Servicios Personalizados
Revista
Articulo
Indicadores
-
Citado por SciELO -
Accesos
Links relacionados
-
Similares en
SciELO
Compartir
Agrociencia
versión On-line ISSN 2521-9766versión impresa ISSN 1405-3195
Agrociencia vol.49 no.3 Texcoco abr./may. 2015
Recursos naturales renovables
Characterization and evaluation of cocoa (Theobroma cacao L.) pod husk as a renewable energy source
Caracterización y evaluación de la cáscara de mazorca de cacao (Theobroma cacao L.) como fuente de energía renovable
J. Daniel Martínez-Ángel1, R. Amanda Villamizar-Gallardo2, O. Orlando Ortíz-Rodríguez3*
1 Universidad Pontificia Bolivariana, Grupo de Investigaciones Ambientales, Instituto de Energía, Materiales y Medio Ambiente. Circular 1 N°70-01, Bloque 11, piso 2. Medellín, Colombia. (juand.martinez@upb.edu.co).
2 Universidad de Pamplona, Departamento de Microbiología. Km 1 Bucaramanga, Campus universitario. Pamplona, Norte de Santander. Colombia. (raquel.villamizar@gmail.com).
3 Universidad de Pamplona, Departamento de Ingeniería Industrial, Km 1 Bucaramanga, Campus universitario, Pamplona, Norte de Santander. Colombia. *Author for correspondence. (oscarortiz@unipamplona.edu.co).
Received: September, 2014.
Approved: February, 2015.
Abstract
In Colombia, the cocoa pod husk (CPH) is expected to reach 2 100 000 t year-1 in 2021 which is usually burned or left over for decomposing outdoors at the plantations without any environmental control. Therefore, this study evaluated the energetic potential of CPH obtained after the initial processing of this fruit (Theobroma cacao L.). Three biological materials were analyzed: clone CCN-51 (CPH1), clone ICS-39 (CPH2) and a hybrid (CPH3), which present high yield and number of fruits per tree. The samples were examined by using different characterization techniques for raw biomass and ashes; in addition to the ultimate, proximate and heating value analyses, different fouling indexes were determined in order to estimate the phenomena of solids formation inside the reactor when combustion or gasification is used as a thermochemical valorization process. The Colombian CPHs contain relatively homogeneous levels of C, H and O, but very heterogeneous ash contents (1.4 to 12.9 wt %). The three studied samples showed high content of K2O in ashes (67 to 74 wt %). The higher heating value (HHV) ranged from 15 395 to 16 670 kJ kg-1. Furthermore, the fouling index and the fusibility analysis suggest the appearance of agglomeration and sintering phenomena when CPH is used as a fuel. The gasification is proposed as the process with major possibilities for the energetic use of CPH. CPH1 sample seems to allow a more stable and flexible operation, as compared to CPH2 and CPH3.
Keywords: Biomass, cocoa pod husk, gasification, crop residues, renewable energy systems, Theobroma cacao L.
Resumen
En Colombia, se espera que la cantidad de cáscara de mazorca de cacao (CMC), que usualmente se quema o se deja para descomponer al aire libre en las plantaciones sin ningún control ambiental, llegue a 2 100 000 t año1 en 2021. Por ende, este estudio evaluó el potencial energético de la CMC que se obtiene después del procesamiento inicial de este fruto (Theobroma cacao L.). Tres materiales biológicos se analizaron: el clon CCN-51 (CMC1), el clon ICS-39 (CMC2) y un híbrido (CMC3), que presentan altos rendimientos y número de frutos por árbol. Las muestras se examinaron con diferentes técnicas de caracterización para biomasa cruda y cenizas; además de los análisis definitivo, aproximado y de valor calórico, se determinaron índices distintos de fouling (densidad de sedimentos) para estimar los fenómenos de formación de sólidos dentro del reactor cuando se usa combustión o gasificación como proceso de valorización termoquímica. Las CMC colombianas contienen niveles relativamente homogéneos de C, H y O, pero contenidos muy heterogéneos de cenizas (de 1.4 a 12.9 wt %). Las tres muestras estudiadas mostraron un contenido alto de K2O en las cenizas (67 a 74 wt %). El valor calórico más alto (VCA) osciló de 15 395 a 16 670 kJ kg-1. Además, el índice de fouling y el análisis de fusibilidad sugieren la aparición de fenómenos de aglomeración y sinterizado cuando se usa CMC como combustible. La gasificación se propone como el proceso con mayor posibilidad para el uso energético de CMC. La muestra CMC1 parece permitir una operación más estable y flexible, en comparación con CMC2 y CMC3.
Palabras clave: Biomasa, cáscara de mazorca de cacao, gasificación, residuos de cultivos, sistemas de energía renovable, Theobroma cacao L.
Introduction
Cocoa (Theobroma cacao L.) is a very popular fruit because all kinds of chocolates and confectionaries derived from chocolate are made from its beans. It is a tropical crop which grows under wet conditions in Central and South America (Efraim et al., 2010). Currently, Colombia is the fifth worldwide producer and the third one in Latin America. According to the Colombian Federation of Cocoa Growers (Fedecacao, 2012), the planted area with this crop was 158 000 ha in 2012, yielding 50 000 t. Colombia has 660 000 ha available for planting grain. As part of The Ten Years Cocoa Growing Development Plan 2012-2021, the government's goal is to produce 246 000 t in 2021, requiring an investment of US $ 1100 million in the next 10 years.
The cocoa pod husk (CPH) is the residue obtained after extracting the cocoa pulp, represents 52 to 70 % of the fruit's wet weight, and heating values range between 17 and 22 MJ kg-1 (Syamsiro et al., 2012). On ash free basis, CPH is made up of 35, 30 and 10 wt %, of lignin, cellulose and hemicellulose; the remaining percentage corresponds to extracts. Ash (Si, K, P, Mg, Ca, Al, Mn, Fe, Na) account for 10 to 15 wt %, and it is the inorganic fraction of the biomass (Titiloye et al., 2013).
CPH is used as fertilizer, either composted or directly applied to the soil. However, these practices might have negative impacts due to the likely transfer of pathogens (Hanada et al., 2009; Bailey et al., 2013). Other applications are as animal feed or as precursor in the preparation of potassium salts (Bonvehí and Coll, 1999), as biosorbent in the elimination of zinc (II) (Njoku, 2014), or as adsorbent in the elimination of methylene blue from aqueous solutions (Pua et al., 2013). Besides, it is used for the production of catalyzers (Ofori-Boateng and Lee, 2013) and pectins (Siew-Yin and Wee-Sim, 2013; Vriesmann and Petkowicz, 2013). The energetic applications of CPH are limited to its use as solid fuel instead of fire wood. Pellets obtained from crushed and pressed CPH have heating values and ash content similar to other types of biomass (Syamsiro et al., 2012).
In Colombia, CPH would reach 2 100 000 t year-1 in 2021. CPH is burned or decomposed at the outdoor plantations without any environmental control (Ortiz et al., 2014). Biomasses obtained from agricultural wastes do not threaten food supply and, therefore, they do not generate social controversy. Likewise, the CPH use as a fuel may constitute an important contribution to: 1) the conservation of nonrenewable or fossil resources, 2) the climate change neutrality in response to the principle of prevention, 3) the development of independent energy sources, 4) the generation of employment and income in rural areas, 5) the reduction of fire and soil erosion risks, and 6) the increase of biodiversity for abandoned agricultural areas of the country (Koh and Ghazoul, 2008; Escobar et al., 2009; Houghton et al., 2009). Therefore, the objective of, the goal underlying this research was to know the most feasible thermochemical treatment for the energetic valorization of CPH.
Materials and methods
Sampling
Three CPH biomasses were sampled in the Department of Santander (the first cocoa grower region in Colombia): clone CCN-51, clone ICS-39 and a hybrid, labeled as CPH1, CPH2 and CPH3 hereafter. Both clones show yields of cocoa higher than 1500 kg ha-1 year-1, partly due to their resistance to pests and diseases; whereas, the hybrid one yields between 1000 and 1200 kg ha-1 year-1, and stands out because it covers approximately 70 % of the planted area in Santander.
Characterization methods
Biomass residues from agricultural industry contains important amounts of alkali and chlorine (Jenkins et al., 1998), which are considered as precursors of technical problems when this material is used in combustion or gasification processes. For example, fouling, corrosion or particle agglomeration on the inner surfaces of the reactor may constitute significant problems. Although each type of biomass involves particular challenges, the main limitation for the introduction of these agricultural biomasses into energy markets are operational issues resulting from biomass composition.
The CPH samples were smashed and dried in a muffle (Vulcan TS), and then calcined in a crucible at 550 °C for 12 h to obtain a representative ash sample for its characterization. Based on the standard UNE EN 5104, the ultimate analysis was performed by using the Thermo flash 1112 equipment. Moisture, ash and volatile material determination (proximate analysis) were conducted according to standards ISO-589-1981, ISO-1171-1976 and ISO-5623-1974. The heating value analysis was carried out with a calorimetric pump (IKA C-200), following the procedure established in standard UNE 164001 EX.
The ionic chromatography analysis was performed by using a Metrohn ionic chromatograph equipped with a Metrosep A supp 5 column. This technique allowed separating, for determination, F, Cl, N and S in the CPH samples, to tackle possible emissions of these compounds and the application of corrective measures during the industrial process. Determination of chemical composition of CPH ashes consisted in fusing them with 6 g of lithium tetraborate (Spectromelt A1000) at 1,200 °C for 11 min in a fusion device (PERL X3-Philipps). This melted material was formed into a glass pearl and then analyzed in an X-ray fluorescence spectrometer (FRX-SRS 3000 Bruker). This procedure allowed measuring the contents of SiO2, Al2O3, Fe2O3, CaO, MgO, Na2O, K2O, BaO, Cl, CuO, MnO, NiO, P2O5, SO3, SrO and ZnO, as well as ignition losses. The analysis of ash fusibility in reducing atmosphere allowed determining the shrinking, the initial deformation, the hemisphere and the fluid temperatures according to standard CEN/TS 15370 (UNE 32109) using a SYLAB AF 2000 equipment. The method consisted in heating the ashes under normalized conditions, inside a graduated cylinder, while recording the temperatures at which important structural changes take place: 1) the shrinking temperature (the one at which the first signals of shrinking can be observed in the ash sample); 2) the deformation temperature (first signals of deformation of the vertex or vertexes of tube); 3) the hemispherical temperature (at which the cone's profile has fused down to a hemispherical lump such that the height becomes half the width of the base); and 4) the fluid temperature (when the ash mass has melted and taken a flat layer form). Ultimate, proximate and heating value analyses as well as the ionic chromatography and the fusibility analyses were conducted by the analytical service of the Instituto de Carboquimica (Spain) which meet with the analytical standards given in the respective norm.
Based on ash chemical composition, it was determined three fouling indexes (alkalinity, alkali/silica and acid/base ratios), which gave a general idea of the susceptibility of CPH to promote fouling problems during its energetic valorization via combustion or gasification processes. Although different indexes provide qualitative information about the fouling tendencies of a fuel (Salour et al., 1993; Gulyurtlu et al., 2008), it is worth to note that they only give a preliminary idea of what might happen, since actual behavior depends on the specific features of the process. The alkali/silica ratio (RA/Si) compares fouling to erosion. When this ratio is larger than 2, there is considerable fouling and precautions must be taken. If it is smaller than 0.2, erosion (due to silica) might be dominant compared to fouling. The alkalinity index (IA) reveals the tendency to form agglomerates. Values higher than 0.17 kg GJ-1, lead to probabilities of fouling, whereas values higher than 0.34 kg GJ-1, suggest a certainty of fouling. The acid/base ratio (RB/A) estimates the probability of ash melting. The higher RB/A the greater the probability of molten ashes. However, this index should be cautiously interpreted because, as biomass does not follow the same tendency as coal, this indicator seems not to have the same meaning for biomass (Teixeira et al., 2012). A better estimation of ash fusibility is provided by the ash fusibility test in reducing atmosphere, which is detailed next.
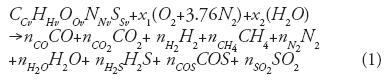
Based on a stoichiometric equilibrium model developed and explained by Martínez et al., (2014), it was studied the syngas composition (CO, CO2, H2, CH4, H2O, N2, COS, H2S and SO2) of each of the CPH samples and hence its lower heating value (LHV), when they are submitted to a gasification process with air. The results must be understood as the highest possible concentrations that syngas could achieve. This information allows defining research and development perspectives in the experimental study of CPH gasification aiming its energy utilization.
Results and Discussion
Proximate, ultimate and heating value analyses
Colombian CPH exhibited a remarkable variety of volatile material (light hydrocarbons and tars in the form of gases), fixed carbon (which burns slowly in the solid state) and ash (inert residue left behind after combustion of the volatile and fixed carbon fractions) contents (Table 1). A first glance, the representative CPH materials showed significant ash content differences: CPH1 contains 1.5 wt % (weight), but CPH2 and CPH3 contain 4.1 and 14.3 wt %(on dry basis).
These values play an important role in the energetic utilization of biomass, since they determine many technical problems in thermochemical conversion processes. For example, from the standpoint of combustion and gasification, minerals found in the ashes are likely to enhance corrosion, slagging and fouling phenomena in the internal walls and edges of the reactor which causes significant losses and reduces the process efficiency (Jenkins et al., 1998). The alkaline compounds in agricultural biomasses, especially Na and K, are likely to combine with Cl forming a series of low melting point compounds. This mixture of elements increases the probability that carbon particles generated during combustion or gasification are trapped on the internal surfaces of the reactor, thus affecting heat transference and, in many cases, forcing to stop the process.
CPH samples show a lower carbon content (43.5 to 50.0 wt %, on dry ash free basis (daf)) and higher bound oxygen content (43.3 to 50.8 wt %, on daf basis) as compared to those of coal (65 wt % and 15 wt %, on daf basis) (Table 1). Likewise, it must be highlighted the low concentrations of both N (0.5 to 0.7 wt %, on daf basis) and S (0.02 to 0.05 wt %, on daf basis) which indicate their less environmental impact as compared to that fossil fuel. HHV ranged between 15 395 and 16 670 kJkg-1, which is proper from this kind of agroindustrial crop residue. CPH presented higher H/C and O/C ratios than fossil fuels, which allows classifying it as a conventional lignocellulosic biomass (Figure 1).

Except for ash content, results in this study are similar to those reported in literature (Table 2). The differences could be attributed to soil, climate and fertilization, as well as planting technology.
Ash chemical composition analysis
The results of chemical composition analysis of CPHs (Table 3) revealed that, on absolute basis (when the sum of all compounds equals 100 %), and regardless the presence of fuel residues (ignition losses), the dominant compound is K2O, with respective values of 74.65, 73.30 and 67.17 wt % for CPH1, CPH2 and CPH3 (note that values in Table 3 considers LOI). This means that more than a half of the ashes obtained from the CPH samples correspond to this compound, which makes pyrolysis an unfeasible thermochemical treatment for the energetic valorization of Colombian CPH. Other studies show that K may bly promotes the formation of water in the resulting liquid fraction (Agblevor and Besler, 1996; Oasmaa and Meier, 2005), thus lowering its quality as fuel. Due to the structure and properties of ligno-cellulosic biomass (Bridgwater, 2012) the liquid obtained after pyrolysis has significant amount of water. In order to avoid a phase separation of this liquid fraction its water content must be lower than 30 wt % (Chiaramonti et al., 2007). Under these conditions, elevated concentrations of K will determine the production of additional water and, consequently, a drop in the energetic content in the pyrolysis liquid, together with the severe alteration of its physicochemical properties such as pH, viscosity, total acidity and corrosion potential.

Additionally, from the perspective of combustion or gasification, or both, alkaline compounds reduce the melting temperature of ashes, thus determining their agglomeration potential and, consequently, their trend to adhere to the reactor's heat exchanging pipes or internal components, or both. The presence of Cl increases the problem because, besides contributing to sintering (Olanders and Steenari, 1995; Nielsen et al., 2000; Theis et al., 2006), it greatly accelerates corrosion in the reactor's metallic walls, pipes and other components. Although, it is important to remark that, despite the existence of fouling indicators and complementary analyses (e.g., ash fusibility), the knowledge about these phenomena and their predictability is still quite limited and is under evaluation (Vassilev et al., 2013). However, problems related to ashes within gasification and combustion processes are the most frequent reasons for non-programmed halts and, consequently, for the technical feasibility of these processes using biomass as fuel. Generally, it is difficult to estimate the maximum admissible concentration of Cl in biomass after which corrosion problems start to appear, since Cl mainly interacts with S, K and Na, generating different products whose composition depend on the atmosphere where the reaction takes place.
Fouling index results
The CPH has a quite elevated alkali/silica ratio (higher than 100). This is mainly due to the elevated concentration of K in the studied ashes, which might leads to serious fouling problems and consequently, the formation of deposits and agglomerations (Table 4). Likewise, the alkalinity index shows heterogeneous values (0.62, 5.68 and 1.61 kgGJ-1 for CPH1, CPH2 and CPH3). Taking into account that the probability of fouling becomes a fact when the index exceeds 0.34 kg GJ-1, the use of CPH as fuel involves an elevated probability of fouling. This suggests that CPH would not be appropriate to be fired in boilers, because it is likely to produce agglomeration and sintering phenomena, which in turn, would cause slagging and fouling problems. Besides, the ratio RB/A was higher than 110 for the three studied CPH samples. This ratio was experimentally found associated to higher probabilities of ash melting. Therefore, this index should be cautiously interpreted, since it does not follow the same tendency as C and so, it seems not to have the same pattern for biomass (Teixeira et al., 2012).
The CPH2 sample reached a higher shrinking temperature than those of CPH1 and CPH3, although the initial deformation temperature is almost the same for the three samples (855 °C) (Table 5). This value is lower than that of firewood biomass (1100 °C) (Fernández and Carrasco, 2005). Thereby, when temperature inside the reactor exceeds 855 °C, the use of this CPH in combustion or gasification or both processes will favor ash sintering/agglomeration process, in agreement with the fouling indexes results. Although this temperature might be adequate for gasification processes, it is considered to be low for combustion. Low fusibility temperatures indicate that ashes probably remain in a viscous state over a longer time and hence, the walls and edges inside the reactor are exposed to the formation of undesirable agglomerates. Conversely, when the temperature inside the reactor is lower than the value indicated for initial deformation, most of the ashes are in solid state. Therefore when they hit the internal surfaces of the reactor they bounce and return to the gas flow. When the temperature exceeds that of initial deformation, ashes take increasingly plastic characteristics, and as consequence, they tend to adhere into the internal surfaces of the reactor.

The contents of fluorides, chlorides and sulfates in the evaluated samples are inorganic salts probably resulting from a reaction of fluorhydric, chlorhydric and sulfuric acids within the minerals that are present in the biomass (Table 5). The FRX analysis and the results confirm that CPH contains significant levels of inorganic compounds which constitute a challenge when it is used as feedstock for combustion or in the gasification processes (Table 3 and 5).
Although no F derivatives were found, the ionic chromatography also revealed the presence of Cl and S compounds, which are usually distributed among the ashes and gases produced during combustion or gasification. These compounds are highly corrosive and they have to be cleaned from the gas obtained from CPHs if it is intended for a future application. Typical cleaning strategies are absorption processes making use of active materials, which can be done in the same reactor where the major process is carried out, or in secondary reactors such as scrubbers. Although no comparable fluoride, chloride or sulfate content reports for other biomass materials were found in the literature reviewed, the current values obtained for CPHs should be taken into consideration for the implementation of cleaning mechanisms and devices.
Given that gasification was identified as the most feasible thermochemical treatment for the energetic valorization of CPHs, in the following section the composition of the resulting gas (syngas) is estimated and discussed when these biomasses are gasified with air by using, for example a downdraft gasifier. The main advantage from this type of reactor are the low tar concentrations in syngas and high efficiency, main reasons why it is widely used for small scale distributed generation systems, making use of an alternative internal combustion engine (Martínez et al., 2012).
The syngas composition from the gasification process was estimated through a stoichiometric equilibrium model explained by Martínez et al., (2014). This model assumes that all gases behave like ideal gases and all reactions took place at 1 atm. Similarly, it is worth to point out that possible tar and solid carbon formation was neglected. The reaction temperature was the result of the energy balance assuming adiabatic conditions. Among all available models to determine syngas composition this one is reasonably precise with respect to the real composition (Gautam et al., 2010). This type of model is considered to be a useful as engineering tool for evaluating the effect of fuel composition on gasification gas composition (Melgar et al., 2007). In fact, these models have been broadly and satisfactorily used to predict the chemical composition of syngas obtained in downdraft fixed bed gasifiers using different biomasses as fuel (Zainal et al., 2001; Altafini et al., 2003; Sharma, 2008).
The overall reaction of the gasification process considered by the model is shown in equation (1). The composition of the reaction products were calculated from the mass balance of each element and from the reactions in equations (2 to 5).

Homogeneous water gas-shift reaction:

Heterogeneous methane production reaction (methane reaction):

Sulfur-related reactions:

The results obtained through the gasification model for the three studied CPH samples, as a function of the equivalence ratio (ER), is considered to exert the most significant effect on the gasification process (Figure 2). It is calculated as the ratio between the current air/fuel ratio used during the process (Φa) and the stoichiometric air/fuel ratio (Φs) (equation 6), expressed as a function of the ultimate analysis of the gasified fuel, in Nm3 per kg (equation 7). The ER defines the proportion between burned and gasified fuel. The lower limit of the ER is given by the minimum amount of air needed to burn the fuel and to produce enough heat to keep the different endothermic reactions involved in gasification (Gómez-Barea and Leckner, 2010). The lower limit of ER is determined by the minimum quantity of air required to burn a fraction of the fuel, and thus to release enough heat to support the endothermic reactions involved in gasification. The upper limit is determined by combining the reactor temperature (in order to avoid the ash melting point), the gas heating value and the tar content in the producer gas (Behainne and Martínez, 2014). Gasification processes are usually conducted using ER between 0.2 and 0.4 (Martínez et al., 2012). Thus, in a real process using air as gasifying agent, the lower heating value of syngas is between 4-6 MJNm-3.

Syngas concentrations (CO, CO2, H2, CH4, H2O, N2, COS, H2S and SO2) bly depended on the CPH type and the ER, as expected (Figure 2). For instance, the maximum H2 concentration is achieved with CPH2 (22 vol. % at 0.22 of ER), followed by CPH3 (17 vol. % at 0.29 of ER) and CPH1 (13 vol. % at 0.43 of ER). Regarding to CO, the higher concentration follows the same trend found for H2: CPH2 showed the highest concentration (32 vol.% at 0.22 of ER), followed by CPH3 (25 vol.% at 0.22 of ER) and CPH1 (17 vol. % at 0.42 of ER). Conversely to results found to H2 and CO, CPH3 led to higher CH4 concentrations respect to those found for CPH2 and CPH1, in the ER range commonly used in air gasification (between 0.2 and 0.4). This observation is related to the higher reaction temperature achieved (Martínez et al., 2014) for this type of CPH. In spite of these facts, the resulting heating value does not show notable variations (Figure 3). CPH gasification using only air leads to the same heating value (between 4500 and 6000 kJNm-3) at ERs between 0.3 and 0.4.
The only difference is observable for CPH1 which leads to a higher heating value (8000 kJNm-3) when the ER is around 0.2. However, this operation point (0.2 of ER) results to be inappropriate taking into account the lower reaction temperature achieved for this CPH. This suggests that, regardless CPH type, the gas quality in terms of heating value will remain unchanged for ERs between 0.3 and 0.4.
This has a positive effect on the possibility to use this gas in internal combustion engines, since it might be obtained from different types of CPH. However, examining the temperatures during the process, important differences can be observed. In the case of CPH1, if the ER is higher than 0.5, the temperature exceeds the initial deformation threshold (855 °C), thus increasing ash fusibility. Regarding to CPH2 and CPH3, the respective temperature thresholds are 0.26 and 0.34. These results define the upper limit of the ER for the evaluated CPH materials (Figure 3).
It is worth to point out that the results of these simulations should be understood as the maximum possible concentrations in syngas. Also, as the resulting temperature is obtained from an adiabatic energy balance, it only gives a general idea of the process. In spite of these facts, the observed initial ash deformation temperature, which is quite low (855 °C), supposes some limitations for conducting the gasification process without major operational obstacle. In this sense, the estimation of the gasification temperature according to the stoichiometric equilibrium model suggests that CPH1 (clone CCN-51) allows a more flexible and stable operation as compared to CPH2 and CPH3 (Figure 3).
Conclusions
Three CPHs samples were characterized from the thermochemical point of view and evaluated as renewable energy source for three thermochemical processes (pyrolysis, gasification and combustion). CPHs were analyzed from ultimate, proximate and heating value analyses, and different of fouling indexes were determined. The ultimate analysis showed that CPHs contain relatively homogeneous levels of C, H and O, whereas the content of ashes was very heterogeneous, The HHV was adequate for this agroindustrial crop residue. Additionally, a high K2O content was found in the ash. The fouling index and the fusibility analysis suggest the appearance of agglomeration and sintering phenomena when CPH is used as a fuel in combustion. Due to the elevated concentrations of alkaline compounds in the ashes (mainly K), pyrolysis imply a series of obstacles and technical limitations. Hence, gasification can be considered as the thermochemical process with major possibilities for the energetic valorization of CPH. The stoichiometric equilibrium model suggested that CPH1 allows a more flexible and stable operation given that the ER lower than 0.5 assumes a reaction temperature lower than that found for the initial deformation threshold.
Acknowledgement
This work has been fully financed by the Colombian Administrative Department of Science, Technology, and Innovation COLCIENCIAS , Inter-American Development Bank (IDB) and World Bank (WB) BIRF, Project Reference 0371- 2012. Similarly, the Instituto de Carboquímica (Zaragoza, Spain) is greatly acknowledged for allowing to perform some of the characterization tests.
Literature Cited
Agblevor F. A. and Besler S. 1996. Inorganic compounds in biomass feedstocks. 1. Effect on the quality of fast pyrolysis oils. Energ. Fuel. 10: 293-298. [ Links ]
Altafini, C. R., P. R. Wander and R. M. Barreto. 2003. Prediction of the working parameters of a wood waste gasifier through an equilibrium model. Energ. Convers. Manage. 44: 2763-2777. [ Links ]
Bailey, B. A., J. Crozier, R. C. Sicher, M. D. Strem, R. Melnicka, M. F. Carazzolle, G. G. L. Costa, G. A. G. Pereira, D. Zhang, S. Maximova, M. Guiltinan and L. Meinhardt. 2013. Dynamic changes in pod and fungal physiology associated with the shift from biotrophy to necrotrophy during the infection of Theobroma cacao by Moniliophthora roreri. Physiol. Mol. Plant P. 81: 84-96. [ Links ]
Behainne, J. J., and J. D. Martínez. 2014. Performance analysis of an air-blown pilot fluidized bed gasifier for rice husk. Energ. Sustain. Dev. 18: 75-82. [ Links ]
Bonvehí, J. S., and F. V. Coll. 1999. Protein quality assessment in cocoa husk. Food Res. Int. 32: 201-208. [ Links ]
Bridgwater, A. V. 2012. Review of fast pyrolysis of biomass and product upgrading. Biomass Bioenerg. 38: 68-94. [ Links ]
Chiaramonti, D., A. Oasmaa, and Y. Solantausta. 2007. Power generation using fast pyrolysis liquids from biomass. Renew. Sust. Energ. Rev. 11: 1056-1086. [ Links ]
Efraim, P., N. H. Pezoa-García, D. C. P. Jardim, A. Nishikawa, R. Haddad, and M. N. Eberlin. 2010. Influência da fermentação e secagem de amêndoas de cacau no teor de compostos fenólicos e na aceitação sensorial. Food Sci. Technol. 30: 142-150. [ Links ]
Escobar, J. C., E. S. Lora, O. J. Venturini, E. E. Yañez, E. F. Castillo, O. Almazan. 2009. Biofuels: Environment, technology and food security. Renew. Sust. Energ. Rev. 13: 1275-1287. [ Links ]
FEDECACAO 2012. Colombian Federation of Cocoa Growers. The Ten Year Cocoa Growing Development Plan for Colombia 2012-2021. http://conectarural.org/sitio/material/plan-nacional-de-desarrollo-cacaotero-2012%E2%80%932021. (Consulta: abril 2013). [ Links ]
Fernández, M. J., and J. E. Carrasco. 2005. Comparing methods for predicting the sintering of biomass ash in combustion. Fuel 84: 1893-1900. [ Links ]
Gautam, G., S. Adhikari, and S. Bhavnani. 2010. Estimation of biomass synthesis gas composition using equilibrium modeling. Energ. Fuel. 24: 2692-2698. [ Links ]
Gómez-Barea, A., and B. Leckner. 2010. Modeling of biomass gasification in fluidized bed. Prog. Energ. Combus. Sci. 36: 444-509. [ Links ]
Gulyurtlu, I., P. Teixeira, H. Lopes, N. Lapa, M. Freire, M. Galhetas, and I. Cabrita. 2008. Prediction of slagging and fouling tendency of biomass co-firing in fluidized bed combustion. 56th IEA-FBC Meeting. Hamburg, Germany. [ Links ]
Hanada, R. E., A. W. V. Pomella, W. Soberanis, L. L. Loguercio, and J. O. Pereira. 2009. Biocontrol potential of Trichoderma martiale against the black-pod disease (Phytophthora palmivora) of cacao. Biol. Control 50: 143-149. [ Links ]
Houghton, R. A., F. Hall, and S. J. Goetz. 2009. Importance of biomass in the global carbon cycle. J. Geophys. Res. Biogeosci. 114: 1-13. [ Links ]
Jenkins B. M., L. L. Baxter, T. R. Miles Jr., and T. R. Miles. Combustion properties of biomass. Fuel Process. Technol. 54: 17-46. [ Links ]
Kitani O., and C. W. Hall. 1989. Biomass Handbook, Gordon and Breach Science Publishers, New York. 993 p. [ Links ]
Koh L. P., and J. Ghazoul. 2008. Biofuels, biodiversity, and people: Understanding the conflicts and finding opportunities. Biol. Conserv. 141; 2450-2460. [ Links ]
Martínez J. D., K. Mahkamov, R. V. Andrade, and E. E. S. Lora. 2012. Syngas production in downdraft biomass gasifiers and its application using internal combustion engines. Renew. Energ. 38: 1-9. [ Links ]
Martínez J. D., R. Murillo, T. García, and I. Arauzo. 2014. Thermodynamic analysis for syngas production from volatiles released in waste tire pyrolysis. Energ. Convers. Manage. 81: 338-353. [ Links ]
Melgar A., J. F. Pérez, H. Laget, and A. Horillo. 2007. Thermochemical equilibrium modelling of a gasifying process. Energ. Convers. Manage. 48: 59-67. [ Links ]
Njoku, V. O. 2014. Biosorption potential of cocoa pod husk for the removal of Zn(II) from aqueous phase. J. Environ. Chem. Eng. 2: 881-887. [ Links ]
Nielsen, H. P., F. J. Frandsen, K. Dam-Johansen, and L. L. Baxteret. 2000. The implications of chlorine-associated corrosion on the operation of biomass-fired boilers. Prog. Energ. Combust. Sci. 26: 283-298. [ Links ]
Oasmaa, A., and D. Meier. 2005. Norms and standards for fast pyrolysis liquids: 1. Round robin test. J. Analyt. Appl. Pyrolysis 73: 323-334. [ Links ]
Ofori-Boateng, C., and K. T. Lee. 2013. The potential of using cocoa pod husks as green solid base catalysts for the transesterification of soybean oil into biodiesel: Effects of biodiesel on engine performance. Chem. Eng. J. 220: 395-401. [ Links ]
Olanders, B., and B-M. Steenari. 1995. Characterization of ashes from wood and straw. Biomass Bioenerg. 8: 105-115. [ Links ]
Ortiz-Rodríguez, O., R. Villamizar-Gallardo, and M. Rangel. 2014. Applying life cycle management of Colombian cocoa production. Food Sci. Technol. 34: 62-68. [ Links ]
Pua, F. L., M. S. Sajabb, C. H. Chia, S. Zakaria, I. A. Rahman, and M. S. Salit. 2013. Alkaline-treated cocoa pod husk as adsorbent for removing methylene blue from aqueous solutions. J. Environ. Chem. Eng. 1: 460-465. [ Links ]
Salour, D., B. M. Jenkins, M. Vafaei, and M. Kayhanian. 1993. Control of in-bed agglomeration by fuel blending in a pilot scale straw and wood fueled AFBC. Biomass Bioenerg. 4: 117-133. [ Links ]
Sharma A. K. 2008. Equilibrium modeling of global reduction reactions for a downdraft (biomass) gasifier. Energ. Convers. Manage. 49: 832-842. [ Links ]
Siew-Yin, C., and C. Wee-Sim. 2013. Effect of extraction conditions on the yield and chemical properties of pectin from cocoa husks. Food Chem. 141: 3752-3758. [ Links ]
Saptoadi, H., B. H. Tambunan, and N. A. Pambudi. 2012. A preliminary study on use of cocoa pod husk as a renewable source of energy in Indonesia. Energ. Sustain. Dev. 6: 74-77. [ Links ]
Teixeira, P., H. Lopes, I. Gulyurtlu, N. Lapa, and P. Abelha. 2012. Evaluation of slagging and fouling tendency during biomass co-firing with coal in a fluidized bed. Biomass Bioenerg. 39: 192-203. [ Links ]
Theis, M., B-J. Skrifvars, M. Zevenhoven, M. Hupa, and H. Tran. 2006. Fouling tendency of ash resulting from burning mixtures of biofuels. Part 2: Deposit Chem. Fuel 85: 1992-2001. [ Links ]
Titiloye, J. O., M. S. Abu-Bakara. and T. E. Odetoye. 2013. Thermochemical characterisation of agricultural wastes from West Africa. Ind. Crop. Prod. 47: 199-203. [ Links ]
van der Drift, A., J. van Doorn, and J. W. Vermeulen. 2001. Ten residual biomass fuels for circulating fluidized-bed gasification. Biomass Bioenerg. 20: 45-56. [ Links ]
van der Sloot, H. A., and P. A. J. Cnubben. 2000. Verkennende evaluatie kwaliteitsbeinvloeding poederkoolvliegas, ECN-report ECN-C-00-058, 88 p. [ Links ]
van Ree, R., A. B. J. Oudhuis, A. P. C. Faaij, and A. P. W. M. Curvers. 1995. Modelling of a biomass-integrated-gasifier/combined-cycle (BIG/CC) system with the flowsheet simulation programme Aspen+. Final report JOU2-CT93-0397. [ Links ]
Vassilev, S. V., D. Baxter, L. K. Andersen, and C. G. Vassileva. 2013. An overview of the composition and application of biomass ash. Part 2. Potential utilisation, technological and ecological advantages and challenges. Fuel 105: 19-39. [ Links ]
Vriesmann, L. C., and C. L. O. Petkowicz. 2013. Highly acetylated pectin from cacao pod husks (Theobroma cacao L.) forms gel. Food Hydrocolloid. 33: 58-65. [ Links ]
Zainal, Z. A., R. Ali, C. H. Lean, and K. N. Seetharamu. 2001. Prediction of performance of a downdraft gasifier using equilibrium modeling for different biomass materials. Energ. Convers. Manage. 42: 1499-1515. [ Links ]












