Introducción
México ocupa el segundo lugar mundial, después de China, como productor de una amplia variedad de especies de chile (Jaramillo-Flores et al., 2010) con producción anual de 2.29 mil Mg en 2013 (FAOSTAT, 2013). El chile picante (Capsicum spp.) es un aditivo popular en varios lugares del mundo, es valorado por sus atributos sensoriales, como el color, la pungencia y el aroma. El chile habanero (Capsicum chinense) es uno de los más demandados y se cultiva en la Península de Yucatán (Yucatán, Campeche y Quintana Roo, México). Esta región contribuye con más de la mitad de la producción nacional de chile (SIAP, 2013) y tiene la denominación de origen reciente (IMPI, 2010). El fruto del chile habanero se consume fresco y deshidratado (chile en polvo), es materia prima para extraer oleorresinas (capsaicinoides), pero el uso principal es para producir purés o pastas. Éstos se usan para preparar salsas habaneras para el mercado nacional e internacional (Ruiz et al., 2011). La elaboración de salsas de chile consiste en la selección y desinfección del fruto, reducción del tamaño de partícula (trituración) y adición de agentes estabilizantes, saborizantes y conservadores.
Las salsas son emulsiones multifase complejas de partículas sólidas pequeñas y deformables que están dispersas en una fase continua acuosa (Sikora et al., 2003). Las emulsiones son dispersiones termodinámicamente inestables de un líquido inmiscible en otro, y una de las fases líquida se dispersa en la otra en forma de gotas pequeñas (Desplanques et al., 2012). Entre los fenómenos físicos que ayudan a caracterizarlas están los relacionados con fuerzas gravitacionales, electrostáticas, estéricas, Van der Waals y otras que afectan el tamaño, distribución y disposición espacial de las partículas dispersas, y pueden desestabilizar el sistema (separación de fases). Para controlar y mejorar su estabilidad física es conveniente conocer los efectos de las fuerzas de interacción entre las partículas y el medio dispersante (Tadros, 2009).
Los aditivos en los alimentos, como los hidrocoloides, participan en la conservación de la calidad sensorial del producto, principalmente en la consistencia, y mejoran su estabilidad física en el tiempo (Sikora et al., 2008; Gamonpilas et al., 2011). La estructura, distribución y arreglo de los compuestos que conforman las emulsiones alimenticias (azúcares, colorantes, sales, conservadores, y otros), determinan en gran medida la afinidad química y energía libre del sistema. Los aditivos, como los derivados de celulosa y las gomas, se han estudiado en el mejoramiento de las propiedades reológicas de sistemas mixtos (Dipjyoti y Suvendu, 2010; Hesarinejad et al., 2014). Las gomas son polisacáridos que en concentraciones bajas forman dispersiones viscosas o geles. Entre ellas, las gomas guar (GG) y xantana (GX) se usan en la industria alimentaria porque son espesantes y estabilizadoras, pero también son gelificantes. La GG se obtiene del endospermo de la semilla de la planta guar, es un polisacárido no iónico soluble en agua, que en su molécula tiene un segmento central lineal de unidades de D-manosa, con enlaces β (1,4), conectadas a unidades de D-galactosa, con enlaces α (1,6) en proporciones 2:1 (Chenlo et al., 2010). El hidrocoloide de esta goma es relativamente estable en pH 2.0 a 3.5 y temperaturas altas (Wang et al., 2000). La GX es una cadena lineal de D-glucosa con enlaces de β (14), residuos de glucosa en C3 se encuentran alternados con cadenas laterales de un trisacárido con carga que contiene un residuo de ácido glucurónico entre dos unidades de manosa. La conformación ordenada de cadenas rígidas de esta molécula le permite formar soluciones más viscosas que otras gomas, como carragenina, en concentraciones similares (Marcotte et al., 2001). Las propiedades reológicas son útiles para predecir la estabilidad física de un producto alimentario. El comportamiento reológico de las salsas de chile se considera pseudoplástico, pero los hidrocoloides permiten mejorar esta característica (Martínez-Padilla y Rivera-Vargas, 2006; Gamonpilas et al., 2011).
Las salsas de chile se clasifican como productos acidificados con actividad alta de agua y deben someterse a un tratamiento térmico para asegurar la calidad para exportación. En México la comercialización nacional de la mayoría de las salsas de chile habanero utiliza sólo conservadores químicos como medida de inocuidad del producto. La aplicación de tratamientos térmicos como método para mejorar la vida útil del producto, es una alternativa para disminuir el pardeamiento (inactivación de polifenoloxidasas) y no aplicar aditivos químicos. Una desventaja son probables cambios estructurales de los componentes del sistema que provoquen inestabilidad física y separación de fases (FDA, 2010).
El objetivo de este estudio fue determinar el efecto del tratamiento térmico en las características reológicos (flujo y viscoelasticidad) de salsas de chile habanero (Capsicum chinense), elaboradas con pasta comercial de chile adicionadas con GG y GX.
Materiales y métodos
Elaboración de salsas
Las salsas se elaboraron con pasta de chile habanero comercial (Marca PAPIK, INDUSTRIA AGRÍCOLA MAYA, S.A. de C.V.; mezcla de chile habanero triturado, tamaño de partícula de 500 mm, con ácido acético y sal), agua (1:1; testigo) y 0.2, 0.5, y 0.7 % de GG o GX. Las mezclas se agitaron a 3000 rpm, con un homegeinizador (IKA, T18; Alemania, con un dispersor 18N19G), por unos 2 min. Los compuestos químicos usados fueron grado reactivo (Sigma Aldrich Inc; EE.UU.).
Las salsas preparadas (50 mg) se colocaron en bolsas (48.0x14.5 cm) resistentes a temperaturas extremas y presiones altas (pouch), se sellaron a 1.6 s 40 %-1 vacío (Koch Equipment, UV250; EE.UU., 2009), se calentaron 15 min a 121 °C en una autoclave vertical (ECOSHEL, CVQ-B50L; EE.UU.) y se almacenaron 24 h a 25 °C, antes de analizarse. Todas las muestras se preparon por duplicado.
Determinaciones analíticas
La caracterización física y química parcial de la pasta de chile y de las salsas antes y después del tratamiento térmico incluyó: pH de acuerdo con la norma NMX-F-317-S-1978 y con un potenciómetro (Hanna Instruments, HI3222; EE.UU.); sólidos solubles totales de acuerdo con la norma NMX-FF-015-1982 y con un refractómetro (Atago, NAR-1Tliquid; Japón); y contenido de humedad con el método rápido descrito en la norma NMX-F-428-1982 y con una termobalanza (Ohaus, B45; EE.UU.).
Determinaciones reológicas
Las propiedades reológicas de las salsas se determinaron con un reómetro de esfuerzo controlado (TA Instruments, DHR2; EE.UU.) y la geometría de plato paralelo (40 mm de diámetro) con espacio (gap) de 1050 μm. El flujo se evaluó con las curvas de flujo en función de la velocidad de deformación (0.2 a 200 s-1), esfuerzo de corte y viscosidad. Los datos experimentales se ajustaron a la expresión matemática del modelo de Carreu (Carreau, 1972), que describe el comportamiento pseudoplástico de polímeros de forma más realista que la ley de potencia, ya que se adapta mejor a un intervalo amplio de velocidades de deformación. La determinación del modelo de mejor ajuste a las curvas de flujo se realizó con el programa del equipo (Trios 3.2.0 3877, Discovery HR TA instrument) con R2=0.999.
donde η 0 es la viscosidad constante a velocidades de deformación muy pequeñas (cercanas al reposo), η ∞ es la viscosidad newtoniana para valores altos de velocidad de deformación y c y b son la consistencia y el índice de velocidad de deformación.
Las propiedades viscoelásticas se evaluaron en la región viscoelástica lineal (RVL) determinada por ensayos de amplitud de deformación, incrementos logarítmicos (0.02 a 100 %) y frecuencia de 10 rad s-1. Los espectros mecánicos se obtuvieron con ensayos de barridos de frecuencia angular (0.1-100 rad s-1), deformación de 0.5 % mediante el análisis del módulo elástico (G’) y el módulo viscoso (G’’) en función de la frecuencia.
Análisis estadístico de los resultados
El diseño experimental fue factorial mixto de tres factores (goma, temperatura y concentración) con diferentes niveles. Los resultados se analizaron con ANDEVA y las medias se compararon con la prueba de Tukey (p≤0.05), con el programa estadístico Statgraphics Centurion XVI. I. versión 16.1.17 (StatPoint Technologies, 2011).
Resultados y discusión
Análisis de las propiedades fisicoquímicas
Las pastas de chile mostraron en promedio 84.3 % de humedad, 1.17 % de acidez titulable, 20 °Brix y pH 3.43. Las GG y GX y el tratamiento térmico no causaron cambios significativos en pH o sólidos solubles (3.4 y 20.0 °Brix). La humedad (h) de todas las salsas tendió a disminuir con las gomas (hpromedio=70.0 %) en comparación con el testigo (hpromedio =77.8 %), y fue significativamente menor en las salsas con 0.7 % de GX (hpromedio =68.0 %). Este comportamiento pudo deberse a la combinación de la concentración y cambios estructurales de GX. Un número mayor de cadenas de GX pudieron favorecer la interacción intramolecular (formación de red) e interacciones electrostáticas entre las moléculas polares del agua y el polielectrolito que permitieron retener agua y disminuir la humedad global del sistema.
Propiedades de flujo
Todas las muestras tuvieron comportamiento no newtoniano pseudoplástico, una característica común en emulsiones, suspensiones, o dispersiones, en las que la viscosidad se reduce con el aumento de la velocidad de deformación (Figura 1). Con las gomas el comportamiento pseudoplástico fue prominente. El índice de consistencia de las salsas después del tratamiento térmico disminuyó significativamente solo en salsas con 0.2 y 0.5 % de GG. La viscosidad de las salsas aumentó con la concentración de la goma (h0 0.2 %<h0 0.5 %<h0 0.7 %) (Cuadro 1). En las salsas con GG y tratamiento térmico la viscosidad disminuyó; en contraste, en aquellas con GX los valores aumentaron significativamente. Las condiciones ambientales y las interacciones del hidrocoloide con otras moléculas (agua, sólidos solubles y sales) pueden afectar el comportamiento viscoso de la matriz. Opuesto al caso de las salsas con GX, el tratamiento térmico en salsas con GG pudo debilitar las interacciones entre el medio y la goma o la estructura de las partículas dipersas, lo que disminuyó la viscosidad.

Figura 1 Curvas de flujo de salsas de chile habanero, con 0.2, 0.5 y 0.7 % de gomas y tratamiento térmico.
Cuadro 1 Parámetros reológicos obtenidos de las curvas ajustadas al modelo de Carreau de flujo de salsas adicionadas con gomas.†
| Goma | (%) | Sin tratamiento térmico | Con tratamiento térmico | ||||
| η 0 | C | b | η 0 | C | b | ||
| (Pa.s) | (s) | (Pa.s) | (s) | ||||
| Guar | 0.2 | 128a | 4.1a | 0.21a | 100a | 2.6a | 0.16a |
| 0.5 | 297b | 9.4b | 0.23a | 159b | 5.3b | 0.23b | |
| 0.7 | 371c | 9.7b | 0.22a | 319c | 11.8c | 0.25b | |
| Xantana | 0.2 | 79d | 2.5c | 0.25a | 103d | 2.8d | 0.18b |
| 0.5 | 202e | 5.9d | 0.26a | 253e | 6.1e | 0.18b | |
| 0.7 | 254f | 6.0e | 0.21c | 319f | 11.8f | 0.25c | |
†Valores con diferente letra en una columna para una de las gomas fueron estadísticamente diferentes (Tukey p≤0.05). η 0=viscosidad constante; c=consistencia; b=índice de velocidad de deformación.
La viscosidad en emulsiones con GG o GX calentadas dependió de GX (Desplanques et al., 2012). Naji et al. (2012) obtuvieron resultados opuestos y observaron que dispersiones de GX, aclentadas a 121 °C por 15 min, disminuyeron significativamente la viscosidad y estudiaron la goma sin considerar la interacción de otros componentes, como las sales. Las salsas, debido al número de componentes como sal, partículas vegetales, agua, goma u otros, son sistemas más complejos que una solución binaria. La GX, además de tener un peso molecular mayor que GG, tiene naturaleza de polielectrolito aniónico, por lo que el comportamiento reológico puede afectarse por la presencia de sales en las pastas de chile. El cloruro de sodio o potasio en soluciones de goma xantana ayuda a mantener la estructura ordenada y aumenta la estabilidad térmica (Katzbauer, 1998). La inestabilidad del sistema formado con GG pudo deberse al aumento de temperatura y disminución del pH (disociación mayor de iones H+ por calor). Ambos factores extrínsecos, en niveles altos, pueden afectar la velocidad de hidratación de la goma, y disminuir la viscosidad (Carlson y Ziegenfuss, 1965; BeMiller y Whistler, 1996; Srichamroen, 2007).
Propiedades viscoelásticas
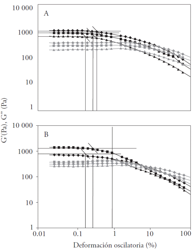
Los módulos dinámicos de almacenamiento (G’) y pérdida (G”), la región viscoelástica y la deformación crítica (punto en el que los módulos dinámicos dejan de ser constantes) representados por las líneas horizontales en una deformación dada (líneas verticales), aumentaron en las salsas con GG en relación con el incremento de la concentración (0.2 % <0.5 % < 0.7 %). Pero, en las salsas con GX las diferencias ocurrieron únicamente entre la menor y las concentraciones mayores; al parecer la concentración menor no impactó las propiedades viscoelásticas (Figuras 2A y 3A). La pérdida de la linealidad en presencia de GX ocurrió en deformaciones mayores (g≤1), y la caída de los módulos dinámicos fue más drástica en comparación con las muestras con GG. Este comportamiento pudo deberse a que la estructura del sistema formado con GG estuvo más alterada o que el reordenamiento estructural fue mayor (Figuras 2B y 3B).

Figura 2 Módulo elástico (G’, símbolos obscuros) y módulo viscoso (G’’, símbolos gríses) como función de la deformación (γ) de salsas de chile habanero adicionadas con 0.2 (▲), 0.5 (■) y 0.7 % (♦) de goma guar sin tratamiento térmico (A) y con él (B).
Barridos de frecuencia
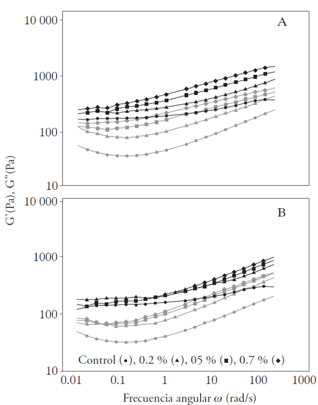
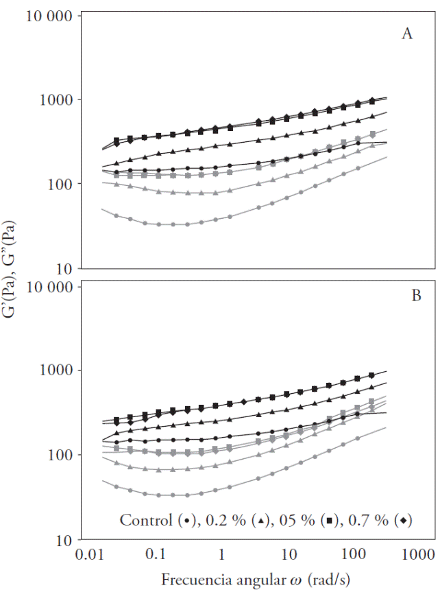
En todas las muestras la respuesta elástica predominó sobre el carácter viscoso durante el intervalo de frecuencias estudiado (G’G”). Los módulos dinámicos (G’ y G”) de las salsas adicionadas con gomas, incrementaron significativamente con el aumento de la frecuencia en comparación con la muestra testigo (Figuras 4 y 5). Este comportamiento indicó la formación de una red de tipo gel débil poco estructurado, típico de sistemas dispersos viscoelásticos. La pendiente positiva de las líneas de comportamiento mostró la contribución de la fase sólida en la estructura del sistema, sin llegar a la formación de red tridimensional (Rao, 2013).

Figura 4 Modulo elástico (G’) y de almacenamiento (G”) en función de la frecuencia angular de salsas de chile habanero con concentraciones diferentes de goma guar sin tratamiento térmico (A) y con él (B).

Figura 5 Modulo elástico y de almacenamiento en función de la frecuencia angular de salsas de chile habanero con concentraciones diferentes de de goama xanta sin tratamiento térmico (A) y con él (B).
Los módulos dinámicos (G’, G”) de las salsas con GG incrementaron con la concentración (G’, G”0.2 % < G’, G”0.5 % < G’, G”0.7 %), pero para salsas con GX no hubo diferencias significativas entre 0.5 y 0.7 % (G’, G”0.2 %< G’, G”0.5 %=G’, G”0.7 %). Esto pudo deberse a la concentración mayor de GX (0.7 %), la interacción molecular y que la fuerza iónica favoreció a las fuerzas repulsivas o al apantallamiento de cargas, lo que disminuyó la asociación polimérica e impidió la formación de una red estructurada y rígida. La concentración crítica efectiva observada para GX fue menor que para GG (0.5 %), pues no hubo significancia en el flujo y viscoelasticidad a concentraciones mayores.
Los valores G’ y G” de todos los tratamientos disminuyeron ligeramente con el tratamiento térmico; pero para salsas con GG la separación entre G’ y G” fue mayor que con GX (Figura 4B y 5B). Esto pudo deberse a la degradación de la estructura de la GG por la temperatura, que afectó las interacciones moleculares con el medio acuoso y entre sus propias cadenas. En las moléculas de la GX la temperatura favoreció la velocidad de hidratación y, por tanto, la formación de una red estable (Sworn, 2000).
Las propiedades reológicas de las salsas de chile habanero mejoraron con las tres concentraciones de las gomas. Además, la temperatura afectó positivamente la salsa con GX, pues mejoró la viscosidad y los módulos dinámicos (elástico y pérdida) en comparación con GG.
Conclusiones
Las gomas (xantana o guar) adicionadas a salsas de chile habanero mejoran el comportamiento reológico. La GX puede utilizarse como aditivo en la industria alimentaria en salsas que se someterán a tratamiento térmico, porque en concentraciones bajas sus características espesantes y asociación iónica (en presencia de sales) son térmicamente estables.



![Ocurrencia de micotoxinas en alfalfa (Medicago sativa L.), sorgo [Sorghum bicolor (L.) Moench] y zacate (Cenchrus ciliaris L.) en venta al menudeo en el estado de Nuevo León, México](/img/es/prev.gif)






texto en 



