Servicios Personalizados
Revista
Articulo
Indicadores
-
Citado por SciELO -
Accesos
Links relacionados
-
Similares en
SciELO
Compartir
Agrociencia
versión On-line ISSN 2521-9766versión impresa ISSN 1405-3195
Agrociencia vol.46 no.8 Texcoco nov./dic. 2012
Protección vegetal
Análisis histológico foliar de cítricos agrios y naranja dulce con síntomas ocasionados por Candidatus Liberibacter asiaticus
Histological analysis of sour citrus and sweet orange leaves with symptoms caused by Candidatus Liberibacter asiaticus
Fabiola EsquivelChávez1, Guadalupe ValdovinosPonce1, Gustavo MoraAguilera1*, Rafael GómezJaimes2, J. Joaquín VelázquezMonreal3, M. Ángel ManzanillaRamírez3, J. Luis FloresSánchez1, J. Isabel LópezArroyo4
1 Fitopatología. Campus Montecillo. Colegio de Postgraduados. 56230. Montecillo, Estado de México. *Autor responsable: (gvapon@colpos.mx), *(morag@colpos.mx).
2 INIFAP. 100. Santiago Ixcuintla Nayarit.
3 INIFAP. 2810. Tecomán, Colima.
4 INIFAP. 67413. General Terán.
Recibido: julio, 2012.
Aprobado: octubre, 2012.
Resumen
En México, la enfermedad del Huanglongbing (HLB), provocada por Candidatus Liberibacter asiaticus, se reportó por primera vez en 2009 y tiene prevalencia mayor en cítricos agrios. No hay reportes formales de la respuesta histológica asociada con la expresión del síntoma foliar en cítricos agrios. El objetivo de este estudio fue caracterizar los cambios anatómicos e histoquímicos asociados con síntomas de HLB en hojas de limón persa (Lp) (Citrus latifolia), limón mexicano (Lm) (C. aurantifolia) y naranja dulce (Nd) (C. sinensis). árboles sintomáticos y asintomáticos en huertos de los estados de Nayarit, Colima y Yucatán, México, se seleccionaron en julio del 2010 y el progreso de la enfermedad se evaluó durante seis meses en un brote por árbol. El área y anchura del floema, área del sistema vascular y área de tejido con almidón y proteínas se analizaron por parcelas subdivididas. Los síntomas macroscópicos se presentaron con mayor rapidez en Lm, a partir de punteado clorótico hasta amarillamiento y abscisión foliar. El floema de la nervadura central en hojas sintomáticas de Lm mostró mayor hiperplasia (p<0.05) y en las tres especies aumentó el depósito de proteínas. El parénquima en empalizada y esponjoso de tejido sintomático de Lm presentó mayor almidón que Lp y Nd. Los índices de relación asintomático:sintomático con respecto al área y anchura del floema, y acumulación de almidón sugirieron que Lm (1:63.8, 1:2.5, y 1:1.9) es más susceptible. Este es el primer estudio histológico en cítricos agrios con síntomas de HLB en México e indica su riesgo productivo ante el reciente ingreso de la enfermedad al país.
Palabras clave: Citrus aurantifolia, hiperplasia, floema, almidón, Pproteína.
Abstract
In México Huanglongbing disease (HLB), caused by Candidatus Liberibacter asiaticus, was reported for the first time in 2009 and has mainly prevailed in sour citrus. There are no formal reports of histological response associated to foliar symptom expression in sour citrus. The objective of this study was to characterize the anatomical and histochemical changes related to HLB symptoms in leaves of Persian lime (Lp) (Citrus latifolia), Mexican lemon (Lm) (C. aurantifolia), and sweet orange (Nd) (C. sinensis). Symptomatic and asymptomatic trees were selected in orchards of Nayarit, Colima, and Yucatán, Mexico, in July 2010, and the progress of the disease was assessed during six months in one sprout per tree. Area and phloem width, area of vascular system and the mesophyll tissue with starch and proteins were analyzed by split plots. Macroscopic symptoms appeared more rapidly in Lm, starting with chlorotic spots unto yellowing of leaves and foliar abscission. The phloem of the central nervure in symptomatic leaves of Lm showed major hyperplasia (p< 0.05) and the three species presented increase of protein deposits. The parenchyma palisade layer and the symptomatic spongy tissue of Lm had higher starch content than Lp and Nd. Indices of asymptomaticsymptomatic relation with respect to phloem area and width, and starch accumulation suggested that Lm (1: 63.8, 1:2.5, and 1: 1.9) is more susceptible. This is the first histological study in sour citrus with HLB symptoms in México indicating the production risk facing the recent entrance of the disease into the country.
Key words: Citrus aurantifolia, hyperplasia, phloem, starch, Pprotein.
INTRODUCCIÓN
La enfermedad del Huanglongbing (HLB), causada por la bacteria Candidatus Liberibacter asiaticus (CLas), es uno de los problemas fitosanitarios más importantes en las áreas productoras de cítricos. En México, el primer reporte de esta enfermedad fue en el Cuyo, Yucatán, en julio del 2009; en diciembre del mismo año se reportó en Nayarit en limón persa (Lp) (Citrus latifolia) y en abril del 2010 en Colima en limón mexicano (Lm) (C. aurantifolia) (Trujillo, 2010). En Colima y Nayarit, la severidad de la enfermedad en cítricos agrios fue 96 a 100 %, comparada con cítricos dulces de la Península de Yucatán (LoezaKuk etal., 2010; Robles et al., 2010). Uno de los principales síntomas macroscópicos en naranja dulce (Nd) (C. sinensis) es el moteado clorótico asimétrico en la lámina foliar. Las hojas pueden tener apariencia corchosa y mostrar venas dilatadas (Bové, 2006). Observaciones histoquímicas muestran acumulación alta de almidón en los tejidos epidérmico, fundamental y en células parenquimatosas del floema, con obstrucción y degeneración del floema (Etxeberria et al., 2009; Achor et al., 2010). El contenido de almidón en hojas sintomáticas de Nd puede ser 20 veces mayor que en las asintomáticas (Takushi et al., 2007). Además, hay taponamiento de elementos cribosos del floema con calosa y Pproteína (Folimonova y Achor, 2010). Según Koh et al. (2011), el taponamiento por calosa inhibe el transporte de los fotoasimilados, contribuyendo al desarrollo de los síntomas de la enfermedad. Debido a la falta de información de los cambios anatómicos e histoquímicos de los cítricos agrios infectados con CLas, el objetivo del presente estudio fue caracterizar esos cambios en hojas de Lp, Lm y Nd asociadas a síntomas de HLB, y obtener información para explicar la velocidad y expresión mayor de síntomas en cítricos agrios.
MATERIALES Y MÉTODOS
Muestreo de material vegetal
En agosto del 2010 se seleccionó una superficie con 48 árboles de Lm en la plantación del Rancho Lucy en Tecomán, Colima, México. El área se aisló con una estructura metálica cubierta con malla antiáfidos para evitar la diseminación de la enfermedad, porque en esta plantación se detectó por primera vez la bacteria.
Estos árboles se plantaron en el 2006 sobre el patrón Volkameriana bajo un sistema de 6×8 con manejo altamente tecnificado. Ese mismo año se seleccionaron 100 árboles de un huerto comercial de Lp en Ahuacatlán, Nayarit, plantados en el 2005 sobre Volkameriana en un sistema de 5×5 altamente tecnificado. De cada huerto se seleccionaron cinco árboles asintomáticos (PCR negativos a CLas) y cinco con síntomas de HLB (PCR positivos a CLas). La confirmación de la enfermedad en estos estados se realizó por instancias oficiales y los árboles seleccionados se confirmaron por PCR en Colima y por sintomatología en Nayarit con apoyo de personal del Comité Estatal de Sanidad Vegetal.
En noviembre del 2010 en Tizimín, Yucatán, se seleccionó un árbol de Nd asintomático y otro con síntomas de HLB, confirmados por PCR. Este huerto tuvo manejo convencional y fue uno de los primeros reportes de HLB en México. No se encontraron otros árboles enfermos adicionales en la región.
Por árbol seleccionado se marcó un brote terminal, con 15 cm de longitud aproximada, de una rama con síntomas iniciales inducidos por CLas para evaluar el progreso de la enfermedad. Estas observaciones se hicieron mensualmente entre agosto del 2010 y enero del 2011 en árboles de Colima y Nayarit, y de noviembre del 2010 a enero del 2011 en el árbol de Yucatán. De estos brotes se tomaron dos hojas (lámina y peciolo) en intervalos mensuales para su análisis histológico. Las hojas se muestrearon desde la porción del brote donde se presentaron los síntomas iniciales.
Análisis histológico
De cada brote se disectaron el peciolo y la lámina foliar de dos hojas. De la base de la lámina foliar se obtuvieron cinco fragmentos (aproximadamente 1 cm2) tomando como referencia la nervadura central. Los segmentos se fijaron en FAA por 48 h, se deshidrataron gradualmente en etanol y se incluyeron en paraplast (SIGMA®). Las muestras se seccionaron longitudinal y transversalmente (10 µm de grosor), con un micrótomo rotatorio (A. O. Company mod. Spencer 820), y se obtuvieron 3500 cortes histológicos. Estos se tiñeron con safraninaverde rápido preparada en metilcelosolve según el protocolo descrito por López et al. (2005).
Las observaciones se realizaron en un microscopio óptico (VELAB), en un microscopio compuesto (Master Olympus) con cámara (Infynitum), y en un fotomicroscopio (III Carl Zeiss) con cámara digital para microscopía (Paxcam 3).
De los cortes de Lp, Lm y Nd de cada fecha se eligieron cinco laminillas sintomáticas y cinco asintomáticas. De cada laminilla se seleccionaron el quinto y el décimo corte y se analizaron 120 cortes de cítricos agrios (Lp y Lm) y 60 de Nd. Para calcular el área y anchura del floema y área del sistema vascular, se tomaron fotomicrografías de los cortes. Las mediciones se hicieron en las imágenes digitales con el analizador de imágenes Image Tool® ver. 3.0.
Pruebas histoquímicas
Almidones
Cortes transversales y longitudinales de las hojas de Lp, Lm y Nd se desparafinaron e hidrataron gradualmente con etanol y agua corriente. El tejido rehidratado se tiñó con yodoyoduro de potasio durante 15 min (CurtisPatiño, 1986) y se observó en un microscopio compuesto (Master Olympus con cámara Infynitum). De 24 laminillas obtenidas de muestras sintomáticas y asintomáticas de cada cítrico, se seleccionaron el quinto y el décimo corte por fecha de evaluación, y se analizaron 48 cortes por cítrico agrio (Lp y Lm) y 24 de Nd.
Para determinar la superficie del mesófilo con almidón acumulado se tomaron fotomicrografías de las secciones histológicas provenientes de muestras sintomáticas y asintomáticas. Las imágenes digitales se procesaron con el analizador de imágenes Image Tool® ver. 3.0. En cada imagen se identificó el área de tejido parenquimatoso con reacción positiva al lugol.
Proteínas
Cortes longitudinales de hojas sintomáticas y asintomáticas de Lp, Lm y Nd de la última fecha de evaluación se desparafinaron e hidrataron, se colocaron 30 min en azul de bromofenol mercúrico (SIGMA®), se enjuagaron con ácido acético al 0.5 % durante 20 min y se lavaron con agua de la llave. Después las muestras se deshidrataron con etanol, se colocaron 3 min en xilol absoluto y se montaron en resina sintética. De 10 laminillas de cada muestra, se seleccionaron el quinto y el décimo corte para determinar el área del floema con reacción positiva a la presencia de proteínas. Se obtuvieron fotomicrografías de esas áreas y se procesaron con la metodología ya descrita.
Análisis estadístico
El diseño estadístico fue de parcelas subdivididas para obtener los datos del área del sistema vascular, área y anchura del floema, área del mesófilo con reacción positiva al almidón y área del floema con proteínas. Se aplicó un análisis de varianza con el programa SAS ver. 9.0. La fecha de muestreo, especie citrícola y la condición de enfermedad [sintomática (+) o asintomática ()] se asociaron con la parcela grande, mediana y chica, respectivamente. La comparación de medias se realizó con la prueba de Tukey (p<0.05). Además, se construyeron curvas de desarrollo con el promedio de 10 mediciones por variable en cada fecha de evaluación. Se realizó un análisis de regresión lineal simple entre área de floema y acumulación de almidón por tipo de cítrico. Las mediciones de área de floema y de área de acumulación de proteína se usaron para calcular el índice de hiperplasia (Ih=
del área del floema de hoja sintomática /
del área del floema de hoja asintomática en µm2 ), e índice de acumulación de proteínas (Ip=
del área del floema con proteína en hoja sintomática /
del área del floema con proteína en hoja asintomática) en µm2.
RESULTADOS Y DISCUSIÓN
Síntomas
Síntomas foliares progresivos fueron inducidos por CLas durante el periodo de evaluación. En Lm y Lp se observó inicialmente un punteado clorótico disperso en agosto del 2010 (Figuras 1A y 2A). En septiembre y octubre se presentaron manchas angulares asimétricas (Figuras 1B y 2B), moteado difuso (Figuras 1C y 2C) y aclaramiento y engrosamiento de la nervadura central (Figuras 1D y 2D). Después, hubo acorchado de la nervadura central y amarillamiento generalizado del dosel del árbol (Figuras 1E, 1F, 2E y 2F). Estas observaciones coinciden con las de Robles et al. (2010), quienes además señalan deformación y caída de frutos. En los seis meses de evaluación la defoliación de árboles sólo se presentó en Lm. En Nd se observó moteado difuso, aclaramiento de nervaduras y amarillamiento tenue generalizado de las hojas. En Lm, Lp y Nd hubo amarillamiento foliar manifestado en forma de mosaicos y moteados, pero solamente en Lm el amarillamiento fue generalizado y asociado con defoliación. En otras interacciones plantapatógeno hay aumento en la liberación de etileno seguido por amarillamiento y defoliación prematura (Šutić y Sinclair, 1991). Según Kehr (2006), la síntesis de esta hormona es una de las primeras respuestas de la planta al estrés; de ser así, la defoliación en los arboles de Lm podría estar asociada con la producción inmediata de etileno, pero este aspecto debe comprobarse.
Estructura foliar
Lamina foliar
No se observaron diferencias anatómicas entre las láminas foliares sintomáticas y asintomáticas de los cítricos. El tejido epidérmico es uniestratificado y posee una cutícula gruesa que se proyecta hacia las paredes anticlinales de las células. El mesófilo es de tipo dorsiventral, formado por dos o tres estratos de células en empalizada y más de seis estratos de células parenquimatosas isodiamétricas (esponjoso) con espacios intercelulares amplios.
Nervadura central de la hoja
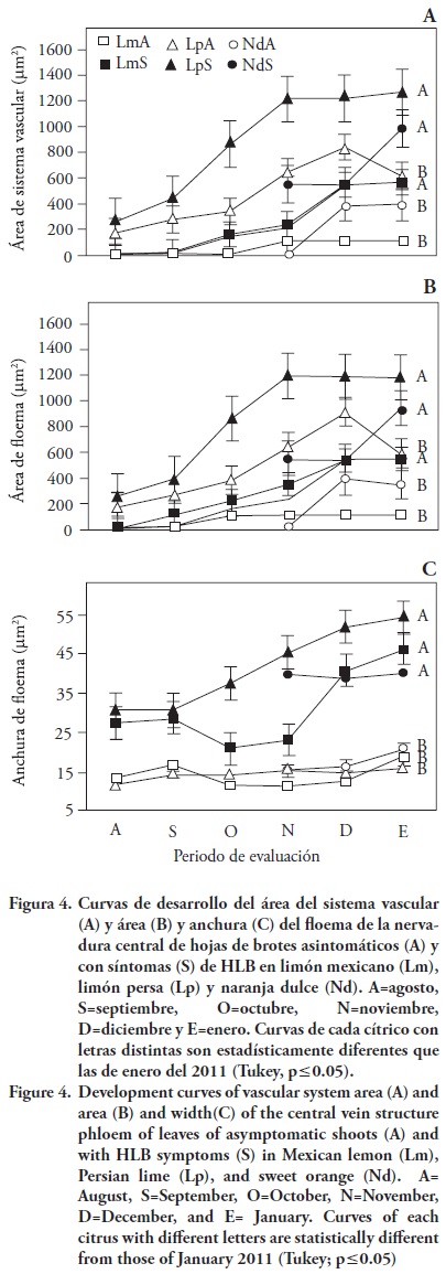
En las tres especies el tejido vascular de la nervadura central está formado por un anillo continuo de floema y xilema rodeado por cordones de fibras (Figuras 3C, 3F, 3I).
El área del sistema vascular, la anchura y área del floema de hojas sintomáticas y asintomáticas aumentaron en las tres especies en el tiempo (Figuras 3B, 3E, 3H, 4A4C), aunque el incremento fue mayor en tejido sintomático en todos los casos (p<0.05). Existió interacción significativa entre las parcelas de los tratamientos (p< 0.0001), asociada directamente con el incremento en la división celular (hiperplasia) del parénquima de floema, y aumento del área total del sistema vascular (xilema y floema) (Figura 4A). Estos resultados indican que la tasa de crecimiento normal del sistema vascular pudo haberse alterado por la presencia de CLas en los tejidos foliares. La presencia de la bacteria se verificó previamente en los árboles evaluados; y sin embargo, es recomendable confirmarlo en el tejido vegetal en el cual se hará el análisis histológico. El Ih fue significativamente mayor en Lm en las tres fechas últimas de evaluación y estuvo relacionado con las severidad de síntomas en la especie (Cuadro 1). Al respecto, en Florida y Brasil los procesos epidémicos de HLB ocurren principalmente en Nd tipo Valencia (Gottwald et al., 2007; Bassanezi et al., 2011) y los síntomas son más severos en este cítrico. Los resultados muestran que CLas también afecta cítricos agrios y que su efecto se modifica por el ambiente y manejo.


Como en el floema de hojas, peciolos y tallos de naranja Valencia (Etxeberria et al., 2009; Acnor, et al., 2010; Folimonova y Achor, 2010), el floema de las hojas sintomáticas de Lm, Lp y Nd se colapsó y no se observó taponamiento de los tubos ni de las células cribosas en los 3050 campos visuales revisados.
Histoquímica foliar
Lámina foliar
El tejido parenquimatoso del mesófilo y del sistema vascular de hojas sintomáticas de Lm y Lp acumularon almidón, como sucedió en Nd (Etxceberria et al., 2009), pero en la presente investigación no se detectó en el tejido vascular de la hoja de Nd. En el mesófilo de las hojas asintomáticas también hubo reacción positiva al almidón, pero fue estadísticamente menor con respecto a las sintomáticas (p<0.05) (Figura 5).

En el mesófilo, el área con almidón fue mayor (2989.33 µm2) en el parénquima en empalizada y esponjoso de hojas sintomáticas de Lm y Lp (2674.04 µm2); en Nd fue mayor (988.24 µm2) en el parénquima en empalizada (Figuras 5 y 6).
La acumulación mayor de almidón en el mesófilo de Lm (p< 0.05) probablemente esté relacionada con el amarillamiento generalizado del dosel de los árboles. Es posible que el amarillamiento sea resultado de la alteración estructural de los cloroplastos donde hay desorganización completa de los tilacoides por los gránulos de almidón (Etxceberria et al., 2009). La acumulación de almidón fue dependiente de la expresión de síntomas durante el periodo evaluado, particularmente en Lm y Lp a partir del cuarto mes (Figura 5). La regresión entre la superficie de mesófilo con depósitos de almidón y el área de floema (hiperplasia) fue r2 = 0.84 y r2 = 0.51.
Estudios principalmente en cítricos dulces indican que la acumulación de almidón es una respuesta asociada con síntomas de HLB. Los resultados de esta investigación sugieren que la acumulación puede estar relacionada con el tipo de cítrico. Pero según, Achor et al., (2010) no hay diferencias entre C. sinensis y C. paradisi. En esta investigación la evaluación de almidón no fue cuantitativa, pero fue posible la comparación estadística de su presencia en el tejido parenquimatoso del mesófilo entre los cítricos.
Proteínas
El floema de la nervadura central de hojas asintomáticas y sintomáticas de Lm, Lp y Nd mostró presencia de proteínas, pero la reacción fue mayor (p<0.05) en hojas sintomáticas (Figura 7). Sin embargo, no se determinó la etapa o tipos celulares del floema en los cuales se inició la acumulación. Con base en la ausencia de núcleo en los elementos cribosos, se sugiere que la síntesis de proteínas tiene lugar en las células acompañantes y de ahí se translocan a los tubos cribosos. En estas células, las proteínas tienen una función fundamental en su mantenimiento y en la fisiología y desarrollo de la planta (Golecki et al., 1999; Walz et al., 2004) y podrían estar asociadas a las respuestas de la planta con estrés biótico y abiótico.

El taponamiento de los elementos cribosos con material similar a la proteínap (PP1 y PP2) y calosa se ha observado en hojas maduras de Nd infectadas con CLas (Kim et al., 2009; Folimonova y Achor 2010) y de manzano (Malus domestica) infectadas con 'Candidatus Phytoplasma mali' (Musetti et al., 2010). Dicho taponamiento involucra la polimerización de las proteínas del floema, PP1 y PP2, asociado con la síntesis de calosa (Kim et al., 2009). El presente estudio es el primer reporte de la presencia de proteínas en el floema de hojas de cítricos agrios con síntomas de HLB. La prueba histoquímica aplicada no permite determinar el tipo de proteína acumulada, como la PP1 en Nd infectada con CLas (Folimonova y Achor 2010). Por tanto, es necesario cuantificar las proteínas acumuladas y su función en los mecanismos de protección de la planta.
CONCLUSIONES
El estudio reveló que Candidatus Liberibacter asiaticus indujo Ih y acumulación de almidón superiores en Lm y Lp en comparación con Nd. En contraste, las diferencias de la proteína acumulada son función del tejido asintomático y sintomático. Estos cambios estructurales e histoquímicos, evaluados durante la progresión sintomatológica, se asociaron con la severidad mayor en cítricos agrios, particularmente en Lm, el cual expresó amarillamiento generalizado y abscisión foliar.
AGRADECIMIENTOS
A la institución financiadora del proyecto y becaria FONSEC SAGARPACONACYT 2009108591 y CONACYT, respectivamente. A los Comités Estatales de Nayarit, Colima y Yucatán por el apoyo logistico brindado. A los miembros del GIIIC por su apoyo en la planeación.
LITERATURA CITADA
Achor, D., E. Etxeberria, N. Wang, S. Y. Folimonova., K. R. Chung, and G. Albrigo, 2010. Sequence of anatomical symptom observations in citrus affected with huanglongbing disease. Plant Pathol. J. 9: 5664. [ Links ]
Bassanezi, B. R., L. H. Montesino, G. M. C. Gasparoto, B. A. Filho, and L. Amorim. 2011. Yield loss caused by huanglongbing in different sweet orange cultivars in Sao Paulo, Brazil. Eur J Plant Pathol. DOI 10.1007/s1065801197791. [ Links ]
Bove, J. M. 2006. Huanglongbing: a destructive, newlyemerging centuryold disease of citrus. J. Plant Pathol. 88: 737. [ Links ]
CurtisPatiño, J. 1986. Microtecnia Vegetal. Editorial Trillas. 106 p. [ Links ]
Etxeberria, E., P. González, D. Achor, and G. Albrigo. 2009. Anatomical distribution of abnormally high levels of starch in HLBaffected Valencia orange trees. Physiol. Mol. Plant Pathol. 74: 7683. [ Links ]
Folimonova, S. Y., and S. D.Achor. 2010 Early events of citrus greening (huanglongbin) disease development at the ultrastructural level. Phytopathology 100: 0949. [ Links ]
Golecki, B., A. Schulz, and G. A. Thompson. 1999. Translocation of structural Pproteins in the phoem. Plant Cell 11: 127140. [ Links ]
Gottwald ,T. R., J. V. da Graça, and R. B. Bassanezi. 2007. Citrus Huanglongbing: The pathogen and its impact. Online. Plant Health Progr. doi: 10.1094/PHP2007090601RV. [ Links ]
Jankiewicz L. S. 2003. Reguladores de Crecimiento, Desarrollo y Resistencia en Plantas. Universidad Autónoma Chapingo. Ediciones Mundi Prensa. México, D. F. 487 p. [ Links ]
Kehr, J. 2006. Phloem sap proteins: their identities and potential roles in the interaction between plants and phloemfeeding insects. J. Exp. Bot. 57(4): 767774. [ Links ]
Kim, J. S., U. S. Sagaram, J. K. Burns, J. L. Li, and N. Wang. 2009. Response of sweet orange (Citrus sinensis) to 'Candidatus Liberibacter asiaticus' infection: Microscopy and microarray analyses. Phytopathology 99: 5057. [ Links ]
Koh, J. E., L. Zhou, D. S.Williams, J. Park, N. Ding, Y. P. Duan, and B. H. Kang. 2011. Callose deposition in the phloem plasmodesmata and inhibition of phloem transport in citrus leaves infected with "Candidatus Liberibacter asiaticus". DOI 10. 1007/s0070901103123. [ Links ]
López C., L., G. J. Márquez, y S. G. Murguía. 2005. Técnicas para el Estudio del Desarrollo en Angiospermas. Editorial Las Prensas de Ciencias. Facultad de Ciencias UNAM. 178 p. [ Links ]
LoezaKuk, E., J. JassoArgumedo, M. LozanoContreras, and E. HernándezChan. 2010. Dispersión de Candidatus Liberibacter spp. en huertas citrícolas de Yucatán, México. In: Memorias del 1er Simp. Nal. Investigación para el Manejo del Psílido Asiático de los Críticos y el Huanglongbing en México. Monterrey, Nuevo León. pp: 125134. [ Links ]
Musetti, R., A. Paolacci, M. Ciaffi, O. A. Tanzarella, R. Polizzotto, F. Tubaro, M. Mizzau, P. Ermacora, M. Badiani, and R. Osler. 2010. Phloem cytochemical modification and gene expression following the recovery of apple plants from apple proliferation disease. Am. Phytopathol. Soc. 100 (4): 390-399 [ Links ]
Robles G., M. M., M. J. J. Velázquez, R. M. A. Manzanilla, S. M. Orozco, V. R. Flores, y U. V. M. Medina. 2010. Síntomas del Huanglongbing en limón mexicano. Primeras observaciones. In: Memorias del 1er Simp. Nal. sobre Investigación para el Manejo del Psílido Asiático de los Críticos y el Huanglongbing en México. Monterrey, Nuevo Leon. pp: 141 149. [ Links ]
Šutić, D. D., and J. B. Sinclair. 1991. Anatomy and Physiology of Diseased Plants. CRC Press, Boca Raton Florida. 232 p. [ Links ]
Takushi, T., T. Toyozato, S. Kawano, S. Taba, A. Ooshiro, and M. Numazawa. 2007. Starch method for simple, rapid diagnosis of citrus huanglungbing using iodine to detect high accumulation of starch in citrus leaves. Ann. Phytopathol. Soc. Japan 73: 38. [ Links ]
Trujillo A., J. 2010. Situación actual, regulación y manejo del HLB en México. In: Memorias del 2° Taller Internacional del Huanglongbing y el Psílido Asiático de los cítricos. Mérida, Yucatán, México. pp: 141149. [ Links ]
Walz, C., P. Giavalisco, W. Scliad, W. Juenger, J. Klose, and J. Kelir. 2004. Proteomics of cuar bit phoem exudate reveals a network of defence proteins. Phytochemistry 65(12): 17951804. [ Links ]













