Introducción
En México, los datos de erosión hídrica (EH) o eólica (EE) históricamente han sido contradictorios. Por ejemplo, López-Santos (2016) consideró tres fuentes con valores de EH y EE: 29.5 y 30.7 % (Garrido y Cotler, 2010), 11.8 y 9.5 % (SEMARNAT, 2011) y 35 y 20 % (CONAFOR-UACh, 2013) sobre la magnitud del Territorio Nacional (1.9 millones de km2). EH y EE mostraron incertidumbres de 15.2 y 13.8 %; estos valores evidentemente producen escenarios diferentes de la misma problemática.
Respecto a esta controversia, CONAFOR-UACh (2013) menciona que la causa más probable de esas divergencias tiene que ver con los métodos más usados, que han incluido observaciones de campo, empleo de ecuaciones paramétricas, como la ecuación universal de pérdida de suelo (USLE), USLE revisada (RUSLE) y el desarrollo de algoritmos asociados a imágenes de satélite.
El índice Kappa es un método de la estadística discreta que calcula la concordancia entre dos observadores, cuyo fin es determinar de modo categórico el estado en que se encuentra un problema en estudio (van Vliet et al., 2011; Saldaña et al., 2012; Lane et al., 2014; Feng et al., 2015). Su uso más frecuente, como método de trabajo es visualización (fotointerpretación) para la identificación de rasgos del territorio sobre imágenes de satélite. Van Vliet et al. (2011) usaron este método para medir la concordancia entre dos grupos de datos obtenidos de dos mapas, con el fin de evaluar cambios en un ambiente de simulación de usos de la tierra en Europa. Feng et al. (2015) utilizaron técnicas de percepción remota para identificar zonas de usos de la tierra en Yuyao China, mediante clasificadores aleatorios sobre imágenes SPOT de mediana resolución, siendo este índice (Kappa) uno de los recursos estadísticos empleados. El índice Kappa como método para analizar datos de campo es análogo a los métodos empleados para evaluar el paisaje en contextos forestales, como el reportado por Zubelzu y Hernández (2015). Este último partió del análisis del paisaje completo e incluyó 718 fotografías desde 92 sitios, con el fin de deducir un modelo que les permitiera explicar, a partir de la caracterización de los atributos del paisaje, las preferencias de la población. Ellos concluyeron que color y composición espacial son los dos atributos que contribuyen más a modelar las preferencias de quienes juzgan las fotografías.
El estado de salud y condición de los servicios de los ecosistemas, como se definen actualmente (MEA, 2005): abastecimiento, apoyo, regulación y cultural, parten esencialmente de valoraciones subjetivas, que luego se ponderan mediante mediciones cuantitativas. El método de la 7ma aproximación de la USDA, propuesto por Klingebiel y Montgomery (1961) para clasificar tierras se fundamenta en ambos componentes. El método de valoración del paisaje reportado por Zubelzu y Hernández (2015) se basa en el uso de atributos estéticos, como variables explicativas de las preferencias, basadas en observaciones del evaluador. Ramírez-Carballo et al. (2011) emplearon una metodología participativa para la caracterización de áreas degradadas por erosión edáfica, con el fin de detectar áreas prioritarias para su restauración, en cinco predios ganaderos de la Reserva de la Biosfera Mapimí en Durango, México; la cual se basó principalmente en la observación de los pobladores y técnicos participantes durante las jornadas de campo.
El objetivo de la presente investigación fue desarrollar un procedimiento para identificar la presencia o ausencia de acciones de conservación de suelos a partir de la observación experta de evidencias en terrenos dedicados a la agricultura de secano del Norte de Durango, México. La hipótesis fue que más de 50 % de los indicadores aplicados en campo, distribuidos en seis categorías, conforman los elementos necesarios para determinar el sentido de la acción antrópica en la prevención de la erosión hídrica para la unidad de estudio.
Materiales y Métodos
La UE (Figura 1A) incluyó los municipios San Pedro del Gallo y San Luis del Cordero, al NE del estado de Durango, México, y al O de la Comarca Lagunera, Durango (25° 21” y 25’ 59” N, -104° 29” -104° 1” O); colinda al N con Hidalgo y Mapimí, al S con Rodeo y Nazas, al E con Nazas y al O con Indé (INEGI, 2010). La UE presenta un gradiente climático, de NO a SE, de semiárido (BS1kw) a árido (BWhw, BSohw), temperatura promedio anual de 18 °C, intervalo de 14 a 22 °C y lluvia anual de 200 a 400 mm (Figura 1B y 1C); altitud de 1300 a 2400 m y superficie aproximada de 2550 km2 (alrededor del 1.9 % del territorio estatal). En el territorio se practica agricultura principalmente de secano o de temporal (AT) asentada principalmente (92 %) en Leptosoles (INEGI, 2007; INEGI, 2010).
La investigación la desarrollamos en tres fases, con un enfoque transescalar (de regional a local), de acuerdo con lo descrito por Segundo y Bocco (2012). Así, un pre-diagnóstico de referencia de la UE se estableció. Las características generales de las fases fueron las siguientes.

Figura 1 Localización geográfica (A) sub-climas, (B) e integración territorial (C) de la unidad de estudio.
Fases de la investigación, información de entrada y pre-diagnóstico
Fase I. Obtención de datos preliminares e investigación del proceso agrícola de la UE. La información de entrada incluyó los conjuntos vectoriales (shp) en escala 1:250 000 de los temas edafología Serie II (INEGI, 2007) y de Uso del Suelo y Vegetación (USV) serie V (INEGI, 2010). Del conjunto vectorial USV se extrajeron los polígonos de uso agrícola de secano (Figura 1A y 1B). En tanto que el proceso agrícola en la UE se documentó con apoyo de los productores informantes.
Fase II. La información de la Fase I se analizó e interpretó al contrastarla con información con resolución mayor. Para esto, los conjuntos vectoriales de la cobertura ejidal se emplearon con escala 1:50 000, el modelo digital de elevación con resolución de 30 m, que se descargó del Continuo de Elevación Mexicano (CEM 3.0) de INEGI (2015) y la escena (Path/Row) 30/42 de LandSat 8 de mayo del 2014, descargada del Portal de Servicio Geológico de EUA (USGS, 2015). De este último, sub-imágenes acordes a la cobertura de la UE se extrajeron para identificar las áreas de uso agrícola (Figura 3A y 3B).
Fase III. En esta fase se identificaron los requerimientos para realizar el trabajo de campo, como el perfil técnico de los observadores expertos (OE) y la selección de los factores (indicadores) directos e indirectos que contribuyen en el fenómeno de la erosión hídrica.
Definición de indicadores
Los OE, con perfil de agronomía y conocimientos en la temática de la erosión edáfica, elaboraron el cuestionario y crearon un marco teórico para definir el sentido y la aplicación de cada uno de los 15 indicadores (I x ) para generar respuestas categóricas. Esos indicadores fueron agrupados en seis categorías (Cuadro 1).
Diseño estadístico y tamaño de muestra
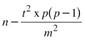
El diseño estadístico se estableció a partir de la definición de un tamaño de muestra basado en la superficie total (23 606 ha) dedicada a la agricultura de secano en la UE y en dotación promedio (20 ha) para este uso:
donde
n es el tamaño de la muestra,
t es el nivel de confianza (al 0.95=1.96),
p es la proporción de tenencia de tierras que posee un productor con respecto al número total de hectáreas de la zona productora (20/23,606 = 0.00085) y
m es el margen de error (0.05).
Aunque el resultado fue n=28, al final se incrementó a 31 parcelas, que después de una selección diseñada completamente al azar (Figura 1a) se visitaron y el cuestionario se aplicó.
Análisis estadístico y prueba de hipótesis
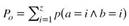
El análisis estadístico y prueba de hipótesis se realizó a partir del coeficiente Kappa de Cohen (1960) o coeficiente de concordancia Kappa. En este caso, el coeficiente expresa el acuerdo entre dos observadores, aplicado a dos grupos de datos, definidos en seis categorías (I, II, III,.. c) y 15 indicadores (1, 2, 3,..ij). Para su análisis, Kappa se integra en una matriz de contingencia para los dos grupos de datos (a y b), representados por las respuestas de los dos observadores como A y B (Cuadro 2).
Cuadro 2 Matriz de contingencia genérica para el análisis probabilístico de seis categorías y 15 indicadores.

Obs: observador; Cat: categoría y p: proporción
Los elementos p (a=AI1 ˄ b=BI1) en el Cuadro 1 indican la fracción que el indicador tiene para cada categoría en el dominio de cada observador (A y B) y la línea diagonal p (a=Acij ˄ b=Bcij) expresa el acuerdo en los 15 indicadores de la evaluación por ambos observadores; y en renglones y columnas totales p (a=Acij) y p (a=Acij) indican la fracción que corresponde a los observadores A y B (Cuadro 2).
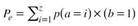
A partir de las fracciones de la matriz de contingencia (Cuadro 2) pueden calcularse la fracción del acuerdo observado P o y la fracción del acuerdo esperado (P e ), como sigue:
donde
i puede ser cualquiera de los 15 indicadores empleados por ambos observadores, cuyo límite
z en el Cuadro de contingencia para a y b se definieron como Acij y Bcij, respectivamente.
Las fracciones P o y P e se necesitaron para calcular el grado de acuerdo (Si/Si o No/No), desacuerdo (Si/No) e incertidumbre (No/Se) y elegir el indicador adecuado, definido como:
donde
k es el coeficiente de concordancia o índice Kappa (entre 0 y 1). Cuando k tiende a 1 su gradiente puede quedar en una de las seis condiciones siguientes: i) sin acuerdo (<0), ii) insignificante (0-0.2), iii) mediano (0.21 - 0.40), iv) moderado (0.41 - 0.60), v) sustancial (0.61 - 0.80) o vi) casi perfecto (0.81 - 1.0).
El análisis de la información se realizó en el módulo de estadística descriptiva en SPSS.
Resultados y Discusión
Evidencias observadas en campo
Color del suelo asociado a su fertilidad
Para el color del suelo asociado a su fertilidad en su capa superior ambos observadores mostraron incertidumbre alta, con respuesta principal “no sé” (66 y 74 %). Las preguntas dos (I2) y tres (I3) estuvieron asociadas a las labores de pre-siembra (barbecho o subsuelo) y al contenido de materia orgánica del suelo. Esto fue acorde con el hecho de que durante el estudio de campo hubo lluvias (15.8 mm y 16.4 en 18 y 19 de junio) que provocaron que la humedad obscureciera el suelo en algunos casos (Figura 2A).
Incorporación de residuos de cosecha
Los tres indicadores empleados para detectar residuos de cosecha, como mantillo (II1), en parte o toda la superficie (II2), o enterrados (II3) por rastra o barbecho, mostraron coincidencia (42 y 45 %) entre los OE, sin esquilmos en la superficie o debajo; solo 29 % de los casos mostró evidencia en partes asiladas (Figura 2B).
Profundidad efectiva del suelo
Respecto a la profundidad del suelo, ambos observadores dividieron su respuesta en dos sentidos: coincidieron en que 74 % de los casos las parcelas se ubican en terrenos con profundidades adecuadas (>100 cm) (III1) y en 68 % de los casos señalaron que no había evidencia de un manejo adecuado de esta variable (III2) (Figura 2C).
Pendiente de la parcela
Para la variable pendiente de la parcela hubo certeza; pues en 52 % de los casos la respuesta fue no, no hubo evidencia de surcado al contorno (IV1), y si se encontraron terrenos (45 %) con evidencias de terraceado (IV2); así, la combinación de surcos y terrazas (IV3) acumuló 48 % de respuestas negativas (Figura 2D).
Manejo del agua dentro y fuera de la parcela
Porcentaje alto (68 %) de evidencia mostró que los agricultores aprovechan las corrientes naturales que forman arroyos en épocas de lluvia para conducir el agua a sus parcelas (V1), pero en 42 % de los casos no se localizaron estructuras de control parcelario (V2), lo que incrementa los riesgos de inundación (Figura 2E).
Erosión edáfica
La inspección de campo por ambos observadores no coincidió, tuvieron discrepancia Si/No en los indicadores: presencia de zanjas (VI1) y erosión laminar sobre la capa arable (VI2), con 45 y 29 %, respectivamente. Por lo que la respuesta afirmativa fue similar a la negativa, y los porcentajes sumados de ambos indicadores para determinar si hay erosión totalizaron 42 % (Figura 2F).
Análisis e interpretación de concordancia
El análisis de concordancia permitió obtener la medida específica sobre el grado de acuerdo entre los OE en cada indicador, en seis de ellos hubo acuerdos significativos (p≤0.05) y altamente significativos (p≤0.001). Estos representaron acuerdos sustanciales (Kappa=0.686), que indicaron que más de la mitad de las parcelas evaluadas (52 %) presentaron evidencias de prácticas adecuadas para el manejo del agua de lluvia, favorecer los cultivos y mejorar la expectativa para obtener cosechas, pero no para la conservar el suelo (Cuadro 3).
Cuadro 3 Resultados del análisis de estadístico Kappa para determinar el grado de acuerdo entre los observadores.

Cat/Ind: categoría e indicadores; ET: error típico; Papro: valor T aproximado; SGF: significancia estadística e Ik: índice Kappa.
Los resultados también confirman la hipótesis de independencia de acuerdos aleatorios en el 40 % (6/15) de los indicadores que corresponde a las categorías I, II, IV y V (Cuadro 3). La interpretación de estas categorías es la siguiente.
I. Color (obscuro) del suelo (asociado a su fertilidad)
El contenido de humedad del suelo, por las lluvias de los primeros días del estudio, representaron 32.2 mm en dos días consecutivos. Para el contenido de materia orgánica los observadores mostraron acuerdos medianos, con índices Kappa de 0.338 y 0.228. Es decir, los indicadores I1 e I3 de color del suelo no pudieron asociarse a la fertilidad del suelo en 35 % (No/No) y 74 % (No sé) de los casos (Figura 3C y 3E).
II. Incorporación de residuos de cosecha
Para el primer indicador de la categoría II1 los observadores tuvieron un acuerdo moderado, 45 % de los casos evaluados afirmativamente (Si/Si), con índice Kappa de 0.5 y nivel de confianza de 99 %; pero, la evidencia mostró que la incorporación de residuos de cosecha, para la protección de los suelos o incrementar la fertilidad biológica, no se realiza comúnmente (Figura 3C).
IV. Pendiente de la parcela
Para los indicadores III2 y III3 de la categoría IV los observadores tuvieron acuerdos de moderados a sustanciales, con índices Kappa de 0.611 y 0.686, y nivel de confianza de 99 %. Así, de los sitios visitados solo 45 % de los terrenos están terraceados y en 48 % no se combina surcos y terrazas (Figura 3D).
V. Manejo del agua dentro y fuera de la parcela
Para el indicador V2 de la categoría V los observadores tuvieron un acuerdo mediano con un índice Kappa de 0.243. El nivel de confianza fue 95 %. Con ello se reveló que 42 % de los sitios visitados no cuentan con estructuras para el control del agua a nivel parcelario (Figura 3D y 3F).
Pertinencia de las categorías empleadas para detectar acciones de conservación de suelo
De las seis categorías (Cuadro 1) sólo la VI (erosión edáfica) tuvo relación directa con la problemática estudiada. Para las primeras cinco categorías la pertinencia y el enfoque de su aplicación, mediante los indicadores definidos en cada caso, y detectar las acciones de conservación del caso estudiado sería como sigue. Bautista-Zúñiga et al. (2003), Doi y Ranamukhaarachchi (2007), Towhid (2013) y IUSS-WRB (2015) confirmaron la pertinencia del uso del color de suelo (Categoría I) y sus indicadores para relacionarlo con el contenido de materia orgánica y su susceptibilidad a la erosión hídrica, sobre todo porque en la UE predominan los Leptosoles. Bautista-Zúñiga et al. (2003) mencionaron que en la nomenclatura Maya el color es una propiedad distintiva para los Leptosoles en la zona henequenera de Yucatán, especialmente para los colores café-rojizos como los de las Figuras 3C y 3E.
El rastreo de evidencias concerniente a la incorporación de residuos de cosecha (Categoría II), sobre la superficie (II1) o enterrados (II2), como en el caso anterior, permite detectar problemas de erosión actuales o potenciales (Figura 3C-3F).
Está documentado que las cubiertas del suelo, como los cambios del uso del suelo, pueden alterar el ciclo hidrológico a diferentes escalas mediante alteraciones en las tasas de escurrimiento, de producción de sedimentos y de infiltración (Mzezewa y Rensburg, 2011; Heo et al., 2015); de tal manera que, en ausencia de prácticas de conservación como el uso de cultivos de cobertura, sin labranza, rotación de cultivos y otras protecciones o “mulching”, la problemática de la erosión puede agravarse sin control (Nangia et al., 2010; Bhardwaj and Kendra, 2013).
La profundidad efectiva del suelo en la parcela (Categoría III) y los indicadores aplicados (III1 y III2) son pertinentes también en este caso, ya que es una variable fundamental a partir de la cual se puede definir (al menos) aptitud productiva por su estrecha relación con la eficiencia en la descomposición de los residuos de cosecha incorporados en el perfil del suelo (Schoeneberger et al., 2012; Zou et al., 2016). Es decir, tanto la incorporación de residuos de cosecha como la profundidad del suelo son claves, entre otros, para la evaluación de la susceptibilidad a la erosión. Zou et al. (2016) estudiaron el retorno o incorporación de la paja (de cereales) en suelos profundos en ambiente semiárido (Fumeng County, China), con una precipitación semejante a la UE (450 mm anuales), y determinaron que a 15 cm de profundidad están las condiciones mejores para su descomposición y formación de C orgánico.
En todos los casos la pendiente de las parcelas (Categoría IV) fue natural, puesto que las prácticas de manejo del suelo, como el surcado al contorno (IV1), terraceado (IV2) o su combinación (IV3) son recomendables para reducir y controlar problemas de erosión (SEMARNAT-CONAFOR, 2007; Şensoy y Kara, 2014; Khaledi et al., 2016) y para incrementar la disponibilidad de agua para mejorar la productividad agrícola (Nangia et al., 2010). Şensoy y Kara (2014) estudiaron la forma de la pendiente (uniforme, cóncava y convexa), encontraron que la pendiente uniforme, como la que predomina en la UE (1 a 5 %), para suelos de textura fina y poco profundos (5 a 30 cm), tuvo máximos de producción de sedimentos entre 3.1 y 5.5 t ha-1; estos valores coinciden con los de López-Santos et al. (2012) en el norte de Durango, México.
El agua (Categoría V) y los indicadores aplicados (V1 y V2), igual que los anteriores, fue pertinente, ya que debido al déficit hídrico para cultivos como el maíz y algunos forrajes que no prosperan con lluvias como las que se presentan regularmente en la UE (-450 mm). Así, para aumentar la disponibilidad de agua las estructuras de conducción, desvío y distribución parcelaria son indispensables para los cultivos exitosos. Rashid et al. (2016) demostraron que mediante el terraceado en terrenos agrícolas ubicados en un clima semiárido en Pakistan (33.55° N, 72.58° E), se mejoró la disponibilidad de humedad en 16 %, disminuyó la producción de sedimentos y la pérdida de nutrientes con aumento de 20 % en la producción de trigo.
Conclusiones
La hipótesis planteada se acepta, ya que el procedimiento descrito permitió identificar, con poco más de la mitad de los indicadores utilizados, que el sentido de la acción antrópica sobre el recurso edáfico de tipo utilitario-extractivo predomina sobre el conservacionista. Las evidencias mostraron que los agricultores de la UE no realizan prácticas continuas de protección y conservación, como terraceado, surcado al contorno o su combinación, o incorporación de residuos de cosecha, de sus propios terrenos En todo caso, los agricultores probablemente están más interesados en aprovechar el agua de las escorrentías de las lluvias de temporada, por obras pequeñas de desviación y conducción parcelaria.
Las seis categorías (I) y los 15 indicadores (x) revelaron aspectos críticos de la problemática de la erosión hídrica, como la erosividad de la lluvia sobre el suelo desnudo, formación de escorrentías y manejo del suelo. Esto demuestra que el procedimiento es factible para generar información categórica que permita reforzar las áreas prioritarias para justificar la implementación de prácticas de recuperación y restauración de tierras, y retroalimentar evaluaciones basadas en modelación, como USLE y RUSLE.










texto en 









