Servicios Personalizados
Revista
Articulo
Indicadores
-
Citado por SciELO -
Accesos
Links relacionados
-
Similares en
SciELO
Compartir
Agrociencia
versión On-line ISSN 2521-9766versión impresa ISSN 1405-3195
Agrociencia vol.47 no.3 Texcoco abr./may. 2013
Socioeconomía
Respuesta de la demanda de agua a cambios en el precio: un estudio por tipo de consumidor en el norte de Sinaloa, México
Response of the water demand to changes in the price: a study by type of consumer in northern of Sinaloa, Mexico
Jesús Torres-Sombra1, José A. García-Salazar1* , Roberto García-Mata1, Jaime Matus-Gardea1, Elizabeth González-Estrada2, Abel Pérez-Zamorano3
1 Economía, Colegio de Postgraduados. Km. 36.5 Carretera México-Texcoco. 56230. Montecillo, Texcoco, Estado de México, *Autor responsable. (torres.sombra@colpos.mx) (jsalazar@colpos.mx)
2 Estadística, Colegio de Postgraduados. Km. 36.5 Carretera México-Texcoco. 56230. Montecillo, Texcoco, Estado de México.
3 División de Ciencia Económico-Administrativas (DICEA). Universidad Autónoma Chapingo. Km. 38.5 Carretera México-Texcoco. 56230. Chapingo, Estado de México.
Recibido: julio, 2012.
Aprobado: febrero, 2013.
Resumen
La disminución del nivel de almacenamiento de agua en las presas en el norte de Sinaloa, México, y el incremento de la demanda agrícola y residencial hacen urgente establecer políticas que promuevan la distribución y uso eficiente. Para conocer los factores que explican el comportamiento de la demanda de agua en los sectores residencial, agrícola, pecuario, industrial y comercial del norte de Sinaloa, se estimó un modelo de ecuaciones simultáneas, compuesto de diez ecuaciones y tres identidades. El análisis de los resultados indica que la demanda de agua en esos sectores responde de manera inelástica a cambios en el precio, con elasticidades de 0.087, -0.125, 0.065, 0.082 y 0.0054, respectivamente. La disminución de cinco puntos porcentuales en la demanda de agua, en el último año, en los sectores residencial, agrícola e industrial es posible con incrementos de 57.5, 40.0 y 61.0 % en el precio.
Palabras clave: agua, elasticidad, modelo de ecuaciones simultáneas, sectores agrícola, pecuario, industrial, comercial y residencial.
Abstract
The decreased level of water storage in the dams in northern Sinaloa, Mexico, and the increasing agricultural and residential demand requires urgently enacting policies promoting the efficient water distribution and use. To know the factors that explain the behavior of water demand in the residential, agricultural, livestock, industrial and commercial sectors in northern Sinaloa, a simultaneous equations model was estimated; it comprised ten equations and three identities. Analysis of the results indicate that water demand in these sectors responds inelastically to changes in the price, with elasticities of 0.087, 0.125, 0.065, 0.082 and 0.0054, respectively. The decrease of five percentage points in water demand in the last year, in the residential, agricultural and industrial sectors is possible with increments of 57.5, 40.0 and 61.0 % in the price.
Key words: water, elasticity, simultaneous equations model, agricultural, livestock, industrial, commercial and residential sectors.
INTRODUCCIÓN
El aumento de la producción de maíz (Zea mays L.), de la población y de la actividad pecuaria, comercial e industrial ha reducido la disponibilidad de agua superficial en el norte de Sinaloa, México. La ampliación de la fronteraagrícola, el uso ineficiente del agua, la contaminación y el cambio climático han provocado un desequilibrio entre demanda y oferta, y competencia entre los sectores consumidores. Datos de instituciones y organismos municipales (INEGI, 2011; JAPACH, 1990-2010[1]; JAPAF, 1990-2010[2] y JAPAMA, 1990-2010[3]) indican que el incremento de la demanda de agua en el sector residencial del norte de Sinaloa entre 1990 y 2010 se debió al aumento de la población. La demanda de agua en este sector aumentó 108.7 %, y la participación del consumo residencial en la cantidad anual total de agua demandada del sistema de presas pasó de 0.86 a 1.4 %.
En la región norte de Sinaloa están los valles agrícolas El Fuerte y El Carrizo, son irrigados por el río Fuerte y su superficie de riego por gravedad es 312 mil ha: 74.4 % de ésta es de El Fuerte y 25.5 % de El Carrizo. De 1990 a 2010, la superficie sembrada osciló de 258 a 345 mil ha. La actividad agrícola absorbió 98.3 % del agua almacenada en el sistema de presas (CONAGUA-DR75, 1990-2010[4]; CONAGUA-DR76, 1990-2010[5]) (Cuadro 1). En la producción agrícola de la región destacan maíz, trigo (Triticum spp.), sorgo (Sorghum spp.), hortalizas y algunos frutales. El surgimiento de la mosquita blanca (Bemisia tabaci) en 1991 y sus efectos nocivos en la agricultura es una de las causas que explican la disminución de la superficie sembrada en 1993 con soya (Glycine max L.), ajonjolí (Sesamum indicum L.) y cártamo (Carthamus tinctorius) y la modificación del patrón de cultivos en el norte de Sinaloa que tienen láminas de riego de 5, 4.5 y 4.5 cm. El aumento del precio del maíz, la implementación de PROCAMPO y la incertidumbre de el mercado nacional de hortalizas son otros factores que explican porque el productor de Sinaloa prefirió producir maíz blanco, y aumentó la lámina de riego de 5 a 7.5 cm ha 1 sembrada.
Entre 1990 y 2010, el número de industrias instaladas en la región pasó de 511 a 1655, con lo que la demanda de agua en ese sector aumentó 63.8 % y el consumo de agua pasó de 0.41 a 0.64 hm3 (JAPAMA, 1990-2010m3\ CONAGUA, 2011[6]). La participación del consumo industrial en la disponibilidad anual de agua de las presas regionales varió de 0.017 a 0.062 %.
De acuerdo con INEGl-BIE (2011), de 1990 a 2010 el inventario bovino de la región varió de 195 a 204 mil, mientras que el inventario porcino ascendió de 64 a 204 mil. En 2010 la demanda de agua en el sector pecuario fue 5.9 hm3 y representó 0.2 % del agua disponible en la región (Cuadro 1).
Entre 1990 y 2010 la demanda anual de agua en el sector comercial osciló entre 2.1 y 2.4 hm3, tuvo valor promedio de 2.21 hm3 al año y aumentó 14.0 %, equivalente a 0.30 hm3 (JAPAMA, 1990- 2010[3]; CONAGUA, 2011[6]).
De acuerdo con datos de los distritos 75 y 76, la demanda de agua para riego agrícola en el norte de Sinaloa superó 20 % la capacidad de almacenamiento. Entre 2008 y 2010, la captación media anual de agua en el sistema regional de presas descendió 2.6 % cada año; en contraste, en el mismo periodo la superficie de riego por gravedad aumentó 32 800 ha, equivalente a 10.5 %. La demanda de agua en el ciclo otoño-invierno de 2010 fue 2502.02 hm3. Lo anterior implica un requerimiento medio anual de agua de 4520 hm3 en el sector para absorber las pérdidas de agua por conducción, evaporación e ineficiencia en el uso de agua en los predios; es decir, 62.5 % del agua total captada en el sistema de presas durante 2010.
Wong (1972), Griffin y Chang (1991) y Lyman (1992) muestran una relación inversa entre la demanda y el precio del agua, por lo cual sería factible disminuir el consumo a través de aumentos razonables en las tarifas.
El agua es indispensable en todos los sectores consumidores, por lo cual la hipótesis de este estudio es de una respuesta inelástica de la demanda en la agricultura, la ganadería y el sector residencial, industrial y comercial del norte de Sinaloa, a cambios en el precio. El objetivo del estudio fue determinar algunos factores que definen el comportamiento de la demanda de agua en cada sector, para dar elementos confiables que permitan crear políticas que motiven un control más eficiente.
MATERIALES Y MÉTODOS
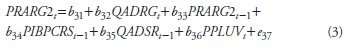
Se estimó un modelo de ecuaciones simultáneas con cinco ecuaciones de demanda, cinco ecuaciones de precio y tres identidades. Considerando que las fuentes de abastecimiento y tratamiento previo del agua utilizada difieren según el sector, el modelo supone que la demanda en cada sector es independiente. El modelo es:













donde, para el año t, en la ecuación 1, PRAR2t es el precio promedio real del agua para uso residencial ($ por m3); QADSRt es la demanda de agua en sector residencial (hm3); PRAR2t-1 es el precio promedio real del agua para uso residencial ($ por m3); PIBPCRSt-1 es el PIB per-cápita real en Sinaloa ($ por persona); CPCAR es el consumo per-cápita de agua en el sector residencial (m3 por persona); QADRGt-1 es la demanda de agua para riego por gravedad por ciclo agrícola (hm3); NHRGt, es la superficie sembrada por ciclo agrícola (ha); TEMPt es la temperatura media anual en Sinaloa (°C). En la ecuación 2 PRERt es el precio real de la electricidad para uso residencial ($ por Kw-hr); PIBPCRSt es el PIB per cápita real en Sinaloa ($ por persona); PEREMPt es la población ocupada en Ahome, El Fuerte y Choix (personas); PRARG2t-1 es el precio real del agua para riego por gravedad ($ por dm3); CAP1t es el volumen medio anual de agua almacenada en las presas (hm3). En la ecuación 3 PRARG2t es el precio promedio real del agua para riego por gravedad ($ por Dm3); QADRGt es la demanda por ciclo agrícola para riego por gravedad (hm3); QADSRt-1 es la demanda de agua por el sector residencial (hm3); PPLU-Vt es la precipitación pluvial promedio anual en el norte de Sinaloa (mm). En la ecuación 4 PREUAt es el precio real de la energía eléctrica para uso agrícola ($ por Kw-hr); PPRAt-1es el precio promedio real del nitrógeno ($ por ton). En la ecuación 5 PRASPt es el precio promedio real del agua por el sector pecuario ($ por m3); QADSPt es la demanda de agua por el sector pecuario (hm3); PRASPt-1 es el precio promedio real del agua por el sector pecuario ($ por m3); PREUAt-1 es el precio real de la energía eléctrica para uso agrícola ($ por Kw-hr). En la ecuación 6 PRPGBPt es el precio real al productor del bovino en pie ($ por kg). En la ecuación 7 PRAUIt es el precio promedio real del agua para uso industrial ($ por m3); QADIt es la demanda de agua por el sector industrial (hm3); PRAUIt-1 es el precio promedio real del agua para uso industrial ($ por m3); TEMPt es la temperatura media anual en Sinaloa (°C). En la ecuación 8 PREUIt1 es el precio real de la energía eléctrica para uso industrial ($ por kw-hr); PRAUC2t-1 es el precio promedio real del agua para uso comercial ($ por m3); PRAUC2t es el precio promedio real del agua para uso comercial ($ por m3). En la ecuación 9 QADSCt es la demanda de agua por el sector comercial (hm3); PRAUC2t1 es el precio real del agua para uso comercial ($ por m3); PPLUVt -1 es la precipitación pluvial promedio anual (mm). En la ecuación 10 PREUC3t es el precio real de la energía eléctrica para uso comercial ($ por kw-hr). En las igualdades 11, 12 y 13 QADPt es la demanda de agua en el sistema de presas (hm3); QASUBDt es la cantidad de agua demandada del subsuelo (hm3); DEAGPNSt es la demanda de agua por el ganado porcino (hm3); QTADNSt es la cantidad total de agua demandada en el norte de Sinaloa (hm3).
El modelo se justifica con evidencia empírica y se basa en estudios realizados por Beatrie y Foster (1980), Nieswiadomy y Molina (1991) y Bachrach y Vaughan (1994). El modelo considera dos ecuaciones para cada consumidor, una para el precio y otra para la demanda. La estructura responde a la necesidad de solucionar el problema de la definición simultánea de la demanda y el precio en que, de acuerdo con Olmstead y Hane-mann (2007), el usuario incurre al situarse en un intervalo de consumo, o al adoptar la siembra de un cultivo especifico. Lo anterior implica que el usuario elige simultáneamente el precio y el consumo de agua y bajo esta condición, de acuerdo con Nieswiadomy y Molina (1989) y Olmstead y Hanemann (2007), la estimación de los parámetros mediante mínimos cuadrados ordinarios conduce a parámetros sesgados e inconsistentes. Según los resultados obtenidos por Nieswiadomy y Molina (1991) y Bachrach y Vaughan (1994), se plantea una ecuación para la demanda y una más para el precio. La estimación de los parámetros de cada ecuación se realiza mediante mínimos cuadrados de dos etapas.
Las ecuaciones 1, 3, 5, 7 y 9 establecen el precio promedio real del agua para los sectores residencial, agrícola, industrial y comercial. Las tarifas por m3 de agua distribuido a los sectores residencial, industrial y comercial son establecidas por la junta de agua potable y alcantarillado de cada municipio, y atiende a un sistema ascendente de precios en relación directa con el intervalo de consumo. Desde abril de 2009 esta la norma mexicana NMX-AA-147-SCFI-2008 (Diario Oficial de la Federación, 2009) para la evaluación de tarifas de agua. Establece la metodología para evaluar la idoneidad de las tarifas de agua potable, drenaje y saneamiento para garantizar la sostenibilidad del recurso y la viabilidad financiera y operativa del servicio público.
El precio del agua para riego agrícola debe cubrir los costos anuales de conservación, conducción, distribución, mantenimiento de la infraestructura, operación del distrito de riego y módulo de riego, y el incremento en la inflación. Además de la norma, deben mencionarse los subsidios al precio del agua. El ingreso por la venta de agua debe cubrir el gasto total de cada organismo operador por lo que la especificación apropiada del precio del agua es importante para la estimación correcta de su demanda. Así, Wong (1972) y Beatrie y Foster (1980) consideran correcto el uso del precio promedio del agua. En el presente estudio se usó el precio promedio anual correspondiente a los tres primero intervalos de consumo, donde se ubica 80 % de los consumidores (JAPAMA, 1990-2010[3]).
La ecuación 3 muestra el comportamiento del precio del agua en la agricultura. Se calcula al inicio de cada ciclo agrícola por CONAGUA a través de sus distritos de riego, y es sugerido a cada módulo de riego. El precio de cada dm3 de agua asignado al riego debe cubrir los costos estimados anuales de conservación de este volumen en el sistema de presas de la región, de conducción y distribución, de mantenimiento de la infraestructura, de operación del distrito de riego y módulo de riego y el incremento en la inflación.
En el caso del agua consumida en el sector pecuario (ecuación 5), el precio por m3 recupera los costos de transporte del líquido (gasolina, diésel, mantenimiento de las unidades de transporte y salario) desde las fuentes del recurso a los abrevaderos o los costos de bombeo (energía eléctrica, gasolina y salario).
La ecuación 1 muestra el precio promedio por m3 de agua en el sector residencial explicado por la demanda de agua, el precio promedio en el año anterior, el PIB per cápita real en Sinaloa como variable proxy del salario, el consumo per cápita de agua, la demanda para riego agrícola por gravedad un periodo atrás, la superficie sembrada en riego por gravedad, y la temperatura promedio. La competencia entre los sectores residencial y agrícola resalta la consideración de la superficie; un número mayor de ha sembradas, con demanda mayor de agua para riego disminuye la cantidad destinada a los sectores residencial, comercial e industrial y genera condiciones para incrementar el precio al público.
La demanda de agua en el sector residencial representada por la ecuación 2 se basa en un modelo de producción doméstica en el que el agua representa un insumo importante para la producción de bienes de consumo final. El consumo de agua en los hogares está relacionado con las tareas de aseo y enfriamiento de espacios, lavado de ropa y utensilios de cocina, preparación de alimentos e higiene personal. Se explica con el precio promedio por m3, el precio de la energía eléctrica, el PIB per cápita real en Sinaloa, la población empleada, el precio rezagado un periodo del agua para riego agrícola y la cantidad de agua almacenada en las presas. El consumo de agua en este sector requiere aparatos electrodomésticos, de ahí que la electricidad sea un bien complementario.
La demanda de agua para riego agrícola por gravedad (ecuación 4), considera al agua como un insumo necesario para el proceso de producción agrícola. Las variables explicadoras son precio promedio por Dm3, PIB per cápita real en Sinaloa, precio promedio del agua en el sector residencial retrasado un periodo, superficie de riego por gravedad, precio de la electricidad para uso agrícola, y precio del nitrógeno para uso agrícola retrasado un periodo.
La ecuación 6 se refiere a la demanda de agua del sector pecuario y considera al agua como un insumo para la producción de bovino en pie para exportación, y carne de bovino y porcino en canal para los mercados local y nacional. Las variables explicadoras son precio del agua en este sector, precio de la energía eléctrica para uso agrícola, precio del bovino en pie en el mercado nacional, ingreso medido por el PIB per cápita real en Sinaloa, precio del agua para riego por gravedad y lluvias. La energía eléctrica es un insumo en la producción de carne porcina, pero su repercusión es baja en la producción de bovino en pie. La ecuación 8 expresa la demanda de agua en el sector industrial y considera el agua como insumo necesario para la producción de bienes de consumo final, especialmente alimentos. La industria regional usa el agua para lavar, precalentar y enfriar espacios y equipos, y cocinar alimentos. Se explica por el precio de energía eléctrica para uso industrial, el agua para riego agrícola, el agua para uso comercial, el PIB per cápita real en Sinaloa, la temperatura y la lluvia. La demanda de agua en el sector comercial (ecuación 10) considera al agua un insumo necesario para las tareas de limpieza y enfriamiento de espacios e higiene personal. Variables como precio, precio de la energía eléctrica para uso comercial, precio del agua para el sector industrial, PIB per cápita real en Sinaloa y temperatura media anual de la región se consideran determinantes de la demanda de agua en este sector.
La identidad 11 establece que la demanda anual de agua almacenada en el sistema regional de presas es igual a la suma de las demandas en los sectores residencial, agrícola, pecuario, industrial y comercial menos la demanda de agua subterránea. La identidad 12 muestra que la demanda anual de agua subterránea equivale al valor medio de la diferencia entre la demanda de agua en el sector pecuario, y la demanda estimada de agua del ganado porcino. Lo anterior se debe a que el agua usada por el ganado porcino proviene del sistema de presas. El valor medio se refiere a que el sector pecuario usa el agua subterránea sólo la mitad del año. La identidad 13 establece que la demanda anual total de agua en el norte de Sinaloa es igual a la suma de la demanda de agua en los sectores residencial, pecuario, agrícola, industrial y comercial. La demanda de agua subterránea está incluida en la demanda del sector pecuario.
La medición del precio del agua en los sectores residencial, industrial y comercial tomó como variable proxy la tarifa correspondiente al consumo de 31 a 40, 251 a 350, y 100 a 150 m3 al mes. La información usada provino de los estados financieros y registros de operación de los organismos administradores del agua en cada municipio. Algunas tarifas fueron extraídas de los comunicados emitidos por cada junta de agua potable en el Diario Oficial del Estado (Diario Oficial del Estado de Sinaloa, 2011). El número de tomas y población con el servicio de agua potable provino de CONAGUA (2010 y 2011[6]). Los datos de población, PIB per-cápita en Sinaloa y población empleada provinieron del INEGI-BIE (2011).
La variable proxy del precio de la energía eléctrica en cada sector fue las tarifas 1C y 1F para fuera y dentro del verano en el sector residencial (CFE, 2011a). También se consideraron las tarifas 2, O-M y 9-CU para los sectores comercial, industrial y agrícola, respectivamente (CFE, 2011b). Los datos sobre almacenamiento de agua en las presas, la precipitación pluvial y la temperatura provinieron de los registros y estaciones meteorológicas de la Comisión Nacional del Agua (CONAGUA-DR75, 1990-2010[4]; CONAGUA-DR76, 1990-2010[5]). Para el sector agrícola, la variable proxy del precio anual del agua fue la cuota por dm3 que la CONAGUA sugiere a cada módulo de riego. La superficie sembrada en la región provino de los reportes mensuales elaborados por CONAGUA a través de los distritos de riego 75 y 76 con información de todos los módulos de riego. Los precios del amoniaco para uso agrícola y de la gasolina magna se obtuvieron de los anuarios publicados por Petróleos Mexicanos (PEMEX, 1990-2010). El precio del agua para el sector pecuario tomó como variable proxy la cuota cobrada por las asociaciones ganaderas locales por su transporte a los puntos de abrevadero del ganado bovino regional. El precio de la carne del bovino en pie provino de la Secretaria de Agricultura, Ganadería, Desarrollo Rural, Pesca y Alimentación y su Servicio de Información Agroalimentaria y Pesquera (SAGARPA-SIAP, 2011). Los índices para deflactar las variables monetarias provinieron del Banco de México (BM, 2011).
El modelo se estimó con el método de mínimos cuadrados en dos etapas, con el procedimiento SYSLIN de SAS. La elasticidad precio de la demanda de agua en cada sector se estimó usando los coeficientes obtenidos en el modelo estructural. Las pruebas de correlación de los datos del modelo y predichos se realizaron con el coeficiente de Pearson y la valoración de la normalidad de los errores del modelo con la prueba de Wilk-Shapiro (Gujarati, 2003).
RESULTADOS Y DISCUSIÓN
El modelo mide el efecto que el precio del agua, el precio de la energía eléctrica y el ingreso de cada consumidor tienen sobre la demanda de agua para cada sector consumidor del norte de Sinaloa. La significancia estadística de cada variable fue distinta. La falta de uso de energía eléctrica en el sector agrícola determinó la ausencia de significancia de esta variable en la explicación de la demanda de agua. De acuerdo con el procedimiento stepwise de SAS, las otras variables son significantes al 15 %. Los valores de R2 fueron 0.80 a 0.93 para las ecuaciones del precio, y 0.87 a 0.99 para las ecuaciones de la demanda de agua. Esto indica que más de 85 % de la variación de la demanda estimada de agua se explica por cambios en las variables explicativas. Los valores de F para las expresiones del precio y demanda de agua fueron menores a 0.0001 y 0.0013 y mostraron que los factores considerados en el modelo son altamente significativos en el comportamiento del precio y la demanda. Los valores de la razón de t estuvieron en términos absolutos entre 1 y 2.5 y son congruentes con la teoría económica (Cuadros 2 y 3). Los valores de los coeficientes de correlación de Pearson (y Prob>|R|>α) entre la demanda de agua para uso agrícola y demandas en los sectores pecuario, residencial, industrial y comercial fueron 0.3078 (0.1746), 0.2912 (0.20), -0.0404 (0.8618) y 0.5367 (0.012). Los resultados indicaron que para índices de confianza de 90 y 95 % no existe correlación entre el comportamiento de la demanda de agua para uso agrícola y las demandas de agua en los otros sectores. los coeficientes de correlación de Pearson (y Prob>|R|>α) para los valores predichos de las demandas de agua en los sectores agrícola, pecuario, residencial, industrial y comercial fueron 0.2475 (0.2926), 0.6526 (0.0018), 0.123 (0.6059), 0.3525 (0.1274) y 0.7212 (0.003) y mostraron que los valores predichos no presentan correlación.
La prueba de correlación de Pearson no mostró correlación entre los valores de las variables endógenas y sus predichos, y según la prueba de Wilk-Shapiro los residuales de las expresiones para la demanda de agua cumplen con el supuesto de normalidad.
Los resultados corroboraron la hipótesis planteada. La demanda de agua en los diferentes sectores responde inelásticamente a los cambios del precio, con coeficientes 0.087, 0.125, 0.065, 0.082 y 0.005 para el sector residencial, agrícola, pecuario, industrial y comercial (Cuadro 4).
El valor de 0.125 para elasticidad precio de la demanda en el sector agrícola muestra que una disminución de 5 % en el consumo de agua para riego agrícola por gravedad, manteniendo constante las demás variables, requiere incremento de 40 % del precio del líquido. Esto implica aumento del precio de 134.62 a 188.46 pesos por dm3.
Para la demanda de 2502.2 hm3 de agua, en el 2010, la disminución correspondiente del consumo sería 127 hm3, equivalente a disminuir la lámina promedio de riego de 7.2 a 7.02 cm y la adopción de cultivos menos demandantes de agua, como frijol, trigo, papa, pepino (Cucumis sativus L.) y sorgo. Estos cultivos tienen menos rentabilidad económica y, excepto el frijol, menor importancia en la alimentación de los mexicanos.
El maíz en el mercado nacional es importante y el precio del agua es bajo respecto al valor medio económico de la producción del cultivo, por lo que el incremento del líquido debe ser de una magnitud que disminuya la rentabilidad del cultivo, e induzca al productor a la adopción de conducta y tecnología ahorradora de agua. La elasticidad que relaciona el precio de la energía eléctrica y el consumo de agua para uso agrícola es poco significativa. Este resultado se explica porque la demanda de este sector es cubierta con agua conducida por gravedad y no existe necesidad de aplicar bombeo.
El carácter indispensable del agua en la vida animal explica la inelasticidad en su demanda en el sector pecuario. Una disminución de 5 % de la demanda de agua requeriría incrementar 76.9 % su precio; pero la situación socioeconómica del sector hace poco factible esta medida.
El valor de la elasticidad precio de su demanda de agua por el sector residencial 0.087. Con variables y metodologías similares, el valor fue 0.08 para Zaragoza, España (Arbués y Villanúa, 2006); en la Comarca Lagunera, 0.003 (Guzmán-Soria et al., 2006), y 0.20 y 0.18 para Torreón, Coahuila, y Gómez Palacio, Durango, (García-Salazar y Mora-Flores, 2008). El resultado obtenido indica que una disminución de 5 % en el consumo de agua en el sector residencial requeriría 57.5 % de aumento del precio del agua, equivalente a llevar el precio de 3.84 a 6.05 pesos por m3 y disminuir 1.8 hm3 por año. El precio de la energía eléctrica también influye en el ahorro de agua en el sector residencial. La elasticidad cruzada que relaciona el precio de la electricidad y la demanda de agua es 0.22, e indica que un aumento de 10 % del precio de la electricidad causaría un descenso de 2.2 % en el consumo; es decir, elevar el precio nominal de 0.66 a 0.73 pesos por kilowatr-hora propiciaría la caída de la demanda de 0.79 hm3.
La elasticidad precio de la demanda de agua para el sector industrial fue 0.082. Con una demanda de 0.642 hm3 de agua en este sector, durante el 2010, la disminución de 5 % equivale a 0.0321 hm3, cifra muy inferior a la de los otros sectores. La elasticidad que relaciona la demanda de agua y el precio de la energía eléctrica fue 0.90 en este sector. Es decir, un incremento de 10 % del precio de la energía eléctrica ocasionaría una caída de 9.0 % de la demanda de agua. La inelasticidad de la demanda de agua en el sector comercial determina que una disminución de 5 % en el consumo de agua requiere aumentar 925.9 % el precio, lo que es poco factible. La elasticidad precio de la energía eléctrica en este sector, en relación con la demanda de agua fue 0.085, y significa que un aumento de 10 % en el precio del kilowatr-hora causaría una caída de 0.85 % de la demanda de agua, equivalente a 0.021 hm3, cantidad baja comparada con los sectores agrícola y residencial.
El agua es parte de un ciclo natural, independiente de un objetivo comercial, y faltan elementos para dimensionar los factores que hacen sostenible su explotación, lo cual impide establecer el valor adecuado del agua. Además, en México existen medidas que inhiben la efectividad del precio como instrumento de control de la demanda de agua. El capítulo VIII, artículo 223, inciso "c" de La Ley Federal de Derechos (SEMARNAT, 2010), indica que los volúmenes de agua concesionados para el uso agropecuario no son objeto de cobro. Este apartado no hace referencia a la necesidad de procurar y restaurar las condiciones ecológicas que motiven la estabilidad del ciclo hidrológico, pero el precio del agua debe considerar este aspecto.
CONCLUSIONES
La demanda de agua por los sectores residencial, agrícola, pecuario, industrial y comercial de la región norte de Sinaloa responde de manera inelástica a cambios en las tarifas y cuotas cobradas por su consumo. El sector agrícola concentra la demanda de agua mayor y presenta la elasticidad mayor. Por tanto, el precio podría ser una herramienta útil en el control de la demanda. Pero, la aplicación de subsidios y ausencia de parámetros que indiquen el valor del agua causan que los precios sean bajos para el agua consumida en este sector, lo cual es el factor principal en contra de la eficiencia de este instrumento como medio de control de su demanda. La aplicación de incrementos de 40 y 50 % en el precio del agua es factible si se considera el valor económico alto del cultivo de maíz blanco, aunque con poco impacto en la reducción de volúmenes demandados. La aplicación de incrementos mayores podría afectar negativamente la rentabilidad de la actividad de los productores ejidales y pequeños productores y causaría pobreza. La tendencia a la escasez de agua en la región hace necesario centrar esfuerzos que fomenten en el agricultor una cultura de ahorro del agua y promuevan la inversión en tecnología que elimine la incertidumbre derivada de la falta de agua en el sistema de presas.
LITERATURA CITADA
Arbués, F., and I. Villanúa 2006. Potential for pricing policies in water resource management: Estimation of urban residential water demand in Zaragoza, Spain. Urban Studies 43: 24212442. [ Links ]
Bachrach, M., and W. Vaughan. 1994. Household water demand estimation. Inter-American Development Bank Productive Sector and Environment Sub department. Environment Protection Division. Tech. Rep. Working Paper ENP 106. Washington, D.C. 39 p. [ Links ]
Beatrie, B. R., and H. S. Foster. 1980. Can prices tame the inflationary tiger? Am. Water Works Assoc. 72: 441-445. [ Links ]
BM (Banco de México). 2009. Índices de precios al productor, consumidor y UDIS. http://www.banxico.org.mx/SieInternet/. (Consultado: diciembre 2009). [ Links ]
CFE (Comisión Federal de Electricidad). 2011a. Tarifa anual de energía eléctrica para servicio residencial. Región noroeste. http://www.cfe.gob.mx/casa/ConocerTarifa/Paginas/. (Consultado: febrero 2011). [ Links ]
CFE (Comisión Federal de Electricidad). 2011b. Tarifas para consumo de energía eléctrica en los sectores agrícola, comercial e industrial. Región noroeste. http://www.cfe.gob.mx/negocio/conocetarifa/Paginas/. (Consultado: febrero 2011). [ Links ]
CONAGUA (Comisión Nacional del Agua). 2010. Estadísticas del Agua en México. Secretaría del Medio Ambiente y Recursos Naturales. México, D.F. 249 p. [ Links ]
Diario Oficial del Estado de Sinaloa. 2011. Publicaciones de tarifas para consumo de agua por parte de las juntas de agua potable y alcantarillado municipales para el periodo 19902010. Culiacán, Sinaloa. 29 p. [ Links ]
Diario Oficial de la Federación. 2009. Declaratoria de vigencia de la norma NMX-AA-147-SCFI-2008. 21 de abril de 2009. México, D.F. 4 p. [ Links ]
García-Salazar, J. A., y J. S. Mora-Flores. 2008. Tarifas y consumo de agua en el sector residencial de la Comarca Lagunera, México. Región y Sociedad XX, Núm. 42: 119-132. [ Links ]
Griffin R. C., and Ch. Chan. 1991. Seasonality in community water demand. West. J. Agric. Econ. 16: 207-217. [ Links ]
Guzmán-Soria, E., J. A. García-Salazar, S. Mora-Flores, M. Fortis-Hernández, R. Valdivia -Alcalá, y M. Portillo-Vázquez. 2006. La demanda de agua en la Comarca Lagunera, México. Agrociencia 40(2): 793-803. [ Links ]
Gujarati, D. N. 2003. Econometría. 4ta ed. Mc Graw Hill. México, D.F. 972 p. [ Links ]
INEGI (Instituto Nacional de Estadística y Geografía). 2011. Censo General de Población y Vivienda (1990, 2000 y 2010) y Conteo de Población y Vivienda. (1995 y 2005). http://www.inegi.org.mx/est/contenidos/Proyectos/ccpv. (Consultado: febrero 2011). [ Links ]
INEGI-BIE (Instituto Nacional de Estadística y Geografía-Banco de Información Económica). 2011. Número de cabezas de ganado en el norte de Sinaloa, número de personas empleadas y económicamente activas, producto interno bruto nacional y por entidad en el periodo 19902010. http://dgcnesyp.inegi.org.mx/cgi-win/bdieintsi.exe/SER208477. (Consultado: febrero 2011). [ Links ]
Lyman, R. A. 1992. Peak and off-peak residential water demand. Water Resour. Res. 28: 2159-2167. [ Links ]
Nieswiadomy M., and D. Molina. 1989. Comparing residential water demand estimates under decreasing and increasing block rates using household data. Land Econ. 65: 280-289. [ Links ]
Nieswiadomy M., and D. Molina. 1991. A note on price perception in water demand models. Land Econ. 67: 352-359. [ Links ]
Olmstead S., Hanemann M., and Stavins R. 2007. Water demand under alternative price structures. Environ. Econ. Manage. 54: 181-198. [ Links ]
PEMEX (Petróleos Mexicanos). 1990-2010. Anuarios estadísticos. Precios del amoniaco anhidro y gasolinas. www.pemex.com/informes/pdfs/anuario_estadistico_2010.pdf. (Consultado: marzo 2011). [ Links ]
SAGARPA-SIAP (Secretaria de Agricultura, Ganadería, Desarrollo Rural, Pesca y Alimentación-Servicio de Información Agroalimentaria y Pesquera. 2011. Precio anual del ganado bovino en pie en Sinaloa durante el periodo: 1990-2010. www.siap.gob.mx. (Consultado: marzo 2011). [ Links ]
SEMARNAT (Secretaría del Medio Ambiente y Recursos Naturales). 2010. Ley Federal de Derechos 2010. Gobierno Federal. México, D.F. 405 p. [ Links ]
Wong S. T. 1972. A model on municipal water demand: A case study of northeastern Illinois. Land Econ. 48: 34-44. [ Links ]
1 JAPACH (Junta de agua Potable y Alcantarillado de Choix). 1990-2010. Reportes de operación. Información proporcionada por la gerencia de operación. Choix, Sinaloa. 65 p. / JAPACH (Board of Water Supply and Sewerage Choix). 1990-2010. Operation reports. Information provided by operating management. Choix, Sinaloa. 65 p.
2 JAPAF (Junta de agua Potable y Alcantarillado de El Fuerte). 1990-2010. Reportes de operación. Información proporcionada por la gerencia de operación. El Fuerte, Sinaloa. 65 p. / JAPAF (Board of Water Supply and Sewerage of El Fuerte). 1990-2010. Operation reports. Information provided by operating management. El Fuerte, Sinaloa. 65 p.
3 JAPAMA (Junta de Agua Potable y Alcantarillado del Municipio de Ahome). 1990-2010. Reportes financieros y de operación. Información proporcionada por las gerencias de informática, contabilidad y operación. Los Mochis, Ahome, Sinaloa. 220 p. / JAPAMA (Board of Water Supply and Sewerage Municipality of Ahome). 1990-2010. Financial and operating reports. Information provided by the management of information technology, accounting and operations. Los Mochis, Ahome, Sinaloa. 220 p.
4 CONAGUA-DR75 (Comisión Nacional del Agua-Distrito de Riego 75). 1990-2010. Estadísticas de riego y agrícolas. Información proporcionada por las gerencias de operación, conservación y estadística del Distrito de Riego 75. Cuenca Pacífico Norte. Los Mochis, Ahome, Sinaloa. 60 p. / CONAGUA-DR75 (National Water Commission-Irrigation District 75). 1990-2010. Irrigation and agricultural statistics. Information provided by operation, conservation and statistics agencies of the Irrigation District 75. North Pacific Basin. Los Mochis, Ahome, Sinaloa. 60 p.
5 CONAGUA-DR76 (Comisión Nacional del Agua-Distrito de Riego 76).1990-2010. Estadísticas de riego y agrícolas. Información proporcionada por las gerencias de operación, conservación y estadística del Distrito de Riego 76. Cuencas Pacífico Norte. Villa Gustavo Díaz Ordaz, Ahome, Sinaloa. 60 p. / CONAGUA-DR76 (National Water Commission-Irrigation District 76). 1990-2010. Irrigation and agricultural statistics. Information provided by operation, conservation and statistics agencies of the Irrigation District 76. North Pacific Basin. Villa Gustavo Díaz Ordaz, Ahome, Sinaloa. 60 p.
6 CONAGUA (Comisión Nacional del Agua). 2011. Consumo anual de agua por sector y municipios de Sinaloa durante el periodo 1990-2010. Información proporcionada por la Jefatura de Proyectos de Consolidación de Organismos Operadores. Organismo de Cuenca Pacifico Norte. Culiacán, Sinaloa. 16 p. / CONAGUA (National Water Commission). 2011. Annual water consumption by sector and municipalities of Sinaloa during the period 1990-2010. Information provided by the Head Office of Projects for the Consolidation of Operator Agencies. North Pacific Basin Organization. Culiacán, Sinaloa. 16 p.












