Servicios Personalizados
Revista
Articulo
Indicadores
-
Citado por SciELO -
Accesos
Links relacionados
-
Similares en
SciELO
Compartir
Agrociencia
versión On-line ISSN 2521-9766versión impresa ISSN 1405-3195
Agrociencia vol.48 no.5 Texcoco jul./ago. 2014
Recursos naturales renovables
Sistema compatible de ahusamiento y volumen comercial para las principales especies de Pinus en Durango, México
Compatible taper and merchantable volume system for major pine species in Durango, Mexico
Gerónimo Quiñonez-Barraza1, Héctor M. De los Santos-Posadas1*, Juan G. Álvarez-González2 , Alejandro Velázquez-Martínez1
1Postgrado Forestal, Campus Montecillo, Colegio de Postgraduados. Carretera México-Texcoco km 36.5. 56230. Montecillo, Texcoco, Estado de México, México.
2Universidad de Santiago de Compostela, Unidad de Gestión Forestal Sostenible. Lugo, España. * Autor responsable (hmsantos@colpos.mx).
Recibido: abril, 2014.
Aprobado: julio, 2014.
Resumen
La estimación del volumen total y comercial es una herramienta básica en la planeación y manejo forestal, por lo cual el objetivo de este estudio fue evaluar tres sistemas segmentados de ahusamiento y volumen comercial con corteza, ajustados como ecuaciones simultáneas para datos de especies forestales comerciales de Durango, México. Los ajustes se realizaron desde tres perspectivas: 1) para cada especie en los tres sistemas, 2) ajustes globales combinando todas las especies (modelo reducido) y, 3) ajuste global considerando variables indicadoras (modelo completo). El ajuste de los sistemas compatibles de ahusamiento y volumen comercial sugieren que las especies estudiadas presentan dos puntos de inflexión; la forma dendrométrica de neiloide a paraboloide, en promedio para las especies estudiadas, sucede a 5 % de la altura total, mientras que el cambio de paraboloide a cono ocurre a 73 %. El sistema 3 (S3) posee mejores cualidades de ajuste entre los sistemas analizados, y el modelo completo con variables indicadoras con efectos aditivos a Pinus durangensis Martínez resultó mejor que el modelo reducido. Con el modelo completo Pinus ayacahuite Ehrenb presenta los fustes menos cilíndricos; Pinus arizonica Engelmannii presenta los fustes más cilíndricos, mientras que P. durangensis Martínez, Pinus leiophylla Schlecht Cham y Pinus teocote Schlecht et Cham tienen una forma paraboloide similar. El modelo completo hace eficiente el ajuste del sistema compatible, todos los datos se utilizan en el proceso de ajuste y los errores estándar de los parámetros disminuyen.
Palabras clave: Pinus arizonica, Pinus ayacahuite, Pinus durangensis, Pinus leiophylla, Pinus teocote, sistema compatible.
Abstract
The estimate of the merchantable and total volume is an essential tool in the forest planning and management, so the aim of this study was to evaluate three segmented systems of taper and merchantable volume with bark fitted as simultaneous equations for data from commercial forest species of Durango, Mexico. Fittings were made from three perspectives: 1) for each species in the three systems, 2) global fittings combining all species (reduced model) and 3) overall fit considering dummy variables (full model). Fitness of compatible systems of taper and merchantable volume suggest that studied species present two inflection points; the dendrometric shape from neiloide to paraboloidal, on average for the species studied, happens at 5 % of the total height, whereas the change from paraboloid to cone occurs at 73 %. System 3 (S3) has better qualities of fit between the analyzed systems and the full model with indicator variables with additive effects on Pinus durangensis Martinez was better than the reduced model. With the full model, Pinus ayacahuite Ehrenb presents the less cylindrical stem; Pinus arizonica Engelmannii presents the more cylindrical boles, whereas P. durangensis Martinez, Pinus leiophylla Schlecht et Cham and Pinus teocote Schlecht et Cham have a similar paraboloidal shape. The full model makes efficient the fit of the compatible system, all data in the fit process are used and standard errors of the parameters are reduced.
Key words: Pinus arizonica, Pinus ayacahuite, Pinus durangensis, Pinus leiophylla, Pinus teocote, compatible system.
INTRODUCCIÓN
La estimación del volumen total y comercial de los árboles de un rodal es una herramienta básica en los inventarios forestales y esencial en la planeación del manejo forestal (Corral-Rivas y Návar-Cháidez, 2009). Las estimaciones de volumen comercial permiten predicciones a cualquier diámetro sobre el fuste y altura deseados (Cruz-Cobos et al., 2008; Crecente-Campo et al., 2009). La predicción del volumen comercial individual y de masas forestales se realiza a través de varios métodos, y los más usuales incorporan el uso de ecuaciones de razón del volumen y de ahusamiento. Las ecuaciones de volumen predicen el volumen comercial de un árbol como un porcentaje del volumen total del fuste y las ecuaciones de ahusamiento son formulaciones matemáticas que describen la forma del fuste. La integración de las secciones aportadas por la ecuación de ahusamiento, del suelo hasta la altura total del árbol, proporciona el volumen total del fuste. Si en lugar de la altura total del árbol se emplea una altura inferior, se obtendrá el volumen comercial hasta dicha altura (Jordan et al., 2005; Zakrzewski y MacFarlane, 2006).
La clasificación de los modelos de ahusamiento se define por la complejidad en las expresiones matemáticas y de acuerdo con el número de variables y coeficientes involucrados en el modelo. Así se distinguen los modelos más simples (Ormerod, 1973), los modelos de ahusamiento de forma variable (Kozak, 1988; Newnhan, 1990) y los modelos polinomiales segmentados (Bruce et al., 1968; Max y Burkhart, 1976; Cao et al., 1980). Además, la compatibilidad de los sistemas de ahusamiento y volumen se define por la integración de la ecuación de ahusamiento y se obtiene la ecuación de volumen; así, para una ecuación de volumen comercial existe de manera intrínseca una función de ahusamiento (Clutter, 1980; Crecente-Campo et al., 2009).
El ajuste de un sistema de ecuaciones simultáneas puede complementarse con la adición de efectos aleatorios con modelos de efectos mixtos (MEM), lo cual permite controlar la variación aleatoria individual del árbol y desplazar los problemas de heterocedasticidad y autocorrelación; además, es posible usar estimaciones de los efectos aleatorios para tener predicciones precisas de nuevas observaciones (Fang y Bailey, 2001; Cruz-Cobos et al., 2008).
Los objetivos de este estudio fueron ajustar tres sistemas compatibles de ahusamiento y volumen comercial como ecuaciones simultáneas para Pinus arizonica Engelmannii, Pinus ayacahuite Ehrenb, Pinus durangensis Martínez, Pinus leiophylla Schlecht Cham y Pinus teocote Schlecht et Cham en un predio de Durango, México, y ajustar el sistema de Fang et al. (2000) sin diferenciar entre las especies (modelo reducido) y con variables indicadoras (modelo completo) para encontrar diferencias entre las especies.
MATERIALES Y MÉTODOS
Descripción del área de estudio y descripción de las variables
La base de datos se recolectó en el ejido San Diego de Tezains, al noroeste del estado de Durango, el cual presenta antecedentes de manejo forestal desde hace 45 años, tiene una superficie de 60 801.92 ha y 26 038.02 ha de producción maderable bajo manejo, y está ubicado entre 24° 48' 16.98", 25° 13' 47.25" N y 105° 53' 09.81", 106° 12' 52.58" O. Las variables en los sistemas de amasamiento y volumen comercial fueron; d=diámetro a la altura h (cm), D=diámetro normal (cm), Db,=diámetro del tocón (cm), h= altura (m) desde la base del árbol hasta el punto donde se alcanza el diámetro d, H= altura total del árbol (m), hb=altura del tocón (m), Vt=volumen total del árbol (m3), Vc=volumen comercial (m3) a un diámetro de punta d, Vs=volumen de la troza i (m3) desde la base del árbol hasta la altura h, k=π/40 000 constante métrica cuando el diámetro es dado en centímetros y la altura en metros o π/4 cuando el diámetro y la altura son dados en metros y z=h/H es la altura relativa.
Caracterización de la base de datos
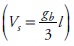
La base de datos utilizada fue de 785, 413, 1081, 506 y 768 mediciones de diámetro a diferentes alturas obtenidas de 46, 26, 69, 30 y 51 árboles de P. arizonica (Pa), P. ayacahuite (Pay), P. durangensis (Pd ), P. leiophylla (Pl ) y P. teocote (Pt ), respectivamente. Estos datos provienen del análisis troncal de árboles dominantes-codominantes, intermedios y suprimidos seleccionados de acuerdo con la caracterización diámetrica y distribuidos de manera aleatoria en todo el predio para cubrir la variabilidad de los perfiles de los fustes de las diferentes especies para generar el sistema biométrico local. Los datos se obtuvieron derribando el árbol a la altura mínima posible del tocón; la primera sección se obtuvo a 30 cm del suelo, la segunda a 60 cm y la tercera en el diámetro normal (1.30 m). Las secciones se obtuvieron cada 2 m hasta la punta del árbol. En cada troza se midieron los diámetros y longitud (l) y se calculó el área de la base (g1) y la punta (g2). Los volúmenes de las trozas fueron calculados con la fórmula de Smalian
y la parte final con la del cono
, donde gb es el área de la base de dicho cono y l su altura. En la Figura 1 se muestran las tendencias de los datos de las especies estudiadas.
Modelos utilizados
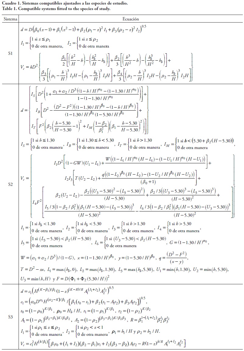
Los modelos segmentados de ahusamiento (d) y volumen comercial (Vc) fueron los desarrollados por Max y Burkhart (1976), Clark et al. (1991) y Fang et al. (2000), y se denominaron S1, S2 y S3, respectivamente (Cuadro 1).
Las variables indicadoras usadas en el modelo completo fueron consideradas como efectos aditivos a la especie de P. durangensis, ya que ésta presenta el mayor número de observaciones. El planteamiento de los parámetros globales del modelo fue expresado como;
representa la variable indicadora para cada especie (sp); j=2 P arizonica, 3 P. teocote, 4 P. leiophylla y 5 P. ayacahuite. Los parámetros globales fueron replanteados en función de las variables indicadoras, de forma tal que αi o βi se pueden escribir de manera general como αi = αi1 + αi2I2 + αi3I3 + αi414 + αi5 I5, o βi = βi1 + βi2I2 + βi3I3 + βi4I4 + βi5 I5 para i=1, 2 y 3. El modelo completo con variables indicadoras sólo considera los parámetros significativos (p≤ 0.05) en el proceso de modelado.
Parámetros estadísticos utilizados para medir el ajuste
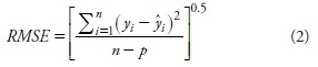
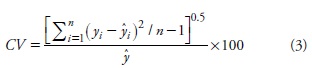
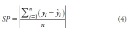
La bondad de juste de los modelos se midió a través del análisis de los residuales y con la obtención de los estadísticos como el coeficiente de determinación ajustado (Ra2), la raíz del cuadrado medio del error (RMSE), el coeficiente de variación (CV), el sesgo promedio absoluto (SP) y el criterio de información de Akaike (AIC) (Lu y Zhang, 2011). Para comparar el modelo completo contra el modelo reducido se usó la prueba de F generalizada (Washington et al., 2011).






donde yi,
, e
son los valores observados, predichos y promedio de la variable dependiente, n es el número de observaciones, p es el número de parámetros del modelo, F* es el valor de la prueba estadística con distribución F, SSER y SSEF son la suma de cuadrados del error de los modelos reducido y completo, y dƒR y dƒF son los grados de libertad del error.
Metodología de ajuste de los modelos
Los sistemas compatibles pueden ser ajustados por mínimos cuadrados ordinarios (OLS), ajustados de forma simultánea con máxima verosimilitud con información completa (FIML) o con regresión aparentemente no relacionada (SUR). El método FIML o el SUR representan estimadores consistentes para las ecuaciones del sistema, lo cual representa una ventaja sobre el OLS, ya que en este último caso se debe decidir si se minimiza el error en la ecuación de ahusamiento o en el volumen comercial (Fang et al., 2000; Brooks et al., 2008; Cruz-Cobos et al., 2008). Para el sistema 2 se estimó el diámetro di a la altura de 5.30 m con el modelo propuesto por Clark et al. (1991), el cual fue ajustado de forma global para todas las especies.
Los modelos fueron ajustados de forma simultánea para los componentes de ahusamiento y volumen comercial con el procedimiento Model SAS/ETS por la técnica FIML; así el ajuste, se optimizó sobre la predicción de parámetros (SAS Institute Inc., 2011). El modelo reducido y el completo fueron ajustados con diámetros medidos en metros, para sensibilizar las diferencias de los parámetros entre las especies.
Multicolinealidad, autocorrelación y heterocedasticidad
La presencia de multicolinealidad entre las variables de los sistemas analizados fue evaluada con el número de la condición (CN), que se define como la raíz cuadrada del cociente entre el mayor y el menor autovalor de la matriz de correlación. De acuerdo con Belsey (1991), si el CN está dado por el intervalo 5-10 la colinealidad no representa problema, si se encuentra entre 30-100 existen problemas asociados de multicolinealidad, y si se encuentra entre 100 y 3000 hay fuertes problemas asociados a la multicolinealidad de variables. Los problemas de autocorrelación en el componente de ahusamiento se corrigieron con una estructura de errores autorregresiva modificada CAR (2), la cual consideró la distancia entre las mediciones de la altura comercial en cada uno de los árboles (Zimmerman y Núñez-Antón, 2001), y dicha estructura es dada por (7).

donde eij es el residual ordinario en el árbol i, di= 1 para j> 1 y di=0 para j=1, γi, es el parámetro autorregresivo de orden i, y hij-hij-1 es la distancia de separación de la j a la j-1 observación dentro de cada árbol, hij>hij-1.
La estructura de error CAR(2) fue programada en el procedimiento MODEL de SAS/ETS™ (SAS institute Inc., 2011), que permite la actualización dinámica de los residuales y sensibilizó las pruebas de hipótesis de los parámetros en los sistemas ajustados, y con esta estructura se probaron las diferencias de las formas dendrométricas de los fustes entre las especies de manera simultánea. La Figura 2 muestra la corrección de la autocorrelación de los errores para la ecuación de ahusamiento. El problema de heterocedasticidad asociada al volumen comercial fue corregido con una función de potencia de la varianza del residual
con el D y la H como variables independientes (Crecente-Campo et al., 2009). El valor más razonable del término exponencial φ debería proveer la gráfica más homogénea de residuales estandarizados (Huang et al., 2000). El error estimado del modelo no ponderado (êi) fue usado como la variable dependiente en la varianza del error del modelo
. Los parámetros fueron estimados y programados en el procedimiento MODEL de SAS/ETS™ (SAS Institute Inc., 2011), con la especificación 

RESULTADOS Y DISCUSIÓN
En el Cuadro 2 se presentan los estimadores de los parámetros y sus respectivos errores estándar para los sistemas compatibles ajustados a las especies de estudio. Todos los parámetros fueron significativos (p≤0.01). En el Cuadro 3 se muestran los estadísticos de bondad de ajuste, la condición del número (CN) y la prueba de Durbin-Watson (DW) como medida de la corrección de la autocorrelación en el modelo de ahusamiento (Durbin y Watson, 1971).
El sistema compatible desarrollado por Fang et al. (2000) presenta ventajas en los estadísticos de ajuste comparado con los sistemas desarrollados por Max y Burkhart (1976) y Clark et al. (1991). El sistema de Fang et al. (2000) es muy plausible para la descripción de las formas de los fustes y su implementación se incorpora de manera sencilla en los sistemas biométricos para la elaboración y ejecución de programas de manejo forestal (Corral-Rivas et al., 2007). Para algunas especies el S2 es mejor que el S3, pero el S3 tiene mejor parsimonia en la expresión matemática, no restringe los puntos de inflexión y presenta menor grado de colinealidad que S1. El ajuste de los componentes de ahusamiento y volumen comercial de manera compatible permitió distribuir de forma porcentual el volumen por productos y eliminar las incompatibilidades de ajustar los componentes por separado (Cruz-Cobos et al., 2008; Hernández et al., 2013).
El modelo reducido considera la forma de los fustes menos cilíndricos, ya que el segundo punto de inflexión sucede al 73 % de la altura total con relación al promedio obtenido para el ajuste individual por especie (Cuadro 4). En el Cuadro 5 se presentan los estimadores de los parámetros, sus errores estándar y los estadísticos de ajuste para el ahusamiento y volumen comercial de manera global. El diámetro expresado en metros permitió obtener los coeficientes de las formas dendrométricas de manera directa.
El modelo completo que describe la diferencia entre los parámetros del volumen total de fuste y los que describen la forma del ahusamiento resultó mejor (p≤0.01) que el modelo reducido, de acuerdo con la prueba de F generalizada (Washington et al., 2011) y los estadísticos usados para medir el ajuste.
El modelo completo con variables indicadoras (Cuadro 5) muestra a P. arizonica con los fustes más cilíndricos (factor de forma, ƒƒ = 0.528 para el segmento medio, calculado como ƒƒ=β2(1)k-1) y a P ayacahuite con los fustes más cónicos (ƒƒ= 0.415), mientras que P. durangensis, P. leiophylla y P. teocote presentan fustes estadísticamente no diferentes y con forma de paraboloide casi perfecta (ƒƒ=0.499). Esta cualidad responde a las características de la poda natural; en contraste, P. ayacahuite presenta menor poda natural. Es razonable suponer que se debe al historial de aprovechamientos forestales en el área de estudio con manejo regular e irregular, el cual es similar en la región forestal de Santiago Papasquiaro, Durango.
El modelo completo asume fustes menos esbeltos que el modelo reducido, de acuerdo con los puntos de inflexión (Cuadro 5). El modelo completo con variables indicadoras presenta ventajas importantes en cuanto al modelo reducido, ya que el primero asume las diferencias en los parámetros de la ecuación de volumen total (Schumacher y Hall, 1933) y las diferencias en los parámetros que definen el ahusamiento y volumen comercial. Corral-Rivas et al. (2007) compararon el ajuste del modelo de ahusamiento de Fang et al. (2000) para todos los pares de cinco especies forestales (P. cooperi, P. durangensis, P. engelmannii, P. leiophylla y P. teocote), y reportan 10 comparaciones (modelos completos) y diferencias para todos los casos entre el modelo completo y el modelo reducido. La estrategia del presente estudio fue encontrar las diferencias entre todas las especies. Así, el modelo completo describe las diferencias por adición a P. durangensis de los parámetros que describen la forma del ahusamiento y volumen total y comercial. Los parámetros con adiciones no significativas (p>0.05) fueron estadísticamente similares.
En la Figura 3 se muestra la distribución de los residuales en forma de gráficas de caja y alambre del modelo completo, el componente de ahusamiento (d) expresado por categorías de porcentaje a la altura relativa (h/H ) y el volumen comercial (Vc) expresado por categoría diámetrica (CD).
La distribución de los residuales, por categorías de altura relativa para el ahusamiento y por categorías de diámetro (5 cm) para el volumen, indican que el modelo completo es muy preciso cuando se quiere obtener volumen comercial a diámetros de punta de hasta 25 cm, y que su aplicación no es práctica en diámetros y alturas por abajo del diámetro normal. Corral-Rivas et al. (2007) encontraron una distribución muy cercana al 0 para el ahusamiento de las especies estudiadas de la región de El Salto, Durango, México; sin embargo, no presentan la categoría relativa de alturas del 10 %, para la cual se encontraron los errores más altos en el presente estudio.
El modelo completo fue ajustado bajo el enfoque de Modelos con Efectos Mixtos (MEM), con una formulación bivariada y efecto aleatorio debido al árbol. El ajuste consideró efectos fijos y aleatorios para el parámetro que describe la forma paraboloide del fuste (β2), con una estructura como la propuesta por Hall y Clutter (2004), la cual fue estudiada por Cruz-Cobos et al. (2008) y Tamarit et al. (2014). Sin embargo, los resultados sugieren que la estructura del modelo completo es mejor de acuerdo con los estadísticos usados, ya que el ajuste MEM minimiza el cuadrado medio del error del modelo de ahusamiento, pero no el de volumen comercial. Además, el sesgo promedio aumenta de manera considerable para el componente del volumen comercial. Por esta razón y considerando que la estructura bivariada compensa por el doble de grados de libertad, no se presentan los resultados del ajuste con MEM.
CONCLUSIONES
El sistema desarrollado por Fang et al. (2000), de acuerdo con los estadísticos de ajuste, fue mejor que el desarrollado por Max y Burkhart (1976) o el de Clark et al. (1991), por lo cual dicho sistema se puede usar como modelo completo o reducido para caracterizar el ahusamiento y volumen comercial para las especies estudiadas.
El modelo completo con variables indicadoras muestra las diferencias en el volumen total y la forma del fuste para P. arizonica, P. ayacahuite, P. durangensis, P. leiophylla y P. teocote. En el modelo completo los parámetros del volumen y ahusamiento son muy similares para P. durangensis, P. arizonica y P. teocote. Las similitudes se fundamentan en que estas especies comparten espacios de crecimiento, se desarrollan de forma mezclada y la silvicultura aplicada es similar. La estructura del modelo completo hace eficiente el ajuste del sistema compatible, se utilizan todos los datos en el proceso de ajuste y los errores estándar de los parámetros disminuyen. Los coeficientes de forma para el volumen total de fuste obtenidos con el modelo completo son 49 % para P. ayacahuite y 58 % para las demás especies.
Los sistemas compatibles de ahusamiento y volumen comercial, con las diferentes estrategias abordadas, se centran en las condiciones de las masas mezcladas incoetáneas del área de estudio, las cuales son similares para la región forestal de Santiago Papasquiaro, Durango, pero la utilización en otras condiciones sugiere un proceso previo de validación.
AGRADECIMIENTOS
El autor principal agradece el apoyo otorgado por el Consejo Nacional de Ciencia y Tecnología (CONACYT) para el desarrollo de los estudios de doctorado. Un agradecimiento al Postgrado en Ciencias Forestales del Colegio de Postgraduados, Campus Montecillo, a la Escuela Politécnica Superior de Lugo, Universidad de Santiago de Compostela, España y al Ejido San Diego de Tezains.
LITERATURA CITADA
Belsey, D. A. 1991. Conditioning Diagnostic, Collinearity and Weak Data in Regression. John Wiley & Sons Inc. New York. 396 p. [ Links ]
Brooks, J. R., L. Jiang, and R. Ozcelik. 2008. Compatible stem volume and taper equations for Brutian pine Cedar of Lebanon, and Cilicica fir in Turkey. For. Ecol. Manage. 256: 147-151. [ Links ]
Bruce, R., L. Curtis, and C. Van Coevering. 1968. Development of a system of taper and volume tables for red alder. For. Sci. 14: 339-350. [ Links ]
Cao, Q. V., H. E. Burkhart, and T. A. Max. 1980. Evaluations of two methods for cubic-foot volume prediction of loblolly pine to any merchantable limit. For. Sci. 26: 71-80. [ Links ]
Clark, A., R. A. Souter, and B. E. Schalaegel. 1991. Stem profile equations for southerm tree species. USDA For. Serv. Res. Pap. SE-282. Atlanta, GA, USA. 113 p. [ Links ]
Clutter, J. L. 1980. Development of taper functions from variable-top merchantable volume equations. For. Sci. 26: 117-120. [ Links ]
Clutter, J. L., J. C. Forston, L. V. Pienaar, G. H. Brister, and R. L. Bailey. 1983. Timber Management. Wiley, New York, USA. 333 p. [ Links ]
Corral-Rivas, J. J., U. Diéguez-Aranda, S. Corral R., and F. Castedo D. 2007. A merchantable volume system for major pine species in El Salto, Durango (México). For. Ecol. Manage. 238: 118-129. [ Links ]
Corral-Rivas, S., y J. J. Návar-Chaidez. 2009. Comparación de técnicas de estimación de volumen fustal total para cinco especies de Durango, México. Rev. Chapingo Serie Ciencias For. y del Ambiente 15: 5-13. [ Links ]
Crecente-Campo, F., A. Rojo A., and U. Diéguez-Aranda. 2009. A merchantable volume system for Pinus sylvestris L. in the major mountains ranges of Spain. Ann. For. Sci. 66 (808): 1-12. [ Links ]
Cruz-Cobos, F., H. M. De los Santos-Posadas, y J. R. Valdéz-Lazalde, 2008. Sistema compatible de ahusamiento volumen para Pinus cooperi Blanco en Durango México. Agrociencia 42: 473-485. [ Links ]
Durbin, J., and G. S. Watson. 1971. Testing for serial correlation in least squares regression III. Biometrika 58: 1-19. [ Links ]
Fang, Z., and R. L. Bailey. 2001. Nonlinear mixed effects modeling for slash pine dominant height growth following intensive silvicultural treatments. For. Sci. 47(3): 287-300. [ Links ]
Fang, Z., B. E. Borders, and R. L. Bailey. 2000. Compatible volume-taper models for Loblolly and Slash pine based on a system with segmented-stem form factors. For. Sci. 46(1): 1-12. [ Links ]
Hall, D. B., and M. Clutter. 2004. Multivariate multilevel nonlinear mixed effects models for timber yield predictions. Biometrics 60: 16-24. [ Links ]
Hernández P., D., H. M. De los Santos P., G. Ángeles P., J. R. Valdez L. y V. H. Volke H. 2013. Funciones de ahusamiento y volumen commercial para Pinus patula Schltdl. et Cham. En Zacualtipán Hidalgo. Rev. Mex. Cien. For. 4(16): 35-45. [ Links ]
Huang, S., D. Price, and S. J. Titus. 2000. Development of ecoregion-based height-diameter models for white spruce in boreal forests. For. Ecol. Manage. 129: 125-141. [ Links ]
Jordan, L., K. Berenhaut, R. Souter, and R. F. Daniels. 2005. Parsimonious and completely compatible taper, total and merchantable volume models. For. Sci. 51(6): 578-584. [ Links ]
Kozak, A. 1988. A variable-exponent taper equation. Can. J. For. Res., 18: 1363-1368. [ Links ]
Lu, J., and L. Zhang. 2011. Modeling of tree height-diameter relationships using spatial autorregressive models. For. Sci. 57(3): 252-264. [ Links ]
Max, T. A., and H. E. Burkhart. 1976. Segmented polynomial regression applied to taper equations. For. Sci. 22(3): 283-289. [ Links ]
Newnhan, R. 1990. Mesure du défilement de forme variable. Forests Canada. Institute Forestier National de Petawawa. Rapport information PI-X-83-F. 31 p. [ Links ]
Ormerod, D. 1973. A simple bole model. For. Chro. 49: 136-138. [ Links ]
SAS (Statistical Analysis System) Institute Inc. 2011. SAS/ETS® 9.3 User's Guide. Cary, NC. SAS Institute Inc. pp: 1023-1335. [ Links ]
Schumacher, E. X., and F. D. S. Hall. 1933. Logarithmic expression of timber-tree volume. J. Agr. Res. 4: 719-734. [ Links ]
Tamarit U., J. C., H. M. De los Santo P., A. Aldrete, J. R. Valdez L., H. Ramiréz M. y V. Guerra De la C. 2014. Sistema de cubicación de árboles individuales de Tectona grandis L f. mediante funciones compatibles de ahusamiento-volumen. Rev. Mex. Ciencias For. 5(21): 58-74. [ Links ]
Washington, S. P., M. G. Karlaftis, and F. L. Mannering. 2011. Statistical and Econometric Methods for Transportation Data Analysis. 2nd ed. Chapman & Hall Book/CRC Taylor & Francis Group. New York, NY, USA. pp: 106-109. [ Links ]
Zakrzewski, W. T., and D. W. MacFarlane. 2006. Regional stem profile model for cross-border comparisons of harvested Red pine (Pinus resinosa Ait.) in Ontario and Michigan. For. Sci. 52: 468-475. [ Links ]
Zimmerman, D. L., and V. Núñez-Antón. 2001. Parametric modeling of growth curve data: an overview (with discussion). Test 10: 1-73. [ Links ]












