Servicios Personalizados
Revista
Articulo
Indicadores
-
Citado por SciELO -
Accesos
Links relacionados
-
Similares en
SciELO
Compartir
Agrociencia
versión On-line ISSN 2521-9766versión impresa ISSN 1405-3195
Agrociencia vol.44 no.4 Texcoco may./jun. 2010
Aguasueloclima
Predicción de cárcavas efímeras mediante el índice topográfico combinado en una microcuenca de olivar en Andalucía (España)
Prediction of ephemeral gullies by using the combined topographical index in a microcatchment of olive groves in Andalucía, Spain
Encarnación Taguas1,*, Yongping Yuan2, Adolfo Peña1 y J. Luis Ayuso1
1 Universidad de Córdoba. Departamento de Ingeniería Rural. Campus Rabanales, Edificio Leonardo Da Vinci, 14071, Córdoba, España. * Autor responsable: (evtaguas@uco.es).
2 USDAARSNSL. PO Box 1157, Oxford, 38655. Mississippi, EE.UU.
Recibido: Diciembre, 2008.
Aprobado: Marzo, 2010.
RESUMEN
La mayoría de los estudios sobre erosión en olivar para examinar el efecto de la erosión laminar y por regueros se han efectuado a escala de parcela. Sin embargo, trabajos realizados sobre otros usos de suelo y a menores escalas en el ámbito Mediterráneo han justificado que la pérdida de suelo derivada del flujo concentrado puede ser decisiva en el balance total. El índice topográfico combinado (ITC) es un parámetro para localizar y describir la iniciación de cárcavas efímeras para un tipo de suelo, uso y manejo, que podría complementar la información de otros índices como la ecuación universal de pérdida de suelo para erosión laminar y por regueros. El ITC fue aplicado en una microcuenca de olivar bajo mínimo laboreo con cubierta espontánea localizada en el área centrooccidental de Andalucía (España). A partir de la digitalización de las cárcavas efímeras sobre una ortofoto de alta resolución, se comparó el grado de acierto de los píxeles predichos y observados y se estimaron valores entre 3 y 5 como umbrales característicos para las resoluciones de 1.5 m y 3.0 m. Estos valores críticos son útiles para la localización de cárcavas en otras cuencas, independientemente de la escala, donde el régimen de lluvias sea comparable así como el tipo de suelo (Cambisol) y manejo (no laboreo con cubierta espontánea en primavera). A pesar de la idoneidad del índice para localizar la mayor parte de las cárcavas, diferentes mecanismos de desarrollo de cárcavas fueron identificados en campo sobre las cárcavas peor representadas. Pese a los valores bajos del área de desagüe en las cabeceras de éstas, su presencia es explicada por la función del material cálcico superficial y de los elevados valores de conductividad hidráulica saturada, favoreciendo la acumulación de flujo y disminuyendo la resistencia del suelo al arranque de sedimentos.
Palabras clave: cárcavas, índice topográfico combinado (ITC), olivar, microcuencas, propiedades de suelo.
ABSTRACT
Most studies of erosion in olive groves to examine the effect of sheet and rill erosion have been conducted at plot scale. However, work done on other land uses and at minor scales in the Mediterranean area have justified that the loss of soil resulting from concentrated flow can be decisive in the total balance. The compound topographic index (CTI) is a parameter to locate and describe the initiation of ephemeral gullies for a type of soil, use and management that could complement information from other indices, such as the universal equation of soil loss from sheet and rill erosion. The CTI was applied in an olive microcatchment under minimum tillage with spontaneous cover, located in the western central area of Andalucía (Spain). After the digitization of ephemeral gullies on a highresolution orthophoto, the degree of success of each of the observed and predicted pixels was compared to one another and values between 3 and 5 were estimated as the characteristic thresholds for the resolutions of 1.5 m and 3.0 m. These critical values are useful for the localization of gullies in other catchments, regardless of the scale, where the rainfall pattern is comparable, as well as the type of soil (Cambisol) and management (notill with spontaneous grass cover in spring). Despite the suitability of the index to locate most of the gullies, different mechanisms of gully development were identified in field over the worstrepresented gullies. Despite the low values of the drainage areas at the headwaters of them, their presence is explained by the role of the surface calcium material and high saturated hydraulic conductivity values, favoring the accumulation of flow and reducing the resistance of soil to the removal of sediments.
Key words: ephemeral gully, compound topographic index (CTI), olive, microcatchment, soil properties.
INTRODUCCIÓN
El 12.6% de la superficie de España está amenazada por riesgos de erosión muy severos o severos, mientras que el 34.1% presenta un riesgo medio (MMA, 2007). Elevadas tasas de erosión están asociadas a áreas agrícolas dedicadas al cultivo de la vid (Vitis vinifera L.), el almendro (Prunus dulcis (Mill.) D.A. Webb) y el olivo (Olea europaea L. subsp. europaea), debido a restricciones ambientales derivadas del clima, la topografía y manejos de suelo inadecuados (De Santisteban et al., 2006). Estos cultivos tan importantes para la economía española se extienden en las áreas más susceptibles a la desertificación.
El olivar en Andalucía es el cultivo más importante en términos de ingresos, empleo y valor paisajístico y cultural. En esta región hay 1.48 M ha dedicadas a olivar (Junta de Andalucía, 2003) que producen el 33% de la producción mundial de aceite de oliva (Civantos, 2001). La erosión en olivar con distintos manejos de suelo ha sido estudiada por Gómez et al. (2004), Francia et al. (2006) y Gómez et al. (2009). La mayoría de los estudios fueron realizados en parcelas de ladera donde predominan los procesos de erosión laminar y por regueros, mientras que a menores escalas la erosión por cárcavas y la caída de taludes en arroyos y ríos también contribuyen significativamente a la descarga total de sedimentos (Poesen et al., 2003). El estudio de los procesos erosivos a escala de microcuenca cuenta con la ventaja de usar una unidad geomorfológica natural no aislada como en el caso de las parcelas, que además se adapta al tamaño de la pequeña y mediana propiedad en Andalucía. El uso de modelos permite además optimizar la información proporcionada por los datos reales, como en los trabajos realizados en pequeñas cuencas de olivar con el modelo AnnAGNPS (Bingner et al., 2009) dirigidos al análisis de sensibilidad del mismo (Aguilar y Polo, 2005) así como a su calibración (Taguas et al., 2009). La combinación de datos y el ejercicio de modelado ha de permitir conocer el balance de escorrentía y erosión a una escala espacial que engloba un número muy reducido de fincas y además la obtención de soluciones y estrategias de protección concretas y fácilmente aplicables.
Las cárcavas y cárcavas efímeras son fuentes de sedimentos que contribuyen significativamente a la pérdida de suelo en áreas cultivadas del Mediterráneo (Poesen et al., 2003; MartinezCasasnovas et al., 2005). Esta contribución varía con la escala espacial y temporal y los factores manuales y ambientales (propiedades del suelo, el uso, el clima y el relieve; Poesen et al., 2003). La erodibilidad y el esfuerzo cortante son las principales variables para caracterizar la resistencia del suelo a la erosión causada por el flujo concentrado (Knapen et al., 2007). En ambas variables influyen la textura, el contenido de materia orgánica, los fragmentos de roca superficial, la compactación, así como otros atributos derivados del uso y manejo del suelo y sus características químicas. Los umbrales topográficos que caracterizan la aparición del flujo concentrado y la generación de cárcavas en las laderas para un mismo tipo, uso y manejo del suelo han sido estudiados por Thorne y Zevenbergen (1990), Desmet et al. (1999) y Cheng et al. (2007). Todos los índices o modelos topográficos usaron una relación similar a la ecuación 1:

donde, Ad es el área de desagüe aguas arriba del punto considerado; b es el exponente relativo al área; S es la pendiente local aguas arriba; Pl es la curvatura plana local, no considerada en algunas expresiones (exponente c=0); I es el umbral crítico a partir del cual se produce un flujo concentrado cuyo esfuerzo cortante es superior a la tensión crítica de la superficie del suelo, que genera la incisión y el desarrollo de las cárcavas.
En el caso del olivar, no hay estudios previos que hayan aplicado este tipo de índice para establecer umbrales para la localización y predicción de cárcavas, a pesar de su importancia como fuentes de sedimentos sugeridos por Gómez et al. (2008). Aunque es preciso evaluar el efecto de la variabilidad de las propiedades del suelo a pequeña escala, la extensión de esta metodología a olivares bajo diferentes tipos de suelo y manejo permitiría la elaboración de mapas de riesgo de erosión por flujo concentrado adecuados para una mejor planificación de las medidas de protección del suelo.
El National Sedimentation Laboratory del USDAARS, según Thorne y Zevenbergen (1990) ha sistematizado el uso del índice topográfico combinado (compound topographic index, ITC, ecuación 1, b=1, c=1) en un sistema de información geográfica para automatizar los cálculos derivados del modelo digital del terreno. La capacidad del ITC para predecir cárcavas efímeras ha sido verificada a escala de finca con diferentes usos de suelo: maíz (Zea mays L.), sorgo (Sorghum spp) y soja (Glicine max L.) (Parker et al., 2007). Este índice se basa en el concepto de potencia del canal (Bagnold, 1966) y es función de la descarga, la pendiente y la anchura del mismo. La descarga es sustituida por el área de desagüe, mientras que la curvatura plana representa el grado de concentración o de convergencia del flujo (Zevenbergen y Thorne, 1987).
Este estudio aborda la determinación de los umbrales topográficos para la formación de cárcavas efímeras en condiciones climáticas y de manejo específicos que pueden aplicarse a otros olivares similares en Andalucía. Los objetivos fueron: 1) evaluar las potencialidades del ITC para localizar cárcavas efímeras en una microcuenca de olivar; 2) examinar la sensibilidad de las variables topográficas que intervienen así como la posible influencia de la erodibilidad en la distribución espacial de las cárcavas.
MATERIALES Y MÉTODOS
Área de estudio
La cuenca de estudio se sitúa en la localidad de Puente Genil, al oeste de la provincia de Córdoba (37.4 °N, 4.8 °O; Figura 1). El área de desagüe es 6.1 ha, la elevación media 239 m y la pendiente media del terreno 15%. El régimen climático es Mediterráneo típico y la precipitación media anual es 400 mm. La temperatura media del mes más cálido es 26.5 °C (julio) y la del mes más frío, 8.4 °C (enero). El suelo es de tipo Cambisol cálcico (clasificación de la FAO), caracterizado por una profundidad media de 30 cm, textura francoarenosa, con afloramiento de materiales cálcicos en la superficie. Los olivos del área de cabecera tienen unos 10 años, separados con un marco de 7×7 m. Las labores de la finca se han ido reduciendo para disminuir los costes. Además de la recolección donde se pasa el rulo para preparar la recogida en diciembre, los productos fitosanitarios son aplicados dos veces al año alrededor del árbol (octubre y abril) y se realizan dos o más pases con el tractor en las calles en abril o mayo para controlar mecánicamente el desarrollo de la vegetación espontánea.
Descripción y caracterización de cárcavas
Las cárcavas efímeras son definidas como pequeños canales que si no fuesen labrados o reparados, se convertirían en rasgos permanentes de la red de desagüe (Smith, 1993). Poesen et al. (2002) consideran que la transición de reguero a cárcava efímera y finalmente cárcava, constituye un proceso continuo. En el presente trabajo, los criterios de Laflen et al. (1985) y de Casali et al. (1999) así como el apoyo de campo han sido considerados para discriminar como cárcavas efímeras (frente a los regueros) aquellas con anchura superior a 30 cm. Una ortofotografía aérea con una resolución de 30 cm derivada de un vuelo fotogramétrico realizado en diciembre de 2004, fue utilizada junto con el examen en campo para la localización, digitalización y caracterización de las cárcavas.
El índice topográfico combinado (ITC)
Thorne y Zevenbergen (1990) fueron los primeros autores en implementar el ITC (ecuación 1, b=1 y c=1) en las celdillas de un modelo de elevación del terreno, usando la metodología propuesta por Zevenbergen y Thorne (1987) para calcular la pendiente, la curvatura plana y área de desagüe. Los valores promediados de las cabeceras de las cárcavas de una finca con un mismo tipo, uso y manejo del suelo, fueron usados como la estimación probable del ITC crítico del sitio. El análisis en otras zonas experimentales mostró que la localización de las cárcavas efímeras predicha a partir de los valores de las celdillas con ITC superiores al umbral, coincidió casi exactamente con su localización.
En este caso un modelo de elevación del terreno de 1.5 m × 1.5 m × 0.001 m (RMSE de la elevación = 0.200 m) obtenido del vuelo fotogramétrico realizado en diciembre de 2004 fue usado para calcular los valores de Ad, S y Pl en la cuenca, de acuerdo con la metodología descrita por Parker et al. (2007). Los parámetros Ad y S fueron obtenidos aplicando el conjunto de herramientas topográficas TOPAZ (Garbrecht y Marzt, 1999), mientras que la distribución de Pl fue obtenida a partir del script DEMAT (Behrens, 2004) para Arcview 3.2. (ESRI, 2000) con las fórmulas de Zevenbergen y Thorne (1987).
Parker et al. (2007) determinan que la capacidad predictiva del ITC disminuía notablemente por debajo de resoluciones de la malla inferiores a 10 m; además, describen un proceso iterativo basado en la comparación visual observaciónpredicción para la elección del valor ITC crítico del sitio. En este caso, se han establecido criterios numéricos basados en la coincidencia de píxeles para evaluar el valor ITC crítico para identificar las cárcavas.
Influencia de la erodibilidad en el valor umbral del ITC
Poesen et al. (2003) y Knapen et al. (2007) destacan la importancia del uso del suelo, las características de la lluvia y las propiedades edafológicas sobre los límites topográficos para la generación de cárcavas. Así, a la escala de trabajo, los atributos del suelo serían las principales fuentes de variación ya que diferencias visuales identificadas en las laderas podrían justificar distintos grados de actividad y desarrollo de cárcavas. Los ensayos y el número de muestras de los trabajos para la caracterización del suelo fueron realizados durante mayo y junio de 2005 (Cuadro 1). De esta forma, se estableció una malla de 20 × 20 m en la cuenca donde una o dos muestras por cuadrícula fueron tomadas aleatoriamente. La densidad de muestreo fue mayor en las proximidades de las cárcavas. La localización de los puntos de muestreo fue realizada con un GPS de precisión ± 5 m.
Además, se examinaron los valores del ITC en las cabeceras de las cárcavas y la influencia de las propiedades de suelo sobre el valor crítico. Para ello fueron considerados los mapas de distribución derivados de las técnicas inverso del cuadrado de la distancia y Krigeado.
Burrough y McDonnell (1998) consideran la metodología de interpolación del inverso del cuadrado de la distancia (ICD) como el proceso determinístico más fiable para obtener superficies continuas a través de valores puntuales. En este caso, se usaron las aplicaciones de Spatial Analyst de Arcview 3.2. (E.S.R.I., 2000) para determinar las matrices considerando en los cálculos el peso de los cuatro puntos vecinos más cercanos.
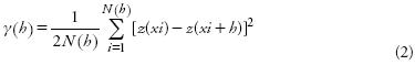
El Krigeado está basado en la teoría de las variables regionalizadas considerando que la variación espacial en el fenómeno representado por los valores z es estadísticamente homogénea a través del área de estudio; es decir, el mismo patrón de variación puede ser observado en todas sus localizaciones. La variación espacial es cuantificada por semivariogramas (Isaaks y Srivastava, 1989). Los semivariogramas experimentales γ(h) (ecuación 2) se calcularon con las observaciones puntuales z (xi):

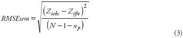
donde, N es el número de pares de puntos separados por un paso o distancia; h es la selección de los pasos o intervalos de separación y fue evaluada mediante los criterios de información de Akaike (AIC, Akaike Information Criteria; Akaike, 1974) y Bayesiano (BIC, Bayesian Information Criteria; Schwarz, 1978). El uso del script para Arcview 3.2., Kriging 1.1 for ArcView Spatial Analyst (Boeringa, 2004) permite calcular el semivariograma experimental para diferentes valores de h y el semivariograma es entonces ajustado por optimización no lineal de acuerdo con la metodología de LevenbergMarquardt. Cinco modelos de semivariogramas pueden ser ajustados: lineal, esférico, circular, exponencial y gausiano. La decisión sobre el modelo de ajuste idóneo se basó en la evaluación del error medio cuadrático (RMSEsem, ecuación 3) del modelo teórico y los valores del semivariograma experimental:

donde, Ziobs son los valores observados; Zifit son los valores ajustados del semivariograma teórico; np es el número de parámetros que definen la función del semivariograma teórico (tres en todos los casos de estudio).
Finalmente, se aplicó validación cruzada extrayendo submuestras de kindividuos (Kfold cross validation; Goovaerts, 1997) y analizando los valores del error medio cuadrático (RMSEv) y error medio (MAEv) de los valores predichos y observados con las dos metodologías consideradas.
RESULTADOS Y DISCUSIÓN
Características y leyes de distribución de las cárcavas efímeras
Fueron identificadas 17 cárcavas (Cuadro 2 y Figura 2) con una longitud total de 635.8 m y una densidad de longitud de acuerdo al área de estudio de 10.4 km km2. Según los valores de la desviación estándar (s) y el coeficiente de variación (CV), los atributos topográficos de las cabeceras variaron sustancialmente, en especial el parámetro Ad. De hecho, las cárcavas situadas en la ladera este (AH) estaban localizadas en áreas con valores más elevados de Ad y Pl, mientras que las situadas en la ladera oeste ocuparon mayores S y resultaron menos continuas. En términos cuantitativos, se calculó una tasa de pérdida de suelo derivada de las cárcavas efímeras igual a 1.5 t ha1 año1, considerando la densidad aparente media de la cuenca (1.56 g cm3), el período sin operaciones de laboreo (19992004) y una profundidad media representativa de 15 cm.
El examen en campo permitió observar que las cárcavas M y F fueron generadas por el deterioro de las medialunas en la base de los olivos asociado a la concentración del flujo (Figura 3). Numerosos afloramientos de material parental cálcico fueron identificados en la zona de elevada densidad de cárcavas de la ladera este (Figura 3b), como en las cárcavas R, K y N, donde además hay áreas de desagüe reducidas (Cuadro 2).
Cheng et al. (2007) consideran que la erosión aguda por cárcavas inicia a partir de una densidad de 7 km km2. Morgan (2005) establece como indicador de elevadas tasas de erosión la presencia de regueros o cárcavas conectados separados entre 5 y 10 m. En suelos tan someros y limitados para el desarrollo de las raíces, el valor límite de tolerancia establecido de acuerdo a la erosión potencial es 2.5 t ha1 año1 (USDANRCS, 1999). Es importante destacar que si sólo las pérdidas de suelo asociadas a cárcavas computan 1.5 t ha1 año1, el deterioro ambiental puede ser grave; por tanto, las estrategias de mejora del manejo en la cuenca deberían ir dirigidas a la revegetación y defensa de las cárcavas con elementos de retención.
Los valores medios de Ad (0.49 ha), L (37.4 m), S (14.5%) y Pl (0,03/100) fueron comparables a los observados por otros autores sobre distintos usos y tipos de suelo (Cuadro 3). En los estudios realizados en el área mediterránea, los valores de longitud resultaron más bajos (Capra et al., 2005; Nachtergaele et al., 2001). Esto podría ser explicado por la función de las medialunas en las bases de los olivos alterando los caminos naturales de flujo en ladera y favoreciendo la discontinuidad en el desarrollo de la red de cárcavas.
Distribución del ITC en la cuenca de estudio
En la Figura 4 se muestra la distribución de los valores ITC en la cuenca comprendidos entre 3 y 1000. Los valores máximos se hallan en el arroyo, mientras que un umbral de ITC igual a 3 constituyó un valor crítico adecuado para localizar el inicio de las cárcavas.
Además del examen visual propuesto por Parker et al. (2007), Desmet y Govers (1997) proponen un criterio numérico para la localización de cárcavas efímeras basado en la ecuación 1 que justifica la elección del valor mínimo umbral de acuerdo al cociente entre el número total de píxeles predichos y el porcentaje de píxeles que efectivamente forman parte de la red de cárcavas. En este caso, de acuerdo con la metodología aplicada con los sistemas de información geográfica, se consideró que cuando las polilíneas representativas de las cárcavas se convirtieran en matrices, sería fácil y operativo comparar la distribución real de cárcavas y las distribuciones derivadas de distintos umbrales de ITC. El valor umbral de ITC que verifique la mejor solución debería considerar tanto los píxeles o celdillas que definen realmente las cárcavas como los representados, pero que no se relacionan con cárcavas en la cuenca. Por tanto, para examinar el valor de umbral ITC más adecuado para la representación de las cárcavas, se ha definido una fracción de acierto y una fracción de efectividad. La fracción de acierto es el cociente entre los píxeles coincidentes con las cárcavas para un valor de ITC (CoITC) y el número total de píxeles de las cárcavas observadas (Ob). La fracción de efectividad es el cociente entre los píxeles coincidentes (CoITC) y el total de píxeles predichos para el umbral de ITC (PrITC). La fracción de efectividad es representativa del número de píxeles predichos erróneamente asociados a umbrales numéricamente bajos de ITC, ya que bajo estos casos es posible estimar el 100% de las cárcavas pero con un alto número de píxeles repartidos por la cuenca que responden a errores. El extremo opuesto consistiría en la representación de un grupo muy reducido de píxeles localizados sobre las cárcavas, pero que responden mínimamente a toda su extensión y que no justifican la validez de la predicción.
Los porcentajes de acierto y efectividad para los tamaños de celda de 1.5 y 3.0 m bajos los umbrales 1, 3 y 5 se muestran en el Cuadro 4. Una evaluación inicial permitió descartar umbrales de ITC superiores a 7 ya que un grupo muy reducido de píxeles eran representados. En ambas resoluciones, el valor de ITC comprendido entre 3 y 5 proporcionó la mejor representación. Aunque, como resultado de las diferencias de resolución entre la ortofotografía y el modelo de elevación, el total de píxeles totalmente coincidentes es menor de 50% (Figura 4), se han considerado píxeles acertados tanto los totalmente coincidentes como los parcialmente coincidentes y adyacentes. Así, la fracción de acierto es superior al 70% para ITC >1, ITC >3 e ITC > 5. Los resultados obtenidos son compatibles con los reportados por Parker et al. (2007) que recopilaron umbrales de ITC para cárcavas efímeras sobre distintos suelos y cultivos en un intervalo de 5 a 62.
Finalmente, algunas cárcavas de la ladera oeste no fueron exactamente representadas (Figura 4) como fue el caso de N, Q, R y F. En el Cuadro 5 se muestra la distribución del ITC en las cabeceras de las cárcavas identificadas. Las cárcavas ABCDE fueron consideradas como una única cárcava discontinua dadas las evidencias en la conexión de la circulación de sedimentos en campo. Los valores más altos de ITC se concentraron en la ladera este, lo cual puede justificar distintos umbrales topográficos, probablemente derivados de diferencias locales de suelo, que operan a la escala de trabajo.

Relaciones del ITC y las propiedades de suelo
En el caso del Krigeado, el mejor ajuste de la función de los semivariogramas según los indicadores AIC, BIC y RMSE fueron: para la fracción arena, el modelo lineal con meseta (h=30 m); para el limo, la arcilla y el contenido de materia orgánica (MO), el modelo esférico (h=35 m); para el parámetro Ksat, el modelo esférico con h=30 m; y para la Dap, el modelo circular (h=30 m).
Los resultados de MAEv y RMSEv en la validación cruzada para cada variable del suelo se muestran en el Cuadro 6. Con excepción de Ksat y Dap, el ICD, evaluando los cuatro vecinos más próximos, proporcionó las predicciones con menores MAEv y RMSEv. Según Mueller et al. (2004), para elevadas distancias entre muestras con baja correlación, el método del ICD proporciona estimaciones más exactas como puede ser el caso de la textura y el contenido de MO.
El examen de la distribución de las cárcavas en la cuenca según los mapas de suelo obtenidos (Figura 5) mostró que las cárcavas situadas en la ladera oeste (MR) se localizan en un área más arenosa y con menor contenido en limo y arcilla. Las variaciones del contenido de MO fueron reducidas en ambas laderas, mientras que las distribuciones de Ksat y Dap indicaron mejores condiciones de infiltración en la ladera oeste. Estos rasgos, unidos a la presencia de áreas impermeables subsuperficiales pueden justificar el incremento de presiones positivas en la matriz del suelo causadas por el flujo infiltrado, que reduzcan la resistencia a la erosión (Moore et al., 1988; Poesen et al., 2003). De hecho, los afloramientos petrocálcicos constituyen la base sobre las que se desarrollan en anchura, las cárcavas O, P y Q en la ladera oeste. Como contraste, en las cárcavas situadas en la ladera este (AK), los umbrales topográficos resultaron más altos, seguramente como consecuencia de un suelo más profundo, más arcilloso y compactado y con mayor resistencia al arranque de sedimentos.
En el Cuadro 7 se muestran las correlaciones (p<0.05) de las propiedades del suelo analizadas y los valores de ITC en las cabeceras de las cárcavas. Es destacable como en las cabeceras de las cárcavas O, P, Q, con ITC casi nulos, se aprecian los valores más altos de Ksat y Ar y más bajos de Dap y Ac. Pese a que las correlaciones considerando todas las cárcavas no son muy elevadas, se deducen, al igual que en el examen de la distribución de las cárcavas (Figura 5), menores valores de ITC asociados a mejores condiciones de infiltración en la ladera oeste.
Las particularidades y variaciones de las propiedades del suelo deberían ser consideradas al aplicar el ITC en la predicción de la distribución de cárcavas efímeras, especialmente porque a escala de pequeña cuenca y en una misma unidad edafológica, puede haber umbrales topográficos muy distintos que respondan a diferentes dinámicas de generación de cárcavas.
Aunque a la escala de trabajo, el umbral del ITC entre 3 y 5 ha proporcionado resultados satisfactorios, se espera que a medida que se reduzcan las escalas, las consideraciones edafológicas sean cada vez más importantes. Esto permite además valorar la pequeña cuenca como una unidad espacial ideal para el análisis geomorfológico. En este sentido, hay mucho trabajo que hacer en los olivares en Andalucía para establecer mapas de zonas críticas con distintos suelos y manejos, donde más allá de cubiertas espontáneas deban establecerse trabajos de revegetación y defensa de taludes de cárcavas que reduzcan o limiten la degradación de los suelos de olivares de sierra tan abundantes.
CONCLUSIONES
La contribución de cárcavas es mínimamente representada en la mayoría de los modelos hidrológicos pese al alto grado degradación de suelo que pueden llegar a suponer. Se evaluó favorablemente la utilidad del ITC para la localización de cárcavas efímeras sobre modelos de elevación detallados y se proponen criterios numéricos basados en la coincidencia de los píxeles predichos con la localización de las cárcavas y en la minimización de errores, para determinar del valor umbral de representación de las mismas. Un valor de referencia de ITC entre 3 y 5 proporcionó los mejores resultados para resoluciones de 1.5 m y 3.0 m.
El examen de la distribución de las cárcavas en la cuenca mostró que diferencias edafológicas locales pueden limitar el potencial del ITC a la escala de estudio. Umbrales de ITC más elevados se identificaron en la ladera oeste como resultado de un suelo más profundo y arcilloso y con valores más bajos de conductividad hidráulica saturada. Este tipo de consideración puede ser muy importante en escalas más reducidas que la microcuenca.
La mejora de las estrategias de manejo del suelo en olivar, contra la erosión, requiere completar metodologías como la ecuación universal de pérdida de suelo útil para cuantificar el riesgo de erosión laminar y por regueros, con parámetros como el ITC para el análisis del riesgo de erosión por flujo concentrado. Medidas como la revegetación en la cabecera, el establecimiento de elementos transversales de retención y el no laboreo en las inmediaciones de las cárcavas, deberían incluirse en las áreas susceptibles de degradación por cárcavas y cárcavas efímeras.
Los indicadores topográficos como el ITC pueden ser integrados en modelos hidrológicos de cuenca para la localización y caracterización de cárcavas efímeras. Su calibración y validación con datos reales permitiría abordar el análisis temporal (y a largo plazo) de la pérdida de suelo con diferentes escenarios de suelo, regímenes de lluvia y manejo.
LITERATURA CITADA
Aguilar, C., y M. J. Polo. 2005. Análisis de sensibilidad de AnnAGNPS en la dinámica de herbicidas en cuencas de olivar. In: Samper C., F. J., y A. Paz G. (eds). Estudios en la Zona no Saturada del Suelo. La Coruña (España). 7: 337343. [ Links ]
Akaike, H. 1974. A new look at the statistical model identification. IEEE Trans. Automat. Contr. AC 19:71623. [ Links ]
Bagnold, R. A. 1966. An approach to the sediment transport problem from general physics. U.S. Geological Survey Professional Paper 422I. 37 p. [ Links ]
Behrens, T. 2004. DEMAT, Digital Elevation Model Analysis Tool. http://arcscript.esri.com/details.asp?dbid=10222 (consultado julio, 2007). [ Links ]
Bingner, R. L., F. D. Theurer, and Y. Yuan. 2009. Agricultural nonpoint source pollution model. AnnAGNPS Technical Processes Documentation Version 5.0. USDAARSNRCS, Oxford (MS, U.S.A.). pp: 170. [ Links ]
Boeringa, M. 2004. Kriging 1.1. Interpolator extension for Arcview 3.2. Hydrology Department of Amsterdam Water Supply. Amsterdam, Netherlands. http://arcscripts.esri.com/details.asp?dbid=10079 (consultado septiembre, 2007). [ Links ]
Burrough, P. A., and R. A. McDonnell. 1998. Principles of Geographical Information Systems. Spatial Information Systems and Geostatistics. Oxford University Press Inc., New York. 333 p. [ Links ]
Capra, A., L. M. Mazzara, and B. Scicolone. 2005. Application of the EGEM model to predict ephemeral gully erosion in Sicily, Italy. Catena 59: 133146. [ Links ]
Casali, J., J. J. López, and J. V. Giráldez. 1999. Ephemeral gully erosion in southern Navarra (Spain). Catena 36: 6584. [ Links ]
Cheng, H., X. Zou, Y. Wu, C. Zhang, Q. Zheng, and J. Zhangyan. 2007. Morphology parameters of ephemeral gully in characteristics hillslopes on the Loess Plateau of China. Soil Till. Res. 94: 414. [ Links ]
Civantos, L. 2001. La olivicultura en el mundo y en España. In: Barranco, D., R. FernandezEscobar y L. Rallo (eds). El Cultivo del Olivo. Mundi Prensa, Madrid. pp: 1734. [ Links ]
De Santisteban, L. M., J. Casalí, and J. J. López. 2006. Assessing soil erosion rates in cultivated areas of Navarre (Spain). Earth Surf. Process. Landforms 31: 487506. [ Links ]
Desmet, P. J. J., and G. Govers. 1997. Twodimensional modelling of the withinfield variation in rill and gully geometry and location related to topography. Catena 29: 283306. [ Links ]
Desmet, P. J. J., J. Poesen, G. Govers, and K. Vandaele. 1999. Importance of slope gradient and contributing area for optimal prediction of the initiation and trajectory of ephemeral gullies. Catena 37: 377392. [ Links ]
E.S.R.I. 2000. ArcView GIS 3.2. Environmental Systems Research Institute, Inc. Redlands U.S.A. [ Links ]
Francia M., J. R., V. H. Durán Z., and A. Martínez R. 2006. Environmental impact from mountainous olive orchards under different soilmanagement systems (SE Spain). Sci. Total Environ. 358: 4660. [ Links ]
Garbrecht, J., and L. W. Marzt. 1999. TOPAZ: an automated digital landscape analysis tool for topographic evaluation, drainage identification, watershed segmentation and subcatchment parameterization, TOPAZ Overview, USDAARS, 26. [ Links ]
Gómez, J. A., P. Romero, J. V. Giráldez, and E. Fereres. 2004. Experimental assessment of runoff and soil erosion in an olive grove on a Vertic soil in southern Spain affected by soil management. Soil Use Manage. 20: 426431. [ Links ]
Gómez, J. A, T. A. Sobrinho, J. V. Giráldez, and E. Fereres. 2009. Soil management effects on runoff, erosion and soil properties in an olive grove of Southern Spain. Soil Tillage Res. 102: 513. [ Links ]
Gómez, J. A, T. Vanwalleghem, and J. V. Giráldez. 2008. Preliminary results of soil erosion at different scales in an olive orchards in Southern Spain. AbstractMeeting, European General Union Assembly 2008, EGU2008A03977, Vienna, Austria. [ Links ]
Goovaerts, P. 1997. Geostatistics for Natural Resources Evaluation. Oxford University Press, New York. 483 p. [ Links ]
Isaaks E. H., and R. M. Srivastava. 1989. An Introduction to Applied Geostatistics. Oxford University Press, New York. 561 p. [ Links ]
Junta de Andalucía, Consejería de Agricultura y Pesca. 2003. El olivar andaluz. Servicio de Publicaciones y Divulgación, Sevilla. pp: 14. [ Links ]
Knapen, A., J. Poesen, G. Govers, G. Gyssels, and J. Nachtergaele. 2007. Resistance of soils to concentrated flow erosion: A review. EarthSience Rev. 80: 75109. [ Links ]
Laflen, J. M., D. A. Watson, and T.G. Franti. 1985. Effect of tillage systems on concentrated flow erosion. Proc. Fourth Int. Conf. on Soil Conservation, November 38, Maracay, Venezuela. pp: 798809. [ Links ]
MartinezCasasnovas, J. A., M. C. Ramos, and M. RibesDasi. 2005. Onsite effects of concentrated flow erosion in vineyard fields: some economics implications. Catena 60: 129146. [ Links ]
MMA (Ministerio de Medio Ambiente). 2007. Programa de Acción Nacional contra la Desertificación. http://www.mma.es/portal/secciones/biodiversidad/desertificacion/programa_desertificacion/pdf/PAND_dic_web_2007.pdf (consultado diciembre, 2007). [ Links ]
Moore, I. D., G. J. Burch, and D. H. Mackenzie. 1988. Topographic effects on the distribution of surface soil water and the location of ephemeral gullies. Transactions of the ASAE 32 4: 1098 1107. [ Links ]
Morgan, R. P. C. 2005. Soil Erosion and Conservation (3rd ed.) Blackwell Publishing Ltd, Malden. MAUSA. pp: 88154. [ Links ]
Mueller, T. G., N. B. Pusuluri, K. K. Mathias, P. L. Cornelius, R. I. Barnhisel, and S. A. Shearer. 2004. Map quality for ordinary kriging and inverse distance weighted interpolation. Soil Sci. Soc. Am. J. 68: 20422047. [ Links ]
Nachtergaele, J., J. Poesen, L. Vandekerckhove, D. OostwoudWijdenes, and M. Roxo. 2001. Testing the ephemeral gully erosion model EGEM for two Mediterranean environments. Earth Surf. Process. Land. 26: 1730. [ Links ]
Nelson, D. W., and L. E. Sommers, 1982. Total carbon, organic carbon, and organic matter. In: Page, A. L., H. Miller, and D. R. Keeney (eds).Methods of Soil Analysis: Part 2. Chemical and Microbiological Properties. ASA Monograph No. 9. Soil Science Society of America, Madison WI, USA. pp: 539577. [ Links ]
Parker, C., C. R. Thorne, R. L. Bigner, R. Wells, and D. Wilcox. 2007. Automated mapping of the potential for ephemeral gully formation in agricultural watersheds. US Department of Agriculture, Agricultural Research Service, National Sedimentation Laboratory Research Report, Oxford, MS. 31 p. [ Links ]
Philip, J. R. 1993. Approximate analysis of fallinghead lined borehole permeameter. Water Resour. Res. 29: 37633768. [ Links ]
Poesen, J., J. Nachtergaele, G. Verstraeten, and C. Valentin. 2003. Gully erosion and environmental change: importance and research needs. Catena 50: 91133. [ Links ]
Poesen, J., L. Vandekerckhove, J. Nachtergaele, D. Oostwoud Wijdenes, G. Verstraeten, and B. Van Wesemael. 2002. Gully erosion in dryland environments. In: Bull, L. J., and M. J. Kirkby (eds). Dryland Rivers: Hydrology and Geomorphology of SemiArid Channels. Wiley, Chichester, UK. pp: 229262. [ Links ]
Schwarz, G. 1978. Estimating the dimension of a model. Ann Stat. 6: 461464. [ Links ]
Smith, L. M. 1993. Investigation of ephemeral gullies in loessial soils in Mississippi. US Army Corps of Engineers. Technical Report GL9311. pp: 15. [ Links ]
Soil Conservation Service. 1972. Soil Survey Laboratory Methods and Procedures for Collecting Soil Samples. Soil Survey Report 1, U.S.D.A., Washington. 603 p. [ Links ]
Taguas, E. V., A. Peña, J. L. Ayuso, Y. Yuan, and R. Pérez. 2009. Evaluating and modelling the hydrological and erosive behaviour of an olive orchard microcatchment under nontillage with bare soil in Spain. Earth Surf. Proc. and Land 34: 738-751. [ Links ]
Thorne, C. R., and L. W. Zevenbergen. 1990. Prediction of ephemeral gully erosion on cropland in the Southeastern United States. In: Boardman, J., I. D. L. Foster and J. A. Daering (eds). Soil Erosion on Agricultural Land. John Wiley & Sons. Chichester. 29: 447460. [ Links ]
U.S. Department of Agriculture, Natural Resources Conservation Service. National Soil Survey Handbook, title 430VI. http://soils.usda.gov/technical/handbook (consultado enero de 2010). [ Links ]
Vanwalleghem, T., J. Poesen, J. Nachtergaele, and G. Verstraeten. 2005. Characteristics, controlling factors and importance of deep gullies under cropland on loessderived soils. Geomorphology 69: 7691. [ Links ]
Zevenbergen, L.W., and C.R. Thorne. 1987. Quantitative analysis of land surface topography. Earth Surf. Proc. Landforms 12: 4756. [ Links ]













