Servicios Personalizados
Revista
Articulo
Indicadores
-
Citado por SciELO -
Accesos
Links relacionados
-
Similares en
SciELO
Compartir
Agrociencia
versión On-line ISSN 2521-9766versión impresa ISSN 1405-3195
Agrociencia vol.45 no.4 Texcoco may./jun. 2011
Socioeconomía
Preferencias de servicios en el Parque Natural de los Calares del Mundo y de la Sima (Castilla-La Mancha, España)
Preferences of services in the natural park "Los Calares del Mundo y de la Sima" (Castilla-La Mancha, Spain)
Almudena Samos Juárez, Rodolfo Bernabéu Cañete*
Escuela Técnica Superior de Ingenieros Agrónomos. Universidad de Castilla-La Mancha. Campus Universitario s/n. 02071. Albacete, España. * Autor responsable (Rodolfo.Bernabeu@uclm.es)
Recibido: Marzo, 2010.
Aprobado: Abril, 2011.
Resumen
Las autoridades públicas, en uso de sus competencias, deben valorar cuáles son los servicios recreativos que pueden ofrecer al ciudadano en su visita a espacios naturales protegidos. En este sentido, el estudio de las preferencias de los consumidores constituye un elemento indispensable en la gestión de dichos espacios para ofrecer lo que los visitantes demandan. Para determinar estas preferencias se realizaron 410 encuestas a los visitantes del Parque Natural de los Calares del Mundo y de la Sima, en Castilla-La Mancha, España. Con la técnica de análisis conjunto los resultados mostraron dos segmentos de consumidores con preferencias distintas. Mientras unos prefieren realizar las actividades (senderismo o montaña), otros prefieren que el acceso al parque se realice en vehículo, y ambos grupos, que el parque cuente con mesas para realizar picnic.
Palabras clave: análisis conjunto, comportamiento del consumidor, espacios naturales, simulación de servicios, estrategias de marketing.
Abstract
Public authorities, in exercise of their powers, should consider which recreational facilities they can offer citizens in protected natural areas. In this sense, the study of the consumer preferences is essential in managing these spaces to meet visitors' demands. To determine these preferences we conducted 410 surveys to the visitors of the Parque Natural de los Calares del Mundo y de la Sima, in Castilla-La Mancha, Spain. With the technique of conjoint analysis, the results showed two segments of consumers in different preferences. While some preferred to perform activities (hiking or mountain), others were in favor that access to the park could be done by car, and both groups were in favor of the park having tables for picnics.
Key words: conjoint analysis, consumer behavior, natural areas, service simulation, marketing strategies.
INTRODUCCIÓN
En principio, las funciones de los primeros espacios naturales protegidos, como el Parque Nacional de Yellowstone en EE.UU. (1872), se limitaban a la estética y de protección frente a las amenazas del desarrollo industrial y urbanístico (Tolón y Ramírez, 2002). No obstante, éstas han evolucionado y hoy se puede afirmar que los espacios naturales protegidos tienen como funciones tanto proteger y conservar el medio biofísico y cultural, como las educativas, científicas, investigadoras, socioeconómicas, comerciales y recreativas.
La función recreativa se basa en el derecho de todo ciudadano a disfrutar de un ambiente de calidad, con una serie de servicios para el ocio y disfrute de la naturaleza. Así, para cumplir este derecho, la Comunidad Autónoma de Castilla-La Mancha cuenta con dos Parques Nacionales (BOE, 1989), Las Tablas de Daimiel y Cabañeros, y seis Parques Naturales1, Lagunas de Ruidera, Hayedo de Tejera Negra, Alto Tajo, Barranco del Río Dulce, Serranía de Cuenca, y Calares del Mundo y de la Sima, y otras figuras de protección menores. Estos parques ocupan una superficie de 316.724 ha, lo que aproximadamente representa 4 % de la superficie de la Comunidad.
El Parque Natural de los Calares del Mundo y de la Sima (Figura 1), el más reciente de los Parques Naturales de Castilla-La Mancha (BOE, 2005), está situado en el extremo suroriental de la provincia de Albacete, ocupa 19-192 ha (que se reparten entre los municipios de Cotillas, Molinicos, Riópar, Vianos, Villaverde del Guadalimar y Yeste) y está constituido por los parajes denominados el Calar del Mundo, el Calar de En Medio, los Chorros del río Mundo, la Cañada de los Mojones, la Sierra del Cujón y el Calar de la Sima. Contiene un karst de desarrollo extraordinario y riqueza de formas, gran diversidad botánica y paisajística y un excelente grado de conservación de sus ecosistemas, lo que le otorga una importancia excepcional respecto a la conservación del patrimonio geológico, la biodiversidad y el paisaje de Castilla-La Mancha. La zona es la segunda en densidad de dolinas en España, con al menos 960, que junto con las simas y poljes crean un paisaje de grandes contrastes con los pinares, los encinares y el bosque mixto propio de la zona.

De entre el conjunto de parajes del Parque que presentan una llamativa vocación recreativa debido a sus cualidades naturales y de accesibilidad especiales, tiene especial importancia los Chorros del río Mundo. Este paraje concentra la mayor parte de las visitas al Parque, dado que allí se encuentra la boca de la cueva de Los Chorros, situada a unos 1.260 m de altura, de difícil acceso y de donde emana en una cascada el agua que formará el río Mundo.
El acceso a los Chorros del río Mundo es por la carretera que une Riópar con Villaverde de Guadalimar, y a 7 km del municipio de Riópar se encuentra el control de entrada al Parque. Después, a mano izquierda en dirección a Villaverde de Guadalimar, sale una pista forestal que desciende desde la carretera hasta una explanada usada como aparcamiento. Desde allí el visitante tiene que hacer el recorrido a pie.
Actualmente, la Dirección del Parque estudia el cierre de este aparcamiento y crear uno nuevo, más distante, para mejorar la preservación de la zona de nacimiento del río Mundo y ofrecer visitas guiadas con explicación de las formaciones geológicas, especies vegetales y animales localizadas en el recorrido entre el aparcamiento nuevo y el nacimiento del rio Mundo.
Desde la declaración de Parque Natural en 2005, se prohibió comer, bañarse, pernoctar y acampar en este paraje. La Dirección del Parque considera habilitar mesas de picnic en zonas acotadas para que el visitante pueda avituallarse, y permitir otras actividades, como el uso de bicicleta, montañismo y equitación en determinadas zonas.
El ciudadano busca la riqueza natural del espacio que visita y demanda servicios recreativos adicionales que es preciso conocer y que las autoridades públicas, en uso de sus competencias, deben valorar y ofrecer (si no se contraponen con su Misión). Por tanto, el objetivo de esta investigación fue estudiar las preferencias de los visitantes al Parque como elemento indispensable de gestión que los consumidores demandan.
El análisis conjunto es un método directo que se originó en la psicología matemática y se ha extendido a otras disciplinas como la economía ambiental. Algunos de los primeros estudios relacionados con la economía ambiental, realizados sobre las preferencias de los individuos fueron los de MacKenzie (1993), Adamowicz et al. (1994) y Roe et al. (1996). Otros estudios con esta línea metodológica son los de Stevens et al. (1997), Hanley et al. (1998), Sánchez y Pérez (2000), Farber y Griner (2000), Rolfe et al. (2000), Kuriyama y Ishii (2000), Alpizar et al. (2001), Álvarez-Farizo y Hanley (2002), Kuriyama (2002), Carlsson et al. (2003), Riera y Mogas (2004), Rambonilaza (2005), Turner et al. (2005) y Bengo-chea et al. (2007).
Las principales características del análisis conjunto en la determinación de las preferencias del consumidor de los espacios naturales son: 1) permiteconocer la importancia concedida a cada característica, descomponiendo el valor global asignado por un individuo a un recurso en la suma de los valores de sus características más relevantes; 2) la valoración puede no ser monetaria y consistir únicamente en la clasificación de opciones presentadas según las preferencias, como en el presente estudio, que incluye la evaluación de las preferencias de los consumidores respecto al modo de acceso al parque, las actividades a realizar y los servicios complementarios a ofrecer. Además, según Sánchez y Pérez (2000), conocer las preferencias de los visitantes puede ser muy útil a los organismos públicos responsables de la gestión del patrimonio natural, ya que la información obtenida se puede usar para adecuar la oferta de espacios naturales a la demanda social de los mismos.
MATERIALES Y MÉTODOS
Se encuesto a 410 visitantes del paraje Los Chorros del río Mundo, perteneciente al Parque Natural de los Calares del Mundo y de la Sima durante agosto de 2009 (Cuadro 1). El cuestionario estaba estructurado en cinco grupos de preguntas: 1) gastos realizados en la visita al parque; 2) disposición máxima al pago por la entrada al parque; 3) preferencias sobre distintos servicios; 4) distintas afirmaciones sobre su estilo de vida; 5) sus características socioeconómicas. Entre las preguntas relativas a la visita del parque se incluyeron las que detectarían la composición de las preferencias de los consumidores en función de la importancia que conceden a distintos atributos de servicios del parque.
Para determinar la estructura de preferencias de los consumidores, el análisis conjunto (Green y Rao, 1971) es probablemente la técnica principal y la más importante (Wittinky Cattin, 1989; Wittink et al., 1994). Este análisis es una técnica estadística enmarcada dentro de los modelos multiatributos, que pueden dividirse en modelos composicionales y modelos descomposicionales. En los primeros los individuos realizan valoraciones de los distintos atributos de un producto para evaluar la preferencia global, mientras que en los modelos descomposicionales la preferencia de un producto o servicio se obtiene a través de valoraciones globales de distintas alternativas de productos o servicios, desde las cuáles se obtienen las preferencias de los atributos. La aplicación del análisis conjunto requiere una serie de pasos detallados a continuación (Guerrero et al, 2003):
Identificación de atributos y establecimiento de niveles
Para implementar un análisis conjunto es necesario identificar los atributos que se incluirán en el estudio y establecer los niveles de cada uno de ellos. En este estudio, mediante información de la bibliografía, entrevistas con expertos y un cuestionario se seleccionaron los atributos y niveles representativos para ofrecer al visitante del paraje.
Los atributos (y sus niveles) identificados como más importantes fueron: 1) acceso al parque (a pie y en vehículo)2; 2)el tipo de actividades a realizar (senderismo, bicicleta, montaña y equitación)3; 3) otros servicios complementarios (mesas de picnic y visitas guiadas).
Selección del modelo de preferencia
El análisis conjunto permite encontrar una serie de valores, llamados utilidades parciales (o "partworth"), que relacionan los niveles de los atributos con las preferencias de los consumidores, en este caso visitantes al parque. Es un modelo explicativo en el que la variable a explicar son las evaluaciones de preferencias de los individuos sobre el conjunto de combinaciones, y las variables explicativas son los niveles de los atributos seleccionados para definir las combinaciones.
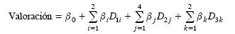
El investigador debe especificar la regla de composición del encuestado, la cual describe cómo combina el encuestado los componentes parciales de la utilidad total de los factores para obtener el valor conjunto. La regla de composición más usada es el modelo aditivo, que considera que la preferencia de un individuo por un estímulo se obtiene sumando las utilidades parciales asignadas a los niveles de los factores que constituyen dicho estímulo (Steenkamp, 1987). Se partió de un modelo aditivo porque explica un porcentaje elevado (del 80 a 90 %) de la variación de la preferencia de los individuos (Hair et al, 1999). Su formulación es:

donde, β1i β 2j β3kson los coeficientes asociados con los niveles i (i=1,2), j (j= 1,2,3.4) y k (k=1,2) de los atributos acceso (1), actividad (2) y servicios (3); DliD2j y D3k son las variables ficticias por cada atributo, considerando los niveles de cada atributo como categóricos.
En el análisis conjunto las variables explicativas son dicotómicas, tomando el valor 1 si el nivel está en el atributo que forma el estímulo y el valor 0 en caso contrario.
Método de recolección de datos
La información se recolectó con el método de perfil completo, en el que cada estímulo se describe separado mediante una tarjeta de perfiles. Este método se usó porque presenta una visión realista del problema y reduce el número de comparaciones mediante diseños factoriales fraccionados.
Construcción del conjunto de estímulos
En este estudio hay tres atributos, dos con dos niveles cada uno, y el tercero con cuatro niveles. El número total de posibles combinaciones o estímulos es: 2x4x2=16.
La complicación de evaluar 16 tarjetas por una persona disminuye al usar un diseño factorial fraccionado que evita la correlación entre los atributos (diseño ortogonal). Se usó un diseño factorial fraccionado, a través del procedimiento Orthoplan del módulo Categories (SPSS, 2008), y constó de ocho estímulos valorados por los entrevistados, para estimar los parámetros del modelo. Un diseño ortogonal frente a la presentación de todas las combinaciones posibles de productos limita la obtención de información a sólo los efectos principales de los atributos, eliminando las interacciones. Su ventaja es ofrecer sólo ocho productos a cada encuestado (Cuadro 2), lo cual supera el inconveniente mencionado (Braña et al., 1995).

Presentación de los estímulos
La presentación de estímulos fue verbal, presentando tarjetas diseñadas para ese efecto a cada encuestado (Cuadro 3). Las ventajas de la presentación verbal son la simplicidad y la eficiencia, pues permite evaluar un elevado número de estímulos.

Escala de medida de la variable dependiente
Las alternativas para definir la escala de medida de la variable dependiente son: 1) escala no métrica o comparación por pares y rangos de orden; 2) escala métrica o escala de intervalo, que se usó en este estudio. Los encuestados asignaron una calificación de preferencia a cada tarjeta en una escala métrica de 1 a 10 en función de sus preferencias, con posibilidad de repetir puntuación en más de una tarjeta. El 1 y el 10 correspondieron al menor y mayor grado de preferencia (método de perfil completo), con el objeto de conocer las características con mayor influencia sobre la preferencia de servicios y la importancia relativa de cada atributo. Este tipo de escala se eligió porque permite un análisis y una administración más sencillos.
Método de estimación
Para el análisis de resultados se usó el programa SPSS (2008), con un módulo Categories en el cual está implementado el programa Conjoint. El subcomando Score del programa analiza las preferencias mostradas por un conjunto de personas donde se asigna un valor a cada una de las ocho tarjetas, siguiendo las preferencias de cada una, según el diseño ortogonal (Cuadro 2). El subcomando Score reconoce en el fichero de datos el número de tarjeta y la valoración asignada por el entrevistado (Várela y Braña, 1996). Al final el programa Conjoint estima las utilidades parciales de cada atributo y la utilidad total de cada perfil. Con las utilidades parciales de cada persona entrevistada y para determinar la estructura de preferencias de los consumidores, se calculó la importancia relativa de los atributos de cada una de ellas, y la proporción de rango asignada a cada atributo sobre la variación de rangos total (Halbrendt et al, 1991; Hair et al., 1999):

donde, IR es la importancia relativa; max Ui es la utilidad máxima; min Ui es la utilidad mínima.
En función de la importancia relativa de los atributos valorados por los encuestados, se realizó una segmentación con el análisis de conglomerados de K-medias, con la estructura de preferencias de los visitantes (acceso, actividades y otros servicios), mediante el algoritmo Quick Segmentation Analysis (SPSS, 2008). Para cada uno de los segmentos detectados se realizó una simulación de cuotas de mercado, mediante el modelo de máxima utilidad5 del programa Conjoint, para detectar las posibilidades de éxito de las combinaciones de los servicios que se pueden ofertar.
RESULTADOS Y DISCUSIÓN
Estructura de preferencias del visitante al parque
Con la importancia relativa concedida individualmente a los atributos se procedió a la segmentación de la población total, detectando dos segmentos de visitantes que difieren en su estructura de preferencias (Cuadro 4).
El atributo con mayor importancia relativa fue las actividades a realizar en el parque (64.05 %), seguido por el tipo de acceso (24.36 %) y por otros servicios complementarios (11.59 %). Estos resultados indican que la gestión debería priorizar las actividades a realizar en los espacios sobre otros atributos, como el acceso u otros servicios complementarios.
Respecto al atributo acceso, los visitantes valoraron negativamente el acceso a pie y positivamente llegar en vehículo. En las actividades, los visitantes valoraron positivamente al senderismo y montaña, y negativamente a la bicicleta y equitación. Además, el servicio complementario preferido fue el establecimiento de mesas de picnic en enclaves determinados para descansar y comer disfrutando de la naturaleza.
Realizada la segmentación de los visitantes, las preferencias del primer segmento se orientaron principalmente a las actividades a realizar, mientras que las del segundo segmento hacia el tipo de acceso al parque. El análisis de esas preferencias revela que los visitantes del segmento uno prefieren como actividades a realizar el senderismo o montaña; los del segmento dos sólo senderismo. Respecto al acceso al parque, el acceso a pie es valorado negativamente por los dos segmentos, pero el acceso en vehículo es preferido por el segmento dos. El servicio complementario preferido por los dos segmentos de visitantes es mesas picnic, más que las visitas guiadas. En todo caso, los del segmento uno se mostraron más proclives que los del dos a las visitas guiadas.
Existen diferencias significativas en el nivel de estudios y actividad laboral entre los segmentos de visitantes (Cuadro 5). Así, los del segmento uno poseen estudios medios (bachillerato) y su actividad laboral más frecuente es de empresario o asalariado. Los del segmento dos tienen estudios elementales (básicos), son en menor medida asalariados y es la clase pasiva (amas de casa, estudiantes y jubilados) más numerosa.

Sin diferencias significativas entre los segmentos, los del segmento uno son de menor edad y tienen más ingresos que los del dos. En los dos segmentos la mayoría son hombres que tienen su lugar de residencia en un sitio distinto a la provincia de Albacete (más del 85 % de los visitantes, y a su vez más del 75 % no son de Castilla-La Mancha). Los visitantes del segmento dos proceden de la provincia de Albacete en mayor proporción que los del segmento uno.
Simulación de las preferencias de distintos tipos de servicios
Una vez analizadas las preferencias de los visitantes, se evaluó la demanda potencial para distintos tipos de servicios que puedan ofertarse en el parque. Se definieron escenarios en función de las actividades que se pueden realizar. En ningún caso se planteo el acceso a pie y que la actividad a realizar sea equitación debido a las altas utilidades negativas para estos niveles en todos los grupos analizados (Cuadro 4).
En cada uno de los escenarios se muestran distintas alternativas de servicios en función de la combinación de los niveles de los atributos y se calcularon las correspondientes cuotas de mercado para cada escenario (Cuadro 6).
Una vez obtenidas las cuotas de mercado, se compararon los distintos escenarios propuestos. Así, se midió la respuesta de la demanda ante la variación de un nivel (Sánchez et al., 2002). Al comparar los escenarios I y II, tanto el segmento uno como el segmento dos prefieren la actividad senderismo a la de montaña, indistintamente de los servicios complementarios ofrecidos, aunque la cuota de mercado disminuye cuando el servicio complementario ofrecido son visitas guiadas. En la comparación de los escenarios III y IV, el segmento uno prefiere la actividad montaña a la bicicleta indistintamente de los servicios complementarios ofrecidos. Sin embargo, el segmento dos le da más importancia al servicio complementario ofrecido que a la actividad a realizar, ya que la cuota de mercado es mayor cuando el servicio ofrecido son mesas de picnic, indistintamente si la actividad a realizar es montaña o bicicleta.
CONCLUSIONES
Las personas que visitan el Parque Natural de los Calares del Mundo y de la Sima valoran como el principal atributo las actividades a realizar (senderismo o montaña), seguido del tipo de acceso (en vehículo) y al final otros servicios complementarios (mesas de picnic). En función de las preferencias individuales se reconocieron dos segmentos de visitantes a espacios naturales. El primero se caracteriza porque el atributo más preferido son las actividades a realizar, mientras que el segundo por preferir el tipo de acceso y valorar más los servicios complementarios.
En el segmento uno hay mayor proporción de personas con estudios medios, asalariados y empresarios, son más jóvenes y con más ingresos, mientras que en el segmento dos hay mayor número de personas con estudios elementales, presencia menor de asalariados y mayor de clases pasivas; tienen más edad y menos ingresos.
Los visitantes al parque son de fuera de la provincia de Albacete (y de Castilla-La Mancha). Entre los visitantes del segmento dos hay mayor presencia de personas cuyo origen es Albacete.
Los servicios a ofertar por la Administración del parque deberían ser senderismo (más preferida que la montaña) así como el establecimiento de espacios con mesas de picnic. Además, podría realizarse una oferta diferenciada en función de los segmentos detectados: la actividad alternativa de montaña y visitas guiadas, especialmente para escolares, para los visitantes en el segmento uno.
La información del estudio puede ser útil para los gestores del parque encargados de regular su uso recreativo, y permitir una oferta diferenciada de servicios en función de la edad del visitante. El establecimiento de servicios adecuados a la demanda de los visitantes puede permitir a la Administración autonómica compaginar los objetivos de conservación de la naturaleza con el uso recreativo de los visitantes.
LITERATURA CITADA
Adamowicz, W., J. Louviere, and M. Williams. 1994. Combining revealed and stated preference methods for valuing environmental amenities. J. Environ. Econ. Manage. 26 (3): 271-292. [ Links ]
Alpizar, A., F. Carlsson, and P. Martinsson. 2001. Using choice experiments for non-market valuation. Econ. Issue 52 (1): 88-110. [ Links ]
Alvarez-Farizo, B., and N. Hanley. 2002. Using conjoint analysis to quantify public preferences over the environmental impacts of wind farms. Ener. Polic. 30: 107-116. [ Links ]
Bengochea, M. A., A. M. Fuertes, y S. Del Saz S. 2007. Análisis conjunto y espacios naturales: una aplicación al Paraje Natural del Desert de les Palmes. Sist. Rec. For. 16 (2): 158-168. [ Links ]
Boletín Oficial del Estado (B.O.E.), núm. 74. 1989. Ley 4/1989, de 27 de marzo, de Conservación de los Espacios Naturales y de la Flora y Fauna Silvestre. Madrid. [ Links ]
Boletín Oficial del Estado (B.O.E.), núm. 154. 2005. Ley 3/2005, de 5 de mayo, de declaración del Parque Natural de los Calares del Mundo y de la Sima. Madrid. [ Links ]
Braña, T., M. J. Ferraces, y J. Várela. 1995. Diseño factorial incompleto. IV Simposium de Metodología de las Ciencias del Comportamiento. Murcia. España, pp: 525-528. [ Links ]
Bretton-Clark. 1986. Conjoint Designer and Conjoint Analyzer, version 2.0. Bretton-Clark. 53 p. [ Links ]
Carlsson, R, P. Frykblom, and C. Liljenstolpe. 2003. Valuing wetland attributes: an application of choice experiments. Ecol. Econ. 47: 95-103. [ Links ]
Farber, S. and B. Griner. 2000. Using conjoint analysis to value ecosystem change. Environ. Sci. Tech. 34(8): 1407-1412. [ Links ]
Green, P. E., and V R. Rao. 1971. Conjoint measurement from quantifying judgemental data. J. Market. Res. 8: 355-363. [ Links ]
Guerrero, F. M., M. Martínez, y J. M. Ramirez. 2003. Análisis de las preferencias de técnicos en soporte de un sistema de información mediante la utilización de análisis conjunto. XI Jornadas de la Asociación Española de Profesores Universitarios de Matemáticas para la Economía y la Empresa. Oviedo. http://www.uv.es\asepuma\XI\60.pdf. (Consulta: mayo del 2011). [ Links ]
Hair, J. E, R. E. Anderson, R. L. Tatham, and W. C. Black. 1999. Análisis Multivariante. Prentice Hall. Madrid. España. 832 p. [ Links ]
Halbrendt, C. K., E. F. Wirth, and G. F. Vaughn. 1991. Conjoint analysis of the Mid-Atlantic food-fish market for farm-raised hybrid striped bass. Southern J. Agrie. Econ. July: 155-163. [ Links ]
Hanley, N., R. Wright, and V. Adamowicz. 1998. Using choice experiments to value the environment. Environ. Resource Econ. 11 (3-4): 413-428. [ Links ]
Kuriyama, K., and Y. Ishii. 2000. Estimation of the environmental value of recycled wood wastes: a conjoint analysis study. J. For. Res. 5 (1): 1-6. [ Links ]
Kuriyama, K. 2002. Measuring the ecological value of the forests around the Kushiro Marsh: An empirical study of choice experiments. J. For. Res. 5: 7-11. [ Links ]
McKenzie, J. 1993. A comparison of contingent preference models. Amer. J. Agrie. Eco. 75 (3): 593-603. [ Links ]
Rambonilaza, T. 2005. Land-use planning and public preferences: What can we learn from choice experiments method? Landsc. Urban Plan 83. (4): 318-326. [ Links ]
Riera M., P., and J. Mogas A. 2004. Evaluation of a risk reduction in forest fires in a Mediterranean Region. For. Policy Econ. 6: 521-528. [ Links ]
Roe, B., K. J. Boyle, and M. F. Teisl. 1996. Using analysis to derive estimates of compensating variation. J. Environ. Eco. Manage. 31: 145-159. [ Links ]
Rolfe, J., J. Bennett, and J. J. Louviere. 2000. Choice modelling and its potential application to tropical rainforest preservation. Ecol. Econ. 35: 289-302. [ Links ]
Sánchez G., M., y L. Pérez y Pérez. 2000. Análisis conjunto y gestión pública de espacios protegidos: una aplicación al Parque Natural de Gorbea. Hacienda Pública Española 153 (2): 117-130. [ Links ]
Sánchez G., M., A. Sanjuán, J. M. Gil, A. Gracia, y F. Soler. 2002. Estudio de las preferencias de consumidores y distribuidores especializados respecto del producto ecológico. Rev. Econ. Agraria Rec. Nat. 2 (2): 93-114. [ Links ]
SPSS Inc. 2008. SPSS Categories. Version 15.0. Chicago, IL. Steenkamp, J. E. B. 1987. Conjoint measurement in ham quality evaluation. J. Agrie. Econ. 38(3): 473-480. [ Links ]
Stevens T. H., C. Barrett, and C. E. Willis. 1997. Agrie. Resource Econ. Rev. October: 229-236. [ Links ]
Tolón B., A. y M. D. Ramirez 2002. El Parque Natural de Sierra María Los Vélez Almería, bases para un desarrollo sostenible. Instituto de Estudios Almerienses. Almería. 296 p. [ Links ]
Turner, R.W, A. Giuda, and L. Noddin. 2005. Estimating no-nuse values using conjoint analysis. Econ. Bull.17 (7): 1-15. [ Links ]
Várela, J., y T. Braña. 1996. Análisis Conjunto Aplicado a la Investigación Comercial. Ed. Pirámide. Madrid. 120 p. [ Links ]
Wittink, D., and P. Cattin. 1989. Comercial use of conjoint analysis: An update. J. Marketing 53 (3): 91-96. [ Links ]
Wittink, D., M. Vriens, and W Burhenne. 1994. Commercial use of conjoint in Europe: Results and critical reflections. Int. J. Res. Marketing 11 (1): 41-52. [ Links ]
1 Los Parque Naturales y los Parques Nacionales son dos figuras de protección española que en la nomenclatura internacional corresponden con los espacios de categoría II de la Unión Internacional para la Conservación de la Naturaleza (UICN). Actualmente ambos están gestionados por la Administración Autónoma aunque, en un principio, los Parques Nacionales eran gestionados por el Estado.
2E1 acceso al parque en vehículo o a pie, se refiere al modo de llegar hasta el parque y no al recorrido dentro de él, que en ningún caso será en vehículo.
3Las actividades de senderismo y montaña son prácticas deportivas y recreativas que consisten en recorrer a pie caminos o senderos, preferentemente tradicionales del medio natural y en subir a cimas o recorrer laderas u otros entornos naturales caracterizados por su desnivel, mediante la utilización de técnicas y medios propios.
5En el modelo de máxima utilidad se supone que el visitante elige aquel espacio natural que le proporciona la utilidad máxima, obteniéndose la cuota de mercado como la proporción de veces que cada espacio natural propuesto es elegido como el más preferido entre todos los encuestados (Bretton-Clark, 1986).












