Servicios Personalizados
Revista
Articulo
Indicadores
-
Citado por SciELO -
Accesos
Links relacionados
-
Similares en
SciELO
Compartir
Boletín de la Sociedad Geológica Mexicana
versión impresa ISSN 1405-3322
Bol. Soc. Geol. Mex vol.60 no.2 Ciudad de México ene. 2008
Artículos
Uso de técnicas geomáticas para el mapeo y caracterización de unidades geomórficas de la Ciudad de Buenos Aires (Argentina) mediante interpretación visual de parámetros morfométricos
Characterization and mapping of geomorphologic units in Buenos Aires by means of geomatic techniques
Paulina Esther Nabel1, Rodrigo Martín Becerra Serial2*
1 CONICET Grupo de Investigaciones Geoambientales, Museo Argentino de Ciencias Naturales Bernardino Rivadavia. Ciudad Autónoma de Buenos Aires, C1405DJR, Argentina.
2 Grupo de Investigaciones Geoambientales, Museo Argentino de Ciencias Naturales Bernardino Rivadavia. Ciudad Autónoma de Buenos Aires, C1405DJR, Argentina. *rodrigo@atlasdebuenosaires.gov.ar
Manuscrito recibido: Enero 8, 2008
Manuscrito corregido recibido: Mayo 24, 2008
Manuscrito aceptado: Junio 5, 2008
Resumen
La ciudad de Buenos Aires se encuentra emplazada en una zona de llanura con muy baja pendiente regional. El reconocimiento de la geomorfología en este tipo de ambientes urbanos se torna particularmente dificultoso, pues los rasgos geomórficos han sido suavizados u obliterados por las construcciones. Sin embargo, la caracterización y ubicación precisa de los rasgos geomorfológicos resultan importantes en la resolución de muchos problemas ambientales. Particularmente en la Ciudad de Buenos Aires, donde las inundaciones son el principal problema ambiental de origen natural, el conocimiento de la geomorfología y del comportamiento de los sistemas de drenaje, resultan imprescindibles para el diseño de obras estructurales y planes de contingencia que minimicen los trastornos y pérdidas económicas que se generan durante dichos eventos.
En este trabajo se presenta un enfoque metodológico para el estudio de las características topográficas y geomórficas de la Ciudad de Buenos Aires, replicable en ambientes urbanizados similares.
En este tipo de ambientes el reconocimiento de unidades geomórficas basada en parámetros morfométricos cuantitativos es posible cuando éstos se obtienen de fuentes de alta resolución como la cartografía en escala de detalle (e.g. 1:5000) o de relevamientos fotogramétricos, que sin embargo, en áreas urbanas presentan numerosas interferencias y resultan menos eficientes.
En el presente estudio se contó con una importante densidad de datos, requisito esencial para lograr el objetivo del trabajo, gracias a la existencia de relevamientos topográficos detallados previos.
El mapeo de las principales unidades y subunidades geomórficas de la ciudad de Buenos Aires, se realizó mediante la interpretación visual de parámetros morfométricos derivados de un Modelo Digital del Terreno (DTM) utilizando tecnologías geomáticas.
El Modelo Digital del Terreno se generó a partir de curvas de nivel de equidistancia 1 m, originalmente producidas a partir de una base vectorial de puntos acotados digitalizados cuya densidad promedio era de 3,97 puntos / ha. Para la construcción del MDT se usó el método de interpolación no lineal "nonlinear rubber sheeting", teniendo como base a las curvas antes mencionadas. Además, se generó un modelo de relieve sombreado (acimut: 45°, elevación del sol: 45°) que resultó útil para describir cualitativamente el relieve, y modelos de pendientes, orientación de pendientes y convexidad del perfil, que contienen valores morfométricos útiles para caracterizar la superficie. Los histogramas de frecuencia de los modelos fueron fraccionados para producir clases discretas luego representadas en mapas. Mediante superposición de los modelos, interpretación visual y digitalización en pantalla se confeccionó el mapa de unidades geomórficas de la Ciudad. Las mismas fueron la Planicie Pampeana (PP) y la Planicie Estuárica (PE). La primera se subdividió en: interfluvios, laterales de valle y valles de inundación, mientras que en la segunda se diferencian dos subunidades: un Paleoacantilado y el relieve casi llano de la Planicie Estuárica.
La orientación predominante de las pendientes del terreno, condicionada por la estructura subyacente, fue E, NE y SE (con porcentajes del 16,40; 15,90 y 14, 79 %, respectivamente). El Paleoacantilado, que separa la Planicie Pampeana de la Planicie Estuárica, se dispone mayormente en dirección NOSE, reflejando el sistema de fallamiento interno. Los valores de máxima y mínima convexidad coinciden con los bordes superior e inferior del Paleoacantilado, respectivamente. Los mismos se ubicaron en el MDT a alturas promedio de 14,63 (desvío estándar = 2,09) m s.n.m y 6,20 (desvío estándar = 1,71) m s.n.m.
El Paleoacantilado es la subunidad de mayor pendiente (moda = 1,06°); le siguen los laterales de valle (moda = 0,61 °) mientras que las demás subunidades no superan el valor de la moda para toda la superficie estudiada que es de 0,04°.
Palabras clave: Geomorfología urbana, modelo digital del terreno, mapa geomorfológico, Ciudad de Buenos Aires.
Abstract
Buenos Aires City is located on an extensive plain region. The recognition of the geomorphic features in such urbanized environments is especially difficult because they have been smoothed or covered by pavement and buildings. Nevertheless, characterizing and locating the geomorphologic features provides valuable information for the management of many of the environmental problems of the city of Buenos Aires, where floods are the main natural environmental problem. The understanding of geomorphology and drainage systems behavior, is essential for the design of structural building works and for contingency plans that will minimize disruptions and economic loses generated during such events.
This paper presents a methodology for the study of the topographical and geomorphic features of the city of Buenos Aires, also replicable in similar urban environments.
In these environments the recognition of geomorphic units, based on quantitative, morphometric parameters, is possible when these are obtained from high resolution sources such as cartography to a scale of (e.g. 1:5000) or from photogrametric surveys, that do, however, have numerous interferences in urban areas, resulting less efficient.
The current study counted on a significant number of data, an essential requirement to achieve the objective of this work, thanks to the existence of previous, detailed, topographic surveys.
The mapping of geomorphic main units and subunits of the city of Buenos Aires, was performed by visual interpretation of morphometric parameters derived from a Digital Terrain Model using Geomatic technologies.
The Digital Terrain Model (DIM) was constructed from contours of an equidistance ofl m, originally produced from a vectorial base of digitally enclosed points with an average density of 3.97 points /ha. The nonlinear interpolation method 'nonlinear rubber sheeting 'was used to construct the DIM, on the base of the aforementioned contours. A shaded relief model was generated (Azimuth: 45°, Sun elevation: 45°), that was useful to qualitatively describe the relief. Slope, aspect, and profile convexity models, which contain morphometric values useful for characterizing the surface, were also constructed. Frequency histograms of the models were sliced to produce discrete classes which were then represented on maps. By superimposing these models, interpreting them visually, and digitalization onscreen, a map of the geomorphic units of the city of Buenos Aires was created. The main geomorphic units identified were the Pampean Plain and the Estuaric Plain. The former was subdivided into: interftuves, valley slopes, flood valleys, while the latter it could be recognized two subunits: Paleoseacliff and the almost flat relief of the Estuaric Plain.
The main slope of the city's terrain (E, NE, and SE,with 16.40; 15.90 and 14.79 %, respectively) is related to its underlying structure. The paleoseacliff that separates the Pampean Plain from the Estuaric Plain mainly runs NWSE, reflecting a similar system of internal tectonic faulting. The maximum and minimum convexity values coincide respectively with the upper and lower edges of the paleoseacliff. These were located on the DIM at average heights of 14.63 (st. deviation = 2.09) m a.s.l. and 6.20 (st. deviation = 1.71) m a.s.l. .The modal slope value for the city is 0.04°.
The paleoseacliff is the subunit with the steepest slope (modal value = 1.06°), followed by valley slopes (modal value = 0.61 °), whereas none of the other subunits have a modal value greater than 0.04°.
Key words: Urban geomorphology, digital terrain model, geomorphic map, City of Buenos Aires.
1. Introducción
La geología ambiental urbana está experimentando excepcionales avances apoyándose en las tecnologías geomáticas. La necesidad de caracterizar con mayor precisión los rasgos físicos del ambiente para resolver problemas que se presentan a escala urbana, requiere de su valoración morfométrica.
La geomática, que incluye a los Sistemas de Información Geográfica (SIG), aporta técnicas y procedimientos digitales, para la obtención, almacenamiento, manipulación y análisis de información geográficamente referenciada (Poole, 1995). El desarrollo de modelos espaciales operados en SIG permite un diagnóstico rápido de los problemas ambientales en áreas urbanizadas, donde, particularmente, la geomorfología ha sido obliterada y cubierta. En general, la aplicación de tecnologías geomáticas y en particular, el uso de los mencionados modelos permiten mejorar la planificación territorial y la gestión ambiental.
El uso de técnicas geomáticas en el campo de las ciencias geológicas se ha incrementado en los últimos años, en particular por la utilidad que ha demostrado la utilización de los modelos digitales de elevación (MDE) y del terreno (MDT) (Adediran et al, 2004; Jordan et al, 2005; Badura y Przybylski, 2005). La mayoría de los estudios tectónicos actuales que utilizan estos modelos, incluyen varios parametros del terreno como pendiente, orientación de pendientes y medidas de curvatura de la superficie, útiles para inferir rasgos geológicos estructurales (Onorati et al., 1992; Riley y Moore, 1993; Jordan, 2003; Jordan et al., 2005; Grohmann, 2005). Varios investigadores han intentado últimamente incorporar técnicas geomáticas para la determinación de unidades homogéneas del terreno (Chorowicz et al., 1995, Adediran et al., 2004) y para el mapeo de unidades geomórficas (Ardiansyah Prima et al., 2006; van Asselen y Seijmonsbergen, 2006). Sin embargo, la clasificación automática de unidades puede generar errores debido a la dificultad del clasificador en el SIG de interpretar lógicamente situaciones particulares; por ejemplo, la disposición aislada de depresiones imposibilita la generación de una red interconectada al usar un clasificador automático (Klingseisen et al., 2008). Si bien es posible conectar depresiones en el modelo de unidades geomórficas generado automáticamente, erróneamente también se generan depresiones más amplias (Klingseisen et al., 2008). Probablemente, esta situación se vea agravada en ambientes particularmente llanos como el estudiado, por lo que una aproximación combinada de medición de parámetros morfométricos clave (altura, pendiente, curvatura) e interpretación y digitalización en pantalla resulta una solución más satisfactoria.
Durante la urbanización de la Ciudad de Buenos Aires, la inadecuada planificación del uso del suelo generó diversos problemas ambientales, siendo el más severo el vinculado a las inundaciones, que afectan a la calidad de vida y la economía de la población. Esta situación ha puesto de manifiesto la necesidad de encarar el estudio de la geomorfología urbana utilizando técnicas geomáticas, las cuales permiten alcanzar mayor precisión y objetividad que los métodos geomorfológicos tradicionales, haciendo posible un mejor análisis de las interacciones entre los componentes naturales y antrópicos presentes (Nabel y Pereyra, 2000; Pereyra, 2004).
En este trabajo se caracteriza el relieve de la Ciudad de Buenos Aires, delimitando unidades y subunidades geomórficas, sobre la base del reconocimiento de áreas homogéneas obtenidas de los valores morfométricos, sometidos a un proceso de análisis e interpretación visual.
2. Área de estudio
La ciudad de Buenos Aires se encuentra ubicada en el sudeste del continente americano a los 34° 35' S y 58° 22'0 (Figura 1), sobre la costa noroeste del estuario del Río de la Plata. El clima de la región es húmedo subtropical con inviernos de escasas precipitaciones y una estación cálida prolongada algo más lluviosa (Camilloni y Barros, 2005). El Área Metropolitana de Buenos Aires (AMB A) incluye a la Ciudad Autónoma de Buenos Aires y la parte urbanizada de 32 partidos circundantes en la provincia de Buenos Aires. Es el conglomerado urbano más poblado de la Argentina y uno de los más importantes del continente, con una población de aproximadamente 12.000.000 de habitantes (INDEC, 2002), de los cuales casi 3.000.000 corresponden a la Ciudad de Buenos Aires. Con una superficie de 203 Km2, la densidad promedio de la ciudad de Buenos Aires es de poco menos de 15.000 hab./Km2 (INDEC, 2002).
2.1. Caracterización geomorfológica
Regionalmente se reconocen dos unidades geomórficas principales: la Planicie Pampeana y la Planicie Estuárica. Cada una está definida por su topografía, sus materiales superficiales, su dinámica y su historia geológica. A su vez, se distinguen subunidades, que representan subambientes geomórficos particulares (Malagnino, 2006).
La Planicie Pampeana (Malagnino, 2006) presenta una topografía suavemente ondulada, como consecuencia de la sucesión de valles e interfluvios, en general planos o suavemente ondulados, modelados por los sistemas fluviales y procesos eólicos sobre los Sedimentos Pampeanos y PostPampeanos. Este paisaje, de origen mixto es resultado de la preponderancia alternada de los agentes modeladores mencionados, predominando en las últimas etapas los procesos fluviales, aunque actualmente se encuentran anulados como consecuencia de la urbanización.
Las subunidades que se reconocen en este ambiente están asociadas principalmente a la acción fluvial, y corresponden a llanuras aluviales, laterales de valles, terrazas, albardones y meandros de los ríos. El sistema fluvial más importante de la región es el del río MatanzaRiachuelo, que presenta una extensa planicie de inundación labrada en condiciones climáticas más cálidas y húmedas que las actuales, y con niveles del mar más elevados. Otros cursos fluviales de menor entidad son los arroyos Medrano, Vega y Maldonado, hacia el norte de la ciudad y los Terceros en el casco antiguo al este.
La Planicie Estuárica (Malagnino, 2006), o Planicie Poligenética (Pereyra, 2004), se extiende en forma casi continua con dirección NOSE, entre la Planicie Pampeana y el margen sudoeste del delta subácueo (estuario del Río de la Plata). Es una faja de terrenos bajos y casi horizontales, cuyas formas construccionales se relacionan con ambientes de acumulación litorales. En esta planicie se reconocen una serie de paleoformas marinolitorales, como son los antiguos cordones litorales, llanuras intermareales y un Paleoacantilado. A estas antiguas geoformas se superponen y adosan los terrenos con rellenos artificiales y la faja actualmente activa de la Planicie Estuárica.
El Paleoacantilado representa una discontinuidad topográfica conocida como barranca, que atraviesa todo el territorio con un rumbo NOSE y separa las dos unidades principales. Este acantilado marino actualmente inactivo se formó cuando el nivel del mar era más alto que el actual, hace aproximadamente 7000 años. El Paleoacantilado fue cortado por los ríos y arroyos que surcaban la región, por lo que se atenúa hasta desaparecer en las zonas de intersección.
Si bien en la ciudad de Buenos Aires la pendiente natural del Paleoacantilado ha sido suavizada durante la urbanización, este rasgo es aún claramente reconocible. Históricamente, desde su borde superior se realizaban los avistamientos del tráfico portuario en las primeras etapas de la configuración de la ciudad, y representaba el límite entre las tierras bajas e inundables y las altas, más seguras. Posteriormente, el control geomorfológico en el uso del terreno fue desapareciendo de la mano del crecimiento urbano y del desarrollo tecnológico que permitió sortear su condicionamiento.
3. Materiales y métodos
3.1. Modelado altimétrico
El insumo principal para la realización de este trabajo fue una base altimétrica de alta resolución, que consistió en un archivo digital vectorial de curvas de nivel con equidistancia de 1 m, para alturas entre los 0 y 27 m s.n.m. (Figura 2). Dicha base, provista por la Dirección General de Sistemas de Información Geográfica del Gobierno de la Ciudad de Buenos Aires (DGSIG), fue originada a partir de otra base digital vectorial de 80610 puntos acotados (promedio: 3,97 puntos por hectárea) denominada "cotas de calles", proveniente de relevamientos topográficos previos realizados por organismos técnicos vinculados con el Gobierno de la Ciudad de Buenos Aires.
A partir de dichas curvas se elaboró un Modelo Digital del Terreno (MDT) del tipo "malla regular", o sea, una matriz de celdas cuadradas conteniendo cada una valores de coordenadas geográficas (x, y) y de altitud (z). Para esto se empleó un método de interpolación no lineal global ("nonlinear rubber sheeting"), que utiliza un polinomio de quinto orden para ajustar los datos de altitud de las curvas a una superficie continua (malla). Dicho método produce valores de altitud que representan razonablemente bien la superficie real, asignándole cotas a cimas y hondonadas más allá del rango de valores de las curvas y es recomendado como método de interpolación para análisis regionales (Borrough, 1986). Para este procedimiento se empleó la función "3D Surfacing" de Erdas Imagine 8.4.
Para evitar las deformaciones que se producían en el modelo en los bordes de la ciudad, se estableció un área buffer de 3000 m de ancho más allá de los límites de la misma (Figura 2). Allí se incorporó una curva de nivel coincidente con la línea de costa, asignándole un valor de cota de 4 m s.n.m. de acuerdo a los valores altimétricos de referencia de la base se datos de "cotas de calles" de la DGSIG y otra situada a 3000 m de la costa con su misma forma y con valor de 0 m s.n.m. También se incluyeron las curvas de nivel de una zona de 3000 metros de ancho en los partidos adyacentes. Con este tratamiento, se evitó que en los modelos surjan valores fuera del rango esperado en las cercanías de los límites de la ciudad.
El tamaño de celda fijado para el MDT fue de 10 m por lado. Dicha resolución espacial fue definida luego de una evaluación exhaustiva de la estructura de las curvas de nivel, teniendo en cuenta que para definir una resolución óptima es necesario alcanzar un balance entre: (a) la reducción del ruido que se genera al aumentar del tamaño de pixel y (b) la mayor precisión de límites entre clases morfométricas que se logra al reducirlo (Arrell et al., 2007). La resolución óptima es aquella que provee un compromiso apropiado entre la definición a escala fina de las divisiones entre geoformas y el suavizado de los datos para reducir el ruido sin significado geomorfológico de la superficie (Arrell et al, 2007).
Cuando se usan curvas de nivel como base para la generación del MDT, el tamaño del pixel no debería exceder la distancia mínima encontrada en la separación horizontal (plano x, y) entre curvas de nivel contiguas (Pain, 2005), a fin de evitar la perdida de información altimétrica en las zonas donde las curvas son demasiado cercanas. En nuestra base topográfica son sumamente escasos los sitios donde la distancia horizontal entre curvas es menos que 10 m, pero naturalmente, hay más zonas de separación horizontal entre curvas del orden de los 15 m. Por esta causa se desestimó la posibilidad de usar un pixel de 15 metros. Por otro lado, reducir el tamaño de pixel a 5 m en la mayoría de los casos aportaría información probablemente redundante dada la relativa homogeneidad del relieve regional o bien generaría ruido en la superficie (Arrell et al., 2007). Además, esta resolución conduciría a un aumento considerable de tamaño de los archivos digitales: la reducción del tamaño del pixel a la mitad genera un aumento de 4 veces en el tamaño del archivo.
3.1.1. Postprocesamiento sobre elMDE
Con el fin de suavizar las irregularidades que genera el método de interpolación se aplicó sobre el MDT un filtro pasa bajo de 3 x 3 y se corrigieron los valores anómalos negativos que aparecieron en el MDT.
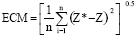
Para obtener una medida de la exactitud del MDT se eligieron 500 puntos al azar (promedio: 2,46 puntos / Km2) de la base de "cotas de calles" provista por la DGSIG que fue tomada como "verdad de campo". En base a las cotas de estos puntos se calculó el error cuadrático medio (ECM) de acuerdo a la siguiente fórmula (Barringery Lilburne, 1997; Chaplot et al., 2006):

donde: n = número de puntos considerados
Z* = valor de cota estimado por el MDE
Z = valor de cota observado obtenido de la base de "cotas de calles"
El ECM constituye una medida general del error del modelo, que surge de la comparación de los valores estimados en el MDE con los valores observados.
3.2. Caracterización del terreno
Los parámetros usados para caracterizar topográficamente la superficie fueron elevación, pendientes, orientación de pendientes (exposición) y curvatura del perfil (convexidad) como medida de curvatura (Wood, 1996). Estas medidas morfométricas se estimaron para cada punto a partir de un modelado topográfico elaborado sobre la base del MDT. Una descripción detallada de los procedimientos matemáticos aplicados en la generación de los modelos se encuentra en Evans (1979) y Wood (1996). El proceso de modelado topográfico se realizó usando la función "topographic modeling" de ENVI 4.1.
La curvatura del perfil, expresada en valores de convexidad, mide el cambio en el ángulo de la pendiente en la dirección de los máximos efectos gravitatorios (Wood, 1996) y es útil para identificar zonas de quiebres frecuentemente relacionadas con zonas de fallamiento (Jordan et al., 2005). La convexidad de la superficie queda expresada por el signo y el valor de curvatura, correspondiendo los valores positivos a superficies convexas y los negativos a cóncavas (Mitásová y Hofierka, 1993; Florinsky, 2000).
También se generó un modelo de relieve sombreado (acimut: 45°, elevación del sol: 45°) que permite identificar los rasgos geomorfológicos y visualizar patrones estructurales (Pain, 2005). A fin de preservar la información geométrica existente entre píxeles contiguos en el MDT, tanto el modelo de relieve sombreado como los de pendientes y orientación de pendientes se generaron utilizando un tamaño de ventana (kernel) de 3 x 3 (Jordan et al., 2005). En cambio, para construir el modelo de convexidad del perfil se consideró un kernel de 7 x 7, con la intención de suavizar los valores generados. Este procedimiento resulta válido ya que los valores máximos y mínimos de convexidad conservan su posición.
3.3. Procesamiento de los modelos
Los modelos de pendientes, orientación de pendientes y convexidad fueron sometidos a fraccionamiento del histograma para generar intervalos de clases discretas (Lillesand y Kiefer, 1994; Jordan et al, 2005). Cada clase representa una zona de características topográficas más o menos homogéneas.
En particular, respecto del modelo de curvatura, en este trabajo se establecieron superficies cóncavas, convexas y planas de acuerdo con el siguiente criterio: siendo Ci la convexidad asignada a la celda i, dicha celda correspondió a la clase "superficie convexa" si Ci > Cm + 5 Sc, siendo Cm la convexidad media del modelo y Sc el desvío estándar. De similar manera una celda fue asignada a la clase "superficie cóncava" si Ci < Cm 5 Sc. Las celdas con valores intermedios se asignaron a la clase "superficie plana". Obsérvese que de esta manera las superficies convexas y cóncavas corresponden a celdas de valores extremos positivos y negativos, respectivamente.
3.4. Mapa geomorfológico
Los modelos de parámetros morfométricos (altura, pendiente, orientación de pendientes y curvatura) y el de relieve sombreado, fueron superpuestos, analizados e interpretados para confeccionar el mapa geomorfológico. Los modelos de pendiente y relieve sombreado resultaron especialmente útiles para realizar la interpretación visual e identificar zonas homogéneas. Por otra parte, el modelo de curvatura de la superficie (convexidad) resultó fundamental para demarcar los límites entre las mismas y definir las unidades geomórficas. Las celdas de mayor convexidad delinearon el borde superior del Paleoacantilado y también en algunos sectores permitieron separar a los laterales de valle de los interfluvios. De la misma manera, las superficies cóncavas se usaron para definir el límite del Paleoacantilado con la Planicie Estuárica y para apoyar la demarcación del límite entre los valles de inundación y los laterales de valle.
Para caracterizar topográficamente cada una de las unidades y subunidades establecidas se calcularon los valores medios de altitud y su desvío estándar, máximos y mínimos y también el valor de la moda de pendientes. La medida de tendencia central de las pendientes fue la moda y no la media, ya que la distribución de frecuencias de este parámetro no es normal (Young, 1964).
4. Resultados
4.1. Características generales del terreno
El modelo digital del terreno (MDT) y los parámetros morfométricos derivados (Figura 3) muestran la distribución de los principales rasgos geomorfológicos de la ciudad. Tanto el MDT como el modelo de relieve sombreado (Figuras 3.a y 3.b) permiten apreciar el control estructural así como el modelado exógeno de las geoformas, las zonas bajas, las divisorias altas, los valles fluviales y los laterales de valle. Asimismo, son evidentes las zonas de mayor y menor pendiente. La dirección predominante de los cursos de agua es SWNE, fluyendo desde la Planicie Pampeana hacia la Planicie Estuárica. El Paleoacantilado, es la zona de mayor pendiente (Figura 3.c). Aparece en forma discontinua, interrumpido por los valles fluviales, recorriendo la ciudad en dirección predominante NOSE, aunque hacia el sur adopta una dirección NS. En el sector más austral se encuentra interceptado por un paleoestuario y la planicie de inundación del Riachuelo.
4.1.1. Altitud
El error cuadrático medio (ECM) obtenido para el MDE fue de 0,28 m, lo que representa una medida de exactitud aceptable. El valor promedio de elevación de la ciudad obtenido con el MDT es de 12,97, con un desvío estándar de 7,37 m s.n.m. Las cotas mínima y máxima modeladas son de 0 de 26,11 m s.n.m. respectivamente, similares a los reales de 0,65 y 26,73 m s.n.m. registradas por el Instituto Geográfico Militar (1998).
El fraccionamiento del histograma de frecuencias del MDT (Figura 4) muestra clases de alturas discretas, correspondientes a intervalos de 1 m cada una. Se observa que una escasa superficie del terreno (1,69 %) se encuentra entre los 0 y 3 m s.n.m. Por el contrario, la superficie ubicada entre los 3 y 6 m de altitud es mucho mayor (16,44 %). Entre los 6 y 7 m puede verse una importante disminución en el número de celdas. Luego existe un pico modal (11,58 %) entre los 19 y 23 m, altura a partir de la cual el número de celdas comienza a decrecer. Este comportamiento bimodal expresa claramente la presencia de las dos unidades geomórficas principales: la Planicie Pampeana, y la Planicie Estuárica. La distribución de estos valores se discute más adelante.

4.1.2. Pendientes y orientación de pendientes
El modelo de pendientes fue fraccionado en cinco clases que permiten observar los cambios de pendiente en los diferentes tramos de las cuencas. Las porciones de las cuencas superiores de los cursos de agua presentan las pendientes más bajas, mientras que los valores más altos corresponden al Paleoacantilado y a los laterales de valles que más han sido afectados por la ingresión holocena (Figura 3.c) y que corresponden a las porciones inferiores de las cuencas. La clase de pendientes 0 a 0,5° se presenta en las diferentes unidades geomórficas con menor relieve tales como la Planicie Estuárica, las planicies de inundación y los interfluvios. En la clase de 0,5 a I° se encuentran representados los laterales de valle más suaves, entre ellos buena parte de los del arroyo Maldonado. Entre 1 y 2° aparecen laterales de valle algo más conspicuos, mientras que la clase de pendientes de entre 2 y 3° se distribuye principalmente siguiendo los laterales de valle de la amplia planicie de inundación del Riachuelo y en el Paleoacantilado. La mayor pendiente relativa de estas últimas geoformas es consecuencia de la acción erosiva del mar durante la última ingresión holocena. El Paleoacantilado fue la geoforma más expuesta a la erosión, por lo que allí se encuentran las mayores pendientes de la región, correspondientes a la clase "> a 3°".
La pendiente mínima fue de 0° y la máxima de 10,45°. El valor de la moda de pendientes de la ciudad es de 0,04°. El análisis de la superficie de cada clase permite ver que casi el 85 % de la ciudad presenta una pendiente menor a 1° (Tabla 1) y que más del 97 % posee pendientes menores a 2°. El modelo de orientación de pendientes fue fraccionado en ocho clases correspondientes a los rumbos principales de la rosa de los vientos (Figura 3.d). Se observa que las mismas están mayormente expuestas hacia el E y en segundo término hacia el NE y SE.

4.1.3 Curvatura de la superficie
La distribución de las tres clases resultantes del fraccionamiento del modelo de Convexidad del perfil, es decir, convexas (convexidad positiva), cóncavas (convexidad negativa) y planas (convexidad cercana a 0) se muestran en la Figura 5 para dos zonas de la ciudad. Los píxeles de mayor valor positivo de convexidad están ubicados en el borde superior del Paleoacantilado, mientras que los de mayor valor negativo (indicando concavidad en el perfil longitudinal) se ubican en el borde inferior, si bien también hay zonas de elevado valor de convexidad o concavidad en los límites entre laterales de valle e interfuvios y entre valles de inundación e interfluvios. Considerando sólo la zona del Paleoacantilado los valores promedio de altura de las regiones cóncavas y convexas fueron de 6,20 (desvío estándar = 1,71) m s.n.m. y 14,63 (desvío estándar = 2,09) m s.n.m., respectivamente. Estos valores pueden tomarse como referencia de la cota de la base y del tope del Paleoacantilado.
5. Discusión
5.1. Análisis de los resultados
La estimación de parámetros topográficos mediante la generación de modelos espaciales permitió cuantificar los valores de altura, pendiente, exposición de pendientes y convexidad del perfil de toda la superficie de la ciudad en unidades de 100 m2. La medida del error obtenida para el modelo digital de elevación (MDE) (0,28 m), permite asegurar que los demás parámetros topográficos son confiables y que pueden ser usados para caracterizar topográficamente porciones específicas de la ciudad y para determinar los límites geográficos de las distintas unidades y subunidades geomórficas identificadas.
El análisis del modelo de relieve sombreado permitió observar la tectónica subyacente y los controles estructurales, manifestados en la dirección de los ríos y del paleoacantilado, así como de fenómenos de erosión verificados en la captura retrocedente en la cabecera de algunos arroyos y del modelado de las geoformas. Los modelos de altitud y pendientes, permitieron caracterizar la superficie de la ciudad, calculándose una altura promedio de 12,97 m s.n.m. (desvío estándar = 7,37) y una pendiente modal de 0,04° (aproximadamente 0,07 %). El modelo de orientación de pendientes puso de manifiesto las direcciones predominantes del fallamiento del subsuelo (SONE y NOSE).
Analizando los mapas generados a partir de los modelos de pendientes y de curvatura del perfil, se delimitaron los bordes superior e inferior del Paleoacantilado, el cual se interrumpe en zonas donde se encuentra interceptado por los cursos de agua, haciéndose manifiesta la acción erosiva de los mismos. En la zona de intersección de la Planicie Estuárica con la planicie de inundación del Riachuelo, se puede apreciar el solapamiento del control tectónico (paralelo a la dirección de los ríos) y el efecto erosivo de la ingresión holocena que, en ese sector, formó un paleoestuario.
El análisis del histograma de frecuencias del MDT pone de manifiesto que la altura aproximada a la que comienza el borde inferior del Paleoacantilado se ubica alrededor de los 6 m s.n.m. El número de celdas (y por ende la superficie) tiene un valor mínimo, indicativo del cambio de pendiente en una angosta faja de terreno donde se inicia la barranca. En este sentido, resulta mucho más precisa la información extraída del modelo de convexidad del perfil, que permitió establecer un valor promedio para la base y otro para el tope de esta barranca (6,20 y 14,63 m s.n.m., respectivamente). El valor estimado para el borde superior difiere del dado por otros autores (aproximadamente 10 m s.n.m.) (Yrigoyen, 1993, Marcomini y López, 2004).
La distribución bimodal observada en el histograma de frecuencia de píxeles de la Figura 4, si bien caracteriza las dos unidades geomórficas principales tiene un comportamiento diferente en cada una de ellas. La Planicie Estuárica tiene un pico modal entre 4 y 5 m, y presenta una elevada homogeneidad en las alturas, con valores que fluctúan entre 2 y 6 m. Este comportamiento corresponde igualmente al resto de los terrenos bajos presentes en las planicies aluviales de los ríos. La Planicie Pampeana por el contrario presenta una elevada dispersión de valores, con valores pico entre 19 y 23 m y donde la mayor parte de los valores fluctúan entre los 15 m, que representa la altura del paleoacantilado y los 24 m. Sobre esta unidad está emplazada la mayor parte de la superficie de la Ciudad de Buenos Aires.
Asimismo este trabajo presenta valores de pendiente característicos para diferentes unidades y subunidades geomórficas que difieren de la reportada por otros autores.
El valor modal de la pendiente obtenida para los Interfluvios en este trabajo, ha sido de 0,035 %, mientras que se han mencionado valores de 1 y 2% para la unidad equivalente (Pereyra, 2004). De igual manera el valor modal de que hemos obtenido para los Laterales de valle ha sido del 1%, mientras que dicho autor reporta 3 al 7% . Es posible que las diferencias observadas se deban a la dificultad de realizar mediciones precisas de las geoformas en ambientes urbanizados cuando no se utilizan recursos geomáticos.
Asimismo, los valores de la pendiente regional reportados por otros autores (Fidalgo et al., 1975) fluctúan entre 1 a 0,1 %, en tanto que los valores modales de la pendiente obtenidos en este trabajo para la ciudad de Buenos Aires son de 0,07% (=0,04°).
La orientación predominante de las pendientes (E, NE y SE) expresa y es consistente con las direcciones de orientación del fallamiento profundo en el subsuelo de la región, y también con el trazado de los cursos de agua de la ciudad, así como en el frente del Paleoacantilado. Una escasa cantidad de celdas, tienen orientación de pendientes de dirección O y SO, poniendo de manifiesto el resultado de la acción de los agentes erosivos,
Si bien la escasa pendiente de la ciudad coincide con los valores regionales, la posibilidad de reconocer las diferencias existentes entre las distintas subunidades geomórficas permite evaluar la extensión de los diferentes fenómenos que modelaron la región y precisar el alcance territorial de la exposición a determinadas amenazas de origen natural como son los anegamientos.
5.2. Unidades y subunidades geomórficas
Sobre la base del análisis de los resultados obtenidos, se elaboró el mapa de unidades geomorfológicas (Figura 6). En la confección del mismo, las zonas de máxima curvatura fueron utilizadas para establecer límites entre las geoformas que presentan distinta pendiente. En la Tabla 2 se encuentran los valores de superficie de cada unidad o subunidad geomórfica. También se presentan los valores de altura media y su desvío estándar y la moda de las pendientes. La mayor parte de la ciudad se encuentra sobre los terrenos de la planicie pampeana, siendo los interfluvios la subunidad de mayor superficie. El Paleoacantilado se encuentra a mayor altura que las Planicies de Inundación y presenta las zonas de mayor pendiente, mientras que los interfluvios, planicies de inundación y Planicie Estuárica presentan pendientes muy bajas.
6. Conclusiones
El análisis e interpretación visual de los modelos espaciales de parámetros morfométricos, permitió precisar los límites entre las principales unidades geomórficas. Esto representa una aporte significativo al uso de metodologías tradicionales de estudios geomorfológicos, y a la interpretación visual de mapas e imágenes satelitales (Jordan et al., 2005). Particularmente, en ambientes urbanos, donde los rasgos geomórficos originales se encuentran muy modificados, obliterados y/o cubiertos por las construcciones, un MDT resulta una herramienta poderosa para la caracterización morfométrica de las diferentes unidades y el reconocimiento de sus límites. Considerando la resolución espacial de los modelos producidos y luego utilizados para generar el mapa geomorfológico (esto es, un pixel cuadrado de 10 m), el mapa geomorfológico puede ser reproducido a escala de 1:50.000 y 1:25.000, con el fin de realizar estudios a nivel regional para resolver problemas vinculados a la planificación del uso del suelo y de diversas obras de infraestructura urbana.
Este trabajo representa un aporte importante al conocimiento de la topografía y de la geomorfología de la ciudad de Buenos Aires así como un caso testigo para otras ciudades localizadas en áreas de llanura. Provee por primera vez de valores cuantitativos elaborados con técnicas geomáticas para la altura del terreno, la pendiente y su orientación, diferenciados para unidades y subunidades geomorfológicas.
Para la confección del mapa geomórfico resultaron especialmente útiles los modelos de representación del relieve sombreado, el de pendientes y el de convexidad del perfil. Este último genera valores morfométricos que señalan los puntos de máximo cambio de pendiente, que coinciden con los límites entre unidades y subunidades geomórficas, otorgando así un indicador objetivo para separarlas.
Particularmente, el Paleoacantilado, que es la subunidad geomórfica más conspicua a nivel regional, ha sido delimitado con mayor precisión en este trabajo en relación a otros trabajos previos (Pereyra, 2004), por la utilización de los valores de convexidad del perfil que indicaron las zonas de quiebre de pendientes.
La generación, procesamiento y análisis de modelos espaciales usando herramientas geomáticas, con un importante grado de intervención y supervisión de un especialista, ha demostrado ser un método valioso para estudios geomorfológicos en ambientes urbanos como la ciudad de Buenos Aires. Probablemente, esta aproximación metodológica combinada de estimación cuantitativa de parámetros morfométricos e interpretación y digitalización en pantalla, permita ahorrar el tiempo que demandaría la corrección de los errores producidos por un clasificador automático de geoformas, que a una escala cartográfica 1:10.000 o menores y en ambientes de topografía más marcada pueden resultar aproximaciones útiles, pero en ambientes como el estudiado de relieve muy suave podrían generar errores considerables.
El mapa geomorfológico y la valoración cuantitativa de parámetros geomorfométricos que provee este trabajo, apunta a brindar información básica para generar futuros mapas de peligrosidad y riesgo ambiental, que son necesarios en la planificación y el ordenamiento territorial de zonas urbanas.
Agradecimientos
Este trabajo fue llevado a cabo en el marco del proyecto "Atlas Ambiental de Buenos Aires" con fondos del Consejo Nacional de Investigaciones Científicas y Técnicas (CONICET), del Fondo para la Investigación Científica y Tecnológica (FONCyT), del Gobierno de la Ciudad de Buenos Aires y del Museo Argentino de Ciencias Naturales "Bernardino Rivadavia". Asimismo, queremos agradecer a Maximiliano Cosatti por su ayuda en la elaboración de las figuras.
Referencias bibliográficas
Adediran, A.O., Parcharidis, I., Poscolieri, M., Pavlopoulos, K., 2004, Computerassisted discrimination of morphological units on northcentral Crete (Greece) by applying multivariate statistics to local relief gradients: Geomorphology, 58, 357370. [ Links ]
Ardiansyah Prima, O.D., Echigo, A., Yokoyama, R., Yoshida, T, 2006, Supervised landform classification of Northeast Honshu from DEMderived thematic maps: Geomorphology, 78, 373386. [ Links ]
Arrell, K.E., Fisher, PE, Tate, N.J., Bastin, L., 2007, A fuzzy cmeans classification of elevation derivatives to extract the morphometric classification of landforms in Snowdonia, Wales: Computers and Geosciences, 33(10), 13661381. [ Links ]
Barringer, J.R.F., Lilburne, L., 1997, An evaluation of digital elevation models for upgrading New Zealand Land Resource Inventory slope data: Proc. Geocomputation, 97, 109116. [ Links ]
Badura, J., Przybylski, B., 2005, Application of digital elevation models to geological and geomorphological studies: some examples: Przeglad Geologiczny, 53(10/2), 977983. [ Links ]
Borrough, PA., 1986, Principles of Geographical Information Systems for Land Resources Assessment, Oxford University Press, New York. [ Links ]
Camilloni, I., Barros, V., 2005, Clima. Atlas Ambiental de Buenos Aires, disponible en: http://www.atlasdebuenosaires.gov.ar. [ Links ]
Chaplot, V., Darboux, F., Bourennane, H., Leguédois, S., Silvera, N., Phachomphon, K., 2006, Accuracy of interpolation techniques for the derivation of digital elevation models in relation to landform types and data density: Geomorphology, 77, 126141. [ Links ]
Chorowicz, J., Parrot, J.F., Taud, H., Hakdaoui, M., Rudant, J.P, Rouis, T, 1995, Automatic patternrecognition of geomorphic features from DEMs and satellite images: Zeitschrift für Geomorphologie, Suppl. Bind, 101, 6984. [ Links ]
Evans, I.S., 1979, An integrated system of terrain analysis and slope mapping. Final report on grant DAERO59173G0040, University of Durham, England. [ Links ]
Fidalgo, F., De Francesco, F.O., Pascual, R., 1975, Geología superficial de la llanura bonaerense. En: Relatorio de la Geología de la Provincia de Buenos Aires: 103138. [ Links ]
Florinsky, I.V., 2000, Relationship between topographically expressed zones of flow accumulation and sites of faults intersection: analysis by means of digital terrain modelling: Environ. Modell. Software, 15, 87100. [ Links ]
Grohmann, C.H., 2005. Trendsurface analysis of morphometric parameters: a case study in southeastern Brazil. Computers and Geosciences, 31: 10071014. [ Links ]
INDEC, 2002. Censo Nacional de Población, Hogares y Viviendas 2001. Disponible en: http://www.indec.gov.ar/webcenso/publicados.asp. [ Links ]
Instituto Geográfico Militar, 1998, Atlas Geográfico de la Argentina, 7ma Ed. Instituto Geográfico Militar, 95 p., Buenos Aires. [ Links ]
Jordan, G., 2003, Morphometric analysis and tectonic interpretation of digital terrain data: a case study: Earth Surf. Process. Landforms, 28, 807822. [ Links ]
Jordan, G., Meijninger, B.M.L., van Hinsbergen, D.J.J., Meulenkamp, J.E., van Dijk, P.M., 2005, Extraction of morphotectonic features from DEMs: Development and applications for study areas in Hungary and NO Greece: International Journal of Applied Earth Observation and Geoinformation, 7(3), 163182. [ Links ]
Klingseisen, B., Metternicht, G., Paulus, G., 2008, Geomorphometric landscape analysis using a semiautomated GISapproach: Environmental Modelling & Software, 23, 109121. [ Links ]
Lillesand, T.M., Kiefer, R.W., 1994, Remote Sensing and Image Interpretation. Wiley Co 3ra Ed., 721 p., New York. [ Links ]
Malagnino, E., 2006, Geomorfología. Atlas Ambiental de Buenos Aires, disponible en: http://www.atlasdebuenosaires.gov.ar. [ Links ]
Marcomini, S.C., López, R.A., 2004, Generación de nuevos ecosistemas litorales por albardones de relleno en la costa de la ciudad de Buenos Aires: Revista de la Asociación Geológica Argentina, 59(2), 261272. [ Links ]
Mitásová, H., Hofierka, J., 1993, Interpolation by regularised spline with tension: II. Application to terrain modelling and surface geometry analysis: Math. Geol., 25, 655657. [ Links ]
Nabel, RE., Pereyra, F.X., 2000, El paisaje natural bajo las calles de Buenos Aires. Museo Argentino de Ciencias Naturales Bernardino Rivadavia, 123 p., Buenos Aires. [ Links ]
Onorati, G., Ventura, R., Poscolieri, M., Chiarini, V., Crucillá, U., 1992, The Digital Elevation Model of Italy for geomorphology and structural geology: Catena, 19(2), 147178. [ Links ]
Pain, C.F., 2005, Size does matter: relationships between image pixel size and landscape process scales. In: Zerger, A., Argent, R. M. (Eds.), MODSIM, 2005, International Congress of Modelling and Simulation. Modelling and Simulation Society of Australia and New Zealand Inc., 14301436. Camberra. [ Links ]
Pereyra, F.X., 2004, Geología urbana del área metropolitana bonaerense y su influencia en la problemática ambiental: Revista de la Asociación Geológica Argentina, 59(3), 394410. [ Links ]
Poole, P., 1995, Appropriate geomatic technology for local earth observation. En: Dicum, G., (Ed.), Local Heritage in the Changing Tropics: Innovative Strategies for Natural Resource Management and Control, number 98, p. 156166. Yale School of Forestry and Environmental Studies, Yale University, New Haven. [ Links ]
Riley, C, Moore, M.C.M., 1993, Digital elevation modelling in a study of the neotectonic geomorphology of the Sierra Nevada, southern Spain: Z. Geomorphol. N.F., Suppl. Band, 94, 2539. [ Links ]
van Asselen, S., Seijmonsbergen, A.C., 2006, Expertdriven semiautomated geomorphological mapping for a mountainous area using a laser DTM: Geomorphology, 78, 309320. [ Links ]
Wood, J., 1996, The Geomorphological Characterization of Digital Elevation Models, Tesis Doctoral, University of Leicester, Department of Geography, Leicester, UK. [ Links ]
Yrigoyen, M.R., 1993, Morfología y geología de la ciudad de Buenos Aires, evaluación e incidencia geotécnica: Actas de la Asociación Argentina de Geología Aplicada a la Ingeniería, 7, 738. [ Links ]
Young, A., 1964. Slope profile analysis: Zeitschrift fur Geomorphologie, Supplement Band, 5: 1727. [ Links ]













