Servicios Personalizados
Revista
Articulo
Indicadores
-
Citado por SciELO -
Accesos
Links relacionados
-
Similares en
SciELO
Compartir
Agrociencia
versión On-line ISSN 2521-9766versión impresa ISSN 1405-3195
Agrociencia vol.49 no.6 Texcoco ago./sep. 2015
Socioeconomía
Capacidad de almacenes y demanda de almacenamiento de maíz (Zea mays L.) en el estado de Chiapas, México
Warehouse capacity and maize (Zea mays L.) storage demand in the state of Chiapas, Mexico
Alejandro Martínez-Jiménez, José A. García-Salazar*, José S. Mora-Flores
Economía, Colegio de Postgraduados. 56230. Carretera México-Texcoco Km. 36.5, Montecillo, Texcoco, Estado de México. *Autor responsable (jsalazar@colpos.mx).
Recibido: agosto, 2014.
Aprobado: junio, 2015.
Resumen
La estacionalidad de la producción de maíz (Zea mays L.) en el estado de Chiapas, México, y la uniformidad del consumo en el año determinan excesos de oferta temporales que disminuyen los precios al productor. Una política de almacenamiento podría evitar el problema de excesos de oferta, pero su implementación no es posible si la capacidad instalada de almacenes es insuficiente. Con el objetivo de determinar si la infraestructura en los almacenes permite satisfacer la demanda de almacenamiento requerido por un programa de inventarios, la solución se obtuvo de un modelo de equilibrio espacial e intertemporal en el mercado de maíz en Chiapas en el año 2012. Sólo en La Frailesca y en la región Istmo-Costa la capacidad instalada en almacenes es mayor a la demanda de almacenamiento. Los excesos de demanda de almacenamiento máximos en las regiones Centro y Fronteriza son 143 y 94 mil Mg en febrero, y las regiones Altos, Norte y Soconusco presentan 10 meses con máximos en febrero y julio. El almacenamiento es necesario para un manejo adecuado de la producción en el tiempo y sería necesaria la inversión en almacenes en las regiones donde los excesos de oferta causan una caída en los precios.
Palabras clave: Zea mays L., excesos de oferta, demanda de almacenamiento, modelo de equilibrio espacial e inter-temporal.
Abstract
The seasonality of maize production (Zea mays L.) in the state of Chiapas, Mexico, and the uniformity of consumption during the year determine temporary excess supply that cause a decrease in prices for producers. A storage policy could avoid the problem of excess supply, but its implementation is not possible if the installed capacity of warehouses is insufficient. With the objective of determining whether the infrastructure of warehouses allows satisfying the storage demand required for an inventory program, the solution to a spatial and inter-temporal equilibrium model was found for the maize market in Chiapas in the year 2012. Only in the regions of La Frailesca and Isthmus-Coast the capacity installed is greater than the storage demand. The demand excesses for maximum storage in the Center and Border regions are 143 and 94 thousand Mg in February, and the Highlands, North and Soconusco regions present 10 months with maximum amounts in February and July. Storage is necessary for an adequate management of production in time and investing in warehouses in regions where excess supply causes a fall in prices would be necessary.
Key words: Zea mays L., excess supply, storage demand, spatial and inter-temporal equilibrium model.
INTRODUCCIÓN
El maíz (Zea mays L.) es el cultivo más importante en Chiapas y en el 2012 la superficie cosechada de maíz fue 705 miles ha, esto es 80.4 % de la superficie cosechada total; además, la producción de maíz fue 1.45 millones Mg y generó 5537 millones de pesos (SIAP, 2014). En Chiapas el maíz es el ingrediente principal en la alimentación de la población humana, también en varias especies ganaderas, y es el insumo principal en las industrias de cereales, almidones y alimentos balanceados.
El Censo Agropecuario de 2007 reportó 335 mil unidades de producción dedicadas al cultivo de maíz en Chiapas (INEGI, 2007), para las cuales la actividad maicera es una fuente importante de ingresos. Una disminución en el ingreso de la unidad de producción perjudica al productor porque reduce su ingreso y la posibilidad de adquirir insumos. La variación en el ingreso podría provenir de variaciones en el rendimiento o en el precio del cereal. Condiciones climáticas adversas pueden reducir el rendimiento por hectárea y situaciones desfavorables en el mercado disminuirían el precio que recibe el productor; en ambos casos el ingreso es menor.
De acuerdo con la Asociación Nacional de Empresas Comercializadoras de Productores del Campo (ANEC, 2013), la problemática actual de los productores de granos del Sureste del país es la disminución anual del precio al productor de los principales granos cultivados en la región: maíz, sorgo (Sorghum vulgare Pers) y frijol (Phaseolus vulgaris L.). El precio de maíz pasó de 5000 $ Mg-1 en 2011 a sólo 3000 $ Mg-1 en 2013, esto es una reducción de 40 %, mientras que los insumos agrícolas (fertilizantes y semilla) crecieron 60 % (ANEC, 2013).
La variación en los precios es función de los cambios en la oferta y la demanda en el tiempo, la estacionalidad de la demanda es consecuencia de costumbres y tradiciones, mientras que los efectos del clima y la naturaleza biológica del cultivo determinan la estacionalidad de la producción de maíz. Debido a que el consumo del cereal es más uniforme en el tiempo que la producción, los excesos de oferta se presentan frecuentemente a través del año, los cuales reducen el precio del maíz. Por ejemplo, en los meses de producción mayor, como enero, febrero, marzo, abril y mayo de 2011, el precio al mayoreo del maíz en la central de abasto de Tuxtla Gutiérrez fue menor en 25.5, 25.5, 15.6, 9.0 y 9.0 %, respectivamente, al precio anual promedio (de 6 $ kg-1). Por el contrario, en meses de producción menor como septiembre, octubre y noviembre del mismo año el precio mensual de maíz fue mayor en 15 % al precio anual promedio (SNIIM, 2015).
Los excesos temporales de oferta se podrían eliminar con una política de almacenamiento y conservación del cereal. El almacenamiento es concentrar la producción en lugares seleccionados y la conservación implica proporcionar a los productos almacenados las condiciones necesarias para evitar daños por plagas, enfermedades o el medio ambiente, así como mermas, reducción en la calidad, o la pérdida total (Ayala-Garay y Carrera-Chávez, 2008). El almacenamiento de granos requiere entender los procesos físicos y biológicos al interior del grano, y buenas prácticas de administración (Hernández y Carballo, 2003). Un almacenamiento y conservación de granos adecuado requiere: 1) Controlar la temperatura y la humedad del grano al interior de la bodega para evitar proliferación de hongos y enfermedades que ocurren con excesos de calor y humedad; 2) mantener el grano lejos de insectos, pájaros y otras plagas que puedan causar daño físico; 3) usar bodegas secas, limpias y libres de plagas, donde se almacenen granos secos, enteros, sanos y sin impurezas. El objetivo es que el producto almacenado se mantenga fresco, seco y protegido de insectos, pájaros, hongos y roedores (Hernández y Carballo, 2003).
Las acciones de almacenamiento serían almacenar parte de la producción de los meses de alta oferta para crear un flujo de producto al mercado más uniforme en el tiempo. El almacenamiento podría ocurrir en los meses de bajos precios y aumentar el flujo del producto al mercado durante los meses de escasez con precios más altos (García-Salazar et al., 2011).
La concentración de maíz en almacenes tendría varios objetivos como el acopio para su movilización posterior en grandes volúmenes, que permitiría reducir el costo de transporte. Además, con el control y el manejo de los inventarios podría disminuir la participación de los intermediarios, evitando la caída de los precios al productor.
La posibilidad de implementar una política de almacenamiento en Chiapas genera entonces las siguientes preguntas ¿Cuál es la magnitud de la demanda de almacenamiento que requiere un manejo óptimo de los inventarios?, ¿cuál es la capacidad instalada de los almacenes agrícolas en la entidad? y ¿es esa capacidad suficiente para cubrir la demanda de almacenamiento?
Para responder la primera pregunta es necesario analizar aspectos relacionados con la logística de abasto y distribución del consumo y producción del grano en la entidad. La demanda por almacenamiento depende de: 1) la magnitud de la producción y si se concentra en un mes la demanda de almacenamiento es mayor, pero cuando la oferta es más uniforme en el tiempo, se consume y no hay necesidad de almacenar; 2) la existencia de transporte de la zona productora al mercado permite una movilización rápida del producto y reduce la necesidad de almacenamiento; 3) un consumo alto en la zona productora demanda más producción, disminuye el exceso de oferta temporal y por tanto del almacenamiento (García-Salazar et al., 2000). En Chiapas hay una marcada estacionalidad en la producción de maíz; en diciembre, enero y febrero se obtiene 66.9 % de la producción anual (SIAP, 2012), y la necesidad de almacenamiento es mayor que en los meses de producción mínima.
Para responder la segunda pregunta se usaron datos de la capacidad instalada de almacenes bajo techo y a la intemperie en los estados de México en el 2013 (ASERCA, 2013) (Cuadro 1): 1) Una concentración de almacenes en los estados del Noroeste y Noreste, y su capacidad instalada fue 49.9 % en Sinaloa, Sonora y Tamaulipas; 2) los estados de Oaxaca y Guerrero tienen sólo 0.2 % de dichos almacenes. En Chiapas la capacidad para almacenar bajo techo fue 333 mil Mg de granos y semillas oleaginosas, lo cual es 1.2 % de la capacidad nacional en 2013, pero la producción de maíz en enero de ese año fue mayor a 400 mil Mg. Esto indica que en Chiapas la infraestructura de almacenamiento sería insuficiente para almacenar los excesos de oferta generados en la cosecha; además, se cosechan otros productos que se pueden almacenar, lo cual aumenta la demanda por almacenamiento.

La existencia de infraestructura de almacenamiento suficiente es importante porque la seguridad alimentaria solo se puede obtener con una red de infraestructura de almacenamiento, y una red de vías de comunicación para el acceso a todas las zonas productoras y consumidoras agrícolas en el país. Los almacenes deben ser suficientes, amplios y adecuados, y permitir la disponibilidad, el acceso, la sanidad y la inocuidad en forma estable y sostenible.
Una infraestructura suficiente para almacenar granos en Chiapas permitirá un mejor nivel de vida de los productores, quienes obtendrán un precio mayor y estabilidad en el mercado. Además, se incentivaría la producción de maíz y se fomentaría la adopción de paquetes tecnológicos nuevos para aumentar la productividad y el volumen de producción en el estado.
Esta investigación se justifica porque: 1) Chiapas es el quinto productor de maíz en el país; 2) debido a la insuficiente infraestructura no se almacenan todos los excesos de oferta temporales, lo cual reduce los precios al productor; 3) un programa de inventarios en el estado ayudaría a disminuir la participación de los intermediarios; 4) hay un alto potencial para aumentar la producción mediante nuevos paquetes tecnológicos. Además, el conocimiento de la demanda óptima de almacenamiento permitiría realizar un programa de inventarios para evitar el desabasto de granos y aumentos inesperados del precio de los alimentos (SAGARPA-FIRCO-CNSPO-CP, 2009).
Por lo tanto, el objetivo de la presente investigación fue analizar si la capacidad instalada de almacenes en las regiones productoras de maíz de Chiapas es suficiente para cubrir la demanda de almacenamiento que un programa de inventarios óptimo requiere. La hipótesis fue que la capacidad instalada de almacenes en algunas regiones de Chiapas no es suficiente para satisfacer la demanda de almacenamiento de maíz.
MATERIALES Y MÉTODOS
Para alcanzar el objetivo se aplicó un modelo de equilibrio espacial inter-temporal del mercado de maíz en Chiapas, porque la determinación de la demanda de almacenamiento requiere la desagregación de la producción, el consumo y las exportaciones en espacio y tiempo. La cobertura espacial del modelo considera a Chiapas, donde existen nueve regiones que producen, consumen y comercializan maíz. Las regiones productoras y consumidoras, dentro y fuera del estado, están conectadas a través del transporte, y los excesos de oferta temporales pueden ser almacenados en las zonas productoras.
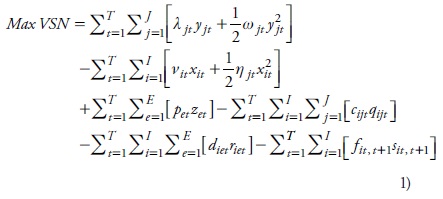
La formulación del modelo se basó en Takayama y Judge (1971) y García y Williams (2004), y la función objetivo maximiza el Valor Social Neto, el cual es igual al área bajo la curva de demanda, menos el área bajo la curva de oferta, más el valor de las exportaciones, menos los costos de transporte y menos los costos de almacenamiento. Considerando i(i= 1,2,3... I=9) regiones productoras de maíz, j(j=1,2,3... J=9) regiones consumidoras; e(e=1,2.... E=4) destinos de las exportaciones y; t(t=1,2,3... T=12) periodos, el modelo matemático es:

donde para el mes t, λjt es el intercepto de la función de demanda de maíz en j; yjt es la cantidad consumida de maíz en j; ωj es la pendiente de la función de demanda en j; vit es la ordenada de la función de oferta en i; xi es la cantidad ofertada de maíz en i; ηi es la pendiente de la función de oferta en i; pet es el precio del maíz enviado al destino e; zet es la cantidad de maíz exportada al destino e; cijt es el costo de transporte de i a j; qijt es la cantidad de maíz enviada de i a j; diet es el costo de transporte de i a e; riet es la cantidad enviada de maíz de i a e; fit, t+1 es el costo de almacenamiento de una unidad de maíz en i de t a t+1; sit, t+1 es la cantidad almacenada de maíz en i de t a t+1.
La función objetivo está sujeta a las siguientes restricciones:





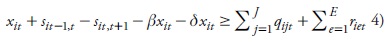
donde β es el porcentaje de la producción que se pierde en mermas y, δ es el porcentaje de la producción usada como semilla para siembra.
La Ecuación 2 indica que la suma de los envíos mensuales de maíz de las regiones i a cada zona consumidora debe ser mayor, o igual, al consumo mensual de maíz en j. La Ecuación 3 indica que la suma de los envíos mensuales de maíz de las regiones i a los destinos e debe ser mayor o igual a la cantidad exportada al destino e. La Ecuación 4 indica que la producción mensual de maíz más los inventarios iniciales, menos los inventarios finales, menos las mermas, menos la producción usada como semilla para siembra, debe ser mayor o igual a los envíos que cada región productora i realizará a los mercados consumidores j y a los destinos de exportación e. La Ecuación 5 indica que los inventarios iniciales son iguales a los finales. La Ecuación 6 indica las condiciones de no negatividad del modelo.
La determinación de la demanda de almacenamiento se obtuvo a través de la solución del modelo, en el cual las variables endógenas son los flujos comerciales de las regiones productoras a las zonas consumidoras y los destinos de exportación, y las cantidades almacenadas en las zonas productoras. La producción, el consumo y las cantidades exportadas de maíz se introdujeron de forma exógena en el modelo. La información sobre cantidad exportada y destinos de exportación fue proporcionada por la Secretaría del Campo de Chiapas[1].
Para incorporar la dimensión espacial al modelo, el territorio de Chiapas se dividió en nueve regiones productoras y consumidoras de maíz: Centro (integrada por 22 municipios), Altos (18), Fronteriza (9), La Frailesca (5), Norte (23), Selva (14), Sierra (8), Soconusco (16) e Istmo-Costa (3). Las regiones consideradas se integraron con municipios que tienen elementos naturales, físicos y vías de comunicación similares. Los destinos de exportación fueron las ciudades de Oaxaca, Veracruz, Villahermosa y Guatemala. El análisis temporal se realizó considerando un periodo de 12 meses, de octubre de 2011 a septiembre de 2012.
La disponibilidad de maíz en el primer mes (octubre) corresponde a la suma de la producción de ese mes, más los inventarios iniciales (almacenados a finales de septiembre y disponibles en octubre). Los inventarios iniciales corresponden a 15 días de consumo. Al final del periodo se contempló un inventario final igual al inventario inicial.
Las pendientes y ordenadas al origen de las funciones de oferta y demanda se estimaron utilizando las elasticidades precio de la oferta y demanda, los precios al productor y consumidor y las cantidades producidas y demandadas (Alston et al., 1995).
Las elasticidades precio de la oferta y de la demanda del maíz para México reportadas por FAPRI (2014) fueron usadas. La producción regional mensual de maíz se obtuvo del SIAP (2012). El precio medio rural se consideró como el precio que recibe el productor en cada zona productora y la información provino de SIAP (2012).
El consumo regional mensual se obtuvo sumando el consumo estatal en los sectores urbano, rural, pecuario y en las industrias de la tortilla, la elaboración de harina y la elaboración de alimentos balanceados. El consumo en los sectores urbano y rural por municipio se obtuvo multiplicando la población urbana y rural por el consumo per cápita de maíz. El consumo estatal pecuario por municipio se estimó usando el consumo estatal en este sector por la participación que cada municipio tiene en el número total de animales en el estado. El consumo municipal en las industrias de tortilla, harina y alimentos balanceados se obtuvo ponderando el consumo estatal en dichas industrias, por la participación que cada municipio tiene en el valor de la producción del estado. La información necesaria para obtener el consumo provino de INEGI (2007), INEGI (2009), INEGI (2010) y García y Ramírez (2012).
El precio al consumidor se estimó sumando el precio al productor más los costos de transporte de llevar maíz de la zona productora a la zona consumidora. El precio al consumidor en el destino de exportación se estimó sumando el precio al productor más el costo de transporte de llevar maíz de la zona productora al punto de exportación.
El costo de transporte unitario de las zonas productoras a los mercados y destinos de exportación se calculó sumando un factor fijo ($ Mg-1), más el producto de un factor variable ($ Mg km-1) por la distancia (km) de la región productora a la zona consumidora y destino de exportación. Los poblados tomados como referencia para obtener la matriz de distancia de orígenes a destinos fueron los siguientes: Tuxtla Gutiérrez (para la región Centro), San Cristóbal de las Casas (Altos), Comitán de Domínguez (Fronteriza), Villa Flores (La Frailesca), Pichucalco (Norte), Palenque (Selva), Motozintla (Sierra), Tapachula (Soconusco) y Arriaga (Istmo-Costa).
La información sobre distancias se obtuvo de la SCT (2014), y los factores fijos y variables para obtener el costo de transporte provinieron de García y Ramírez (2012). La capacidad instalada de almacenamiento de granos en cada región productora se obtuvo de ASERCA (2013). Los costos de almacenamiento provinieron de la información proporcionada por tres empresas consultadas que se dedican al servicio de almacenamiento.
La solución del modelo se obtuvo usando el procedimiento MINOS escrito en el lenguaje de programación GAMS (Rosenthal, 2014).
RESULTADOS Y DISCUSIÓN
En el año 2012 la producción y el consumo en cada región de Chiapas fueron 1503 y 1298 miles Mg, respectivamente. La producción del estado se caracteriza por su concentración espacial ya que la región Centro participa con 29.3 % del total estatal (441 miles Mg); le siguen las regiones de Fronteriza, La Frailesca y Selva con 19.1 %, 15.4 % y 14.5 %, respectivamente. Las demás regiones aportan volúmenes muy bajos de producción. Como la producción, el consumo se caracteriza por una distribución espacial desigual: la región Centro consume 35.4 % de la demanda total, Altos 7.2 %, Fronteriza 6.9 %, La Frailesca 11.9 %, Norte 6.9 %, Selva 11.1 %, Sierra 2.1 %, Soconusco 10.9 %, e Istmo-Costa 7.8 % (Cuadro 2).
El Cuadro 3 muestra los requerimientos de almacenamiento de maíz en caso que la distribución de la producción y el abasto del consumo se realizara de manera óptima; también se muestra la capacidad instalada bajo techo (naves más silos) en las regiones productoras de Chiapas. En el estado la demanda óptima de almacenamiento de maíz se concentra de enero a mayo superando las 400 mil Mg mensuales. Después de mayo la demanda de almacenamiento disminuye por la reducción de la producción.
La demanda por almacenamiento es diferente en las nueve regiones del estado, la mayor es en el Centro, Fronteriza y La Frailesca con un volumen promedio mensual de 124, 43 y 41 mil Mg, respectivamente.
La capacidad instalada de almacenamiento agrícola bajo techo en Chiapas está concentrada en La Frailesca y el Centro, con 164 y 138 mil Mg, respectivamente, y concentran 90.6 % de la capacidad total de almacenes. Por el contrario, en las regiones Norte, Selva y Sierra no existe infraestructura para almacenar granos, lo cual impide un almacenamiento adecuado durante el año. Estas regiones están ubicadas en la periferia del estado y cuentan con poca infraestructura carretera; además, la participación poblacional respecto al estatal es baja y la orografía no permite el desarrollo de una agricultura a gran escala.
La demanda de almacenamiento no es uniforme en espacio y tiempo. La mayor demanda por almacenamiento se presenta en la región Centro con 281, 242, y 232 mil Mg en febrero, marzo y abril; después está Fronteriza con una mayor demanda en enero (85 mil Mg), febrero (107 mil Mg) y marzo (97 mil Mg). En octubre y noviembre la demanda de almacenamiento mensual es marginal con un volumen de 5 y 38 mil Mg (Cuadro 3).
El Cuadro 4 muestra el exceso de demanda de almacenamiento de maíz por región y mes obtenido a través de la diferencia de la capacidad instalada de los almacenes bajo techo, menos la demanda de almacenamiento obtenida con la solución del modelo. Los valores positivos indican que la capacidad instalada excede los requerimientos de almacenamiento, y el signo negativo indica excesos de demanda.
En Chiapas, en seis meses del año la capacidad instalada de almacenes es suficiente para cubrir la demanda de almacenamiento que requiere un programa de inventarios óptimo. Pero de enero a junio los almacenes no son suficientes para almacenar los excesos de producción en los meses de máxima cosecha. Los excesos de demanda inician en enero con 155 mil Mg, el máximo es en febrero con 281 mil Mg, y en junio el mínimo con 43 mil Mg.
En las regiones la situación no es la misma que en el estado. Sólo La Frailesca y la región Itsmo-Costa cuentan con la infraestructura suficiente para almacenar el maíz que requiere un programa óptimo de inventarios. En La Frailesca los excesos de capacidad instalada mínimos, de 78 mil Mg, se presentan en marzo. La Frailesca tiene infraestructura suficiente pues es la principal zona productora de maíz en el estado con excedentes vendidos y comercializados a otras regiones; la capacidad ociosa se debe a la tendencia de la producción de maíz en la región. La Frailesca es el granero de Chiapas por ser una región con una importante producción de maíz, pero ante la baja rentabilidad del cultivo de maíz en la región hay una transición obligada de la agricultura a la ganadería bovina, con importantes efectos colaterales, aún desconocidos, por el nuevo uso y manejo del rastrojo (Guevara et al., 2014). Esto explica por qué la inversión en infraestructura de almacenes se ha concentrado en esta zona. La región Istmo-Costa no presentó déficit de capacidad de almacenamiento porque su producción de maíz es baja y abastece básicamente el consumo regional.
La mayoría de las regiones presenta excesos de demanda en la mayor parte del año: 1) en el Centro son en enero (20 mil Mg), febrero (143 mil Mg), marzo (104 mil Mg), abril (93 mil Mg), mayo (48 mil Mg) y junio (18 mil Mg); 2) en Fronteriza de diciembre a agosto con un máximo en febrero (94 mil Mg); 3) en los Altos y Norte hay 10 meses de excesos, con máximos en febrero.
Los resultados indican que siete regiones requieren la creación de nuevos espacios para almacenar maíz, con una capacidad equivalente al exceso en la demanda máxima mensual. Sería recomendable la creación de infraestructura de almacenamiento con una capacidad total de 433 mil Mg, que es la suma de los déficits mensuales máximos de cada región, lo cual significaría 130 % adicional de la capacidad instalada actual. De esa cantidad, 33.1 % debe ubicarse en el Centro; 21.6 % en la región de Fronteriza; 15.7 % en la Selva; 12.9 % en los Altos; 6.6 % en el Norte; 6.0 % en la Sierra y; 4.0 % en el Soconusco (Cuadro 4). En los almacenes agrícolas actuales en Chiapas se almacena maíz, otros granos y cultivos industriales, por lo cual los excesos de demanda de almacenamiento son mayores. Además, un aumento en la producción de maíz por un incremento en el rendimiento, aumentaría la demanda por almacenamiento.
CONCLUSIONES
Sólo La Frailesca y el Istmo-Costa tienen la infraestructura de almacenes suficiente para satisfacer la demanda por almacenamiento de maíz. Estas regiones pueden también realizar una planeación en espacio y tiempo de los excesos de producción en los meses de máxima cosecha para eliminar los excesos temporales en la oferta y evitar la presión sobre el productor para vender su maíz a precios bajos.
En las regiones Centro, Fronteriza, Selva y Altos, y en menor medida en el Norte, Sierra y Soconusco hay excesos en la demanda de almacenamiento y la capacidad instalada de almacenes es insuficiente para cubrirla. Los productores no pueden realizar la distribución de su maíz en el tiempo y venden su producto a precios bajos.
LITERATURA CITADA
Alston, J. M., G. W. Norton, and P. G. Pardey. 1995. Science Under Scarcity: Principles and Practice for Agricultural Research Evaluation and Priority Setting. Cornell University Press. Ithaca, New York. 584 p. [ Links ]
ANEC (Asociación Nacional de Empresas Comercializadoras de Productores del Campo). 2013. Comunicado de prensa número 064: bajos precios del maíz. http://www.anec.org.mx/comunicados-de-prensa-anec/comunicados-de-prensa-anec-2013/comunicado-de-prensa-no.-064-3-de-noviembre-de-2013 (Consulta: Julio 2014). [ Links ]
ASERCA (Agencia de Servicios a la Comercialización y Desarrollo de Mercados Agropecuarios). 2013. Padrón Nacional de Bodegas y Centros de Acopio. http://www.infoaserca.gob.mx/DGPC/CentrosAcopio.asp (Consulta: Mayo 2014). [ Links ]
Ayala-Garay, A. V., y B. Carrera-Chávez. 2008. Una reserva estratégica de alimentos: almacenes y bodegas en México. Revista Textual, Análisis del Medio Rural 52: 75-95. [ Links ]
FAPRI (Food and Agricultural Policy Research Institute). 2014. Elasticity Database. http://www.fapri.iastate.edu/tools/elasticity.aspx (Consulta: Mayo, 2014). [ Links ]
García-Salazar, J. A., J. A. Matus-Gardea, M. A. Martínez-Damián, M. J. Santiago-Cruz, y A. Martínez-Garza. 2000. Determinación de la demanda óptima de almacenamiento de maíz en México. Agrociencia 34: 773-784. [ Links ]
García S., J. A., y G. W. Williams. 2004. Evaluación de la política comercial respecto al mercado de maíz. El Trimestre Económico LXXI(1)(281): 169-213. [ Links ]
García-Salazar, J. A., R. K. Skaggs, and T. L. Crawford. 2011. Analysis of strategic industry planning and organizational opportunities for Mexican cantaloupe producers. Hortscience 40: 439-444. [ Links ]
García S., J. A., y R. Ramírez J. 2012. Demanda de Semilla Mejorada de Maíz en México: Identificación de Usos y Zonas de Producción con Mayor Potencial de Crecimiento. Centro Internacional de Mejoramiento de Maíz y Trigo (CIMMYT). Texcoco, Estado de México. 156 p. [ Links ]
Guevara H., F., L. A. Rodríguez L., J. Obando C., H. Gómez C., M. de J. Ocaña G., y T. C. Camacho V. 2014. Implicaciones socioeconómicas y energéticas del uso de rastrojo en la región Frailesca, Chiapas. In: Reyes M., L., T. C. Camacho V., y F. Guevara H. (coord.). Rastrojos: Manejo, Uso y Mercado en el Centro y Sur de México. SAGARPA-CIMMYT-INIFAP. Pabellón de Arteaga, Aguascalientes. pp: 38-91. [ Links ]
Hernández G., J. A. y, A. Carballo C. 2003. Almacenamiento y conservación de granos y semillas. http://www.sagarpa.gob.mx/desarrolloRural/Documents/fichasaapt/Almacenamiento%20de%20semillas.pdf (Consulta: Diciembre 2013). [ Links ]
INEGI (Instituto Nacional de Estadística y Geografía). 2007. Censo Agrícola, Ganadero y Forestal 2007. http://www3.inegi.org.mx/sistemas/tabuladosbasicos/default.aspx?c=17177&s=est (Consulta: Junio 2014). [ Links ]
INEGI (Instituto Nacional de Estadística y Geografía). 2009. Censos Económicos 2009. http://www.inegi.org.mx/est/contenidos/espanol/proyectos/censos/ce2009/default.asp?s=est&c=14220 (Consulta: Mayo, 2014). [ Links ]
INEGI (Instituto Nacional de Estadística y Geografía). 2010. Censo de Población y Vivienda 2010. http://www.inegi.org.mx/est/contenidos/proyectos/ccpv/cpv2010/Default.aspx (Consulta: Mayo 2014). [ Links ]
SAGARPA-FIRCO-CNSPO-CP (Secretaría de Agricultura, Ganadería, Desarrollo Rural, Pesca y Alimentación-Fideicomiso de Riesgo Compartido-Comité Nacional Sistema Producto Oleaginosas-Colegio de Postgraduados). 2009. Estudio de Gran Visión y Factibilidad Económica y Financiara para el Desarrollo de Infraestructura de Almacenamiento y Distribución de Granos y Oleaginosas para el Mediano y Largo Plazo a Nivel Nacional. Montecillo, Texcoco, Estado de México. 237 p. [ Links ]
SCT (Secretaría de Comunicaciones y Transportes). 2014. Traza tu ruta. http://aplicaciones4.sct.gob.mx/sibuac_internet/ControllerUI?action=cmdEscogeRuta (Consulta: Mayo 2014). [ Links ]
SIAP (Servicio de Información Agroalimentaria y Pesquera). 2012. Avances de siembras y cosechas por cultivo en Chiapas. http://ccg2.siap.gob.mx/chi/mun_07000/index.php?cvemun=106 (Consulta: Enero 2014). [ Links ]
SIAP (Servicio de Información Agroalimentaria y Pesquera). 2014. Producción Anual, Cierre de la Producción Agrícola por Cultivo. http://www.siap.gob.mx/cierre-de-la-produccion-agricola-por-cultivo/ (Consulta: Julio 2014). [ Links ]
SNIIM (Servicio Nacional de Información e Integración de Mercados). 2015. Mercados nacionales, anuarios estadísticos, agrícolas, granos y semillas, maíz blanco. http://www.economia-sniim.gob.mx/nuevo/ (Consulta: Mayo 2015). [ Links ]
Rosenthal, R. E. 2014. GAMS A User's Guide. GAMS Development Corporation. Whashington, D.C. USA. 304 p. [ Links ]
Takayama, T., and G.G. Judge, 1971. Spatial and Temporal Price and Allocation Models. North-Holland Publishing Co. Amsterdam, Holland. 528 p. [ Links ]
1 Información proporcionada por analistas del área de análisis de comercialización de la Secretaría del Campo del Estado de Chiapas en julio de 2013.












