Servicios Personalizados
Revista
Articulo
Indicadores
-
Citado por SciELO -
Accesos
Links relacionados
-
Similares en
SciELO
Compartir
Agrociencia
versión On-line ISSN 2521-9766versión impresa ISSN 1405-3195
Agrociencia vol.44 no.8 Texcoco nov./dic. 2010
Socioeconomía
Evaluación del nopal verdura como alimento funcional mediante opciones reales
Nopal evaluation as functional food by means of real option
Karina ValenciaSandoval, José de J. BrambilaPaz, José S. MoraFlores*
Departamento de Economía. Campus Montecillo. Colegio de Postgraduados. 56230. Carretera MéxicoTexcoco Km. 36.5. Montecillo, Estado de México. *Autor responsable: (saturmf@colpos.mx).
Recibido: Enero, 2010.
Aprobado: Octubre, 2010.
Resumen
El nopal (Opuntia spp.) es una especie básica en el consumo de los mexicanos, ya que en torno a este producto giran innumerables actividades económicas del campo y la industria. Además, el nopal puede ser considerado como un alimento funcional, es decir, que mejora la salud de quien lo consume. El objetivo del presente estudio fue comparar la ganancia obtenida con un cultivo de nopal tradicional con uno donde se invierten recursos para darle un mayor valor agregado. La evaluación tradicional obteniendo el valor actual neto, y una evaluación con opciones reales que, comparado con la evaluación tradicional, contempla la volatilidad en los precios y el cambio de decisiones que puede tomar el encargado del proyecto. En la segunda evaluación se usan árboles binomiales y las fórmulas de BlackScholes con opción de expandir hasta 6 ha. Las evaluaciones se hicieron para comparar la relación beneficiocosto y el valor crítico en el Distrito Federal, Estado de México, estados de Morelos, Guanajuato, Baja California, Aguascalientes, y en todo el país. El análisis de los resultados mostró que existen mayores beneficios de la inversión en la producción de nopal con un mayor valor agregado del producto, situación que se observa claramente usando los instrumentos de opciones reales.
Palabras clave: Opuntia spp., evaluación tradicional, expansión, inversión, valor crítico, volatilidad.
Abstract
The nopal (Opuntia spp.) is a basic species of food staple in México, since around this product spins innumerable economic activities of the countryside and industry. In addition, the nopal can be considered as a functional food, this is, improves health of those who consume it. The aim of this study was to compare the gain with a traditional nopal crop with one crop where resources are invested to give it a higher aggregate value. The traditional evaluation obtaining the present net value, and an evaluation with real options that, compared with the traditional evaluation, includes the price volatility and the decisionmaking that people in charge of the project can take. In the second evaluation binomial trees and BlackScholes formulas are used with an option to expand up to 6 ha. Evaluations were done to compare the benefitcost ratio and the critical value in the Federal District, State of México, and states of Morelos, Guanajuato, Baja California, Aguascalientes, and around the country. The analysis of the results showed that there are greater benefits from investment in the production of nopal with a higher aggregate value, a situation that is clearly seen using the tools of real options.
Key words: Opuntia spp., traditional evaluation, expansion, investment, critical value, volatility.
INTRODUCCIÓN
La industria alimenticia genera alimentos funcionales cuya apariencia es similar al de un alimento convencional, se consume como parte de una dieta normal y presenta propiedades fisiológicas beneficiosas que reducen el riesgo de contraer enfermedades crónicas (Mazza, 1998). Aunque los productos funcionales están en fase de crecimiento y desarrollo, y representan sólo un pequeño porcentaje del consumo total de alimentos, se generalizan cada vez más. En 1997, el mercado de alimentos funcionales fue US$12 500 millones en la UE, $14 700 millones en los EE.UU. y $1100 millones en Japón. Para el 2012, en la UE 25 % de las ventas será de alimentos funcionales y 50 % en los EE.UU. (Heasman y Mellentin, 2001).
Del nopal (Opuntia spp.) como alimento funcional, los frutos y los cladodios son una fuente importante de: fibra, hidrocoloides (mucílagos), pigmentos (betalaínas y carotenoides), Ca y K, y vitamina C; compuestos muy apreciados para una dieta saludable y como ingredientes para diseñar nuevos alimentos (Sáenz, 2006).
En México, en el 2007, la superficie sembrada con nopal fue 11 583.56 ha con riego o como temporal; el Distrito Federal tuvo 4337 ha (38 % del total) y el estado de Morelos 2530 ha (22 %), lo cual fue 60 % del cultivo de nopal (SIAP, 2009).
La Secretaría de Agricultura, Ganadería, Desarrollo Rural, Pesca y Alimentación (SAGARPA), y la Delegación Milpa Alta en el Distrito Federal calcularon para 2007 un costo de producción por hectárea de $9055.00, el cual se compone de asistencia técnica (55 %), cajas de plástico para el empaque (19 %), labores de cultivo y costos de los insumos (26 %) (SAGARPA, 2009).
Los precios del nopal fluctúan inversamente con la disponibilidad del producto y con la presentación (con o sin espinas). Hay dos épocas en la producción de nopal: la mayor parte se obtiene de febrero a agosto, donde existe menor precio debido a una producción abundante; de septiembre a enero, como consecuencia del cambio de clima, la producción disminuye y el precio sube (CoMeNTuna, 2009).
En México, la mayor parte de la producción de nopal se comercializa en fresco en el mercado nacional, por lo que es necesario alargar su vida de anaquel. El nopal al que se remueve las espinas es comercializado en centros comerciales, mercados y en menor cantidad, en tianguis; en la época de mayor producción, la oferta supera a la demanda (SIAP, 2009).
Este estudio enfatiza el nopal como alimento diferenciado. La diferenciación se muestra a través de font10>Este estudio enfatiza el nopal como alimento diferenciado. La diferenciación se muestra a través de la tasa de crecimiento de los precios que cambian al incorporar al producto un mayor valor agregado. El nopal con espinas se vende en los mercados locales a $5000.00 t. Ese producto con un mayor valor agregado mediante el desespinado, empacado y puesto en los estantes de los centros comerciales, incrementa su precio a $8900.00 t: una tasa de crecimiento de los precios de 1.78 %. El nopal desespinado, picado, empacado en bolsas de plástico, se vende a $10 000.00 t; ese producto en salmuera, envasado al alto vacío y con una etiqueta con logotipo e información para el consumidor, se vende a $37 000.00 t: una tasa de crecimiento de los precios de 3.7 %.
El objetivo de este estudio fue evaluar si es factible invertir en el cultivo de nopal verdura, al darle un mayor valor agregado y promover sus características funcionales. Además, comparar una evaluación de proyectos tradicional y una basada en opciones reales cuando el producto tiene un mayor valor agregado. También se plantea integrar la volatilidad en los precios del nopal, con el fin de evaluar proyectos con alternativas para la toma de decisiones.
La hipótesis en este estudio fue que la volatilidad en los precios del cultivo del nopal no hace atractivo una inversión, pero si se agrega mayor valor al producto mediante la industrialización y la exposición de sus características funcionales, entonces será atractivo invertir en el cultivo.
MATERIALES Y MÉTODOS
El estudio se realizó con datos del SIAP (de 1997 a 2007). Primero se obtuvieron los precios reales por ha (base 2007) y luego las tasas de crecimiento continuas y discretas del rendimiento por ha. Los costos del Distrito Federal se consideraron como los costos generales para todas las entidades evaluadas, ya que es la entidad más representativa del cultivo de nopal verdura. Además, el rendimiento esperado por ha se calculó desde el tercer año de cultivo (cuando se inicia su producción comercial) iniciando con 20 t ha (comunicación personal, Ing. Vicente Calva, Representante del Sistema Producto Nopal y Tuna y Presidente del Consejo Mexicano de Nopal y Tuna, A. C.).
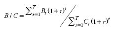
El beneficiocosto se calculó con la fórmula:

donde, t son los años de vida del proyecto; B, los beneficios actualizados, resultado de multiplicar el precio por la cantidad vendida; r, la tasa de interés; C, los costos actualizados de producción (Domínguez, 2009).
En la evaluación a través de Opciones Reales, se usaron árboles binomiales para determinar cuánto estaría dispuesto a invertir el productor para diferenciar su cultivo volviéndolo funcional (Brennan y Schwartz, 1985). Luego se usó las fórmulas de BlackScholes para evaluar la opción de expandir una vez diferenciado a 6 ha.
Para establecer los árboles binomiales en la evaluación del proyecto se consideró al producto diferenciado desde el establecimiento de la huerta, para comparar que pasa si se posterga la decisión de invertir en los años 5, 6, 7, 8, 9 o 10 aumentando
sólo en el año de estudio, donde la tasa de crecimiento discreta
toma dos valores diferentes en cada año:
es equivalente a 1.78 que es la tasa de crecimiento discreta entre los precios de tonelada del nopal fresco con espinas distribuido en los mercados locales; y un producto con mayor valor agregado al darle presentación y un lugar en los estantes de los centros comerciales. La siguiente evaluación se realizó con una tasa de crecimiento de los precios
de 3.7, la cual muestra una mayor agregación de valor del producto, como ya se explicó. Así, cada tasa de crecimiento discreta se agregó primero independientemente si el proyecto marchaba bien o mal, y luego sólo con el supuesto que marchase mal (nodos debajo del promedio). También fue necesario calcular la desviación estándar de los precios σ (Cuadro 2), que representa su volatilidad, y así se definió el monto obtenido cuando va bien (UP) μ = eσ , y cuando va mal (DOWN) d=eσ (Cuadro 1), (Brambila, 2006). En términos generales, el árbol binomial fue construido como se muestra en la Figura 1, expandiéndose al número de años deseado, en este caso hasta el año 10.


donde, Vo es el valor actual de la acción o flujo de efectivo descontado; μVo es el valor de "nos va bien"; dVo representa el valor de "nos va mal" (Díaz y Hernández, 2003).
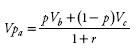
Una vez que, por medio de los árboles binomiales, se han obtenido los montos que se pudieran generar por invertir en el cultivo, se traen estos datos a valor presente:

donde, p es la probabilidad de que el proyecto marche bien; Vb es el valor del nodo superior; (1 p) es la probabilidad de que el proyecto marche mal; Vc el valor del nodo inferior; y r es la tasa real. Al traer este dato a valor presente se encontró una diferencia con el valor inicial o flujo de efectivo descontado; esta diferencia representa lo que el productor puede estar dispuesto a invertir para promover su producto con mayor valor agregado.
Para calcular el valor de la opción de expandir a 6 ha, se usa una opción de compra, CALL, que es el derecho de expandir pero no la obligación por medio de las fórmulas de BlackScholes:

donde, C es el precio de la opción "call"; 5 es el valor inicial o precio del activo subyacente; K es la opción de salida predeterminada; y equivale a la tasa constante libre de riesgo; t es el tiempo prefijado para ejercer la acción, si así conviene; e es la base de los logaritmos naturales; y N(dn) son los valores de la función de distribución normal estandarizada para dn (Hull, 2002).
El valor crítico se obtiene mediante:

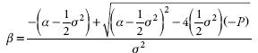
El valor de β se obtiene de la forma siguiente:
>
donde, (P) es la tasa de descuento; (a) es la tasa de crecimiento de los precios; y (σ2) la varianza de los precios.
β es necesariamente mayor a 1
El proyecto es rentable si se cumple:
(Domínguez, 2009).
RESULTADOS Y DISCUSIÓN
En el Cuadro 2 se muestra los valores críticos estimados para las entidades federativas estudiadas. Como se observa, a medida que aumenta el valor crítico (lo mínimo que se exige al proyecto por peso invertido) existe mayor riesgo en la inversión debido a que los precios presentan mayor volatilidad, como en el caso del Estado de México (4.23) y Baja California (3.5). Para el Distrito Federal el cálculo del valor crítico fue 2.39, mientras que los estados con un menor valor crítico y por lo tanto menor riesgo de inversión son Guanajuato (1.9), Aguascalientes (1.57) y Morelos (1.26).
Comparativo entre el valor crítico y la relación beneficiocosto obtenida de una evaluación tradicional
La relación beneficiocosto obtenida a partir del Valor Actual Neto, donde el nopal se cultiva de manera tradicional, muestra que en la mayoría de los casos el beneficiocosto es superior en comparación con el valor crítico (Cuadro 3). Aguascalientes presenta una relación beneficiocosto de 6.68, aumentando poco más de 5 puntos en comparación con su valor crítico, por lo que se deduce que el cultivo del nopal es rentable. Situación similar se presenta en Morelos que tiene una relación beneficio costo de 6.95, por lo que ésta es mayor al valor crítico. Guanajuato presenta un beneficiocosto de 2.51. Los estados que tienen un beneficiocosto menor a su valor crítico, como consecuencia en la volatilidad en los precios y los bajos rendimientos, son el Distrito Federal (2.32), Estado de México (1.70) y Baja California (2.51).
Relación beneficiocosto obtenida de los árboles binomiales
Por medio de los árboles binomiales, se obtuvo la cantidad que los productores estarían dispuestos a destinar por hectárea para obtener un producto con un mayor valor agregado. En esta situación, la relación beneficiocosto cambia.
Cuando se agrega una tasa de crecimiento continua de 1.78, independientemente si marcha bien o mal el proyecto, la relación beneficiocosto permanece constante, independientemente del año 4, 5, 6, 7, 8, 9 o 10. Aguascalientes y Morelos presentan una relación beneficiocosto de 29.75 y 13.78, aumentando considerablemente en comparación con el valor crítico. Mientras el beneficiocosto para el Distrito Federal (4.67), Estado de México (2.95), Guanajuato (5.19) y Baja California (5.10) no aumenta en la misma proporción que Aguascalientes y Morelos, sí crece en comparación con sus anteriores valores cuando no se le consideraba un producto diferenciado (Cuadro 4).
Bajo las mismas condiciones, si el producto se diferencia con una tasa de 3.7, el beneficiocosto, queda así: Distrito Federal 5.19, Morelos 22.60, Estado de México 4.3, Guanajuato 8.09, Baja California 7.93 y Aguascalientes 48.83. Se observa que a una mayor diferenciación del producto, mayor será el beneficio obtenido (Cuadro 5).
La relación beneficiocosto no aumenta de forma considerable si únicamente se invierte cuando el proyecto marcha mal.
Relación beneficiocosto a partir de las fórmulas de BlackScholes
Tomando en cuenta la opción de expandirse a 6 ha, se aplicaron las fórmulas de BlackScholes para obtener el "call", es decir, el monto que se estaría dispuesto a invertir por expandirse.
El valor de la relación beneficiocosto, una vez que se agrega el valor del "call", aumenta año con año, aunque en escala menor (Cuadro 6).
CONCLUSIONES
Al evaluar un proyecto de inversión comparando el valor crítico (rendimiento mínimo de la inversión con volatilidad de precios), con la tradicional relación beneficiocosto, ésta debe ser mayor que el primero para que el proyecto sea rentable.
La evaluación de los proyectos mediante el uso de los árboles binomiales que incorporan tasas de crecimiento continuas de los precios, las que reflejan una mayor diferenciación del producto, se tiene que la relación beneficiocosto aumenta considerablemente, y hace que los proyectos sean generalmente más rentables.
Al considerar una opción de expansión del proyecto a través de las fórmulas BlackScholes, denominada "call", se observa que la relación beneficiocosto aumenta año con año, aunque con incrementos modestos.
LITERATURA CITADA
Brambila P., J. J. 2006. En el Umbral de una Agricultura Nueva. Edit. Universidad Autónoma Chapingo y Colegio de Postgraduados. México, pp: 280294. [ Links ]
Brennan, M. J., and E. S. Schwartz. 1985. Evaluating natural resource investments. University of Chicago. J. Business: 135157. [ Links ]
Callejas J., N., J. A. Matus G., J. A. Garcia S., M. A. Martinez D., y J. M. Salas G. 2009. Situación actual y perspectivas de mercado para la tuna, el nopalito y derivados en el Estado de México, 2006. Agrociencia 43: 7382 [ Links ]
CoMeNTuna. 2009. Consejo Mexicano del Nopal y la Tuna A. C. México, http://www.comentuna.com.mx (consultado: junioagosto 2009. [ Links ]
Díaz T., J., y F. Hernández T. 2003. Futuro y Opciones Financieras: una Introducción. 3a. ed. Limusa Noriega Editores. México. 191 p. [ Links ]
Domínguez A., R. 2009. Utilización de opciones reales en proyectos de inversión agrícola. Tesis de Doctorado. Colegio de Postgraduados. 118 p. [ Links ]
Heasman, M., and J. Mellentin. 2001. The Functional Foods Revolution: Healthy people, healthy profits? Earthscan Publications. England. 32 p. [ Links ]
Hull, J. 2002. Introducción a los Mercados de Futuros y Opciones. Edit. Pearson. España. 560 p. [ Links ]
INEGI. 2009. Instituto Nacional de Estadística y Geografía. Base de datos. México, http://www.inegi.org.mx. (consultado: junio 2009). [ Links ]
Lomelí E., A. 2004. La Sabiduría de la Comida Popular. Grijalbo. México. 206 p. [ Links ]
Mazza G. 1998. Alimentos Funcionales. Aspectos Bioquímicos y de Procesado. Acribia, S. A. España. 402 p. [ Links ]
MondragónJacobo C. 2004. Mejoramiento Genético del Nopal, Avances al 2003 y perspectivas. In: Esparza F. G., R. D. Váldez C, y G. Méndez S. (eds). El Nopal. Tópicos de Actualidad. Colegio de Postgraduados. Universidad Autónoma de Chapingo. México, pp: 4971. [ Links ]
Mun, J. 2002. Real Options Analysis: Tools and Techniques for Valuing Strategic Investment and Decisions. Wiley Finance Series. USA. 156 p. [ Links ]
Saénz H. C. 2004. Compuestos funcionales y alimentos derivados de Opuntia spp. In: Esparza F. G., R. D. Váldez O, y G. Méndez S. (eds). El Nopal. Tópicos de Actualidad. Colegio de Postgraduados, Universidad Autónoma de Chapingo. México, pp: 211221. [ Links ]
SAGARPA. 2009. Secretaría de Agricultura, Ganadería, Desarrollo Rural, Pesca y Alimentación. México, www.sagarpa.gob.mx. (consultado: junioagosto 2009). [ Links ]
SIAP, SAGARPA. 2009. Servicio de Información Agroalimentaria y Pesquera. Anuario agrícola 19972007. México, www.sagarpa.gob.mx. (consultado: junioagosto 2009). [ Links ]












