Servicios Personalizados
Revista
Articulo
Indicadores
-
Citado por SciELO -
Accesos
Links relacionados
-
Similares en
SciELO
Compartir
Agrociencia
versión On-line ISSN 2521-9766versión impresa ISSN 1405-3195
Agrociencia vol.51 no.1 Texcoco ene./feb. 2017
Crop Science
Respuesta al estrés hídrico de trigos duros (Triticum turgidum ssp. durum) y harineros (Triticum aestivum L.) de Túnez
1Regional Research Development Office of Agriculture in Semi Arid North West of Kef, Boulifa 7100-Kef, Tunisia.
2University of Carthage, Science and Agronomic Techniques Laboratory, National Agricultural Research Institute of Tunisia, Rue Hédi Karray 2049 Ariana, Tunisia.
3National Agronomic Institute of Tunisia, Genetic and Plant Breeding Laboratory, Department of Agronomy and Biotechnology, 43, Avenue Charles Nicole, 1082 Tunis, Tunisia.
44P. O. Box 7, Miki-cho post office, Ikenobe 3011-2, Kagawa-ken, 761-0799, Japan.
El trigo es un cultivo básico en Túnez, aunque se sabe poco de la respuesta al estrés hídrico del trigo duro (Triticum turgidum ssp. durum) y el trigo harinero (Triticum aestivum L.) de Túnez. En regiones semiáridas, donde se concentran los cereales, el rendimiento de grano está sujeto al déficit hídrico, debido en especial a la variabilidad en le precipitación. Por lo tanto, el objetivo de este estudio fue evaluar la respuesta al estrés hídrico de tres variedades de trigo duro (Mâali, Nasr y Salim) y dos de trigo harinero (Tahent y Utique). El diseño experimental fue bloques completamente al azar, los tratamientos fueron en condiciones de secano (T0) e irrigación aplicada en los estados de brote y floración (T1, testigo) con tres repeticiones por tratamiento, y los datos fueron analizados por ANDEVA y prueba de Tukey para comparar medias entre tratamientos (p≤0.05). Las variables analizadas fueron el rendimiento de grano y componentes relacionados con el rendimiento: plantas por metro cuadrado (NP), brotes por metro cuadrado (NT), espigas por metro cuadrado (NE), semillas por espiga (NSE) y peso de 1000-semillas (TKW). NP, NE, NSE y TKW fueron afectados por el estrés hídrico significativamente, pero NT no presentó cambios. El rendimiento de semillas presentó correlación menor con NE (r=0.376), pero significativa con NSE (r=0.604) y NP (r=0.639). Riegos suplementarios aumentaron el rendimiento de granos 74.4%, 42.3%, 36.1%, 33.7% y 24.5% en Utique, Tahent, Nasr, Mâali y Salim, respectivamente, comparado con el testigo. Cuatro índices de tolerancia se evaluaron y ajustaron al estrés hídrico, índice de tolerancia al estrés (STI ), tolerancia al estrés (TOL), índice de susceptibilidad al estrés (SSI) y productividad promedio (MP), con base en rendimiento de grano bajo sequía (Ys) y condiciones normales (Y p). Una correlación positiva y significativa entre Ys y Yp con SSI y PM, respectivamente, indica que son las variables más adecuadas para seleccionar genotipos de trigo con estrés hídrico. Estos índices pudieron seleccionar un genotipo tolerante al estrés por sequía (Nasr), que presentó el STI más elevado (1.10). En contraste, Salim presentó el STI menor (0.47), y se le consideró un genotipo susceptible.
Palabras clave: Estrés hídrico; trigo duro; trigo harinero; rendimiento de grano; componentes de rendimiento
Wheat is a staple crop in Tunisia, but little is known about the response of Tunisian durum wheat (Triticum turgidumssp.durum) and bread wheat (Triticum aestivum L.) to water stress. In semi-arid regions, where cereals are concentrated, grain yield is subject to water deficit especially due to variability in rainfall. Therefore, the objective of this study was to evaluate the response to water stress of three durum wheat (Mâali, Nasr and Salim) and two bread wheat (Tahent and Utique) varieties. The experimental design was a complete randomized block, water treatments were rainfed conditions (T0) and irrigation applied at the tillering and flowering stages (T1, control) with three replications per treatment, and data was analyzed by ANOVA and Tukey test to compare treatments means (p≤0.05). Variables analyzed were grain yield and yield-related components: plants per square meter (NP), tillers per square meter (NT), ears per square meter (NE), seed per ear (NSE) and 1000-kernel weight (TKW). NP, NE, NSE and TKW were significantly affected by water stress, but there was no change on NT. Seed yield was weakly correlated with NE (r=0.376) but significantly correlated with NSE (r=0.604) and NP (r=0.639). Supplemental irrigation increased grain yield by 74.4%, 42.3%, 36.1%, 33.7% and 24.5% for Utique, Tahent, Nasr, Maâli and Salim, respectively, compared to control. Four drought tolerance indices, stress tolerance index (STI), stress tolerance (TOL), stress susceptibility index (SSI), and mean productivity (MP), were assessed and were adjusted based on grain yield under drought (Y s) and normal Yp) conditions. A positive and significant correlation between Ys and Y p with SSI and PM, respectively, indicate that they are the most suitable variables to select wheat genotypes in drought stress. These indices were able to screen a drought-tolerant genotype (Nasr), which showed the highest STI (1.10). In contrast, Salim showed the lowest STI (0.47) and was considered to be a drought-susceptible genotype.
Key words: Water stress; durum wheat; bread wheat; grain yield; yield components
Introducción
El crecimiento de las plantas se afecta fuertemente por estresantes como déficit hídrico, salinidad y temperaturas extremas (De Leonardis et al., 2007). La disponibilidad del agua es el factor que más afecta el crecimiento y el rendimiento de las plantas, principalmente en regiones áridas y semiáridas, donde las plantas suelen experimentar períodos de déficit hídrico (Khayatnezhad et al., 2010). Las respuestas de las plantas al déficit hídrico son influidas por el periodo, intensidad, duración y frecuencia del estrés, y las interacciones entre plantas, suelo y atmósfera (Saint Pierre et al., 2012). El rendimiento de los cutivos se reduce más cuando el estrés hídrico ocurre durante las etapas de espigamiento o floración (Johari-Pireivatlou y Maralian, 2011). En el trigo, el estrés hídrico durante la madurez redujo 10% el rendimiento, pero el estrés moderado durante el crecimiento vegetativo temprano no tuvo efecto en el rendimiento (Bauder, 2001). El estrés hídrico en el trigo cambia los patrones de crecimiento y desarrollo de la planta (Dadbakhsh et al., 2012). El potencial hídrico menor suprime la división celular, el crecimiento de órganos, afecta la fotosíntesis neta y la síntesis de proteínas y altera el balance hormonal de los tejidos vegetales (Gusta y Chen, 1987). Desde una perspectiva agronómica, el estrés por sequía es una condición en la que un suministro limitado de agua evita que el crecimiento o el rendimiento de una planta alcance su potencial genético, mientras sobrepasa los mecanismos vegetales de aptitud homeostatica para compensar este déficit (Bürling et al., 2013).
Aparte de las condiciones ambientales o fisiológicas, el creciente rendimiento de granos debe alcanzar el aumento de 70% pronosticado para la demanda global para la oferta alimenticia en el 2050 (Semenov et al., 2014). La demanda de trigo en los países en vías de desarrollo aumentaría 60% en 2050 (He et al., 2013). El trigo es uno de los tres granos básicos mundiales (Del Pozo et al., 2014); el trigo harinero (Triticum aestivum L.) representa más de 90% de la producción global y se siembra en más de 100 000 millones ha en más de 70 países, mientras que el trigo duro (Triticum turgidum ssp. durum) representa casi 5% de la producción mundial, de lo cual 35% proviene del Norte de África y Asia occidental, 35% de Norteamérica y 30% de la UE (He et al., 2013). Los cereales representan un alimento básico para la población tunecina y por ello tienen relevancia social, económica y nutricional (Zaied et al., 2012). El trigo es un ingrediente principal en la dieta tunecina, especialmente en pan, couscous, pasta y galletas; se cultiva en alrededor de 1.6 millones ha del total de tierras agrícolas (5 millones ha); en el 2012, la producción de trigo en Túnez fue 1.1 millones Mg, incluyendo 900 000 Mg de trigo duro y 200 000 Mg de trigo harinero (Belkacem-Hanfi et al., 2013).
Los trigos duro y harinero son de los cultivos con la mayor influencia del creciente estrés hídrico y la escasez de agua de la región Mediterránea (Karrou y Oweis, 2012). El trigo duro es más tolerante al estrés que el trigo harinero (Marti y Slafer, 2014), aunque la evidencia no es clara, porque hay pocos estudios en lo que el rendimiento de los trigos duro y harinero fueron comparados de forma directa. En Túnez, la tierra dedicada a los cereales está concentrada en las regiones norte y noroccidental, donde el clima varía de semiárido a subhúmedo. Ahí, el rendimiento de granos oscila de manera significativa debido a su variabilidad interanual de precipitación, lo cual aumenta los déficits de humedad estacionales, incluso a lo largo de un año húmedo (Jemai et al., 2013).
El rendimiento del trigo suele analizarse entérminos de sus componentes (espigas por área, granos por espiga, o tamaño de grano), y se reportan correlaciones entre componentes, pero sólo se entienden parcialmente. Las compensaciones entre componentes son una de las barreras principales para mejorar el rendimiento usando este enfoque (Slafer et al., 2014). El desarrollo de cultivares de trigo de alto rendimiento en condiciones de estrés hídrico en regiones áridas y semiáridas es el objetivo principal de los programas de mejoramiento de trigo (Leilah y Al-Khateeb, 2005). El estrés por sequía puede reducir todos los componentes de rendimiento, pero sobre todo el número de espigas fértiles por área de unidad y el número de granos por espiga (Abayomi and Wright, 1999), mientras que el peso de los granos sufre la influencia negativa de las altas temperaturas y de la sequía durante la maduración (Chmielewski y Kohn, 2000). Además, Chen et al. (2012) reportaron que los índices de sequía, que miden la sequía con base en la reducción del rendimiento en estrés por sequía con relación a las condiciones de riego, se usan para seleccionar genotipos tolerantes a la sequía. En respuesta al estrés por sequía, hay varias estrategias fisiológicas y morfológicas que van desde evitar la deshidratación hasta la tolerancia a la deshidratación (Saint Pierre et al., 2012). Índices de sequía que proporcionan una medición de sequía con base en la pérdida de rendimiento bajo condiciones de sequía, comparado con condiciones normales son usados para seleccionar genotipos tolerantes a la sequía (Mitra, 2001). Estos índices se basan en la resistencia a la sequía, o bien a la susceptibilidad de genotipos a la sequía (Fernandez, 1992).
La tolerancia a la sequía consiste en la habilidad de un cultivo de crecer y producir bajo condiciones de déficit hídrico (Khayatnezhad et al., 2011). La planta evita el estrés con diferentes respuestas, como emisión de raíces profundas, área foliar reducida, duración reducida de crecimiento (floración temprana), y mecanismos relacionados con la mayor eficiencia de uso de agua (WUE) (Saint Pierre et al., 2012). Síndromes observables de plantas expuestas al estrés hídrico en el estado vegetativo incluyen marchitamiento foliar, altura reducida de la planta, área y número de hojas y un retraso en la formación de flores y brotes (Guendouz et al., 2014).
El manejo adecuado de los cultivos en el campo y de la humedad del suelo para el uso apropiado de suelo, agua y recursos ambientales tienen una función significativa en el crecimiento y funcionamiento óptimos de los órganos fundamentales de las plantas (Hakoomat et al., 2013). Los impactos negativos de las fluctuaciones en precipitación y periodos secos sobre la producción de cultivos de riego pueden ser superados con riegos complementarios (Karrou y Oweis, 2012). El rendimiento aumenta con un incremento en el suministro de agua, aunque si el agua sobrepasa cierto nivel (riego excesivo), el rendimiento es afectado de forma negativa (Wang et al., 2013). El riego adecuado puede usarse efectivamente para regular el crecimiento de las plantas, optimizar la fase de reparto del consumo de agua, y garantizar una alta intensidad de consumo de agua durante la etapa de floración, lo cual favorece el crecimiento de los órganos reproductivos (Wang et al., 2013). El riego complementario es una manera eficiente de mejorar la producción agrícola (rendimiento), incluyendo la del trigo (Marano et al., 2012), y de aumentar los recursos alimenticios en regiones secas y lluviosas (Oweis y Hachum, 2006).
En Túnez, Belhouchette et al. (2012) reportan que las tierras irrigadas representan sólo 8% del área cultivada total (4.21 millones ha). Pero, estas tierras tienen fuertes efectos sobre las actividades económicas y sociales, porque aseguran 95% de la producción del mercado de hortalizas, 35% de la producción agrícola total, 30% de productos lácteos y 23% de empleos agrarios (Belhouchette et al. (2012).
El rendimiento obtenido en condiciones de sequía y óptimas se usa para desarrollar índices de tolerancia a la sequía (Grzesiak et al., 2013). Según Raman et al. (2012), la tolerancia al estrés (TOL) se define como la diferencia de rendimiento entre condiciones con y sin estrés, con valores mayores de TOL indicando la susceptibilidad de un genotipo dado, lo cual resulta en un índice de susceptibilidad al estrés (SSI ) que evalúa la reducción en rendimiento causada por condiciones no favorables versus condiciones favorables; valores menores de SSI indican menos diferencias en rendimiento entre niveles de estrés.
Por lo tanto, el objetivo de este estudio fue investigar el impacto del riego complementario aplicado en las etapas de espigamiento y antesis sobre el rendimiento y componentes relacionados al rendimiento de variedades de trigos duro y harinero en condiciones semiáridas.
Materiales y Métodos
Un estudio de campo se realizó en Siliana, Túnez, usando tres nuevas variedades de trigo duro (Nasr, Mâali y Salim) y las dos variedades de trigo harinero más cultivadas (Utique y la recién desarrollada Tahent). Las variedades se evaluaron en régimenes hídricos contrastantes: T0, bajo temporal (estrés hídrico); T1: riego aplicado en las etapas de amacollamiento y floración, (bastante agua; testigo); con tres répicas por tratamiento. Siliana se encuentra en una región semiárida 130 km al noroeste de Túnez (36° 4’ 55” N, 9° 22’ 29” E), con un promedio de 30 años entre precipitaciones anuales de 300 a 450 mm y temperatura promedio de 14.6 °C (Bergaoui y Louati, 2010). La temperatura y precipitación de cultivo a cosecha se presentan en el Cuadro 1.
Cuadro 1 Temperatura (°C) y precipitación (mm) promedio durante el ciclo de crecimiento. Siliana, Túnez (2012 a 2013).
La textura del suelo era franco-arcillosa con 12.5% arena, 1.72% materia orgánica, 11 ppm suelo P2O5, 383 ppm K2O, 69.55 ppm N, 51.91% CaCO3 y pH 7.9.
El campo experimental recibió 100 kg ha-1 de fosfato diamónico a la siembra. El nitrógeno (33.5% nitrato de amonio) post-siembra a 150 kg ha-1 en dos fracciones iguales (levantamiento y amacollamiento). Las tasas de producción de semilla fueron 160 kg ha-1 para el trigo duro y 140 kg ha-1 para el trigo harinero, y las parcelas (10 m×3 m) fueron sembradas el 24 de diciembre de 2012. Todas las parcelas del experimento de riego fueron regadas con un sistema de aspersión. Dos riegos fueron aplicados en las etapas de amacollamiento y floración (25 mm para cada riego).
Cinco caracteres se midieron: plantas por metro cuadrado (NP), amacollo por metro cuadrado (NT), espigas por metro cuadrado (NE), semillas por espiga (NSE) y peso de 1000 semillas (TKW). Para estimar la tolerancia y susceptibilidad de las variedades, se usaron los siguientes índices:
El índice de susceptibilidad al estrés (SSI ) fue determinado con base en el rendimiento promedio de las plantas bajo condiciones adecuadas y de estrés. Un SSI bajo indica una baja adaptabilidad del rendimiento de las plantas bajo estrés relativo a condiciones sin estrés, que resultan de una mayor tolerancia a la sequía de la planta (Fischer y Maurer, 1978).
Tolerancia (Rosielle y Hamblin, 1981):
Productividad promedio (Rosielle y Hamblin, 1981):
Índice de tolerancia al estrés (Fernandez, 1992):
donde Ypi es el rendimiento promedio de la variedad bajo condiciones sin estrés, Ysi es el rendimiento promedio de la variedad bajo estrés, Yp es el rendimiento promedio de todas las variedades bajo condiciones sin estrés y Ys es el rendimiento promedio de todas las variedades bajo estrés.
Análisis de varianza se realizaron para cada caracter y los promedios (tres réplicas) fueron comparados con la prueba de Tukey (p≤0.05). Estos análisis fueron realizados con SPSS ver. 16.0 (IBM SPSS Statistics; SPSS Inc., SPSS for Windows, 2007, Chicago, USA).
Resultados y Discusión
El estrés hídrico afectó de forma significativa a NP, NE, NSE y TKW, aunque no hubo cambios en NT. La interacción efecto de tratamiento X variedad fue significativa para todos los rasgos, excepto NT y TKW (Cuadro 2).
Cuadro 2 Análisis de varianza de cinco caracteres para variedades de trigo estudiadas en condiciones de riego y sin riego. Siliana, Túnez (2012-2013).

*p≤0.05; ** p≤0.01; ns: no significativo; df: grados de libertad.
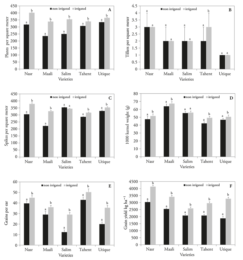
Nuestros resultados mostraron una reducción significativa en todos los caracteres en todas las variedades sembradas en condiciones de sequía, comparado con las condiciones bajo riego (Figura 1). Esta tendencia es similar a la hallada por Kiliç y Yagbasanlar (2010) en genotipos de trigo duro en los que el estrés por sequía redujo el número de espigas por metro cuadrado, granos por espiga y TKW. Una reducción mayor en todos los caracteres, rendimiento y componentes relacionados al rendimiento se registraron en las variedades susceptibles a la sequía, comparado con otras variedades (Figura 1). Además, comparado con el trigo harinero, el trigo duro presentó mayor rendimiento de grano en el testigo (sin riego) (Figura 1F). El motivo para asignar ambientes que reducen el rendimiento del trigo duro puede relacionarse con su afinidad mayor a los ambientes marginales, que el trigo harinero (Marti y Slafer, 2014), pero respecto a la cebada y el trigo harinero, el trigo duro tiene menos estabilidad de rendimiento (Cossani et al., 2011).

Medias con letras diferentes para cada régimen de riego son estadísticamente diferentes (p≤0.05).
Figura 1 Efecto del riego sobre rendimiento de grano ha-1 y sus componentes.
Nasr (trigo duro) en condiciones de riego mostró el rendimiento mayor (4.1 Mg ha-1) en comparación con Maâli (3.41 Mg ha-1) y Salim (2.5 Mg ha-1). Por ello, Nasr se considera una variedad adecuada, en conjunto con el riego, para mejorar el rendimiento. Tahent y Utique (trigos harineros) reportan la misma tendencia en el rendimiento de semillas en condiciones de riego (2.96 y 3.28 Mg ha-1) y sin riego (2.08 Mg ha-1 y 1.88 Mg ha-1, respectivamente).
En nuestro estudio, la mayoría de las variedades, disminuyeron significativamente NP, NE, NSE y TKW en estrés hídrico, similar a lo reportado por Akram (2011), donde el déficit hídrico aplicado en diferentes etapas de crecimiento redujo los componentes del rendimiento en dos cultivares de trigo harinero. Li et al. (2013) reportan que el estrés por sequía y por calor redujeron, de forma severa, TKW del trigo duro. Además, el estrés hídrico reduce biomasa, habilidad de amacollamiento, tamaño de grano y número de granos por espiga en cualquier fase (Akram (2011). El rendimiento de grano se redujo bajo estrés hídrico comparado con el testigo para todas las variedades (Figura 1F) y, según Akram (2011), los suelos secos reducen el rendimiento y los componentes relacionados con el rendimiento de una planta, incluso en genotipos tolerantes.
Según Richards (2006), las causas del menor rendimiento de grano en estrés son, principalmente, una reducción en el número de espigas por planta, número de granos por espiga y número de amacollos por planta. Pedro et al. (2012) muestran que los rendimientos se explican mejor por el número de granos que por su peso promedio, tanto para el cultivo como para la planta individual, y que el rendimiento estaba vinculado al número de granos (por planta en plantas aisladas, y por m2 en densidad de plantas). En un estudio de campo, el peso de grano fue mayor en cinco genotips de trigo duro que en cindo genotipos de trigo harinero en tratamientos contrastantes de agua (temporal y riego en diferentes etapas) y nitrógeno (Marti y Slafer, 2014).
El riego complementario aumentó 74.4%, 42.3%, 36.1%, 33.7% y 24.5% el rendimiento de grano en Utique, Tahent, Nasr, Maâli y Salim, respectivamente, comparado con condiciones de riego (Figura 1F). Estos resultados son similares a los observados en el trigo harinero: 1) Sarwar et al. (2010) señalan que el rendimiento del trigo harinero aumentó con mayores niveles de riego: I5 aumentaron 124.8% el rendimiento de grano, seguido de I4 (113.8%), más de I1 tratamiento (I1=riego en la etapa de emisión de las raíces de la corona; I4=riego en las etapas de emisión de las raíces de la corona, amacollamiento, embuche y formacion de las espigas; I5=riego en las etapas de emisión de las raíces de la coron, amacollamiento, embuche, formación de las espigas y estadio de grano lechoso); 2) Mesbah (2009) reporta que el agua de riego (3809 m3 ha-1) aumentó el rendimiento de grano significativamente; 3) para el trigo duro, Guendouz et al. (2012) muestran una diferencia de 12.42% en el rendimiento de grano en condiciones de estrés (temporal) y sin estrés (riego).
Johari-Pireivatlou y Maralian (2011) muestran que el rendimiento de grano en 10 cultivares de trigo harinero, con base en el valor promedio de todos los cultivares, disminuyó 39% con estrés hídrico comparado con el testigo. En T. aestivum, Liu y Li (2005) señalan que el estrés severo por sequía (condiciones de temporal) redujo 13% el rendimiento de grano, comparado con el tratamiento con buen riego.
Según Maralian et al. (2010), si el estrés hídrico ocurre en las etapas de amacollamiento o espigamiento del trigo harinero, el rendimiento disminuyen más de 37%. La sequía y temperaturas altas durante el antesis reducen la capacidad de almacenamiento de los granos de cereales al reducir el número de células del endospermo o de amiloplastos initciados (Jones et al., 1996), y pueden reducir el tamaño final de la semilla al limitar la tasa y duración del proceso de llenado, causando madurez fisiológica prematura (Gupta et al., 2001).
Una reducción de NE, NSE y NP disminuyó el rendimiento de grano (Cuadro 3), el cual mostró una correlación significativa positiva con NE (r=0.376*) y NSE (r=0.604**), lo que corrobora los resultados de Johari-Pireivatlou y Maralian (2011), quienes reportan que el rendimiento se correlacionó positiva y significativamente con las espigas por metro cuadrado, granos por espiga y el paso de 1000 granos en 10 variedades de trigo harinero. NSE también se correlacionó (r=0.36) positivemente con el rendimiento de grano ha-1.
Cuadro 3 Coeficientes de correlación de Pearson entre rasgos en variedades de trigo. Siliana, Túnez (2012-2013).

* p≤0.05; ** p≤0.01.
Simane et al. (1993) señalan que los granos por espiga tuvieron efectos significativos, positivos y directos en el rendimiento de grano bajo estrés por humedad, así como bajo condiciones de buen riego. El número de espigas por metro cuadrado es responsable de las regulaciones ordinarias determinadas por los factores ambientales, mientras que el número de granos por espiga es responsable de las regulaciones ordinarias causadas por las diferencias genotípicas (Slafer et al., 2014). Nuestros resultados (Cuadro 3) mostraron que NSE y NP contribuyeron más que otros caracteres a mejorar el rendimiento total. El rendimiento depende de la longitud de la espiga, el peso de 1000 semillas y el número de amacollos efectivos (Bayoumi et al., 2008).
El rendimiento de plantas se explica por el número de granos por planta, mientras que el peso promedio de los granos es menos importante al momento de determinar el rendimiento (Pedro et al., 2012). El número de granos parece ser más importante en respuesta a diferencias grandes en condiciones de rendimiento que el peso de granos (Slafer et al., 2014).
La habilidad de los cultivares de rendir bien en condiciones de estrés por sequía es fundamental para la estabilidad de la producción de rendimiento. El desempeño del rendimiento relativo de los cultivares en condiciones de estrés por sequía y sin estrés puede usarse como un marcador para reconocer cultivares resistentes a la sequía en el mejoramiento por ambientes propensos a la sequía. Varios índices de sequía se propusieron con base en un vínculo matemático entre rendimiento bajo condiciones de sequía y condiciones de sin estrés. Estos índices se basan en la resistencia o la susceptibilidad a la sequía de los cultivares (Raman et al., 2012).
Con base en el rendimiento bajo condiciones de riego y de temporal, se calcularon los índices de tolerancia a la sequía (STI, SSI, TOL y MP) (Cuadro 4). STI varió en diferentes variedades, que van de 0.47 en Salim, a 1.10 en Nasr. Nasrhad presentó el STI más alto y el rendimiento más alto bajo condiciones de sequía y control (Figura 1F). Ashraf et al. (2015) reportan que el STI es un medio útil para determinar un rendimiento y potencial de tolerancia al estrés altos para el trigo harinero.
Cuadro 4 Índices de tolerancia a la sequía y susceptibilidad para variedades de trigo estudiadas en condiciones de riego y sin riego. Siliana, Túnez (2012-2013).

STI: índice de tolerancia al estrés, TOL: tolerancia al estrés, SSI: índice de susceptibilidad al estrés, MP: productividad promedio. Valores con letras diferentes en una columna son estadísticamente diferentes (Tukey, p≤0.05).
Utique obtuvo el TOL más alto (Cuadro 4), lo que indica que tiene una gran reducción en rendimiento bajo condiciones de sequía y, así, mayor sensibilidad a la sequía. Estos resultados concuerdan con los obtenidos por Nouri et al. (2011), quienes encontraron que un genotipo de trigo duro, G4, tenía un valor mayor de TOL, lo que indicaba una mayor sensibilidad a la sequía y una mayor reducción de rendimiento bajo condiciones de temporal.
Todos los rasgos morfológicos evaluados en este estudio (NP, NT, NE, NSE y TKW ) y los diferentes índices (STI, TOL, SSI y MP ) podrían explicar algunos mecanismos relacionados con la tolerancia a la sequía y serían útiles en programas de mejoramiento para la evaluación y la selección de variedades tolerantes a la sequía. Entre Y s y Y p con STI y MP hubo una correlación positiva y significativa (Cuadro 5). Por ende, STI y MP pueden ser adecuados para seleccionar variedades de trigos duros y harineros.
Cuadro 5 Coeficientes de correlación de Pearson entre índices de tolerancia a la sequía. Siliana, Túnez (2012-2013).

* p≤0.05; ** highly significant p≤0.01.
Y s : rendimiento promedio de todas las variedades en estrés, Y p : rendimiento promedio de todas las variedades en condiciones sin estrés, SSI: índice de susceptiblidad al estrés, STI: índice de tolerancia al estrés, MP: productividad promedio, TOL: tolerancia al estrés.
Conclusiones
El riego complementario aumenta la mayoría de los caracteres relacionados con el rendimiento, así como el rendimiento de grano de los trigos rudo y harinero. Las respuestas diferenciales de diversas variedades al estrés hídrico apuntan a la habilidad de tolerancia a la sequía del trigo. Con base en su correlación positiva y significativa con Y s y Y p , tanto STI y PM son los índices más adecuados para seleccionar genotipos de trigo en condiciones de estrés por sequía. En los índices estudiados, Salim fue el genotipo más susceptible a la sequía, mientras que Nasr fue el más tolerante a la sequía. Por lo tanto, Nasr es adeucado para cultivarse en regiones semiáridas
Literature Cited
Abayomi Y. A., D. Wright 1999. Osmotic potential and temperature effects on germination of spring wheat genotypes (Triticum aestivum L.) Trop. Agric. (Trinidad). 76: 114-119. [ Links ]
Akram, M. 2011. Growth and yield components of wheat under water stress of different growth stages. Bangladesh J. Agric. Res. 36: 455-468. [ Links ]
Ashraf, A. A. E. M., M. A. Abd El-Shafi, E. M. S. Gheith, and H. S. Suleiman. 2015. Using different statistical procedures for evaluating drought tolerance indices of bread wheat genotypes. Adv. Agric. Biol. 4: 19-30. [ Links ]
Bauder J. 2001. Irrigation with Limited Water Supplies. Montana State University, Communications Services. Montana Hall. Bozeman, MT 59717 USA. [ Links ]
Bayoumi T. Y., M. H. Eid, and E. M. Metwali. 2008. Application of physiological and biochemical indices as a screening technique for drought tolerance in wheat genotypes. African J. Biotech. 7: 2341-2352. [ Links ]
Belhouchette H., M. Blanco, J. Wery, and G. Flichman. 2012. Sustainability of irrigated farming systems in a Tunisian region: A recursive stochastic programming analysis. Computers Electron. Agric. 86: 100-110. [ Links ]
Belkacem-Hanfi N., N. Semmar, I. Perraud-Gaime, A. Guesmi, M. Cherni, I. Cherif, A. Boudabous, and S. Roussos. 2013. Spatio-temporal analysis of post-harvest moulds genera distribution on stored durum wheat cultivated in Tunisia. J. Stored Prod. Res. 55: 116-123. [ Links ]
Bergaoui, M., and M. H. Louati. 2010. Drought effects on reservoirs inflows in Tunisia: Case of Lakhmess and Siliana reservoirs. In: López-Francos A. (comp), López-Francos A . (collab). Economics of Drought and Drought Preparedness in a Climate Change Context. Zaragoza: CIHEAM / FAO / ICARDA /GDAR / CEIGRAM / MARM p: 75-78. [ Links ]
Bürling K., G. Cerovic Zoran, G. Cornic, J. M. Ducruet, G. Noga, and M. Hunsche. 2013. Fluorescence-based sensing of drought-induced stress in the vegetative phase of four contrasting wheat genotypes. Environ. Exp. Bot. 89: 51-59. [ Links ]
Chen, X., D. Min, T.Ahmad Yasir, and Y. G. Hu. 2012. Evaluation of 14 morphological, yield-related and physiological traits as indicators of drought tolerance in Chinese winter bread wheat revealed by analysis of the membership function value of drought tolerance (MFVD). Field Crop Res. 137: 195-201. [ Links ]
Chmielewski, F., and W. Köhn. 2000. Impact of weather on yield components of winter rye over 30 years. Agr. For. Meteorol. 102: 253-261. [ Links ]
Cossani C. M., A. G. Slafer, and R. Savin. 2011. Do barley and wheat (bread and durum) differ in grain weight stability through seasons and water-nitrogen treatments in a Mediterranean location? Field Crop Res . 121: 240-247. [ Links ]
Dadbakhsh A., A. Yazdansepas, and M. Ahmadizadeh. 2012. Influence of water deficit on yield and some quantitative traits in wheat genotypes. Curr. Res. J. Biol. Sci. 4: 75-81. [ Links ]
De Leonardis A. M., D. Marone, E. Mazzucotelli, F. Neffar, F. Rizza, N. Di Fonzo, L. Cattivelli, and A. M. Mastrangelo. 2007. Durum wheat genes up-regulated in the early phases of cold stress modulated by drought in a developmental and genotype dependent manner. Plant Sci. 172: 1005-1016 [ Links ]
Del Pozo A., I. Matus, M. D. Serret, and J. L. Araus. 2014. Agronomic and physiological traits associated with breeding advances of wheat under high-productive Mediterranean conditions. The case of Chile. Environ. Exp. Bot . 103: 180-189. [ Links ]
Fernandez, G. C. J. 1992. Effective selection criteria for assessing plant stress tolerance. In: Proceedings of International Symposium on Adaptation of Vegetative and Other Food Crops in Temperature and Water Stress. 1992. Taiwan 13: 257-270. [ Links ]
Fischer, R.A., and R. Maurer. 1978. Drought resistance in spring wheat cultivars. I. Grain yield response. Aust. J. Agric. Res. 29: 897-907. [ Links ]
Grzesiak, M. T., P. Waligorski, F. Janowiak, I. Marcinska, K. Hura, P. Szczyrek, and T. Głab. 2013. The relations between drought susceptibility index based on grain yield (DSIGY) and key physiological seedling traits in maize and triticale genotypes. Acta Physiol. Plant 35: 549-565. [ Links ]
Guendouz, A., S. Guessoum, K. Maamari, and M. Hafsi. 2012. The effect of supplementary irrigation on grain yield, yield components and some morphological traits of durum wheat (Triticum durum Desf.) cultivars. Adv. Environ. Biol. 6(2): 564-572. [ Links ]
Guendouz, A ., M. Hafsi, Z. Khebbat, L. Moumeni, and A. Achiri. 2014. Evaluation of grain yield, 1000 kernels weight and chlorophyll content as indicators for drought tolerance in durum wheat (Triticum durum Desf.). Adv. Agric. Biol . 1 (2): 89-92. [ Links ]
Gupta, N. K., S. Gupta, and A. Kumar, 2001. Effect of water stress on physiological attributes and their relationship with growth and yield of wheat cultivars at different stages. J. Agron. Crop Sci. 186: 55-62. [ Links ]
Gusta, L. V. and T. H. H. Chen. 1987. The physiology of water and temperature stress. In: Heyne, E. G. (ed). Wheat and Wheat Improvement. USA, pp: 115-150. [ Links ]
Hakoomat, A., I. Nadeem, A. Shakeel, S. Ahmad Naeem, and S. Naeem. 2013. Performance of late sown wheat crop under different planting geometries and irrigation regimes in arid climate. Soil Tillage Res. 130: 109-119. [ Links ]
He, Z., A. K. Joshi, and W. Zhang. 2013. Understanding and Addressing Threats to Essential Resources. In: Scott A. Elias. Reference Module in Earth Systems and Environmental Sciences, from Climate Vulnerability. Elsevier ,Vol. 2, pp: 57-67. [ Links ]
Jemai, I., N. Ben Aissa, S. Ben Guirat, M. Ben-Hammouda, and T. Gallali. 2013. Impact of three and seven years of no-tillage on the soil water storage, in the plant root zone, under a dry subhumid Tunisian climate. Soil Tillage Res . 126: 26-33. [ Links ]
Johari-Pireivatlou, M., and H. Maralian. 2011. Evaluation of 10 wheat cultivars under water stress at Moghan (Iran) condition. Afr. J. Biotechnol. 10: 10900-10905. [ Links ]
Jones, R. J., B. M. N. Schreiber, and J. A. Roessler. 1996. Kernel sink capacity in maize: genotype and maternal regulation. Crop Sci. 36: 301-306. [ Links ]
Karrou, M., and T. Oweis. 2012. Water and land productivities of wheat and food legumes with deficit supplemental irrigation in a Mediterranean environment. Agr. Water Manage. 107: 94-103. [ Links ]
Khayatnezhad, M., R. Gholamin, S. H. Jamaatie-Somarin , and R. Zabihi-Mahmoodabad. 2010. Effects of PEG stress on corn cultivars (Zea mays L.) at germination stage. World Appl. Sci. J. 11: 504-506. [ Links ]
Khayatnezhad, M ., R. Gholamin, S. H. Jamaati-e-Somarin, and R. Zabihie Mahmoodabad. 2011. The leaf chlorophyll content and stress resistance relationship considering in corn cultivars (Zea mays) Adv. Environ. Biol . 5: 118-122. [ Links ]
Kiliç, H., and T. Yagbasanlar. 2010. The effect of drought stress on grain yield, yield components and some quality traits of durum wheat (Triticum turgidum ssp. durum) cultivars. Not. Bot. Hort. Agrobot. Cluj 38: 164-170. [ Links ]
Leilah, A. A., and S.A. Al-Khateeb. 2005. Statistical analysis of wheat yield under drought conditions. J. Arid Environ. 61: 483-496. [ Links ]
Li, Y.F., Y. Wu, N. Hernandez-Espinosa, and J. R. Peña. 2013. Heat and drought stress on durum wheat: Responses of genotypes, yield, and quality parameters. J. Cereal Sci. 57: 398-404. [ Links ]
Liu, H. S., and F. M. Li. 2005. Root respiration, photosynthesis and grain yield of two spring wheat in response to soil drying. Plant Growth Regul. 46: 233-240. [ Links ]
Maralian, H., A. Ebadi, R. Didar, and B. Haji-Eghrari. 2010. Influence of water deficit stress on wheat grain yield and proline accumulation rate. Afr. J. Agric. Res. 5: 286-289. [ Links ]
Marano, P. R., R. L. Maumary, L. N. Fernandez, and L. M. Rista. 2012. Epidemiology of the diseases of wheat under different strategies of supplementary irrigation. Int. J. Agron. Article ID 407365: 11 p. [ Links ]
Marti, J., and G. A. Slafer. 2014. Bread and durum wheat yields under a wide range of environmental conditions. Field Crop Res . 156: 258-271. [ Links ]
Mesbah, E. A. E. 2009. Effect of irrigation and foliar spraying of potassium on yield, yield components and water use efficiency of wheat (Triticum aestivum L.) in sandy soils. World J. Agric. Sci. 5: 662-669. [ Links ]
Mitra, J. 2001. Genetics and genetic improvement of drought resistance in crop plants. Curr. Sci. 80: 758-762. [ Links ]
Nouri, A., A. Etminan, J. A. Teixeira da Silva, and R. Mohammad. 2011. Assessment of yield, yield-related traits and drought tolerance of durum wheat genotypes (Triticum turgidum var. durum Desf.). Aust. J. Crop Sci. 5: 8-16. [ Links ]
Oweis, T., and A. Hachum. 2006. Water harvesting and supplemental irrigation for improved water productivity of dry farming systems in West Asia and North Africa. Agric. Water Managem. 80: 57-73. [ Links ]
Pedro, A., R. Savina, and G.A. Slafer. 2012. Crop productivity as related to single-plant traits at key phenological stages in durum wheat. Field Crop Res . 138: 42-51. [ Links ]
Pedro, A., R. Savin, M. A. J. Parry, and G. A. Slafer. 2012. Selection for high grain number per unit stem length through four generations from mutants in a durum wheat population to increase yields of individual plants and crops. Field Crop Res . 129: 59-70. [ Links ]
Raman, A., B. Verulkar Satish, P. Mandal Nimai, M. Variar, V. D. Shukla, J. L. Dwivedi, B. N. Singh, O. N. Singh, P. Swain, K. Mall Ashutosh, S. Robin, R. Chandrababu, A. Jain, T. Ram, S. Hittalmani, S. Haefele, H. P. Piepho, and A. Kumar. 2012. Drought yield index to select high yielding rice lines under different drought stress severities. Rice J. 5: 31. [ Links ]
Richards, R. A. 2006. Physiological traits used in the breeding of new cultivars for water-scarce environments. Agric. Water Manage. 80: 197-211. [ Links ]
Rosielle, A. A., J. Hamblin . 1981. Theoretical aspects of selection for yield in stress and non stress environments. Crop Sci . 21: 943- 946. [ Links ]
Saint Pierre, C., J. L. Crossa. D. Bonnett, K. Yamaguchi-Shinozaki , and P. M. Reynolds. 2012. Phenotyping transgenic wheat for drought resistance. J. Exp. Bot. 63: 1799-1808. [ Links ]
Sarwar, N., M. Maqsood, K. Mubeen, M. Shehzad, M. S. Bhullar, R. Qamar, and N. Akbar. 2010. Effect of different levels of irrigation on yield and yield components of wheat cultivars. Pak. J. Agri. Sci. 47: 371-374. [ Links ]
Semenov, M. A., P. Stratonovitch, F. Alghabari, and M. J. Gooding. 2014. Adapting wheat in Europe for climate change. J. Cereal Sci . 59: 245-256. [ Links ]
Simane, B., P. C. Struik, M. M. Nachit, and J. M. Peacock. 1993. Ontogenetic analysis of yield components and yield stability of durum wheat in water-limited environments. Euphytica 71: 211-219. [ Links ]
Slafer, G. A., R. Savin, and V. O. Sadras. 2014. Coarse and fine regulation of wheat yield components in response to genotype and environment. Field Crop Res. 157: 71-83. [ Links ]
Zaied, C., N. Zouaoui, H. Bacha, and S. Abid. 2012. Natural occurrence of zearalenone in Tunisian wheat grains. Food Control 25: 773-777. [ Links ]
Wang, J., C. Xu, S. Gao, and P. Wang. 2013. Effect of water amounts applied with drip irrigation on water consumption characteristics and yield of spring wheat in Xinjiang. Adv. J. Food Sci. Technol. 5: 1180-1185. [ Links ]
Recibido: Mayo de 2015; Aprobado: Noviembre de 2015










texto en 


