Servicios Personalizados
Revista
Articulo
Indicadores
Links relacionados
-
Similares en
SciELO
Compartir
Agrociencia
versión On-line ISSN 2521-9766versión impresa ISSN 1405-3195
Agrociencia vol.45 no.1 Texcoco ene./feb. 2011
Recursos naturales renovables
Comparación de los sistemas covarianza y relación de Bowen en la evapotranspiración de un viñedo bajo clima semiárido
Vineyard evapotranspiration measuraments in a semiarid environment: eddy covariance and Bowen ratio comparison
Claudio BalbontínNesvara*, Alfonso CaleraBelmonte, José GonzálezPiqueras, Isidro CamposRodríguez, M. Llanos LópezGonzález, Enrique TorresPrieto
Instituto de Desarrollo Regional, Grupo de Teledetección y SIG. Instituto de Desarrollo Regional, Universidad de CastillaLa Mancha. Campus Universitario s/n, 02071, Albacete, España. * Autor responsable: (claudio.balbontin@uclm.es)
Recibido: Marzo, 2010.
Aprobado: Agosto, 2010.
Resumen
La comparación entre sistemas micrometeorológicos permite analizar la confiabilidad de los resultados y evaluar su ajuste a diferentes cultivos. En el presente estudio se midió la evapotranspiración (ET) de una cubierta de viña (Vitis vinifera) en espaldera, durante su ciclo de crecimiento anual, mediante los métodos micrometeorológicos razón de Bowen (BREB) y covarianza de torbellinos (EC). La investigación se realizó en el 2007 en la localidad semiárida de Tarazona de La Mancha, España. El principal criterio de comparación entre los sistemas fue el valor diario y acumulado de la ET actual. Una vez forzado el cierre de energía, el sistema BREB sobreestimó los flujos del sistema EC en valores promedio de 5 %. Las diferencias se pueden explicar por la ubicación próxima del brazo inferior del sistema BREB a la cubierta vegetal. Determinadas condiciones de dirección de viento y estabilidad atmosférica indican mayores requerimientos del método BREB con relación a la selección de la altura y ubicación de los sensores sobre la cubierta. La ubicación de los sensores del sistema BREB en una cubierta heterogénea como la viña, debe considerar el impacto de la arquitectura en la homogeneidad de la capa de mezcla. El análisis de la evolución temporal de los valores de ET y del coeficiente de cultivo (Kc), los cuales responden al desarrollo del cultivo e incrementos de humedad de riegos o lluvias, aumenta la fiabilidad de los resultados de ET obtenidos por el sistema EC con forzamiento de cierre. El flujo de calor del suelo (G) presentó diferentes patrones debido a la iluminación y el sombreado y se obtuvo una relación G/Rn para el periodo diurno (0.21) y nocturno (0.68).
Palabras clave: Vitis vinifera, balance de energía, coeficiente de cultivo, micrometeorología.
Abstract
The comparison of micrometeorological systems enables to analyze the reliability of the results and assess their adjustment to different crops. In the present study the evapotranspiration (ET) of a vineyard cover (Vitis vinifera) arranged in a trellis system was measured during its annual growth cycle by using the micrometeorological methods Bowen Ratio Energy Balance (BREB) and Eddy Covariance (EC). The research was conducted in 2007 in the semiarid area of Tarazona de La Mancha, Spain. The main criterion of comparison between the systems was the daily and cumulative value of current ET. Once the closure of energy was forced, the BREB system overestimated the EC system fluxes in average values of 5 %. The differences can be explained by the close location of the lower arm of the plant cover in BREB system. Certain conditions of wind direction and atmospheric stabilty indicate higher requirements of the BREB method with respect to the selection of height and location of sensors on the cover. The location of the BREB system sensors in a heterogeneous cover like the vineyard should consider the impact of architecture on the homogeneity of the mixed layer. The analysis of the time evolution of the ET values and crop coefficient (Kc), which respond to crop development and high moisture because of irrigation or rainfall, increases reliability on the ET results obtained by the EC system with forced closure. The soil heat flux (G) presented different patterns due to lighting and shading of the soil providing different G/Rn values for the day (0.21) and night (0.68) periods.
Keywords: Vitis vinifera, energy balance, crop coefficient, micrometeorology.
INTRODUCCIÓN
La estimación correcta del uso de agua por los cultivos permite calibrar sistemas de monitoreo remotos (satelital) y en zonas áridas, donde la disponibilidad de agua para la agricultura cada día es menor, representará un ahorro de los recursos hídricos. La estimación de la evapotranspiración (ET) de una cubierta vegetal ha sido mejorada junto con el desarrollo de tecnologías que permiten dar seguimiento a variables micrometeorológicas. Los métodos Covarianzas de Torbellinos (EC) y de Razón de BowenBalance de Energía (BREB) son fuente de información para validar modelos de evapotranspiración, generados con datos de campo o imágenes de satélites (Soegaard et al., 2003). Estos sistemas han sido validados sobre diferentes coberturas vegetales con resultados de aceptable precisión (Heilman et al., 1989; Prueger et al., 1997; Todd et al., 2000). Sin embargo, también se ha concluido que las condiciones de estabilidad atmosférica (Twine et al., 2000; Brotzge y Crawford, 2003; Wolf et al., 2008), advección de energía (Dugas et al., 1991; Berengenay Gavilán, 2005) y ubicación del instrumental meteorológico (Cellier y Brunet, 1992; Mahrt, 2000) pueden influir en la sensibilidad y desempeño de los sistemas al evaluar los flujos conducidos por la turbulencia.
El sistema BREB tiene un diseño simple, económico, con base en gradientes de temperatura y vapor de agua entre dos alturas, con bajos requerimientos de fetch (Heilman et al., 1989; Stannard, 1997). El sistema EC, más sofisticado y caro, tiene sus bases en la determinación de la correlación entre las fluctuaciones de la concentración de un escalar (agua, CO2, momento, entre otros) y las fluctuaciones de la velocidad vertical del viento. Este método es una referencia entre los métodos micrometeorológicos (Monteith y Unsworth, 2007) y se ha utilizado en cultivos agrícolas, bosques y vegetación natural.
En viñedos se ha estudiado la evapotranspiración y los componentes del balance de energía (Li et al., 2008) pero se compara poco el desempeño de los métodos EC y BR. La proporción de la radiación interceptada por la vegetación y el suelo, el desarrollo de la cobertura vegetal y el régimen de humedad del suelo son los principales factores que conducen el intercambio de energía entre la superficie y la atmósfera. La heterogeneidad de su cobertura, con una fuerte presencia de suelo desnudo, y la arquitectura tridimensional inducen a una particular distribución de la energía entre los componentes del balance. También, procesos advectivos locales debidos a la presencia relevante de suelo desnudo, efectos de la rugosidad sobre el desarrollo de las capas atmosféricas, desigualdad entre los coeficientes turbulentos de calor, agua, momento, y otros pueden hacer que los flujos de energía sean anisótropos y fuertemente dependiente de la estabilidad y dirección del viento (Weiss y Allen Jr., 1976; Cellier y Brunet, 1992; Mahrt, 2000).
La hipótesis del presente estudio fue que la capacidad de los sistemas micrometeorológicos evaluados para estimar adecuadamente la ET actual son útiles en el seguimiento y pronóstico del coeficiente de cultivo (Kc). El objetivo fue evaluar y comparar el desempeño de los métodos EC y BREB en la estimación de la ET diaria en un viñedo regado. Como resultado destacable se propone una parametrización del flujo de calor del suelo (G) a partir de valores de radiación y actualizar el balance de energía.
MATERIALES Y MÉTODOS
El experimento se efectuó en un viñedo con producción comercial ubicado en Tarazona de La Mancha (39° 17' N, 1 o 59' O, 700 m), provincia de Albacete, España. El viñedo tiene 26 ha con plantas de 13 años, dispuestas en espaldera en un marco de 3 m X 1.5 m, orientadas nortesur (azimut 170° desde el norte). En la Figura 1 se muestra la localización del viñedo experimental y la de los sistemas micrometeorológicos. El tipo de suelo es clasificado como Petrocalcic Calcixerepts, con una profundidad superior aim, pedregosidad común y textura franca. La altura de la vegetación al comienzo de la temporada fue 70 cm y al final 164 cm, con un anchura media del follaje de 70 cm (Figura 2B) y la cobertura máxima alcanzó 30 % (Campos et al., 2010).
La variedad predominante es Cencibel y en menor proporción Cabernet Sauvignon, Merlot y Syrah. El riego es por goteo, cada 12 d, 12 h y no hubo síntomas de estrés hídrico. El clima es continental, con una temperatura promedio anual de 13.7 °C. Durante el experimento (2007) la precipitación fue 354 mm y el rendimiento promedio fue 16 t ha1, con niveles de alcohol probable de 13 a 14 °Baume considerados normales. El periodo comparativo comprendió 68 d, desde el 17 de mayo (día juliano (DJ 137) al 26 de julio de 2007 (DJ 206).
Medición de la radiación neta (Rn) y flujo de calor del suelo (G)
El cálculo de la energía disponible para los flujos turbulentos dependerá de la evaluación correcta de Rn y G (Brotzge y Crawford, 2003) y errores en su medida afectarán el desempeño de los sistemas BREB y de los métodos de cierre forzado en EC (Twine et al., 2000). La Rn (W m2) fue evaluada con un radiómetro neto CNR1, (KIPP&ZONEN, Holanda), ubicado a 4.5 m sobre el suelo. Dado que la cobertura es heterogénea y la arquitectura de la viña en espaldera introducen patrones de iluminación y sombreado que pueden tener efecto en los flujos de calor en el suelo (Heilman et al., 1994), los valores de G (W m2) se midieron en tres posiciones espacialmente representativas del suelo de la viña (en la zona de las plantas, a 0.75 m y 1.5 m desde la hilera de plantas; Figura 2B). El valor de G se calculó con el método combinado (Payero et al., 2005), el cual corrige los flujos térmicos medidos por los platos enterrados, evaluando la capacidad térmica del suelo superficial midiendo el cambio en su temperatura en el tiempo y el efecto del contenido de humedad en el suelo. Para esto, en las tres posiciones descritas se ubicaron platos HFP01 (Hukseflux, Holanda) enterrados a 8 cm y termopares de cromoconstantán (TCAV, Tipo E) a 2 cm y 4 cm de profundidad junto a un reflectómetro de humedad volumétrica (θv) CS616 (Campbell Sci. Inst.,USA).
Medidas de Razón de Bowenbalance de energía (BREB)
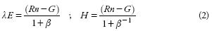
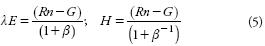
El método BREB requiere calcular la energía disponible (RnG) y los gradientes de temperatura y humedad sobre el cultivo. La distribución de la energía entre los flujos de calor sensible (H, W m2) y latente (λE, W m2) se calculó con la razón de Bowen (β, adimensional) medida instrumentalmente en campo (Rosenberg et al., 1983; Monteith y Unsworth, 2007):

donde, y (kPa °C1) es la constante psicrométrica; ΔT (°C) y Δq (kPa) corresponden a los gradientes de temperatura y concentración de vapor de agua a dos alturas. Luego se usa β conjuntamente con la energía disponible para calcular los flujos turbulentos:

Los gradientes fueron evaluados con sensores en dos brazos, dispuestos en el sentido de la hilera de plantas y separados aim entre sí (Figura 2). El brazo inferior estuvo ubicado 40 cm sobre la parte alta de la vegetación. El gradiente de temperatura fue evaluado con dos termopares de hilo fino tipo E (cromoconstantan) ASPTC + 107 T P (Campbell Sci. Inst., USA) y el gradiente de humedad con un espejo de punto de rocío Almemo®FHA646DTC1 (Ahlborn Mess, und R., Alemania), compartido por ambos brazos y alimentado alternadamente desde cada altura mediante electro válvulas. Los datos correspondieron a medias de 20 min y se almacenaron en un registrador de datos (data logger) CR23X (Campbell Sci. Inst., Inglaterra). Los valores se depuraron según la metodología propuesta por Ohmura (1982) y Unland et al. (1996) la cual rechaza valores cercanos a la resolución de los sensores o momentos del día cuando los valores de β están cercanos a 1, por lo que el flujo estimado se hace infinito. En cuanto a los límites de la parcela, el borde más cercano estableció un "fetch" mínimo para este equipo de 60:1 desde el este, el cual se aleja del valor mínimo de 20:1 indicado para sistemas BREB por Heilman et al. (1989). Siguiendo el método propuesto por Schuepp et al. (1990) se calculó que 90 % del flujo acumulado provino de un área limitada a 133 m para el brazo superior y a 27 m para el inferior, con distancias de contribución máxima al sensor de 7 y 2 m.
Medidas Eddy covarianzas (EC)
El sistema EC permite evaluar directamente el flujo de calor latente (λE) y sensible (H) a partir de la variación de la velocidad vertical del viento y de la densidad de vapor de agua y de la temperatura (Monteith y Unsworth, 2007). Los flujos se calcularon con las covarianzas:

donde, λE (W m2) es el flujo de calor latente; λ (J kg1) el calor latente de vaporización; w' (m s1) la variación instantánea de la velocidad vertical del viento; ρv' (kg m3) la variación instantánea de la densidad de vapor de agua; H (W m2) el flujo de calor sensible; Cp (1013 kJ kg1 °C1) el calor especifico del aire húmedo; ρa(kg mm3) la densidad del aire; y T' (°C) la variación de la temperatura del aire (°C). Las barras sobre las letras indican medias temporales y las primas indican desviaciones de los valores desde las medias temporales. El sistema se instaló en la parte central del huerto y consistió en un anemómetro sónico CSAT3 (Campbell Sci. Inst., Inglaterra), un analizador de gases en el infrarrojo con sistema abierto LI7500 (LICOR Inc., USA) y registros a 10 Hz (0.1s), un sensor de humedad y temperatura HMP45C (Vaisala, Finlandia) y un "datalogger" CR5000 (Campbell Sci. Inst., Inglaterra) en el que se computaron las estadísticas y la corrección de densidad del aire (Webb et al., 1980). Los datos se integraron en tablas de alta frecuencia y flujos cada 30 min. El proceso posterior se realizó con el programa de cómputo TK2 (Mauder et al., 2008) el cual corrige principalmente efectos de la separación entre sensores, atenuaciones de frecuencia por promedios temporales, longitud del sensor, valores espurios, y otros. Los sensores se ubicaron a 3 m sobre el suelo, orientados al noroeste, dirección de los vientos predominantes (Figura 2A). El valor mínimo de fetch para esta altura fue 55:1. Con la metodología de Schuepp et al. (1990) se calculó que 90 % de los flujos acumulados tuvieron su origen dentro de una área limitada a 159 m, con la contribución máxima al flujo a 8 m de la torre.
Método para el análisis del cierre del balance de energía
El cierre del balance de energía se evaluó en escala horaria, con la relación entre la suma de los flujos aerodinámicos (λE +H) y la energía disponible (RnG) conocida como relación del balance de energía (EBR) (Twine et al., 2000). La ecuación usada fue:

Considerando que las medidas de Rn y G son representativas de la energía disponible, los valores de los flujos forzados o corregidos en el periodo diurno son (Twine et al., 2000):

Cálculo de la evapotranspiración de referencia (ETo)
Con objetivo de analizar la capacidad de los sistemas para moniterear el desarrollo del cultivo se calculó el coeficiente de cultivo (Kc=ETactual/ETo) con la ET actual indicada por cada equipo y la ETo (mm d1) con la ecuación FAO56 Penman Monteith (Alien et al., 1998). Las variables meteorológicas medidas fueron: radiación solar (W m2), velocidad del viento (ms1), temperatura (°C) y humedad del aire (%) a 2 m de altura. La radiación solar reflejada se modeló al utilizar el albedo de una superficie de referencia (0.23). La radiación neta de onda larga se modeló con el procedimiento descrito en FAO56 (Alien et al., 1998).
Estadísticos comparativos
Los flujos de energía reportados por ambos sistemas se compararon usando regresión simple y los estadísticos coeficiente de determinación (R), pendiente (b) e intersección del eje (a), cuadrado medio del error (RMSE) e índice de acuerdo (LA.) con base en la propuesta de Willmott (1982).
RESULTADOS Y DISCUSIÓN
Condiciones del cultivo
En el desarrollo de la cubierta vegetal del viñedo (Figura 3) se consideraron dos fases: una de crecimiento vegetativo, que se inicia el DJ 120 con la aparición de las primeras 2 o 3 hojas y finaliza el DJ 180 con una fracción de cobertura (Fc) de 31 % (Campos et al., 2010); y una segunda fase, desde este día hasta el DJ 206, período en que la cubierta vegetal permaneció sin cambios en forma, altura y volumen (período de referencia). Este período (DJ 180206) servirá para analizar cambios en el balance de energía no atribuibles a cambios en la cubierta.
Flujo de calor en la superficie del suelo y radiación
Los valores positivos de G fueron en promedio similares entre las tres posiciones y las mayores diferencias se observaron en el periodo negativo (nocturno) en el sitio bajo las plantas donde las temperaturas en promedio son menores (Cuadro 1).

Con base en esas diferencias es posible indicar que los muéstreos en la posición central entre hilera podrían ser suficientes y representativos del flujo promediado espacialmente. El flujo bajo las plantas mostró dos picos, uno a media mañana (10:00) y otro a media tarde (15:00) con una gran bajada en la parte central del día (12:00) debido al patrón de iluminación. El valor de G promedio, representativo para el flujo en la viña, alcanzó valores máximos de 158 Wm2 en el día y mínimos de 58 Wm2 en la noche. También se observó que los valores máximos de G promedio presentan un desfase temporal respecto a la máxima Rn diaria (Figura 4), que es de 2 h (Olivier y Sene, 1992; Foken et al., 2006).
Los valores de los cocientes entre los promedios diarios de G y la radiación solar incidente (G/Ris), la radiación neta solar (G/Rns) y la radiación neta (G/ Rn) del período diurno y el nocturno se presentan separados (Figura 5). Los valores del cociente G/Rn se estabilizaron en 0.21 en el día y 0.68 en la noche y fueron similares a los de Hicks (1973).
Análisis del cierre del balance de energía en el sistema EC en escala horaria
Para calcular las diferencias horarias, el valor de G se desfasó 1 h (+1). La suma de los flujos turbulentos (λE +H) fue inferior a la energía disponible (RnG) (Figura 6 A). Otros autored resultados similares (Barr et al., 1994; Twine et al., 2000; Brotzge y Crawford, 2003). Los valores de EBR fueron bajos durante el período nocturno (36.3 %) hasta las primeras horas del día, momento en que inicia el desarrollo de turbulencias. Durante el periodo diurno, al aumentar los flujos de energía y el desarrollo de las turbulencias, también aumenta el EBR (Figura 6 A). Esto se corroboró con un mejor ajuste entre los valores diurnos medidos por el sistema EC y la energía disponible [λE +H=0.85 (RnG)+21.5l; R2=0.94; ± RMSE de 48.91] (Figura 6 B). Durante el período de referencia, el valor promedio diurno (Rn>50 W m2) del EBR fue 95.29 % (desviación estándar DE ±15.34 %). Considerando todo el periodo experimental, el valor promedio diurno del EBR fue 91.8 % (DE±18.9 %). Estos valores indican un déficit en el cierre del balance de energía de alrededor de 5 % en el día. Las agrupaciones temporales de los flujos, el valor promedio de EBR en escala diaria (RnG y λE+H acumulados en 24 h) fue 101 % (DS±6 %), similar al señalado por Oliver y Sene (1992) en viñas. En la Figura 7 se indican los valores diarios del EBR horario diurno y del EBR diario (calculado de los flujos acumulados durante 24 h).
Las diferencias en el análisis del cierre con diferentes agrupamientos temporales de los flujos, probablemente refleja el desfase temporal entre los componentes del balance de energía, y el diferente sentido de los errores sistemáticos cometidos por EC (Foken et al., 2006). Sin embargo, si se suma la totalidad de (λE+H) y (RnG) se alcanza un valor de EBR de 98.7 % (Blanken et al., 1998). Este resultado puede deberse al diferente sentido de los flujos no detectados durante el día y la noche.
Forzamiento del cierre
De acuerdo con Twine et al. (2000) y considerando el cultivo de vid, durante el período nocturno se asigna a H los residuales del déficit de cierre, dado que los estomas están cerrados y el déficit de presión de vapor es bajo. En el período diurno el reparto se hace en función de la razón Bowen calculada con EC (Twine et al., 2000), asignando proporcionalmente el déficit entre H y λE. En este sentido la literatura no es concluyente sobre la forma de asignar el déficit cierre y se considera posible hacerlo en las dos vías. Este aspecto se analizó al comparar los valores de la razón de Bowen (β =H/λE) medidos por ambos equipos (βEC y βBREB). Las comparaciones (Figura 8) se realizaron durante el período diurno (Rn>50 W m2) por el menor desempeño que se asoció al desarrollo incompleto de las turbulencias (Dugas et al., 1991). En las primeras tres semanas ambos equipos mostraron diferencias en el comportamiento de β, probablemente debido a los nublados, lluvias y agua sobre ellos. Las diferencias entre los valores de β disminuyeron en la medida que se fue secando el suelo y la evapotranspiración se debió casi exclusivamente a las plantas.
Posteriormente, con temperaturas y cobertura del cultivo mayores, los valores deβ de ambos equipos disminuyeron a menos de 1, evidenciando mayor asignación al flujo de λE y ambos β se mantuvieron constantes a los largo del día con valores menores al atardecer. Los valores de βBREB fueron menores que βEC revelando para este equipo una mayor asignación de energía a λE (Barr et al., 1994). Durante el periodo de referencia el valor promedio diurno de βBREB fue 0.48 y 0.62 para βEC. Al transformar estas cifras a reparto de la energía disponible, el sistema BREB asignaría 67.6 %, y EC 61.7 % a ET.
Comparación de los flujos EC y BREB una vez forzado el cierre
La correlación entre los flujos turbulentos de ambos sistemas de medición mostró niveles altos de ajuste (R2 0.94 y 0.87, para λE y H), pero mayores diferencias en sus pendientes. Mientras que para el calor latente λEBREB presentó valores superiores a λERC (101.3 Wm2 y 95.7 Wm2), en los flujos de calor sensible HEC registró valores superiores que HBREB (44.9 Wm2 y 39.2 Wm2). En el periodo nocturno HEC registró valores negativos menores que HBREB (33.90 y 26.50 Wm2) (Cuadro 2).
Para analizar el comportamiento temporal de las diferencias, los flujos turbulentos se compararon día a día, observándose que las diferencias estuvieron representadas por picos de flujo en λEBREB en los días julianos del 172 al 182, 185 al 187 y 192 al 195. Los picos de λE fueron acompañados de disminuciones del flujo de H. Gavilán y Berengena (2007) señalan que en condiciones atmosféricas relacionadas con la estabilidad y la dirección predominante de los vientos, los sistemas BREB pueden sobreestimar de los flujos de λE , y por tanto subestimar H (Figura 9).
La coincidencia entre los dos periodos de valores máximos de λEBREB y por tanto diferencias mayores con EC y una dirección predominante del viento (sur y a favor de las hileras) sugieren que la heterogeneidad interior del cultivo tuvo una influencia mayor para localizar la zona de mezcla, y que en el sistema BREB la posición de los brazos encima de la cubierta vegetal es un factor crítico. Al respecto, Heilman et al. (1994) observaron que sobre un viñedo en espaldera el perfil de velocidad del viento y temperaturas cambiaba en función de la dirección del viento y lugar de muestreo (sobre o entre las hileras de plantas). Estos autores sugieren que existe mayor desarrollo de turbulencias (mezcla) en la parte alta del dosel cuando el viento sopla perpendicular a las hileras. También en viñedo, Weiss y Alien (1976) y Hicks (1973) señalan variaciones en intensidad de la turbulencia y del coeficiente de arrastre en la parte alta del dosel en función de la dirección del viento. Esta situación no se apreció en el sistema EC ya que el sensor se encontraba al doble o más de la altura de la vegetación, altura definida para la subcapa mixta (Cellier y Brunet, 1992) y donde el impacto de la heterogeneidad de la superficie en el desarrollo de la capa de mezcla es menor.
Evapotranspiración con el método EC y BREB
En el período experimental total la suma de ETBREB fue 202 mm y de ETEC 192 mm (174 mm sin forzamiento de cierre) (Cuadro 3). La diferencia entre los sistemas representó 5 %, considerado un nivel de ajuste diario adecuado. La mayoría de las comparaciones entre estos sistemas ha mostrado ligeras sobreestimaciones del sistema BREB en relación a EC (Brotzge y Crawford, 2003; Zhang et al., 2007), y en viña Li et al. (2008) reportan diferencias de 6 % a favor de BREB.
Coeficiente de cultivo
Los valores de Kc (ET/ETo) fueron similares en ambos sistemas y captan los máximos desde el suelo de la evaporación del agua de las lluvias al inicio del experimento o de las aplicaciones de riego posteriores (Figura 10). Los valores de Kc al inicio estuvieron entre 0.2 y 0.3 para EC y BREB y ambos sistemas capturan el comportamiento ascendente del Kc ligado al desarrollo fenológico del cultivo. Posteriormente y luego de la lluviariego del DOY 165, los valores de Kc medio fueron 0.52 para BREB y 0.49 para EC. Los dos sistemas pronosticaron valores similares de Kc y las diferencias estuvieron representadas por los picos de λE estimados con BREB. El sistema EC registró con mayor estabilidad el comportamiento del Kc y una sensibilidad mayor sobre la disponibilidad real de humedad en el suelo y controles internos de los flujos por las plantas. Es importante señalar que ambos equipos estimaron valores de Kc inferiores a los publicados para Vitis vinifera en FAO56 (Alien et al., 1998); sin embargo, las estimaciones coinciden con valores locales evaluados con lisimetría en viñedo con riego (Montoro et al., 2008).
CONCLUSIONES
Ambos equipos estimaron montos similares de ET diaria y acumulada y permitieron pronosticar el cambio del coeficiente de cultivo durante la temporada. El método EC en viñedo ha requerido forzamiento del cierre de balance de energía. Una vez forzado el cierre, el sistema BREB sobreestimó ligeramente los flujos del sistema EC ya que presentó máximos mayores de diferencias en períodos específicos. Estas diferencias se podrían explicar por la ubicación cercana a la cubierta vegetal del brazo inferior del sistema BREB que, bajo determinadas condiciones de dirección de viento y estabilidad atmosférica, puede requerir altura y colocación de los sensores sobre la cubierta vegetal en una posición diferente. El análisis y comparación efectuados incrementa la fiabilidad de los resultados de ET obtenidos por el sistema EC con forzamiento de cierre a lo largo del ciclo de crecimiento, y permite calcular el coeficiente de cultivo de la viña. La evolución temporal de dicho coeficiente responde al desarrollo del cultivo y es sensible a riegos o lluvias en los que se produce una evaporación mayor desde la capa de suelo desnudo. La evaluación del flujo de calor en el suelo en tres sectores independientes dentro del marco de plantación permite señalar que, aunque los patrones de iluminación y sombreado influyen en el comportamiento de G a escala horaria en cada sector, los valores integrados muestran diferencias pequeñas entre zonas y se obtienen valores representativos promedio, así como una relación G/Rn estable para el periodo diurno y nocturno.
AGRADECIMIENTO
Este trabajo se realizó en el marco de los proyectos: EBHE (Cod. CGL200804047, Ministerio de Ciencia e Innovación de España). SIRIUS (Cod. FP7SPACE20101, Research Executive Agency Collaborative Project in the Seventh Framework Program of the European Union).
LITERATURA CITADA
Allen, R. G., L. S. Pereira, D. Raes, and M. Smith. 1998. Crop evapotranspiration: guidelines for computing crop water requirements. FAO Irrigation and drainage paper N° 56, Rome, Italy. 300 p. [ Links ]
Barr, A. G., K. M. King, T. J. Gillespie, G. Denhartog, and H. H. Neumann. 1994. A comparison of Bowenratio and eddycorrelation sensible and latentheat flux measurements above deciduous forest. BoundaryLayer Meteorol. 71:2141. [ Links ]
Blanken, P. D., 1998. Turbulent flux measurements above and below the overstory of a boreal Aspen forest. BoundaryLayer Meteorol. 89:109140. [ Links ]
Berengena, J., and P. Gavilán. 2005. Reference evapotranspiration estimation in a highly advective semiarid environment. J. Irrigation Drainage Eng. 131: 147163. [ Links ]
Brotzge, J. A., and K. C. Crawford. 2003. Examination of the surface energy budget: A comparison of eddy correlation and Bowen ratio measurement systems. J. Hydrometeorol. 4: 160178. [ Links ]
Campos, I., C. M. U. Neale, A. Calera, C. Balbontin, and J. GonzálezPiqueras, 2010. Assessing satellitebased basal crop coefficients for irrigated grapes (Vitis vinifera L.). Agrie. Water Manag. In Press, Corrected Proof. [ Links ]
Cellier, P., and Y. Brunet. 1992. Fluxgradient relationships above tall plant canopies. Agrie. For. Meteorol. 58:93117. [ Links ]
Dugas, W. A., L. J. Fritschen, L. W. Gay, A. A. Held, A. D. Matthias, D. C. Reicosky, P. Steduto, and J. L. Steiner. 1991. Bowenratio, eddycorrelation, and portable chamber measurements of sensible and latentheat flux over irrigated spring wheat. Agrie. For. Meteorol. 56:120. [ Links ]
Foken, T., F. Wimmer, M. Mauder, C. Thomas, and C. Liebethal. 2006. Some aspects of the energy balance closure problem. Atmos. Chem. Phys. 6: 43954402. [ Links ]
Gavilán, P., and J. Berengena. 2007. Accuracy of the Bowen ratioenergy balance method for measuring latent heat flux in a semiarid advective environment. Irrigation Sci. 25:127140. [ Links ]
Heilman, J. L., C. L. Brittin, and C. M. U. Neale. 1989. Fetch requirements for Bowen ratio measurements of latent and sensible heat fluxes. Agrie. For. Meteorol. 44: 261273. [ Links ]
Heilman, J. L, K. J. Mclnnes, M. J. Savage, R. W. Gesch, and R. J. Lascano. 1994. Soil and canopy energy balances in a west Texas vineyard. Agrie. For. Meteorol. 71: 99114. [ Links ]
Hicks, B. B. 1973. Eddy fluxes over a vineyard. Agrie. Meteorol. 12: 203215. [ Links ]
Li, S., S. Kang, L. Zhang, F. Li, Z. Zhu, and B. Zhang. 2008. A comparison of three methods for determining vineyard evapotranspiration in the arid desert region of northwest China. Hydrological Procesess 22: 45544564. [ Links ]
Mahrt, L. 2000. Surface heterogeneity and vertical structure of the boundary layer. BoundaryLayer Meteorol. 96: 3362. [ Links ]
Mauder, M., T. Foken, R. Clement, J. A. Elbers, W. Eugster, T. Griinwald, B. Heusinkveld, and O. Kolle. 2008. Quality control of CarboEurope flux dataPart 2: Intercomparison of eddycovariance software. Biogeosciences 5: 451462. [ Links ]
Monteith, J., and M. Unsworth. 2007. Principles of Environmental Physics. Academic Press. Burlington, USA. 435 p. [ Links ]
Montoro, A., R. López Urrea, F. Mañas, P. López Fuster, and E. Fereres. 2008. Evapotranspiration of grapevines measured by a weighing lysimeter in La Mancha, Spain. Acta Hort. (ISHS) 792:459466. [ Links ]
Ohmura, A. 1982. Objective criteria for rejecting data for Bowen ratio flux calculations. J. Appl. Meteorol. 21: 595598. [ Links ]
Oliver, H. R., and K. J. Sene. 1992. Energy and water balances of developing vines. Agrie. For. Meteorol. 61: 167185. [ Links ]
Payero, J. O., C. M. U. Neale, and J. L. Wright. 2005. Estimating soil heat flux for alfalfa and clipped tall fescue grass. Appl. Eng. Agrie. 21:401409. [ Links ]
Prueger, J. H., J. L. Hatfield, J. K. Aase, and J.L. Pikul, Jr. 1997. Bowenratio comparisons with lysimeter evapotranspiration. Agron.J. 89:730736. [ Links ]
Rosenberg, N. J., B. L. Blad, and S. B. Verma. 1983. Microclimate: The Biological Environment. Wiley, New York. 495 p. [ Links ]
Schuepp, P. H., M. Y. Leclerc, J. I. MacPherson, and R.L. Desjardins. 1990. Footprint prediction of scalar fluxes from analytical solutions of the diffusion equation. BoundaryLayer Meteorol. 50:355373. [ Links ]
Soegaard, H., N. O. Jensen, E. Boegh, C. B. Hasager, K. Schelde, and A. Thomsen. 2003. Carbon dioxide exchange over agricultural landscape using eddy correlation and footprint modelling. Agrie. For. Meteorol. 114:153173. [ Links ]
Stannard, D. I. 1997. A theoretically based determination of Bowenratio fetch requirements. BoundaryLayer Meteorol. 83:375406. [ Links ]
Todd, R. W., S. R. Evett, and T. A. Howell. 2000. The Bowen ratioenergy balance method for estimating latent heat flux of irrigated alfalfa evaluated in a semiarid, advective environment. Agrie. For. Meteorol. 103: 335348. [ Links ]
Twine, T. E., W. P. Kustas, J. M. Norman, D. R. Cook, P. R. Houser, T. P. Meyers, J. H. Prueger, P. J. Starks, and M. L. Wesely. 2000. Correcting eddycovariance flux underestimates over a grassland. Agrie. For. Meteorol. 103:279300. [ Links ]
Unland, H. E., P. R. Houser, W. J. Shuttleworth, and Z.L. Yang. 1996. Surface flux measurement and modeling at a semiarid Sonoran Desert site. Agrie. For. Meteorol. 82: 119153. [ Links ]
Webb, E. K., G. I. Pearman, and R. Leuning. 1980. Correction of flux measurements for density effects due to heat and watervapor transfer. Quart. J. Royal Meteorol. Soc. 106:85100. [ Links ]
Weiss, A., and L. H. Allen Jr. 1976. Vertical and horizontal air flow above rows of a vineyard. Agrie. Meteorol. 17:433452. [ Links ]
Willmott, C. J. 1982. Some comments on the evaluation of model performance. Bulletin Am. Meteorol. Soc. 63:13091313. [ Links ]
Wolf, A., N. Saliendra, K. Akshalov, D. A. Johnson, and E. Laca. 2008. Effects of different eddy covariance correction schemes on energy balance closure and comparisons with the modified Bowen ratio system. Agrie. For. Meteorol. 148:942952. [ Links ]
Zhang, B. Z., S. Z. Kang, L. Zhang, T. S. Du, S. E. Li, and X. Y. Yang. 2007. Estimation of seasonal crop water consumption in a vineyard using Bowen ratioenergy balance method. Hydrological Processes 21: 36353641. [ Links ]













