Servicios Personalizados
Revista
Articulo
Indicadores
-
Citado por SciELO -
Accesos
Links relacionados
-
Similares en
SciELO
Compartir
Agrociencia
versión On-line ISSN 2521-9766versión impresa ISSN 1405-3195
Agrociencia vol.49 no.1 Texcoco ene./feb. 2015
Recursos naturales renovables
Tasas de ventilación natural de un invernadero del centro de México estimadas mediante balance de energía
Natural ventilation rates of a greenhouse at central Mexico estimated by energy balance
Agustín Ruiz-García1*, Irineo L. López-Cruz1, Ramón Arteaga-Ramírez2, J. Armand. Ramírez-Arias1
1 Ingeniería Agrícola y Uso Integral del Agua.* Autor responsable (aruiz@correo.chapingo.mx).
2 Irrigación. Universidad Autónoma Chapingo. 56230. Chapingo, Estado de México.
Recibido: marzo, 2014.
Aprobado: septiembre, 2014.
Resumen
Las temperaturas diurnas del aire durante los meses de verano en los invernaderos de nivel tecnológico bajo y medio en México son mayores a las óptimas de los cultivos y se necesita de enfriamiento para evitar estrés del cultivo debido al exceso de calor. Aunque la ventilación natural es el principal mecanismo para controlar el clima en la mayoría de estos invernaderos, la información sobre su desempeño es escasa. El objetivo del presente estudio fue determinar, mediante el método de balance de energía, las tasas de ventilación natural de un invernadero tipo sierra equipado con malla anti-insectos en las ventanas. Además, un modelo matemático teórico de tasas de ventilación en función de la velocidad de viento exterior fue ajustado a datos experimentales. El invernadero está ubicado en el campo experimental de la Universidad Autónoma Chapingo, en Chapingo, México, y se estudió con un cultivo de melón (Cucumis melo L.) bajo un sistema hidropónico y sin cultivo. Los parámetros del modelo de ventilación se estimaron con el algoritmo de mínimos cuadrados no lineales. Los resultados mostraron que las tasas de ventilación fueron más altas cuando las velocidades del viento fueron mayores y sin cultivo. Las mallas instaladas en las ventanas causan una reducción de 48 % en las tasas de ventilación. El modelo teórico de ventilación predijo de manera aceptable las tasas de ventilación de acuerdo con los índices estadísticos de coeficiente de determinación y raíz cuadrada del error cuadrático medio.
Palabras clave: Malla anti-insecto, modelo, estimación, parámetro, Cucumis melo L.
Abstract
The daytime air temperatures during the summer months in greenhouses of low and medium technological level in México are higher than the optimum levels of the crops, and require cooling to avoid crop stress from heat. Although natural ventilation is the principal mechanism for controlling climate in most of these greenhouses, information of their performance is scarce. The objective of the present study was to determine, by means of the energy balance method, the natural ventilation rates of a sierra type greenhouse equipped with insect screens in windows. In addition, a theoretical mathematical model of ventilation rates as a function of exterior wind velocity was adjusted to experimental data. The greenhouse is located at the experimental field of the Universidad Autónoma Chapingo, in Chapingo, México. The study was carried out with a melon crop (Cucumis melo L.) under a hydroponic system and without cultivation. The parameters of the ventilation model were estimated with the algorithm of non-linear least squares. Results showed that the ventilation rates were higher when wind velocities were higher and without cultivation. The screens installed in the windows caused a reduction in ventilation rates of 48%. The theoretical ventilation model made an acceptable prediction of the ventilation rates according to the statistical indices of determination coefficients and square root of the mean squared error.
Key words: Insect screen, model, estimation, parameter, Cucumis melo L.
INTRODUCCIÓN
La producción de cultivos en ambientes protegidos en México ha aumentado a una tasa alta en las dos décadas recientes, principalmente en invernaderos con cubierta de plástico y casas sombra (Van 't Ooster et al., 2008). Las características climáticas de las regiones donde se concentran las superficies de invernaderos, con alta radiación solar y elevadas temperaturas, provocan que durante el verano se produzcan calentamientos excesivos que afectan el rendimiento y la calidad de los cultivos, por lo cual es necesario enfriar del ambiente. En la mayoría de los invernaderos mexicanos el principal mecanismo para enfriar el ambiente es la ventilación natural (Romero-Gomez et al., 2008). Este es un proceso fundamental que influye en el clima interior del invernadero y en la concentración de gases; y, en consecuencia, influye fuertemente en el crecimiento y desarrollo de los cultivos (Boulard et al., 1996). La eficiencia de la ventilación natural depende de la velocidad del viento y de la diferencia de temperatura entre el interior y el exterior del invernadero (Kittas et al., 1997; Katsoulas et al., 2006). La instalación de mallas en las ventanas, como una barrera física para evitar la entrada de insectos nocivos, es una práctica común en México, pero estas mallas son un obstáculo para el flujo de aire (Valera et al., 2006).
Las tasas de ventilación natural en invernaderos se estiman aplicando varios métodos: gases trazadores (Fatnassi et al., 2002; Kittas et al., 2002), balance de energía (Wang y Deltour, 1996; Demrati et al., 2001; Majdoubi et al., 2007), balance de vapor de agua (Teitel et al., 2008; Mashonjowa et al., 2010) y balance de dióxido de carbono (Romero-Gomez et al. , 2008). En invernaderos grandes el método de gas trazador, que es el más usado, presenta varias desventajas y, según Demrati et al. (2001), el mezclado del gas presenta la mayor fuente potencial de error. Este problema es muy significativo si el volumen del invernadero es grande en combinación con una tasa baja de ventilación natural y con cultivos en el invernadero. Shilo et al. (2004), Katsoulas et al. (2006) y Teitel et al. (2008) reportan una buena concordancia entre las tasas de ventilación estimadas con los métodos de gas trazador y balance de energía.
En México hay pocos estudios sobre el comportamiento de la ventilación natural en los invernaderos. Romero-Gomez et al. (2008) analizaron las tasas de ventilación de un invernadero cenital de tres naves ventilado naturalmente, en Chapingo, México, y encontraron que fueron bajas comparadas con las recomendadas por Jones (2008), y combinado con las condiciones del clima local, produjeron altas temperaturas del aire interior. Además, Espejel y López (2013) determinaron las tasas de ventilación natural de un invernadero tipo túnel sin cultivo en Chapingo, y la combinación más eficiente fue la de apertura de ventanas laterales y cenitales.
Una mejor comprensión del comportamiento de la ventilación natural es fundamental para mejorar el diseño y manejo de los invernaderos y así proporcionar las condiciones ambientales óptimas para el crecimiento de los cultivos. Por tanto, el objetivo de este estudio fue determinar las tasas de ventilación natural de un invernadero tipo sierra y cuantificar la reducción en las tasas de ventilación causada por la malla anti-insecto instalada en las ventanas; estos datos ayudarán a mejorar el manejo y optimizar el diseño de este tipo de invernaderos. Además, se calibró un modelo matemático de tasas de ventilación para incorporarlo en un modelo dinámico del microclima del invernadero.
MATERIALES Y MÉTODOS
Descripción del experimento
El estudio se realizó en un invernadero ubicado en el campo experimental de la Universidad Autónoma Chapingo, México, a 19° 29' N, 98° 53' O, y a una altitud de 2240 m. El invernadero es de tipo sierra formado por tres naves de estructura metálica, con orientación SO-NE, tiene 75.5 m de largo por 25.5 m de ancho, una altura de 6.48 m a la cumbrera, y un volumen de 11295.56 m3 (Figura 1). Su ventilación fue por ventanas cenitales de 221.18 m2 y laterales de 368.56 m2 que se abren al enrollar la película de polietileno por medio de motoreductores. Las primeras están orientadas hacia el oeste, en dirección de los vientos dominantes. Además, tienen malla anti-insecto. La cubierta es una película de polietileno con tratamiento ultravioleta de 180 μm de espesor. Está rodeado al este y al norte por invernaderos tipo túnel de 5.8 m de altura.
Las mediciones se realizaron de abril a octubre de 2012. En la primera semana de abril se estableció un cultivo de melón (Cucumis melo L.) en hidroponía con cinco cultivares (honeydew, cantaloup, galia, amarillo y piel de sapo). Los frutos fueron cosechados y las plantas retiradas del invernadero el 15 de septiembre. En el cultivo se realizó entutorado, deshojes, podas y raleo. La polinización se efectuó por medio de una colmena de abejas. La densidad del cultivo fue de 2 plantas m-2. El agua y los fertilizantes fueron aplicados por un sistema automatizado de fertirriego por goteo.
Las variables climáticas en el interior fueron medidas en el área central del invernadero como se describe a continuación. La radiación neta con un radiómetro neto CNR 2 (Kipp & Zonen, EE.UU.) y la radiación global con un piranómetro CMP 3 (Kipp & Zonen) a una altura de 3.5 m del piso, entre el follaje del cultivo y el plástico de la cubierta del invernadero. La temperatura y humedad relativa del aire con un sensor HMP50 (Vaisala, EE.UU.) a una altura de 1.5 m del piso, localizado dentro de un protector solar aspirado. El flujo de calor del suelo con un sensor HFP01SC (Hukseflux, EE.UU.) situado 5 cm bajo la superficie del suelo. La temperatura del plástico de la cubierta con termo-pares tipo E de Chromel-Constantan de 0.0762 mm de diámetro FW3 (Campbell Scientific, EE.UU.), situados en la cara interior del plástico de la nave central del invernadero. Dos termopares se colocaron en la cara este y otros dos termopares en la cara oeste, y la temperatura del plástico se consideró igual al valor promedio de los cuatro sensores. Los sensores se conectaron a un data logger CR1000 (Campbell Scientific) para el registro de los datos.
Las variables climáticas en el exterior fueron medidas a una altura de 8.80 m del piso y a 10 m de distancia del invernadero en el lado norte. La temperatura y humedad relativa del aire con un sensor S-TBH-M002 (Onset Computer, EE.UU.) localizada dentro de un protector solar. La radiación solar global con un piranómetro S-LIB-M003 (Onset Computer) orientado hacia el sur. La velocidad del viento con un anemómetro de copa S-WSA-M003 (Onset Computer) y la dirección con una veleta S-WDA-M003 (Onset Computer). Los sensores se conectaron a un data logger Hobo Weather Station (Onset Computer) para el registro de los datos. Las variables del clima dentro y fuera del invernadero se midieron cada 10 s, se promediaron y se guardaron cada minuto en un archivo para su procesamiento posterior.
Método de balance de energía para estimar las tasas de ventilación natural
Las tasas de ventilación del invernadero fueron estimadas con el método de balance de energía bajo dos condiciones, con un cultivo de melón y sin cultivo. Los días seleccionados fueron donde las ventanas permanecieron abiertas de 10:00 a 16:00 h, debido a que como práctica de manejo estas fueron cerradas cuando se presentaron lluvias para evitar el ingreso de humedad. Este periodo es suficiente para obtener una buena precisión en la estimación de las tasas de ventilación con el balance de energía (Demrati et al., 2001). Para el primer caso se usaron los datos meteorológicos promedio y de las áreas de ventilación de 13 días, desde el 18 de junio al 25 de julio de 2012; para el segundo, los datos de 11 días, del 11 al 28 de septiembre de 2012. Debido a una falla de los sensores de viento instalados en el exterior del invernadero durante el primer periodo, se usaron los datos registrados en una estación meteorológica automática (Davis, EE.UU.) ubicada a una distancia aproximada de 1 km. En esta estación, los sensores fueron instalados a una altura de 2 m, los valores de la velocidad y dirección del viento fueron promediados y almacenados en el data logger cada 30 min.
El balance de energía de un invernadero es la suma de las ganancias y pérdidas de calor así como del contenido transitorio de energía (Harmanto et al., 2006; Majdoubi et al., 2007), y se pueden usar modelos estáticos o dinámicos (Roy et al., 2002). Los primeros son menos precisos debido a su simplicidad e involucran pocos parámetros, los segundos son mejores en términos de precisión, pero involucran más parámetros. Las tasas de ventilación estimadas con el método de balance de energía, comparadas con el método de gas trazador, son menores debido a una subestimación de la energía almacenada en el sistema (Roy et al., 2002; Shilo et al., 2004). El intercambio de calor entre el interior y el exterior del invernadero es un mecanismo complejo, involucra procesos de radiación, conducción, convección y transferencia de calor latente (Harmanto et al., 2006).
La ecuación de balance de energía en estado estacionario del interior de invernadero usada en este estudio es similar a la descrita por Demrati et al. (2001) y Majdoubi et al. (2007):

donde Rnet (W m-2) es la radiación neta disponible en el interior de invernadero, QSi,e (W m-2) es el flujo de calor sensible extraído por ventilación, QLi,e (W m-2) es el flujo de calor latente extraído por ventilación, QSi,e (W m-2) es el flujo de calor sensible intercambiado por convección entre el aire interior y la cubierta del invernadero, QSi,iw (W m-2) es la pérdida global de energía sensible a través de las paredes, y Fs (W m-2) es el flujo de calor a través de suelo. Para el invernadero analizado, los términos del balance de energía de la ecuación (1) fueron determinados de acuerdo con Majdoubi et al. (2007), como se indica a continuación.
El flujo de calor sensible intercambiado con el exterior por ventilación fue considerado proporcional a la diferencia de temperatura del aire entre el interior Ti (°C) y el exterior Tc (°C), y a la tasa de ventilación G (m3 s-1):

con

donde Af (m2) es la superficie del piso del invernadero, ρa (kg m-3) es la densidad del aire, y Cp (J kg-1 °C-1) es el calor específico del aire a presión constante.
El flujo de calor latente extraído por ventilación fue considerado proporcional a la diferencial del contenido de vapor de agua entre el interior y el exterior, y a la tasa de ventilación:

donde Hi y He (kg kg-1) son las humedades específicas del aire interior y exterior, respectivamente, con:

donde λ (J kg-1) es el calor latente de vaporización del agua.
El flujo de calor sensible intercambiado por convección entre el aire interior y la cubierta del invernadero fue considerado proporcional a la diferencia de temperatura entre el plástico de cubierta Tc (°C) y la temperatura del aire interior:

donde Ch (W m-2 °C-1) es el coeficiente de intercambio de calor por convección entre el aire interior y el plástico de la cubierta, que fue estimado con la ecuación propuesta por Wang y Deltour (1996):

Majdoubi et al. (2007) mencionan que cuando la temperatura de las paredes laterales no son medidas, la pérdida global de energía sensible a través de estas se estima con un coeficiente global de pérdida por conducción-convección. Entonces, la pérdida global de calor sensible fue estimada con:

donde Kc (W m-2 °C-1) es el coeficiente global de pérdida de calor sensible del invernadero a través del plástico de las paredes. El coeficiente Kc es considerado como función de la velocidad del viento: (Boulard y Baille, 1993; Kittas et al., 2002):

donde We (m s-1) es la velocidad del viento exterior, a y b son coeficientes empíricos que deben ser estimados. Para el invernadero analizado se consideraron las pérdidas a través de las paredes laterales excluyendo las aberturas de ventilación, esto es, a través de un área de paredes de 776.81 m2. De acuerdo con Majdoubi et al. (2007), cuando se considera la superficie de piso del invernadero (Af = 1925.25 m2) como superficie unitaria, los coeficientes reportados por Boulard y Baille (1993) (a = 6, b = 0.5) deben ser multiplicados por (776.81/1925.25) = 0.40, obteniendo los siguientes valores: a = 2.40 y b = 0.20.
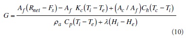
Las ecuaciones (2) - (9) al sustituirlas en la ecuación (1) y reagrupando, se obtiene la tasa de ventilación:

Modelo teórico de la ventilación natural y su calibración
El flujo de aire a través de una abertura es causado por una combinación de diferencias de presión inducido por fuerzas de flotación y de viento (Kittas et al., 1997; Katsoulas et al., 2006). Katsoulas et al. (2006) mencionan que para velocidades de viento mayores de 1 a 1.5 m s-1 el efecto térmico de flotación puede ignorarse y la tasa de ventilación puede considerarse como una función de la velocidad del viento exterior. Con este supuesto, la tasa de ventilación puede ser calculada con (Kittas et al., 1997; Kittas et al., 2002):

donde G (m3 s-1) es la tasa de ventilación, Av (m2) es el área total de la abertura de ventilación, Cdt (adimensional) es un coeficiente de descarga de la abertura, y Cw (adimensional) es un coeficiente presión de viento. Para realizar comparaciones entre diferentes invernaderos, es necesario expresar la tasa de ventilación por unidad de área de piso denotado por (m3 m-2 s-1).
Para realizar la calibración se planteó un problema de optimización, usando el procedimiento de mínimos cuadrados no lineales para estimar los valores del coeficiente global de eficiencia de ventilación Ev, definido como
. La función a minimizar fue:

donde Gf,est es la tasa de ventilación estimada con el balance de energía, Gf,cal es la tasa de ventilación calculada con el modelo teórico de ventilación y N es el número de datos (con cultivo N=13 y sin cultivo N=11). El problema de optimización se resolvió mediante la rutina lsqnonlin del Optimization toolbox de Matlab (The Mathworks). La calidad de las predicciones del modelo de ventilación fue evaluada con los estadísticos de error medio absoluto (MAE), raíz cuadrada del error cuadrático medio (RMSE) y coeficiente de determinación (R2).
Determinación del coeficiente de descarga de la malla
En una abertura con mallas el coeficiente CdT en la ecuación (11) se calcula como (Kittas et al., 2002):

donde Cs (adimensional) es el coeficiente de descarga de la malla y Cd es el coeficiente de descarga sin malla. En este estudio, el coeficiente Cs fue determinado con la expresión propuesta por Brundrett (1993; citado por Fatnassi et al., 2009):

donde φ (m2 m-2) es la porosidad de la malla y dh (m) es el diámetro promedio de los hilos de la malla. La porosidad expresa la relación entre el área superficial de los poros y el área total de la malla (Valera etal., 2006; Alvarez etal., 2012):

con

donde Lpx y Lpx (m) son las longitudes promedio de los poros en las dos direcciones principales; ρx y ρy (hilos m-1) representan el número de hilos por unidad de longitud en cada una de las dos direcciones principales.
Para estimar la porosidad de la malla con las ecuaciones (15) y (16), se tomaron cuatro muestras. De éstas se midieron los diámetros de los hilos y se determinó el número de hilos en las dos direcciones principales con un microscopio óptico DM500 (Leica Microsystems) con una cámara de 3 megapixeles.
RESULTADOS Y DISCUSIÓN
En el Cuadro 1 se presentan las condiciones ambientales prevalecientes durante el periodo donde se realizaron los balances de energía del invernado para estimar las tasas de ventilación natural. La Figura 2 presenta las tasas de ventilación del invernadero estimadas con el método de balance de energía en función de la velocidad del viento. La ecuación de la curva de regresión lineal obtenida para el invernadero con cultivo es Gf = 0.017We + 0.0062 (R2=0.65), y sin cultivo es (R2=0.86). En ambos casos, las tasas de ventilación fueron más altas cuando las velocidades del viento fueron mayores y sin cultivo. Estos resultados concuerdan con los de Romero-Gomez et al. (2008) y Espejel y López (2013) quienes reportan una fuerte dependencia de las tasas de ventilación con la velocidad del viento para invernaderos en la misma región.

Las tasas de ventilación estimadas para el invernadero, con la combinación de ventilación lateral y cenital fueron relativamente bajas. Jones (2008) recomienda una ventilación mínima de un intercambio por minuto (equivalente a 9.78 x 10-2 m3 m-2 s-1 para el invernadero de este estudio) con el objeto de mitigar las altas temperaturas del aire interior resultado de la intensa radiación solar durante los meses de verano. De la ecuación de regresión entre las tasas de ventilación y velocidad de viento para el invernadero con cultivo, se deduce que esta tasa de ventilación es alcanzada sólo a velocidades de viento mayores de 5.4 m s-1, que son poco frecuentes en esta región. Este resultado concuerda con el de Romero-Gomez et al. (2008), quienes reportan para un invernadero cenital de 3 naves ubicado en la misma zona que era necesario velocidades de viento mayores de 4.5 m s-1 para alcanzar las renovaciones de aire recomendadas. Esto significa que la ventilación natural es insuficiente para generar condiciones climáticas adecuadas para los cultivos y que se requiere de ventilación forzada.
El valor del coeficiente Ev se ha usado para caracterizar la eficiencia de la ventilación entre diferentes invernaderos (Teitel et al., 2008). En el Cuadro 2 se presentan los valores del coeficiente global de efecto de viento Ev obtenidos en este estudio al ajustar los datos experimentales con el modelo de ventilación. Los valores de Ev obtenidos son del mismo orden de magnitud que los reportados por otros investigadores para invernaderos de dimensiones similares. Estos valores concuerdan con los valores reportados por Wang y Deltour (1996) para un invernadero tipo venlo de similares dimensiones, y por Fatnassi et al. (2002) y Kittas et al. (2002) para invernaderos con mallas en las ventanas. De acuerdo con los índices estadísticos R2 y raíz cuadrada del error cuadrático medio (RMSE), el modelo de ventilación una vez calibrado predice de manera aceptable las tasas de ventilación natural. Además, de acuerdo al MAE el error global del modelo de ventilación fue menor para el caso del invernadero con cultivo. En general, de acuerdo con la ecuación de regresión el modelo calibrado sobreestima los valores a tasas bajas de ventilación y los subestima a tasas altas (Figura 3).


La porosidad de la malla anti-insecto instalada en las ventanas fue φ=0.38 m2 m-2 y el coeficiente de descarga igual a Cs=0.40. Roy et al. (2002) mencionan que el coeficiente de descarga Cd varía entre 0.6 a 0.7 para la mayoría de las ventanas rectangulares sin mallas, con un valor promedio de 0.66, por lo cual se consideró un valor de Cd=0.66. Los valores de Cd y Cs al sustituirlos en la ecuación (13) se obtuvo un valor del coeficiente global de descarga de CdT=0.344. Una vez conocido el valor de CdT se determinó el coeficiente Cw a partir del coeficiente global de efecto de viento estimado con los datos experimentales (Cuadro 2), y el valor obtenido fue Cw = 0.16 con cultivo y de Cw=0.41 sin cultivo. Los valores de Cw son del mismo orden de magnitud que los reportados por otros investigadores para invernaderos con mallas en las aberturas de ventilación. En una revisión realizada por Molina-Aiz et al. (2009) sobre la eficiencia de ventilación natural de invernaderos equipados con mallas, los valores del coeficiente Cw variaron de 0.16 a 0.82. Roy et al. (2002) sugieren que los parámetros Cd y Cw dependen del tamaño y del diseño del invernadero, de su vecindad inmediata y en particular de la velocidad del viento.
Según Fatnassi et al. (2002), la razón de las tasas de ventilación de un invernadero con mallas y sin mallas, puede ser considerada proporcional a la razón de los coeficientes de descargas de sus ventanas, esto es:

Esto significa que, para una superficie de ventanas sin cambio, el flujo de ventilación con mallas representa una disminución de 48 % del flujo sin malla. Por tanto, un incremento en el área de ventilación de la misma proporción (48 %) es necesario para mantener la tasa de ventilación sin cambio.
Las tasas de ventilación estimadas en este estudio así como el modelo teórico de ventilación calibrado son aplicables en verano para una configuración de ventanas laterales y cenitales simultáneamente abiertas, con un cultivo de índice de área foliar de aproximadamente 3. Por ello se debe determinar el efecto sobre las tasas de ventilación de las configuraciones no incluidas en este estudio, como: solo ventilación cenital, solo ventilación lateral, la orientación del viento (Fatnassi et al., 2009) y de las hileras del cultivo (Majdoubi et al., 2007) con respecto al eje del invernadero, la altura e índice de área foliar del cultivo (Fatnassi et al., 2009). Además, para que el modelo teórico de ventilación sea de aplicación más general es necesario incluir el área de ventilación cenital, el área de ventilación lateral, y el efecto chimenea (Kittas et al., 2007; Roy et al., 2002).
CONCLUSIONES
Las tasas de ventilación natural estimadas mediante el método del balance de energía fueron más altas cuando las velocidades del viento fueron mayores y cuando el invernadero se encontraba sin cultivo. Las tasas de ventilación fueron bajas e insuficientes para lograr las renovaciones de aire recomendadas para tener condiciones climáticas adecuadas dentro de un invernadero. El método de balance de energía permitió una estimación precisa de la ventilación natural del invernadero. El modelo teórico de ventilación una vez calibrado permite un cálculo práctico de las tasas de ventilación natural del invernadero. Las mallas anti insecto instaladas en las aberturas de ventilación causaron una reducción del 48 % en las tasas de ventilación. Los resultados muestran que la ventilación natural del invernadero de baja tecnología es insuficiente para generar la temperatura y humedad óptimas que requieren los cultivos y, por lo tanto, es necesario usar sistemas de ventilación forzada.
LITERATURA CITADA
Álvarez, A. J., R. M. Oliva, and D. L. Valera. 2012. Software for the geometric characterisation of insect-proof screens. Comput. Electron. Agric. 82: 134-144. [ Links ]
Boulard, T., and A. Baille. 1993. A simple greenhouse climate control model incorporating effects of ventilation and evaporative cooling. Agric. For. Meteorol. 65: 145-157. [ Links ]
Boulard, T., J. F. Meneses, M. Mermier, and G. Papadakis. 1996. The mechanisms involved in the natural ventilation of greenhouses. Agric. For. Meteorol. 79: 61-77. [ Links ]
Brundrett, E. 1993. Prediction of pressure drop for incompressible flow through screens. J. Fluids Eng. 115: 239-242. [ Links ]
Demrati, H., T. Boulard, A. Bekkaoui, and L. Bouirden. 2001. Natural ventilation and microclimatic performance of a large-scale banana greenhouse. J. Agric. Eng. Res. 80: 261-271. [ Links ]
Espejel T., D., y I. L. López C. 2013. Determinación de las tasas de ventilación natural en un invernadero mediante modelos teóricos y gases trazadores. Rev. Mex. Cienc. Agríc. 4: 185-198. [ Links ]
Fatnassi, H., T. Boulard, H. Demrati, L. Bouirden, and G. Sappe. 2002. Ventilation performance of a large Canarian-type greenhouse equipped with insect-proof nets. Biosyst. Eng. 82: 97-105. [ Links ]
Fatnassi, H.; C. Leynoras, T. Boulard, M. Bardin, and P. Nicot. 2009. Dependence of greenhouse tunnel ventilation on wind direction and crop height. Biosyst. Eng. 103: 338-343. [ Links ]
Harmanto, H. J. Tantau, and V. M. Salokhe. 2006. Microclimate and air exchange rates in greenhouses covered with different nets in the humid tropics. Biosyst. Eng. 94: 239-253. [ Links ]
Jones, P. H. 2008. Greenhouse environmental design considerations. In: Hochmuth, G. (ed). Florida Greenhouse Vegetable Production Handbook, Volume 2, Document HS778. University of Florida, Gainesville, EE.UU. http://ufdc.ufl.edu/l/IR00001684/00001 (Consulta: abril 2014). [ Links ]
Katsoulas, N., T. Bartzanas, T. Boulard, M. Mermier, and C. Kittas. 2006. Effect of vent openings and insect screens on greenhouse ventilation. Biosyst. Eng. 93: 427-436. [ Links ]
Kittas, C., T. Boulard, and G. Papadakis. 1997. Natural ventilation of a greenhouse with ridge and side openings: sensitivity to temperature and wind effects. Trans. ASAE 40: 415-425. [ Links ]
Kittas, C., T. Boulard, T. Bartzanas, N. Katsoulas, and M. Mermier. 2002. Influence of an insect screen of greenhouse ventilation. Trans. ASAE 45: 1083-1090. [ Links ]
Majdoubi, H., T. Boulard, A. Hanafi, A. Bekkaoui, H. Fatnassi, H. Demrati, M. Nya, and L. Bouirden. 2007. Natural ventilation performance of a large greenhouse equipped with insect screens. Trans. ASABE 50: 641-650. [ Links ]
Mashonjowa, E., F. Ronsse, J. R. Milford, R. Lemeur, and J. G. Pieters. 2010. Measurement and simulation of the ventilation rates in a naturally ventilated Azrom-type greenhouse in Zimbabwe. Appl. Eng. Agric. 26: 475-488. [ Links ]
Molina-Aiz, F. D., D. L. Valera, A. A. Peña, J. A. Gil, and A. López. 2009. A study of natural ventilation in an Almería-type greenhouse with insect screens by means of tri-sonic anemometry. Biosyst. Eng. 104: 224-242. [ Links ]
Romero-Gomez, P., I. L. Lopez-Cruz, and C. Y. Choi. 2008. Analysis of greenhouse natural ventilation under the environmental conditions of central Mexico. Trans. ASABE 51: 1753-1761. [ Links ]
Roy, J. C., T. Boulard, C. Kittas, and S. Wang. 2002. Convective and ventilation transfers in greenhouses, Part 1: the greenhouse considered as a perfectly stirred tank. Biosyst. Eng. 83: 1-20. [ Links ]
Shilo, E., M. Teitel, Y. Mahrer, and T. Boulard. 2004. Air-flow patterns and heat fluxes in roof-ventilated multi-span greenhouses with insect-proof screens. Agric. For. Meteorol. 122: 3-20. [ Links ]
Teitel, M., O. Liran, J. Tanny, and M. Barak. 2008. Wind driven ventilation of a mono-span greenhouse with a rose crop and continuous screened side vents and its effect on flow patterns and microclimate. Biosyst. Eng. 101: 111-122. [ Links ]
Valera, D. L., A. J. Alvarez, and F. D. Molina. 2006. Aerodynamic analysis of several insect screens used in greenhouses. Span. J. Agric. Res. 4: 273-279. [ Links ]
Van 'T Ooster, A., E. Heuvelink, V. M. Loaiza M., and E. J. Van Henten. 2008. Technical solutions to prevent heat stress induced crop growth reduction for three climatic regions in Mexico. Acta Hortic. 801: 1251-1258. [ Links ]
Wang, S., and J. Deltour. 1996. An experimental ventilation function for large greenhouses base on a dynamic energy balance model. Intl. Agric. Eng. J. 5: 103-112. [ Links ]













