundial de la Salud (OMS) estimó que en el año 2012 la exposición al aire contaminado ocasionó siete millones de muertes prematuras (en menores de 60 años), una de cada ocho muertes en el planeta, confirmándose así que en la actualidad tal exposición constituye el mayor riesgo ambiental para la salud humana (WHO, 2014). Por esto se justifica el instrumentar una o varias técnicas de vigilancia del estado del ambiente urbano, empleando indicadores sensibles y cuantificables que puedan ser monitoreados espacial y temporalmente (Harrison, 2006). Existen varias metodologías para monitorear la contaminación, pero las que más se destacan son aquellas que emplean el análisis químico de muestras ambientales, que ofrece concentraciones de elementos o moléculas sin establecer un efecto adverso (Harrison, 2006). Esta metodología es intensiva en el uso de reactivos, con equipos de laboratorio robustos y costosos operados por personal altamente calificado, que sigue complejos protocolos de preparación y análisis de muestras, y que consumen bastante tiempo.
Las partículas magnéticas empezaron a ser empleadas en estudios de monitoreo ambiental en muestras de polvos atmosféricos y sedimentos urbanos en la década de los 80 del siglo XX (Thompson et al., 1980; Hunt et al., 1984; Oldfield et al., 1985; Beckwith et al., 1986; Hunt, 1988). Una de las ventajas del uso de estas partículas viene dada por la facilidad de determinar sus parámetros magnéticos mediante sencillas técnicas de laboratorio, con uso de equipos accesibles por su costo -si se les compara con aquellos empleados en los análisis químicos-, con un protocolo sencillo de preparación y análisis de muestras. Los parámetros magnéticos de estas partículas proporcionan información sobre su posible origen según el tipo magnetismo (duro o blando), tamaño de grano magnético (ultrafino, fino, grueso), dominio magnético (monodominio, multidominio), distinguiendo entre diferentes fuentes (p. ej., polvo levantado del suelo por acción del viento, ceniza volcánicas, emisiones móviles por automotores, emisiones fijas de carácter industrial, etc.), como ha sido demostrado en estudios sobre contaminación ambiental que emplean técnicas del magnetismo de rocas (Mitchell y Maher, 2009; Magiera et al., 2011; Aguilar et al., 2013a; Crosby et al., 2014a y 2014b).
El material particulado (PM por sus siglas en inglés) presente en el aire urbano es un contaminante primario que puede ser clasificado de varias formas según su origen (Harrison, 2006; Kabata-Pendias, 2010): a) emisiones fugitivas naturales (p. ej. polvo eólico, erupciones volcánicas, evaporación proveniente de superficies de agua) o antrópicas (p. ej. minería); b) emisiones de fuentes móviles (p. ej. tubos de escape de vehículos y desgaste mecánico de autopartes) o fuentes fijas (p. ej. chimeneas de fábricas -fundición de hierro y otros metales no ferrosos, incineración de residuos, otros procesos industriales-, quemado de carbón y otros combustibles fósiles para la generación de energía eléctrica); c) partículas recién nucleadas que se forman a partir de la condensación de las emisiones de los tubos de escape en fase gaseosa. Una fracción de ese PM es lo suficientemente pequeña (diámetro inferior a 10 µm, PM10) como para ser inhalada y penetrar hasta la región torácica del tracto respiratorio; se considera que este material contribuye a efectos nocivos en la salud observados en los entornos urbanos (WHO, 2006; IARC, 2013). Las partículas magnéticas hacen parte del PM aerotransportado en la atmósfera (Hunt et al., 1984; Oldfield et al., 1985; Flanders, 1994; Shu et al., 2000; Hansard, et al., 2012; Jones et al., 2015). Una porción de ese PM aerotransportado se deposita sobre el suelo, hojas de plantas, vialidades y otras superficies en dos modalidades: a) vía seca (impacto con las superficies, asentamiento gravitacional), y b) vía húmeda (por acción de la lluvia, nieve, niebla, nubes que transitan rasantes a las superficies).
Algunos parámetros magnéticos de muestras ambientales tomadas de superficies de acumulación de PM, como la susceptibilidad magnética y la magnetización remanente isotérmica a saturación, pueden revelar desde pequeños hasta grandes cambios en la concentración relativa de minerales magnéticos de un lugar de recolección de muestra a otro (variación espacial), demostrando ser útiles en la definición de áreas contaminadas en ambientes urbanos (Moreno et al., 2003; Gautam et al., 2004; Qiao et al., 2011; Barima et al., 2014; Wang et al., 2014) e inclusive informar sobre la presencia de algunos elementos potencialmente tóxicos (Georgeaud et al., 1997; Ďurža, 1999; Petrovský et al., 2001; Desenfant et al., 2004; Maher et al., 2008; Chaparro et al., 2010; Zhu et al ., 2013; Liu et al., 2016). La interpretación de estos parámetros puede mejorar ostensiblemente si se comparan con parámetros magnéticos (valores de fondo) obtenidos de muestras tomadas de sitios cercanos o en el interior de la urbe estudiada, catalogadas como no contaminadas o poco contaminadas; de una selección adecuada de valores de fondo magnéticos dependerá una correcta calibración e interpretación de resultados (Hanesch et al., 2002; Jordanova et al., 2008).
Una porción del polvo urbano (PU) corresponde a partículas sólidas que pueden ser resuspendidas reiteradamente en el aire por la acción de corrientes de viento naturales o inducidas por el tráfico vehicular (Amato et al., 2013a, 2013b) se ha comprobado que algunas de estas partículas de PU resuspendido tienen diámetros inferiores a 10 μm (Ho et al., 2003; Jancsek-Turóczi et al., 2013) por lo que podrían ser inhaladas fácilmente o ingresar al cuerpo humano a través del tracto digestivo por ingestión accidental. Además, se ha demostrado que el PU resuspendido puede contener elementos tóxicos (Vega et al., 2001; Watson y Chow, 2001; Ho et al., 2003; Chow et al., 2004), por lo que se considera como una fuente importante de contaminación del aire respirable (Amato et al., 2014). Su presencia en el ambiente urbano y la exposición crónica al mismo debe considerarse como un factor de riesgo que aumenta la probabilidad de sufrir una enfermedad.
El análisis de parámetros magnéticos de las partículas que conforman el PU es una herramienta semicualitativa para estimar el grado de contaminación ambiental local o regional. Según Jordanova et al., (2012), el uso de parámetros magnéticos en estudios cualitativos de contaminación se basa en el supuesto que la mayoría de contaminantes están acompañados o ligados a una fracción de partículas magnéticas que contienen hierro, por lo que el PU asentado en un sitio específico de una zona urbana tiene una firma magnética determinada por el efecto acumulativo de fracciones magnéticas, con la que se podría identificar cambios espaciales y/o temporales indicadores de diferencias entre sitios del contenido de partículas magnéticas o de cambios en la fuente de origen de los polvos. Los parámetros magnéticos del PU han demostrado ser de utilidad en la identificación de áreas contaminadas en zonas urbanas y su relación con actividades humanas específicas como el tráfico vehicular y/o la presencia de industrias emisoras de cenizas con presencia de material magnético (Hoffmann et al., 1999; Shilton et al., 2005; Kim et al., 2009; Aguilar, 2011; Aguilar et al., 2013a, 2013b). Además, se han reportado asociaciones significativas entre parámetros de concentración relativa de minerales magnéticos del PU con PM1.0, PM2.5 y PM10 (Crosby et al., 2014). Estos parámetros determinados en el PU son de gran utilidad para la valoración inicial en estudios detallados de la contaminación causada por altas concentraciones de elementos potencialmente tóxicos en sedimentos depositados en vialidades (Crosby et al., 2014).
Dentro del magnetismo ambiental, se ha adaptado una metodología a partir de mediciones de algunos parámetros magnéticos los cuales han demostrado ser muy útiles al reducir los factores costo-tiempo (Thompson y Oldfield, 1986). En particular, el estudio de estos parámetros en polvos urbanos ha demostrado ser eficaz en la investigación del alcance, grado, fuente y evolución temporal de la contaminación relacionada con la industria y otras actividades humanas (Maher y Thompson, 1999; Muxworthy et al., 2001; Evans y Heller, 2003). Del mismo modo, el análisis de los parámetros magnéticos su estudio ha resultado eficaz en la delimitación de áreas contaminadas en zonas urbanas a través de la evaluación del factor de aumento magnético (FAM) y su relación con actividades humanas específicas como el tráfico vehicular y/o la presencia de industrias emisoras de cenizas con presencia de material magnético (Hoffmann et al., 1999; Shilton et al., 2005; Kim et al., 2009; Aguilar et al., 2011, 2013a, 2013b). Con esta metodología, el polvo urbano ofrece también información sobre la contaminación a corto plazo o temporal, en intervalos de tiempo que se presentan entre las épocas de lluvias o de vientos fuertes. El principal interés en el estudio del magnetismo ambiental está en el aumento de la señal magnética el cual es un fenómeno originado por la conversión de materiales no-ferrimagnéticos in situ, o bien, a un aporte extra de materiales ferrimagnéticos de origen natural o antrópico (Chaparro et al., 2006). Entre los posibles procesos que causan este aumento magnético pueden nombrarse: fermentación, calentamiento, incendios, actividad biológica, procesos químicos (Tite y Linington, 1975; Mullins, 1977; Thompson et al., 1980; Maher, 1986; Thompson y Oldfield, 1986), emisión y deposición de partículas contaminantes y magnetizadas de origen antrópico (Hunt et al., 1984; Strzyszcz et al., 1996; Hay et al., 1997; Heller et al., 1998; Bityukova et al., 1999; Lecoanet et al., 2001).
A través de la comparación de los valores obtenidos de susceptibilidad magnética específica de masa χ, así como otros parámetros magnéticos como la MRIS en polvos, se puede demostrar un incremento con relación a aquellas muestras que han sido declaradas control o testigo. La fracción magnética propia del medio ambiente puede ser también alterada por un aporte extra de partículas magnéticas derivado de fuentes antrópicas, puesto que fuentes de polución puntuales y difusas pueden emitir y liberar en la atmósfera contaminantes que contienen minerales no magnéticos y/o minerales ferrimagnéticos.
El objetivo del trabajo fue evaluar el nivel de contaminación utilizando los parámetros magnéticos como una metodología rápida, así como la identificación de las zonas de mayor contaminación en el Valle de Aburrá Colombia.
2. Materiales y métodos
2.1. Zona de estudio
El Valle de Aburrá se extiende desde las proximidades del nacimiento del río Medellín, en el extremo suroccidental, hasta la zona central del departamento de Antioquia, en una longitud aproximada de 80 km hasta el municipio de Barbosa (Figura 1, Consorcio Microzonificación 2006, 2006a, 2006b). El Área Metropolitana del Valle de Aburrá (AMVA) tiene una topografía irregular se localiza entre 1300 y 2800 msnm. Las cordilleras que lo encierran dan lugar a la formación de diversos microclimas, saltos de agua, bosques, sitios de gran valor paisajístico y ecológico. Su temperatura media anual es de 24 °C y su precipitación promedio anual es de 1571 mm (Alcaldía de Medellín, 2011).
La ciudad de Medellín es el principal centro urbano del Valle de Aburrá (ciudad núcleo), y junto con otros nueve municipios (Barbosa, Girardota, Copacabana, Bello, Itagüí, La Estrella, Sabaneta, Envigado y Caldas) integran el Área Metropolitana del Valle de Aburrá (AMVA), entidad administrativa de derecho público que asocia a los 10 municipios que conforman el Valle de Aburrá. El Valle de Aburrá presenta una superficie de 1,165.5 km2, una población de 3 731,447 habitantes, y una densidad de población de 3,202 habitantes/km2 según las proyecciones de población al 2014 del Departamento Administrativo Nacional de Estadística DANE (AMVA, 2016); (Contraloría General de Medellín, 2015).
El PM2.5 continúa siendo el contaminante que genera un mayor deterioro de la calidad del aire en el Valle de Aburrá. Según estimaciones de las secretarías de tránsito del Área Metropolitana y de movilidad en Medellín, el número de vehículos y motos circulantes por esta ciudad en 2014 es de 1,234,946 unidades, mientras que en el 2010 era de 936,365 vehículos, de manera que hubo un incremento vehicular de 298,581 (Contraloría General de Medellín, 2015).
2.2. El muestreo
Se realizó un muestreo sistemático bidimensional sobre la mancha urbana (Figura 1). La mancha urbana se dividió en estratos según el uso de suelo y tipo de vialidad (Webster y Oliver, 1990, 2007). El muestreo se realizó en la segunda y tercera semana de enero de 2014, semanas que están dentro de la temporada más seca del año. Se recolectaron muestras ambientales en siete de los diez municipios del Valle de Aburrá; los municipios muestreados conforman la ciudad conurbada. En los restantes tres municipios no se levantaron muestras porque se encuentran ubicados por fuera de los límites de la ciudad conurbada: Caldas, en el extremo sur del valle, Girardota y Barbosa, en el extremo norte del valle (Tabla 1).
Tabla 1 Resumen general del muestreo en el AMVA, (ver también Anexo A).
| Ciudad | Superficie estudiada (km2) | Sitios | Suelo superficial | Suelo control | Polvos urbanos | Hojas de plantas | Total de muestras |
|---|---|---|---|---|---|---|---|
| Muestras ambientales recolectadas | |||||||
| Bello BE | 21.93 | 13 | 13 | 1 | 13 | 13 | 40 |
| Copacabana CO | 5.08 | 3 | 3 | 1 | 3 | 3 | 10 |
| Envigado EN | 13.23 | 5 | 5 | 1 | 5 | 5 | 16 |
| Itagüí IT | 12.23 | 8 | 8 | 1 | 8 | 8 | 25 |
| La Estrella LE | 3.94 | 2 | 2 | 1 | 2 | 2 | 7 |
| Medellín MD | 110.33 | 64 | 64 | 6 | 64 | 63 | 197 |
| Sabaneta SA | 4.45 | 4 | 4 | 0 | 4 | 4 | 12 |
| AMVA | 171.19 | 99 | 99 | 11 | 99 | 98 | 307 |
| Distancia entre los dos sitios de muestreo más próximos (en metros) | |||||||
| Mínima | 526 | --- | 483 | 526 | |||
| Máxima | 1547 | --- | 1547 | 1547 | |||
| Media | 1039 | --- | 1035 | 1041 | |||
| Distancia máxima entre los dos sitios de muestreo más lejanos (en metros) | |||||||
| 26439 | --- | 26439 | 26439 | ||||
El punto de muestreo se ubicó preferiblemente sobre la vialidad (asfalto, cemento, pavimento, adoquín, empedrado, terracería, etc.), el punto se ubicó sobre la banqueta u otro tipo de superficie colindante a la vialidad. Una vez identificado el punto de muestreo se delimitó un metro cuadrado de superficie y se realizó un barrido dentro del área delimitada con una brocha limpia y seca. Se formaron cúmulos de polvo cada 20 o 30 cm, obteniendo así de cuatro a seis cúmulos dentro del área, esto permitió reducir la pérdida de material debido a la dispersión de polvo por corrientes de viento externas y/o generadas por el barrido. Los cúmulos fueron recolectados con la brocha y una mica de plástico. El polvo fue depositado en doble bolsa de polipropileno con cierre, para evitar su contaminación. Las bolsas fueron rotuladas con un plumón de tinta indeleble y, además, se adicionó entre ambas bolsas una etiqueta con los datos de georreferencia, número de sitio, localidad, persona que realizó el levantamiento, fecha y hora.
En caso haber recolectado menos de 50 g de polvo, se delimitó otro metro cuadrado y se repitió el procedimiento. Finalmente, todo el material empleado para el barrido y recolección fue limpiado para evitar contaminación entre sitios (Bautista et al., 2011). No se recolectaron muestras en puntos cercanos a talleres mecánicos, talleres de pintura, herrerías, puertas deterioradas (oxidadas), alambrados, vallas metálicas o cerca de vehículos abandonados; en lo posible se evitaron puntos de acumulación excesiva de polvo como vados, coladeras de drenaje pluvial o que presentaran residuos metálicos o de hidrocarburos.
Cada muestra fue depositada en una charola de plástico, se le retiraron las gravas vidrios, plásticos, huesos y material orgánico visible (hojas, raíces, etc.). Seguidamente, el material pasó a través de una coladera de plástico con aberturas de 1mm (malla 18) y con etiqueta de identificación. Para el encapsulado las muestras recolectadas, se emplearon en contenedores cúbicos de acrílico con un volumen interno aproximado de 8 cm3, específicos para realizar mediciones magnéticas. Los cubos fueron sellados y etiquetados para su identificación
Se tomaron aproximadamente de 7 a 15 g de polvo urbano y se introdujo dentro del contenedor cúbico. Una vez encapsuladas las muestras, se determinó el peso neto de cada una (descartando el peso del contenedor) para calcular la densidad (ρ).
2.3. Análisis de laboratorio
La susceptibilidad magnética y dependencia de la frecuencia se determinó empleando un susceptibilímetro Bartington MS2B de frecuencia dual (Dearing, 1999), con baja (470 Hz) y alta frecuencia (4700 Hz). Una vez obtenidos los resultados se calculó el porcentaje de la susceptibilidad dependiente de la frecuencia χFD% mediante la ecuación:
La susceptibilidad magnética específica de masa, χ, se calculó a partir del valor obtenido de κLF, y la densidad, ρ, de la muestra encapsulada en el contenedor cúbico.
En cada muestra encapsulada se indujo una magnetización remanente isotérmica MRI progresiva, mediante la aplicación de pulsos magnéticos unidireccionales de intensidad creciente en cada etapa (0.025, 0.050, 0.075, 0.1, 0.2, 0.3, 0.5 y 0.7 Teslas), utilizando un magnetizador de pulsos ASC IM10-30 hasta alcanzar la magnetización de saturación de los minerales magnéticos presentes en la muestra (MRIS: MRI a saturación, adquirida a 0.7 Tesla). Después de cada paso de magnetización, la magnetización remanente en cada muestra fue medida empleando un magnetómetro de giro Molspin LTD.
Las curvas de adquisición MRI y el valor de MRIS indican la concentración relativa y el tipo de minerales magnéticos portadores de la remanencia magnética (Evans y Heller 2003; Liu et al., 2012). Una vez adquirida la MRIS, se indujo una magnetización en dirección opuesta a la dirección normal mediante la aplicación del pulso magnético de 0.2 T (MRI-0.2) para determinar el cociente S-200, empleando para su cálculo la ecuación:
Se utilizó la relación bivariada (o diagrama de dispersión) MRIS versus χ para identificar el tipo de portador magnético y determinar si era de origen natural o antrópico (Lecoanet et al., 2003).
A partir de los valores obtenidos para los parámetros χ y MRIS, se seleccionaron algunas muestras de concentración magnética alta, intermedia y baja y se realizaron experimentos para observar la variación de la susceptibilidad magnética en función de la temperatura (curvas κ-T). Se calentó progresivamente cada muestra desde la temperatura ambiente hasta alcanzar los 700 °C, a una velocidad de calentamiento de 10 °C min-1, para luego ser enfriada al mismo ritmo. Se utilizó un susceptibilímetro Bartington MS2 equipado con horno.
El factor de aumento magnético (FAM) se calculó empleando los valores obtenidos para los parámetros magnéticos: χ (FAM-χ) y MRIS (FAM-MRIS), útiles para determinar la concentración relativa de minerales magnéticos en muestras de suelos urbanos superficiales y polvos urbanos mediante una adaptación del factor de contaminación utilizado por Tomlinson et al., (1980), empleando para tal fin la siguiente expresión:
Donde FAM-Ki es el factor de aumento magnético del i-ésimo punto de muestreo calculado a partir del parámetro magnético K (χ o MRIS), Ki es valor del parámetro magnético K (χ o MRIS) del i-ésimo punto de muestreo y Kvf es el valor de fondo seleccionado para el parámetro magnético K (χ o MRIS).
Para la determinación del FAM-Ki, se procedió a seleccionar los valores de fondo Kvf para cada área urbana del AMVA. Se clasificó cada sitio según la unidad geológica superficial a la que pertenece, empleando la información de un informe de microzonificación sísmica existente (Consorcio Microzonificación 2006, 2006b; AMVA, 2010).
Se calculó el FAM-Ki para cada muestra de suelo urbano superficial utilizando los valores de fondo de los suelos urbanos superficiales los cuales se muestran en la Tabla 4 y se discuten con detalle en los resultados. Para evaluar los valores del FAM-Ki (FAM-χ o FAM-MRIS) obtenidos en los tres tipos de muestras ambientales recolectadas, se agrupan según los intervalos de clasificación del factor de contaminación propuestos por Hakanson (1980). Los criterios de evaluación del factor de aumento magnético FAM-Ki fueron FAM-Ki < 1, 1 ≤ FAM-Ki < 3, 3 ≤ FAM-Ki < 6, 6 ≤ FAM-Ki < 9, 9 ≤ FAM-Ki < 12 y FAM-Ki ≥ 12 para las clases sin aumento, bajo, medio, alto, muy alto y extremo, respectivamente.
Tabla 2 Estadística descriptiva para los parámetros magnéticos de polvos urbanos del AMVA.
| χ | χFD% | MRIS | S-200 | |
|---|---|---|---|---|
| Unidades | µm3kg-1 | % | mAm2kg-1 | Adimensional |
| Número de datos | 99 | 99 | 99 | 99 |
| Media | 3.49 | 0.92 | 28.26 | 0.93 |
| Mediana | 2.82 | 0.79 | 24.12 | 0.93 |
| Varianza | 5.47 | 0.50 | 320.95 | 0.00 |
| Desviación estándar | 2.34 | 0.71 | 17.91 | 0.03 |
| Coeficiente de variación | 66.97% | 77.41% | 63.38% | 2.73% |
| Mínimo | 0.42 | 0.02 | 3.17 | 0.75 |
| Máximo | 16.45 | 4.75 | 129.72 | 0.97 |
| Rango | 16.04 | 4.73 | 126.56 | 0.22 |
| Asimetría estandarizada | 11.89 | 10.76 | 10.14 | -16.56 |
| Curtosis estandarizada | 25.24 | 20.80 | 21.04 | 53.63 |
| Distribución normal 1 | No | No | No | No |
1 1980 Prueba de Shapiro-Wilks; nivel alfa= 0.01
Tabla 3 Prueba de Kruskal-Wallis1 para diferenciación entre niveles del factor categórico X según el valor del parámetro magnético Y en polvos urbanos del AMVA. 1Nivel alfa= 0.01. *Diferencia estadísticamente significativa. Ver también Anexo A.
| Factor categórico (X): | N | ... | Rango medio para la variable dependiente (Y): | - | Factor categórico (X): | N | ... | Rango medio para la variable dependiente (Y): | ||
|---|---|---|---|---|---|---|---|---|---|---|
| Municipio | 99 | χ | MRIS | Uso de suelo | 99 | χ | MRIS | |||
| Bello BE | 13 | 44.92 | 45.15 | ABM | 34 | 40.18 | 36.09 | |||
| Copacabana CO | 3 | 11.00 | 7.67 | ACMM | 9 | 38.56 | 41.33 | |||
| Envigado EN | 5 | 45.00 | 39.00 | ACAM-CS | 27 | 57.11 | 59.07 | |||
| Itagüí IT | 8 | 59.38 | 63.00 | ACAM-I | 6 | 74.33 | 77.17 | |||
| La Estrella LE | 2 | 56.00 | 44.50 | D | 14 | 57.57 | 60.79 | |||
| Medellín MD | 64 | 51.84 | 52.28 | EP | 9 | 49.22 | 49.11 | |||
| Sabaneta SA | 4 | 50.75 | 51.50 | |||||||
| Estadística | 7.29 | 9.75 | Estadística | 12.35 | 18.84 | |||||
| Valor-P | 0.29 | 0.14 | Valor-P | 0.03 | 2.06E-03* | |||||
| Superficie de barrido | 99 | χ | MRIS | Jerarquía vial | 99 | χ | MRIS | |||
| Asfalto Asf. | 81 | 50.68 | 51.64 | Autopista urbana AU | 18 | 51.67 | 54.39 | |||
| Concreto Con. | 15 | 46.67 | 45.00 | Arteria A | 40 | 59.65 | 60.40 | |||
| Sin pavimento S.p. | 3 | 48.33 | 30.67 | Colectora C | 14 | 47.79 | 45.79 | |||
| Servicio S | 27 | 35.74 | 33.85 | |||||||
| Estadística | 0.26 | 2.08 | 11.24 | 14.50 | ||||||
| Valor-P | 0.88 | 0.35 | 1.05E-02 | 2.30E-03* | ||||||
1 Nivel alfa= 0.01. *Diferencia estadísticamente significativa. Ver también Anexo A.
Tabla 4 Valores de fondo seleccionados para suelos urbanos superficiales según la clasificación por unidades geológicas para el AMVA.
| Muestras de suelo seleccionadas | Unidad geológica General* | Valores de fondo | |
|---|---|---|---|
| χ | MRIS | ||
| [μm3kg-1] | [mAm2kg-1] | ||
| MD004-S | Qa | 0.23 | 1.63 |
| MD099-S | Qdv | 0.23 | ---- |
| MD097-S-C | Qdv | --- | 1.42 |
| MD048-S | KdA | 0.61 | 4.29 |
| MD101-S | KgSD | 0.29 | 1.65 |
| MD076-S | JKmbP | 0.67 | --- |
| MD079-S | JKmbP | --- | 4.32 |
| MD086-S | JKuM | 2.07 | 11.18 |
| MD068-S | JmI | 0.28 | 1.61 |
| MD001-S | TRmPP | 0.45 | 2.72 |
* Qa, Depósitos aluviales; Qdv, Depósitos de vertiente, KdA, Stock de Altavista; KgSD, Stock de San Diego; JKmbP, Metabasitas de Picacho; JKuM, Dunitas de Medellín; JmI, Milonita de la Iguana, TRmPP, Migmatitas de Puente Peláez.
2.4. Análisis De Datos
La prueba de Shapiro-Wilks (1965) al igual que los valores de asimetría y curtosis estandarizadas rechazaron la hipótesis de que los valores para el factor de aumento magnético (tanto para FAM-χ como para FAM-MRIS) provenían de una distribución normal, se transformaron los datos para garantizar normalidad, estabilizar la varianza y así obtener un mejor análisis estructural de la semivarianza. Para transformar y normalizar los datos se empleó el operador logaritmo natural sobre el FAM-Ki más una constante de desplazamiento. La transformación de los datos a logaritmo natural resultó ser muy eficaz, normalizó la distribución de datos, redujo la asimetría estandarizada a cero y la curtosis estandarizada a valores menores que uno. Este tipo de transformación de datos es común cuando se trata de estudios de contaminación ambiental debido a que los datos extremos impiden lograr una distribución gaussiana o normal necesaria para el análisis geoestadístico.
3. Resultados y discusión
Los valores más bajos de los parámetros χ y MRIS (Tabla 2) corresponden a la muestra MD048-P (uso de suelo ABM, jerarquía vial S, superficie de recolección del polvo Asf), ubicada en el occidente del AMVA en una zona residencial de Medellín (ver Figura 2). En contraste, el valor máximo para χ corresponde al determinado en la muestra MD063-P (uso de suelo D, jerarquía vial tipo A, superficie de recolección del polvo Asf.), recolectada en el oriente de Medellín cerca de la Central Eléctrica EPM-Villa Hermosa (Figura 2), y el valor máximo para MRIS corresponde al determinado en la muestra MD051-P (uso de suelo D, vialidad A, superficie de recolección del polvo Asf.), recolectada en la carrera 55 a un costado del Centro Administrativo La Alpujarra, sede del gobierno de Medellín y Antioquia.

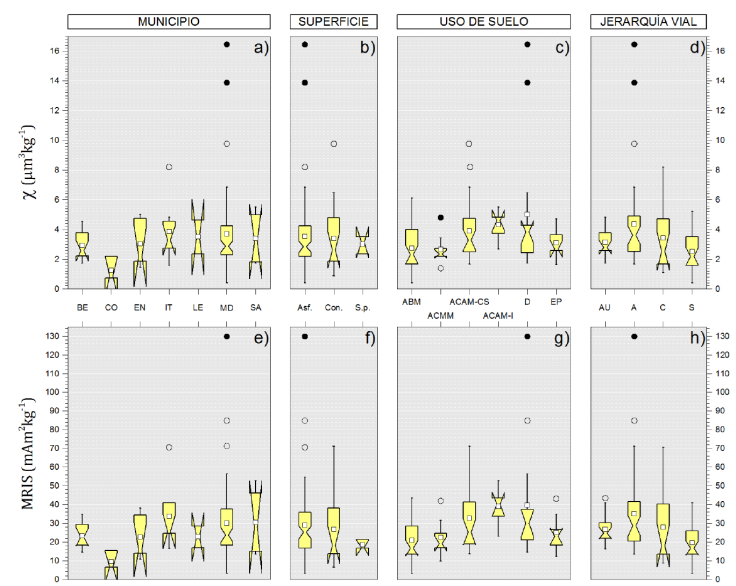
Figura 2 Diagramas de cajas y bigotes de los parámetros magnéticos χ (fila 1, a-b-c-d) y MRIS (fila 2, e-f-g-h) de polvos urbanos del AMVA, discriminados según los factores categóricos (columnas 1-2-3-4): a y e) municipio; b y f) superficie de barrido del polvo urbano; c y g) uso de suelo; d y h) jerarquía vial. BE= Bello; CO= Copacabana; EN= Envigado; IT= Itagüí; LE= La Estrella; MD= Medellín MD; SA= Sabaneta. Asf= Asfalto; Con= Concreto; S.p= Sin pavimento. Jerarquía vial, AU= Autopista urbana; A= Arteria; C= Colectora; S= Servicio. Ver también Anexo A.
3.1. Parámetros magnéticos por municipios y usos de suelo
Los resultados de la prueba de Kruskal-Wallis (Tabla 3) muestran que no existe una diferencia significativa entre las medianas de los niveles de cada factor categórico X analizado (municipio, uso de suelo, superficie de barrido, jerarquía vial) para cada variable dependiente Y, exceptuando los niveles de los factores categóricos uso de suelo y jerarquía vial para la variable dependiente MRIS, donde se presentan diferencias significativas entre niveles.
En la Figura 2, la caja representa el rango intercuartílico (RQ=Q3-Q1) del 50% de los datos ordenados de menor a mayor, y sus límites definen el primer (Q1) y tercer cuartil (Q3). El límite superior del bigote está definido por Q3+1.5RQ y el límite inferior por Q1-1.5 QR. La muesca o estrechamiento de la caja corresponde a la mediana con un intervalo de confianza del 95%. El cuadro blanco al interior de la caja representa la media, mientras que los círculos sin relleno y los círculos con relleno negro representan los valores atípico y atípico lejano (3RQ por debajo del cuartil Q1 o por encima del cuartil Q3), respectivamente.
El factor categórico municipio (Figura 2a y 2e) no muestra diferencias significativas entre niveles. Los valores más bajos para los parámetros magnéticos se observan en el municipio de Copacabana CO. Aunque, el mayor número de valores atípicos se observan en el municipio de Medellín MD.
El factor categórico superficie de barrido del polvo urbano (Figuras 2b y 2f) no muestra diferencias significativas entre niveles porque sus medianas se superponen. El mayor número de valores atípicos se observan para la superficie de asfalto Asf.
El factor categórico uso de suelo (Figuras 2c y 2g) muestra diferencias significativas entre algunos niveles puesto que sus medianas no se superponen. Los niveles ABM, ACMM y EP poseen los valores más bajos para ambos parámetros magnéticos. El nivel ACAM-I presenta los valores más elevados para ambos parámetros magnéticos; además, su mediana es significativamente diferente que las medianas de los tres niveles de valores bajos, pero no es significativamente diferente que las medianas de los niveles ACAM-CS y D, que poseen valores intermedios. Los valores atípicos de mayor magnitud para ambos parámetros magnéticos se observan en el uso de suelo dotacional D, un hallazgo interesante puesto que este uso de suelo suele tener gran concurrencia ciudadana.
En el factor categórico jerarquía vial (Figuras 2d y 2h), los valores mínimos para ambos parámetros magnéticos se encuentran en la vialidad servicio S, mientras que los valores máximos en la vialidad arteria A; ambos niveles muestran diferencias significativas puesto que sus medianas no se superponen. La vialidad colectora C posee una caja (rango intercuartílico) amplia en ambos parámetros, motivo por el cual su mediana se superpone con las medianas de los otros niveles, por tanto, no son diferentes significativamente.
La vialidad autopista urbana AU, muestra una caja y unos bigotes (límites superior e inferior) relativamente estrechos para ambos parámetros magnéticos, lo que señala muestras homogéneas desde el punto de vista magnético. Los valores atípicos de mayor magnitud, para ambos parámetros magnéticos, se observan en la vialidad A. Un hecho interesante es que a priori se esperaba que la vialidad AU tuviera los valores más elevados para ambos parámetros magnéticos debido al mayor flujo vehicular.
3.2. Identificación de minerales con las curvas de adquisición de mri
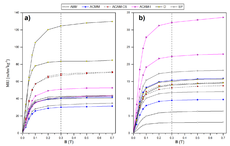
Las curvas de adquisición de MRI presentan un comportamiento asintótico alrededor del pulso de 0.3 T en todas las muestras analizadas. En este paso del tratamiento de magnetización, la inducción magnética ha logrado que la mayoría de los minerales magnéticos presentes en las muestras alcancen su magnetización de saturación, comportamiento observable en las curvas de adquisición de MRI seleccionadas de la Figura 3.

Figura 3 Curvas de adquisición de MRI para polvos urbanos del AMVA. a) Curvas de adquisición de MRI del par de muestras con los valores máximos obtenidos para cada categoría de uso de suelo; y, b) curvas de adquisición de MRI del par de muestras con los valores mínimos obtenidos para cada categoría de uso de suelo.
Para la magnetita, se considera un campo magnético crítico a un campo magnético con una magnitud cercana a 0.3 T, a partir de esta magnitud, la magnetización de la magnetita no responde más a incrementos en el campo aplicado (Liu et al., 2012). Por esto, se contempla la posibilidad de que la magnetita sea el portador magnético más abundante en las muestras de polvos urbanos del AMVA, según el comportamiento observado de las curvas de adquisición de MRI presentadas en la Figura 3.
En la Figura 3 también se aprecia la diferencia en la magnitud de la magnetización MRIS de las muestras según el origen de los sitios seleccionados (tipos de uso de suelo), y que refleja cambios en la concentración relativa de los minerales magnéticos. En la Figura 3a la mayor concentración relativa de minerales magnéticos se expresó en algunas muestras del uso de suelo D, podría estar regida por el aumento de minerales de tipo ferrimagnético originados en diversas actividades humanas; el uso de suelo ACMM y EP se encuentran con un comportamiento similar y en comparación con el resto de los usos de suelo presenta una menor concentración de minerales magnéticos dentro de la clasificación curvas de adquisición de MRI con valores máximos. En Figura 3b, el uso de suelo ACAM-I presenta la mayor concentración de minerales magnéticos, mientras que, en las curvas de menor magnitud, se observa el uso de suelo ABM. En los incisos a) y b) de la Figura 3 se resalta que independientemente de la escala de valores (máximos y mínimos) el uso de suelo ACAM-CS mantiene una tendencia intermedia.
La línea punteada en el pulso de 0.3 T marca el punto a partir del cual inicia (o ya ha iniciado en algunas muestras) el comportamiento asintótico de las curvas de adquisición de MRI. Valor en pulso de 0.7 T corresponde a la MRIS.
3.3. Diagramas de dispersión con los parámetros magnéticos
Se observa una dispersión con una tendencia casi lineal, que indica la presencia de minerales ferrimagnéticos o similares. (Thompson y Oldfield, 1986) en la mayoría de los sitios muestreados. Las muestras con valores más altos para ambos parámetros magnéticos, donde el polvo tiene una mayor concentración relativa de minerales magnéticos son: i) Municipio de Medellín (Figura 4a1); ii) superficie de barrido asfalto (Figura 4a2); iii) uso de suelo D (Figura 4a3); iv) jerarquía vial Arteria (Figura 4a4). Las muestras con valores cercanos al origen, de baja concentración magnética relativa, se asocian con categorías de: i) Municipio Medellín/Copacabana (Figura 4a1); ii) uso de suelo ABM/ACMM (Figura 4a3); iii) jerarquía vial Servicio/Colectora (Figura 4a4).

Figura 4 Diagramas de dispersión en polvos urbanos del AMVA para los parámetros magnéticos: a) MRIS versus χ; b) χFD% versus χ; c) S-200 versus χ. Discriminación de muestras según el factor categórico: a1-b1-c1) municipio; a2-b2-c2) superficie de barrido del polvo; a3-b3-c3) uso de suelo; a4-b4-c4) jerarquía vial.
Las Figuras 4b1, 4b2, 4b3 y 4b4 muestran el diagrama bivariado de dispersión de χFD% versus χ para las distintas categorías de las muestras del AMVA. Los valores obtenidos para el parámetro χFD% en muestras de polvos se encuentran en el intervalo 0-5%, valores que pueden ser interpretados según Dearing (1999) como concentraciones bajas (0-2%) a intermedias (2-10%) de granos superparamagnéticos (SP) de tamaño ultrafino (< 0.02 μm) en las muestras analizadas. Nótese como la mayoría de los valores obtenidos en las muestras de polvos de ambas ciudades pertenecen al intervalo 0-2%, circunstancia que se define como una ausencia virtual de granos SP (Dearing 1999), con una ostensible abundancia de minerales magnéticos de tamaño de grano grueso con débil o nula dependencia de la frecuencia. A las muestras con valores de χ FD% que caen dentro del intervalo 2-10% se les da la interpretación de que cuentan con la presencia de una mezcla de granos SP con granos gruesos de dominio sencillo estable (SSP en inglés) y/o granos gruesos multidominio (MD).
Segregando los valores obtenidos para el parámetro χFD% en las muestras del AMVA (Figuras 4b1, 4b2, 4b3 y 4b4) por niveles categóricos (municipio, superficie de barrido, uso de suelo, jerarquía vial), se observan dos grupos: i) el grupo A, conformado por muestras con valores dentro de la región delimitada por χFD% ≤ 2% y χ≥ 1 µm3kg-1; y ii) el grupo B, conformado por muestras con valores dentro de la región delimitada por χFD% > 2% y χ < 1 µm3kg-1. En el grupo A se encuentran la mayoría de los valores obtenidos para muestras pertenecientes a las categorías de uso de suelo D, ACMM, ACAM-CS, EP y ACAM-I, de las clases viales Autopista urbana y la mayoría de las muestras correspondientes a Servicio, Colectora y Arteria.
Todos los municipios muestreados se encuentran dentro del grupo A. En términos generales, las muestras del grupo A son las que presentan mayor concentración magnética relativa y menores valores de χFD%. Muestras de sitios con valores altos de χ y con valores de χFD% iguales o cercanos a cero, están dominadas por la abundancia de granos ferrimagnéticos de tamaño grueso MD, de poca o nula dependencia de la frecuencia, provenientes de rocas ígneas o productos de combustión (Dearing, 1999). El grupo B pertenece, principalmente, al uso de suelo ABM, Vialidad Arteria y Servicio muestreados en el municipio de Medellín. Estas son las muestras de polvos que se relacionan más con el suelo colindante con el punto de muestreo, circunstancia que conduce a una exigua presencia de minerales ferrimagnéticos de grano grueso, con débil o nula dependencia de la frecuencia en los polvos recolectados, y que se ratifica por los valores bajos de concentración magnética relativa y los valores más altos de χFD% que corresponden a muestras del municipio Medellín.
Los resultados del cociente S-200 permiten precisar mejor el tipo de portador magnético presente en las muestras a través de la estimación de la coercitividad. A pesar de que los valores de S-200 van desde 0.75 hasta 0.97 (Tabla 2, Figuras 4c1-4c2, 4c3 y 4c4) se aprecia que la mayoría de valores encontrados del cociente S-200 se distribuyen en torno a su media (0.93) y mediana (0.93), lo que indica abundancia de minerales magnéticos de baja coercitividad de tipo ferrimagnético (magnetita, maghemita y/o titanomagnetita) que dominan el comportamiento general de la mezcla heterogénea de minerales magnéticos presentes en las muestras de polvo recolectadas
Los datos obtenidos de las muestras MD101-P y MD037-P, tienen los valores más bajos del cociente S-200 (0.75 y 0.87, respectivamente). Estos valores indican que las muestras de polvo contienen una combinación de minerales ferromagnéticos y una mayor presencia del tipo antiferromagnético como hematita o goetita). Los valores del cociente dentro de la región delimitada por S-200 < 0.9 y χ < 1 µm3kg-1, indican menor presencia de minerales ferrimagnéticos de origen antrópico, dictamen que es respaldado por las características de los sitios de muestreo según los factores categóricos de clasificación: i) Municipio de Medellín y Copacabana (Figura 4c1); ii) uso de suelo ABM (Figura 4c3); iii) jerarquía vial Servicio/Colectora (Figura 4c4).
3.4. Análisis espacial del factor de aumento magnético
Para calcular el factor de aumento magnético FAM-Ki (FAM-χ, FAM-MRIS), se emplearon los valores de fondo seleccionados por unidad geológica (Tabla 4).
Los resultados obtenidos para los modelos son aceptables puesto que: i) las proporciones C1/ (C0+C1) encontradas son mayores a 0.5; ii) el coeficiente de determinación r2 de los modelos es superior a 0.99; iii) los valores de la suma de cuadrados del error (SCE) son muy bajos, cercanos a cero (Tabla 5). El range o alcance es corto en ambos modelos, hecho del que se interpreta que la relación espacial del factor de aumento magnético es de carácter local o incluso puntual en algunos sitios de muestreo. El range o alcance es la distancia donde el modelo se aplana. Las muestras separadas por distancias más cercanas que el range están autocorrelacionadas espacialmente, mientras que las ubicaciones más alejadas que el range no lo están.
Tabla 5 Estadística descriptiva para el FAM-Ki y su función de transformación en muestras de polvos urbanos del AMVA.
| FAM-χ | ln(FAM-χ +2.75306) | FAM-MRIS | ln(FAM-MRIS +4.077) | |
|---|---|---|---|---|
| Unidades | Adimensional | Adimensional | Adimensional | Adimensional |
| Muestras excluidas por tener valor atípico1 | --- | --- | --- | --- |
| Número de datos | 99 | 99 | 99 | 99 |
| Media | 13.94 | 2.65 | 17.10 | 2.91 |
| Mediana | 11.57 | 2.66 | 14.77 | 2.94 |
| Varianza | 118.05 | 0.32 | 149.94 | 0.28 |
| Desviación estándar | 10.87 | 0.57 | 12.24 | 0.53 |
| Coeficiente de variación | 77.96% | 21.41% | 71.62% | 18.21% |
| Mínimo | 0.68 | 1.23 | 0.74 | 1.57 |
| Máximo | 73.05 | 4.33 | 79.44 | 4.43 |
| Rango | 72.37 | 3.09 | 78.70 | 2.85 |
| Asimetría estandarizada | 10.95 | 0.00 | 8.45 | 0.00 |
| Curtosis estandarizada | 22.51 | 0.93 | 14.58 | 0.26 |
| Distribución normal2 | No | Si | No | Si |
1Prueba de Grubbs, asumiendo que los datos siguen una distribución normal; nivel alfa= 0.01; 2Prueba de Shapiro-Wilks; nivel alfa= 0.01.
Como el análisis de la varianza estructural logró representar la estructura de la correlación espacial de ambos FAM-Ki, se puede afirmar que las predicciones espaciales ejecutadas vía kriging ordinario, describen debidamente la variación espacial de la concentración relativa de las partículas magnéticas alojadas en los polvos urbanos del AMVA, aunque el coeficiente de correlación de la validación cruzada r para ambos modelos sea moderadamente aceptable (Tabla 6).
Tabla 6 Modelos teóricos seleccionados de mejor ajuste a los variogramas experimentales para el factor de aumento magnético en polvos urbanos del AMVA.
| Modelo 1 | Nugget C0 | Meseta C0+C1 | Proporción2 C1/(C0+C1) | Rango (m) | r2† | SCE3 | Validación cruzada | |
|---|---|---|---|---|---|---|---|---|
| rvc 4 | ||||||||
| ln(FAM-χ + 2.75306) | Esférico | 0.1726 | 0.3462 | 0.501 | 4530 | 0.994 | 6.443E-05 | 0.253 |
| ln(FAM-MRIS + 4.077) | Esférico | 0.1560 | 0.3130 | 0.502 | 4670 | 0.992 | 9.696E-05 | 0.224 |
1 Variograma isotrópico. 2 Proporción= Varianza estructural/Meseta. † Coeficiente de determinación para el modelo. 3 Suma de cuadrados del error. 4 Coeficiente de correlación para la validación cruzada.
El mapa de la Figura 5 debe interpretarse como una primera aproximación a la distribución espacial de la facilidad de magnetización del universo de partículas presentes en las muestras recolectadas de polvos urbanos. Se observan zonas de los niveles medio, alto, muy alto y extremo (3.0 ≤ FAM-χ ≥ 12.0), que se interpretan como polvos urbanos con un contenido relativo de partículas magnetizables que va de moderado a extremo. No se presentan los niveles sin aumento y bajo.
Las zonas de nivel de medio (3.0 ≤ FAM-χ < 6.0), de color amarillo, comprenden el 2.53% del total del área estudiada del AMVA (Figura 7a). Se trata de dos áreas ubicadas en el occidente y nororiente de la ciudad de Medellín, que se relacionan con los niveles de usos de suelo áreas de baja mixtura o residencial ABM con vialidades de servicio S.

Figura 7 Distribución de los niveles del FAM-Ki para polvos urbanos del AMVA, discriminados por municipios para: a) FAM-χ; b) FAM-MRIS. El recuadro en la esquina inferior derecha de cada mapa corresponde a la distribución para toda el área del AMVA.
Las zonas de nivel alto (6.0 ≤ FAM-χ < 9.0), de color naranja, comprenden el 12.79% del total del área estudiada del AMVA (Figura 7a). Se ubican, primordialmente, hacia el centro y norte del AMVA, hacia sus costados oriental y occidental, en los municipios de Medellín MD, Bello BE y Copacabana CO.
No se presentan en los municipios del sur del AMVA La Estrella LE, Sabaneta SA, Itagüí IT y Envigado EN (Figura 7a, Tabla 7). Las zonas de nivel muy alto (9.0 ≤ FAM-χ < 12.0), de color rojo, abarcan el 19.15% del total del área estudiada del AMVA (Figura 7a). Se localizan todos los municipios del AMVA, excepto en La Estrella LE.
Tabla 7 Distribución del área estudiada en el AMVA (en km2) según la predicción espacial del FAM-Ki para polvos urbanos.
| Municipio | Sin aumento | Bajo | Medio | Alto | Muy alto | Extremo | Total |
|---|---|---|---|---|---|---|---|
| Factor de aumento magnético obtenido de la susceptibilidad magnética, FAM-χ : | |||||||
| Bello BE | 0 | 0 | 0.05 | 3.2 | 6.37 | 12.31 | 21.93 |
| Copacabana CO | 0 | 0 | 0 | 4.5 | 0.58 | 0 | 5.08 |
| Envigado EN | 0 | 0 | 0 | 0 | 1.02 | 12.21 | 13.23 |
| Itagüí IT | 0 | 0 | 0 | 0 | 1.17 | 11.06 | 12.23 |
| La Estrella LE | 0 | 0 | 0 | 0 | 0 | 3.94 | 3.94 |
| Medellín MD | 0 | 0 | 4.28 | 14.2 | 22.82 | 69.03 | 110.33 |
| Sabaneta SA | 0 | 0 | 0 | 0 | 0.83 | 3.62 | 4.45 |
| AMVA | 0 | 0 | 4.33 | 21.9 | 32.79 | 112.17 | 171.19 |
| Factor de aumento magnético obtenido de la magnetización remanente isotérmica a saturación, FAM-MRIS: | |||||||
| Bello BE | 0 | 0 | 0 | 0.77 | 3.26 | 17.9 | 21.93 |
| Copacabana CO | 0 | 0 | 0 | 0.01 | 4.92 | 0.15 | 5.08 |
| Envigado EN | 0 | 0 | 0 | 0 | 0 | 13.23 | 13.23 |
| Itagüí IT | 0 | 0 | 0 | 0 | 0 | 12.23 | 12.23 |
| La Estrella LE | 0 | 0 | 0 | 0 | 0 | 3.94 | 3.94 |
| Medellín MD | 0 | 0 | 0 | 8.35 | 13.77 | 88.21 | 110.33 |
| Sabaneta SA | 0 | 0 | 0 | 0 | 0 | 4.45 | 4.45 |
| AMVA | 0 | 0 | 0 | 9.13 | 21.95 | 140.11 | 171.19 |
El mapa de la Figura 6 representa la distribución espacial de los minerales ferromagnéticos -sensulato- en muestras de polvo urbano, una versión refinada de la información presentada en el mapa del FAM-χ. A continuación, se presenta una lista de los aspectos más relevantes que se observan en el mapa (Figura 7b).
La zona con nivel extremo (FAM-χ ≥ 12.0), de color morado, se presenta de forma continua en todos los municipios del AMVA desde el sur hasta el norte (Figura 5), con la excepción del municipio de Copacabana en el extremo norte (Figura 7a); en contraste, el 100% del área del municipio de La Estrella LE pertenece a este nivel. La zona ocupa el 65.52% del total del área estudiada del AMVA. Involucra todos los niveles de usos de suelo y jerarquías viales, sin mostrar tendencia hacia alguno en particular, aunque se observa que contiene la mayor densidad de vialidades arteria A y autopista urbana AU (representadas por líneas claras de mayor grosor en Figura 5) si se le compara con las zonas de los otros niveles. Las zonas de nivel alto (6.0 ≤ FAM-MRIS < 9.0), de color naranja, comprenden el 5.33% del total del área estudiada del AMVA (Figura 7b). Se trata de dos áreas ubicadas en el occidente y nororiente de la ciudad de Medellín, que se relacionan con los niveles de usos de suelo áreas de baja mixtura o residencial ABM con vialidades de servicio S.
Las zonas de nivel muy alto (9.0 ≤ FAM-χ < 12.0), de color rojo, abarcan el 12.82% del total del área estudiada del AMVA (Figura 7b). Se ubican, principalmente hacia el centro y norte del AMVA y hacia sus costados oriental y occidental, en los municipios de Medellín MD, Bello BE y Copacabana CO (Figura 6). No se presentan en los municipios del sur del AMVA La Estrella LE, Sabaneta SA, Itagüí IT y Envigado EN (Figura 7b).
La zona con nivel extremo (FAM-χ ≥ 12.0), de color morado, se presenta de forma continua en todos los municipios del AMVA desde el sur hasta el norte, ocupando el 81.84% del total del área estudiada del AMVA (Figura 7b). En los municipios del sur del AMVA (La Estrella LE, Sabaneta SA, Itagüí IT y Envigado EN) abarca el 100% del área estudiada. Involucra todos los niveles de usos de suelo y jerarquías viales, sin mostrar tendencia hacia alguno en particular, aunque se observa que contiene la mayor densidad de vialidades arteria A y autopista urbana AU (representadas por líneas claras de mayor grosor en Figura 6) si se le compara con las zonas de los otros niveles.
4. Conclusiones
Los análisis de los diferentes parámetros magnéticos de las muestras de polvo urbano del AMVA, demuestran que la magnetita no estequiométrica es el portador magnético dominante y que, en muestras de polvos con mayor factor de aumento magnético, se trata de minerales de magnetita no estequiométrica de grano grueso que muy probablemente sean de origen antrópico, esencialmente producto de la combustión.
Los mapas geoestadísticos revelan que toda la superficie urbana del AMVA está contaminada. Un 82% del área tiene contaminación en grado extremo, aproximadamente, según lo señala el mapa del FAM-MRIS.
La magnetita no estequiométrica es el portador magnético dominante en muestras de polvos urbanos con mayor factor de aumento magnético, se trata de minerales de grano grueso que muy probablemente sean de origen antrópico, esencialmente producto de la combustión.
La presente investigación hace las siguientes contribuciones al estudio de la variación espacial-temporal de la contaminación en ambientes urbanos mediante el uso de las propiedades magnéticas de muestras ambientales:
Según la revisión bibliográfica realizada, son pocos los estudios que realizan una calificación de la contaminación en términos de la concentración relativa de partículas magnéticas. Por tal motivo, se decidió realizar un análisis de dicha concentración relativa, a través del uso de un indicador que permite describir la contaminación de las áreas conurbadas estudiadas en términos cuantitativos.
Se introduce un nuevo indicador de la contaminación urbana: factor de aumento magnético (FAM).
En las áreas urbanas que no cuentan con sistemas de monitoreo de la contaminación ambiental, el magnetismo ambiental ofrece una alternativa para resolver, de manera rápida y confiable, este tipo de problemas de investigación. Estos métodos permitirán optimizar el tiempo y el costo que requieren los métodos tradicionales (Bityukova et al., 1999). Con el FAM se delimitan zonas que representan un peligro a la salud humana, sin cuantificar el posible daño o perjuicio según los diferentes niveles de contaminación descritos con la metodología aquí propuesta. En este trabajo de investigación no se está resolviendo la cuestión de si el contaminante tiene un efecto biológico o ecológico. Sin embargo, se señalan zonas dentro de las áreas urbanas estudiadas con un nivel de contaminación que podría ser catalogado como peligroso.
En la actualidad, aún son pocos los estudios que emplean técnicas magnéticas para evaluar la contaminación urbana y solo algunos utilizan un análisis espacial riguroso (p. ej. Zawadzki y Fabijańczyk, 2007; Zhou y Xia, 2010; Dankoub et al., 2012; Naimi y Ayoubi, 2013; Cejudo-Ruíz et al., 2015) o que al menos reportan una ligera información (p. ej. Jordanova et al., 2008; Aguilar et al., 2013b; Liu et al., 2016). Para obtener una adecuada autocorrelación espacial y una interpolación aceptable se recomienda un muestreo sistemático preferentemente, sin descartar otros, y de 60 a 100 sitios de muestreo (Webster y Oliver, 2007; Delgado et al., 2010; Bautista, 2021).
Los análisis de los diferentes parámetros magnéticos de las muestras de polvo urbano del AMVA, demuestran que la magnetita no estequiométrica es el portador magnético dominante y que, en muestras de polvos con mayor factor de aumento magnético, se trata de minerales de magnetita no estequiométrica de grano grueso que muy probablemente sean de origen antrópico, esencialmente producto de la combustión.
Los mapas geoestadísticos revelan que toda la superficie urbana del AMVA está contaminada. Un 82% del área tiene contaminación en grado extremo, aproximadamente, según lo señala el mapa del FAM-MRIS.










nueva página del texto (beta)





